Interciencia
versión impresa ISSN 0378-1844
INCI v.34 n.6 Caracas jun. 2009
Film drainage between two drops: Vortex formation in thin liquid films.
Alejandro J. Acevedo-Malavé, Eloy Sira and Máximo García-Sucre
Alejandro José Acevedo-Malavé. Ph.D. in Physics, Venezuelan Institute for Scientific Research (IVIC), Venezuela. Researcher, IVIC, Venezuela. Address: Centro de Física Aplicada, Carretera Panamericana vía Jají, Finca El Tucuche, Mérida 5101, Venezuela. e-mail: alejanacev@gmail.com
Eloy Sira. Ph.D. in Physics, IVIC, Venezuela. Researcher, IVIC, Venezuela. e-mail: easira@cida.ve
Máximo García-Sucre. Ph.D. in Physics, Paris University, France. Researcher, IVIC, Physics Center, Venezuela. e-mail: mgs@ivic.ve
SUMMARY
In this study, a mathematical formalism that takes into account the surfactant effect on the drainage of the interfacial film between two drops is considered. The effects of thermal perturbations and van der Waals forces are neglected. In the mathematical formalism the Navier-Stokes equations within the lubrication approximation are coupled to a diffusion-convection equation leading to an evolution equation for the interfacial film. This last equation is solved by using the numerical method of lines coupled with an implicit Runge-Kutta method for the integration with respect to time. As a result of the inclusion of interfacial tension gradients a non oscillating dimple arises, even beginning with an initial condition corresponding to a plane interfacial film.
Drenaje de la película interfacial entre dos gotas: Formación de vórtices en películas líquidas delgadas
RESUMEN
En este estudio se desarrolla un formalismo matemático que toma en consideración el papel del surfactante en el drenaje de la película interfacial entre dos gotas. No se consideran los efectos de perturbaciones térmicas y fuerzas de van der Waals. En el formalismo matemático se acoplan las ecuaciones de Navier-Stokes (dentro de la aproximación de lubricación) con la ecuación de difusión-convección, lo cual conduce a una ecuación de evolución para la película interfacial. Esta última ecuación es resuelta utilizando el método numérico de líneas junto con un método implícito de Runge-Kutta para la integración con respecto al tiempo. Como resultado de la inclusión de los gradientes de tensión interfacial surge una depresión superficial (dimple) no oscilatoria, inclusive comenzando con una condición inicial correspondiente a una película interfacial plana.
Drenagem da película interfacial entre duas gotas: Formação de vórtices em películas líquidas delgadas
RESUMO
Neste estudo se considera um formalismo matemático que toma em consideração o efeito surfactante na drenagem da película interfacial entre duas gotas. Não se consideram os efeitos de perturbações térmicas e forças de van der Waals. No formalismo matemático as equações de Navier-Stokes dentro da aproximação de lubrificação se acoplam a uma equação de difusão-convecção, o qual leva a uma equação de evolução para a película interfacial. Esta última equação é resolvida utilizando o método numérico de linhas junto com um método implícito de Runge-Kutta para a integração relativa ao tempo. Como resultado da inclusão de gradientes de tensão interfacial surge uma depresão superficial (dimple) não oscilatoria, inclusive começando com uma condição inicial correspondente a uma película interfacial plana.
KEYWORDS / Coalescence / Dimple / Drops / Fluid Mechanics / Interfacial Film / Marangoni Effect /
Received: 08/06/2008. Modified: 05/28/2009. Accepted: 06/01/2009.
There are several mechanisms leading to the loss of emulsion stability (Kashchiev and Exerowa, 1980; Exerowa et al., 1983; Ivanov and Dimitrov, 1988; Bibette, 1992; Bibette et al., 1992; Sonin et al., 1994; Kabalnov and Wennerström, 1996). Here we will be concerned with the mechanism of coalescence related to the stability of the interfacial film (Vrij, 1966; Vrij and Overbeek, 1968; Ivanov et al., 1969; Sharma and Ruckenstein, 1987). The process of coalescence can be divided in two stages (Denkov et al., 1991; Kralchevsky et al., 1991; Tsekov and Radoev, 1992; Danov et al., 1993; Jaeger et al., 1994; Danov et al., 1997; Ivanov and Kralchevsky, 1997): i) two drops approach each other without deformation until, at a certain distance between them, a deformation starts leading to the appearance of a circular flat film called interfacial film; ii) the thickness of this interfacial film diminishes until the coalescence of the drops occurs at a critical separation.
