Universidad, Ciencia y Tecnología
versión impresa ISSN 1316-4821versión On-line ISSN 2542-3401
uct v.10 n.39 Puerto Ordaz jul. 2006
Factor teórico de concentración de esfuerzos en placas anisotrópicas
Sánchez Álvarez, Milagros
Departamento de Ingeniería Mecánica, UNEXPO Vicerrectorado Puerto Ordaz, Venezuela milagros_sanchez @cantv.net
Resumen
En este trabajo se demuestra la influencia que tiene el tipo de carga aplicada en piezas de materiales anisotrópicos sobre los factores teóricos de concentración de esfuerzos, y se refuerza la influencia de otros parámetros geométricos ya conocidos. El estudio se presenta específicamente sobre placas cuadradas ortotrópicas con agujero centrado sometidas a cargas tensoriales unidireccionales y bidireccionales, aplicando el método de los elementos finitos. Se demuestra que los factores de concentración de esfuerzos en placas finitas pueden alcanzar valores considerablemente grandes dependiendo del tipo de carga aplicada.
Palabras clave: Elementos Finitos/ Materiales Anisotrópicos/ Piezas Cortas.
I. INTRODUCCIÓN.
En el diseño de elementos de máquinas y de estructuras se hace indispensable conocer los Factores Teóricos de Concentración de Esfuerzos (FTCE) para diferentes discontinuidades geométricas, presentes en la mayoría de estos elementos. Cuando se trata de materiales anisotrópicos, la determinación de estos FTCE no es tan directa como en los materiales isotrópicos.
Lekhnitskii [1], fue uno de los primeros investigadores interesado en la determinación de los FTCE en placas infinitas anisotrópicas con agujero circular y elíptico sometidas a diferentes condiciones de borde. En trabajos más recientes, Gerhardt, [2], Lin y Ko [3], Xi y Fan [4], Yeh y Le [5], se han estudiado los FTCE en placas compuestas, con diferentes discontinuidades geométricas: uno o varios agujeros elípticos o circulares, ranuras, etc., utilizando diversos métodos matemáticos. Otros investigadores han estudiado la influencia del tamaño de la pieza sobre los FTCE en materiales isotrópicos, Troyani et al [6], y en materiales anisotrópicos Sánchez y Troyani [7] aplicando el método de elementos finitos. En este trabajo se estudia la influencia que tiene el tipo de carga aplicada sobre los FTCE en materiales anisotrópicos. Para ello se utilizó el código de elementos finitos, desarrollado por Sánchez [8], que permite estudiar la respuesta mecánica en piezas ortotrópicas. Específicamente se trabajó con placas cuadradas ortotrópicas finitas con agujero circular centrado y sometidas a cargas tensoriales unidireccionales y bidireccionales: tensióntensión y tensión-compresión, presentándose los resultados en curvas típicas de los FTCE en función de la relación adimensional diámetro/ancho.
II. DESARROLLO
1 Formulación Matemática
1.1 Problema de esfuerzo plano de la teoría de elasticidad en cuerpos ortotrópicos.
Se considera una placa delgada elástica homogénea ortotrópica de espesor uniforme, en equilibrio bajo la acción de fuerzas distribuidas en sus bordes y de fuerzas volumétricas. Se asume:
a. Las fuerzas aplicadas a los bordes y las fuerzas del cuerpo actúan en planos paralelos al plano medio y están distribuidas simétricamente con respecto a este plano.
b. Las deformaciones de la placa son pequeñas, lo cual significa que se utiliza la teoría linealizada de las relaciones desplazamientodeformación.
En relación a la Fig. 1, el plano medio lo representa el plano xy.