In an emulsion stabilized with a surfactant, the homogeneous distribution of surfactant molecules on the surfaces of the drops is perturbed by the drainage of the liquid in the interfacial film. The resulting non homogeneous distribution of adsorbed surfactant molecules leads to the appearance of interfacial tension gradients. This non equilibrium situation tends to be compensated by the migration of the surfactant molecules towards the interior of the interfacial film. This motion drags part of the liquid of the interface inside the interfacial film, producing a stabilizing effect that competes with the Van der Waals attraction between the drops surfaces. It is known as the Marangoni effect (Ivanov and Dimitrov, 1988; Yeo et al., 2001).
When the coalescence process progresses, the formation of the interfacial film occurs, and the appearance of a deformation consisting of a depression in the center of the surfaces entering the interfacial film has been experimentally observed. This deformation has been denominated as dimple, and its appearance is related to the occurrence of interfacial tension gradients (Hartland and Jeelani, 1994; Chesters and Bazhlekov, 2000; Yeo et al., 2001, 2003).
The aim of this paper is to elaborate a model in order to study the appearance of a dimple starting with the initial condition of a plane interfacial film.
Mathematical Formulation of the Model
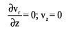
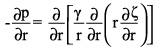
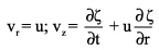
We start by considering the Navier-Stokes equations in the quasi static and lubrication approximations, applied to both the dispersed phase and the interfacial film. The quasi static approximation assumes that the velocity field varies slowly in comparison with the variation of other relevant variables of the problem. On the other hand, the lubrication approximation assumes (Figure 1) that i) the thickness of the interfacial film, z, is very small in comparison with its radius R; ii) the inertial forces acting in the interfacial film are negligible in comparison with the viscous forces (i.e. low Reynolds number); iii) the axial velocity vz is much smaller than the radial velocity vr; iv) the angular dependences in the velocity are negligible; and v) the variation of vr with r is much smaller than its variation with z, i. e. ¶vr/¶r << ¶vr/¶z.
Within these assumptions the Navier-Stokes equations in cylindrical coordinates, may be written as

The above equations can be integrated, which yields
(2)
In the above expressions u is the radial velocity component on the surface of the interfacial film and p is the pressure of the fluid in the interfacial film. Taking into account the symmetry of the model (Figure 1), the following conditions are fulfilled on the plane z= 0 of the interfacial film
(3)
From Eqs. 1-3 the following expression for the radial velocity is obtained
(4)
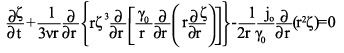
Now, integrating Eq. 1 from 0 to z, and using Eqs. 2-4 the evolution equation is obtained, assuming that the inertial terms of the Navier-Stokes equation may be neglected:
(5)
On the other hand, the balance of the tangential component of the stress tensor on the surfaces of the drops can be expressed as
(6)
and
(7)
Now, from Eqs. 4 and 6 the simple relation
(8)
is obtained.
Let us consider now the distribution of surfactant concentration in the aqueous phase. The diffusion equation in the region of the interfacial film is given by
(9)
where D is the diffusion coefficient and x the surfactant concentration. Notice that the diffusion constant on the drop surface depends on the position, while it is considered to be constant in the bulk. This is in agreement with the fact that in the bulk both the surfactant and the solvent molecules distribute themselves in an isotropic way because of the symmetry of the bulk. On the other hand, this isotropy is broken near the drop surface and the distribution of surfactant molecules may be irregular (for instance, when the Marangoni effect occurs the isotropy is lost, giving rise to gradients of interfacial tension).
It is convenient to express the above equation in terms of the following dimensionless variables
(10)
where t is the characteristic time for the formation of the dimple. In our calculations we have considered t = 100sec since this is nearly the mean value of characteristic times that have been observed experimentally for dimple formation (Ivanov and Dimitrov, 1988). The same approach has been adopted for the selection of the values for the diffusion constants. On the other hand, essentially the same qualitative result of the dimple formation was obtained for different values around the mean values chosen.
In terms of the dimensionless variables defined above, Eq. 9 can be written as
(11)
where e = z02/R2 and Pe is the Peclet number.
Here, the assumption is introduced that the flux of liquid from the interfacial film occurs sufficiently slowly as to consider that x may be expressed as a series of perturbations in powers n of e:
(12)
In theory, n varies between 1 and infinity, and in our approach we consider only the first and second terms of the summation in Eq. 12 (i.e., n= 1, 2). Here x0 is the surfactant concentration in the bulk of the continuous phase. According to the approximation of considering only the first and second terms in the summation of Eq. 12, it is implicitly assumed that the diffusion and mobility of the surfactant molecules occurs slowly. This is justified when the mass and the effective volume of the surfactant molecule considered are much larger than the mass and effective volume of the solvent molecule, which is frequently the case.