Fig. 1. Placa de espesor h sometida a cargas de tracción
El espesor de la placa se define por h; Xn, Yn expresan las componentes de las fuerzas distribuidas en los bordes por unidad de área; X, Y representan las fuerzas del cuerpo por unidad de volumen, siendo Zn = Z = 0 de acuerdo a las condiciones anteriormente establecidas.
Las ecuaciones de equilibrio y de la ley de Hooke generalizada, aplicadas a problemas de esfuerzo plano en placas ortotrópicas, se reducen a las siguientes ecuaciones:


Las relaciones desplazamiento-deformación están dadas por:

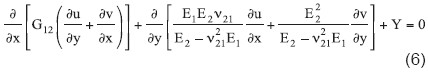
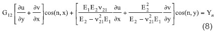
Las correspondientes condiciones de borde actuando sobre los bordes de la placa se expresan de la siguiente manera:
![]()
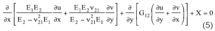
Las Ecs. (1) y (4) pueden ser expresadas en función de los desplazamientos u y v, utilizando las Ecs. (2) y (3):


Las condiciones de borde se transforman en:


Las Ecs. (5), (6), (7) y (8) representan el problema de esfuerzo plano en placas ortotrópicas.
1.2 Formulación variacional del problema de esfuerzo plano.
La formulación variacional de estas ecuaciones diferenciales, se expone a continuación.


Donde las constantes c11, c12, c22 y c33 vienen definidas por:

y los términos: nx, ny representan los cosenos directores del vector unitario n, normal al borde ¶W1:
![]()
Adicionalmente a las condiciones de borde sobre ¶W1, se tiene:
![]()
Las Ecs. (9), (10), (11) y (13) definen el problema general bidimensional de valor en el borde en elasticidad lineal, describiendo el problema de esfuerzo plano en cuerpos ortotrópicos.
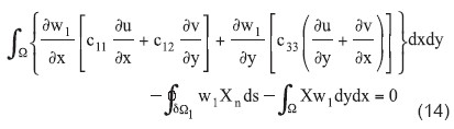
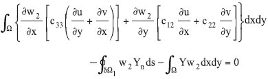
Al multiplicar las Ecs. (9a) y (9b) por funciones de prueba w1 y w2, integrando y aplicando el teorema de Green, y después de varias operaciones de integración se obtienen las ecuaciones:


La declaración variacional del problema general de esfuerzo plano en materiales
ortotrópicos comprende: encontrar funciones u, v Î H1(W) tal que u =
(s), v = ![]()
sobre ¶W2; y las Ecs. (14) y (15) se cumplan para toda w1, w2 Î H1(W) tal que
w1 = G1 y w2 Î H1(W) tal que w1 = G1 y w2 = G2 sobre ¶W2
1.3 Modelación por elementos finitos
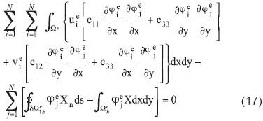
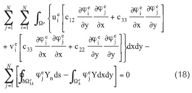
Al reemplazar el dominio W por un dominio Wh, que consiste en una colección de elementos finitos E y puntos nodales N, y suponiendo las siguientes aproximaciones:

Donde uh y vh pertenecen al subespacio Hh de H1(Wh), uj, vj son tales que: uj = ûj,
vj =
j en los nodos sobre ¶W2h y las Ecs. (14) y (15) se cumplan para toda w1h
y w2h Î Hh tal que w1h =G1 y w2h = G2 sobre ¶W2h. Al reemplazar la Ec. (16)
en las Ecs. (14) y (15), éstas se convierten en:


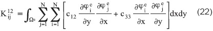
En función de la matriz de rigidez, K, y el vector de carga, F, las Ecs. (17) y (18) se expresan por:


Donde:





Las Ecs. (19) y (20) representan el modelo por elementos finitos de las ecuaciones de elasticidad de esfuerzo plano, (9a) y (9b).
2 Resultados Numéricos
Los resultados numéricos fueron obtenidos empleando un código de elementos finitos desarrollado para determinar la respuesta mecánica en piezas ortotrópicas, Sánchez [8]. Los resultados se presentan sobre una placa cuadrada de madera laminada (también conocida como plywood), de dimensiones 2L x 2L, con agujero circular centrado, de radio a, sometida a la acción de fuerzas externas, S, tal como lo indica la Fig. 2. El espesor de la placa, t, se considera constante y unitario. Para los cálculos se trabajó con un cuarto de placa debido a la simetría del problema.
Las propiedades mecánicas de la madera laminada utilizada son: Ex = 1.2x105 kg/cm2, Ey = 0.6x105 kg/cm2, vxy = 0.071 y G = 0.07x105 kg/cm2.
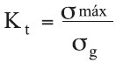
Los FTCE, Kt, se calcularon en función del esfuerzo nominal grueso:


Fig. 2. Placa cuadrada con agujero circular sometida a diferentes tipos de carga
Donde Ơ máx. corresponde el esfuerzo principal en el borde del agujero y óg representa el esfuerzo nominal grueso en la placa. Los resultados del estudio realizado, se muestran en la Fig. 3, donde se observa la influencia que tienen los diferentes tipos de carga aplicada y, del ya conocido, a/w, sobre los FTCE.

Fig. 3. Ftce en placas sometidas a diferentes tipos de carga
3 Análisis de Resultados
Se observa en la Fig. 3 que los mayores FTCE se presentan cuando la placa es sometida a cargas de tensión-compresión alcanzando magnos valores a medida que la relación a/L aumenta. Similar comportamiento se presenta cuando la placa es tensada unidireccionalmente, sin embargo, los valores del FTCE son inferiores al primer caso. Un comportamiento interesante se presenta cuando la placa es tensada bidireccionalmente, los FTCE varían muy levemente con la relación geométrica a/L, observándose un ligero incremento para la relación a/L igual a 0.9.
III. CONCLUSIONES
1. Se pudo determinar que los FTCE para piezas de materiales ortotrópicos se ven influenciados significativamente por el tipo de carga aplicada, al igual que por parámetros ya conocidos como es el tamaño relativo del agujero, a/L.
2. Tal como se muestra en la Fig. 3, la carga que produce los mayores efectos sobre los FTCE es la biaxial tensióncompresión, a diferencia de la carga biaxial tensión-tensión cuyos efectos son pocos notorios.
IV. REFERENCIAS
1. Lekhnitskii, S. G. Anisotropic Plates. New York. Gordon and Breach Science Publishers. 1968, pp 157-179. [ Links ]
2. Gerhardt, T. D. A Hybrid/Finite Element Approach for Stress Analysis of Notched Anisotropic Materials. Journal of Applied Mechanical. Vol. 51, 1984, pp 804-810. [ Links ]
3. Lin, C-C. Y C-C Ko. Stress and Strength Analysis of Finite Composite Laminates with Elliptical Holes. Journal of Composite Materials. Vol. 22, 1988, pp 373-385. [ Links ]
4. Xi, X-W y W-X. Fan.Stresses in Orthotropic Laminate with Two Elastic Pins Having Different Fitting Tolerances. Journal of Engineering Mechanics. Vol. 117, 1991, pp 1382-1402. [ Links ]
5. Yeh, H.-Y y M. D. Le. Mutual Influence about Stress Concentration of Holes in Composite Plates. Journal of Reinforced Plastics and Composites, Vol. 12, 1993, pp 38-47. [ Links ]
6. Troyani, N., et al. Simultaneous Considerations of Length and Boundary Conditions on Theoretical Stress Concentration Factors. International Journal of Fatigue. Vol. 25, 2003, pp 353-355. [ Links ]
7. Sánchez, M. y Troyani, N. Factor Teórico de Concentración de Esfuerzos en Piezas Cortas de Materiales Anisotrópicos. Mecánica Computacional. Vol. XXII, 2003, pp 2135-2144. [ Links ]
8. Sánchez, M.. Desarrollo de un Código de Elementos Finitos para la Determinación de la Respuesta Mecánica en Placas Ortotrópicas. Tesis de Maestría. Barcelona, Universidad de Oriente, Núcleo Anzoátegui. 2003, pp 58-73. [ Links ]











uBio 