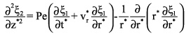
From Eqs. 11 and 12, and considering the terms of the above expression up to the second order, the following relation between x2 and x1: is obtained
(13)
Using the above relation between x1 and x2 the variable x (without sub-index) can be expressed in Eq. 12 as a function of the first element of the series development in order to obtain the gradient of x. Then, an expression for the diffusive flux of surfactant jps in terms of the variable x can be stated as
(14)
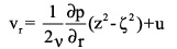
Expressing Eq. 4 in dimensionless variables a relation between vr* and z* is obtained. Substituting this relation in Eq. 13 and integrating the variable z* from 0 to z/z0, jps is obtained as a function of the interfacial film thickness z:
(15)
According to Eq. 12, the surfactant adsorption on the surface G, can be written as the expansion
(16)
where ĝ0 is the adsorption equilibrium value. Local equilibrium is being assumed between the adsorption layer and the adjacent layer (in the interfacial film) where the concentration is x.
On the other hand, the balance of surfactant mass equation on the surface is given by Ivanov and Dimitrov (1988) as
(17)
where jo is the surfactant flux in the oil phase and Ds is the surface diffusivity. Substituting Eqs. 5, 15 and 16 in Eq. 17, and neglecting terms in which appear time derivatives,
(18)
is obtained.
Let us consider now that the surface diffusivity coefficient is much larger than the diffusion coefficient D in the interfacial film. Within this assumption Eq. 18 leads to the simpler form
(19)
Taking into account the assumption according to which (x-x0)/x0 <<1, the interfacial tension may be written as
(20)
where g0 is the interfacial tension evaluated at the concentration x0. Now, from Eqs. 18, 19 and 20, we get the simple expression
(21)
that determines the radial component of the fluid velocity in the interfacial film. By substituting it in the evolution Eq. 5, we finally obtain
(22)
where the only unknown variable is the thickness of the interfacial film, z. This equation can be solved by a numerical method for the following boundary conditions:
We consider in our calculations that the boundary conditions expressed above correspond to the initial condition (t= 0) of a planar circular interfacial film. Before solving Eq. 22, it is convenient to express this equation in terms of the dimensionless variables defined in (10) as
(24)
Here, z* is the dimensionless thickness of the interfacial film (z*= z/z0), and the constants Q and X are given by
(25)
For the experimental values reported by Velev et al. (1993), the values for Q and X are 0.3 and 20.0, respectively.
The evolution Eq. 24 is a non linear fourth order differential equation in partial derivatives that can give information about the dynamics of the interfacial film once the boundary conditions are specified. We will solve numerically this equation by the so-called method of lines (Cash, 2005) for the boundary conditions given in (23).
Numerical Method and Results
The numerical method of lines is used to solve differential equations in partial derivatives. The function z* in the evolution Eq. 24 depends on r* and t*. Then, following the usual procedure of the method of lines, r* is treated as a discrete variable and then t* is integrated as a continuous one. The first step leads to a system of ordinary differential equations. This allows the use of a numerical technology and software specialized for the integration in t*, which appears as a continuous variable in the system of ordinary differential equations (Cash, 2005). The applicability of the method of lines requires well defined initial conditions for the treated problem (the Cauchy problem of the initial value). This restriction forbids the use of this method for solving purely elliptical differential equations (Cash, 2005). However, there exists a great diversity of physical problems, expressed by means of systems of differential equations that can be solved by using this method.
In the method of lines, the treatment of the discrete variable (in this case r*) is frequently carried out using a finite difference procedure, as in the present paper. However, the flexibility of the method of lines allows the use of other schemes for the treatment of variables as discrete ones (Cash, 2005).
In the application of the method of lines the steps followed are:
i) The treatment of r* as a discrete variable.
ii) Transformation of the differential equation in order to obtain a system of ordinary differential equations.
iii) Inverse transformations and introduction of the boundary conditions.
iv) Solution of the resulting equations.
Cash (2005) has proposed an algorithm that easily integrates with respect to time the ordinary differential equations applying the method of lines. This algorithm is based on the Runge-Kutta implicit method, and we have used it starting from a completely plane interfacial film as initial condition. By so doing we are neglecting oscillations produced by thermal perturbations in the initial conditions. Such oscillations may occur when two drops approach each other as an effect of the thermal perturbations that produce corrugations that are then amplified by the action of van der Waals forces (Vrij, 1966). In the present description of the dynamics of the interfacial film the effect of thermal perturbation and van der Waals forces is neglected.
In Figure 1 the interfacial film is shown together with the radius R and the interfacial film thickness, z.. The deformation in the center of the coordinates system (r, z) is known as dimple. The variation of the thickness z* of the interfacial film is shown in Figure 2 as a function of r* and t*. The initial condition is such that at t*= 0 the interfacial film is completely plane. As time t* increases a deformation of the interfacial film occurs giving rise to a dimple that remains after an interval of time t* of 0.15. This interval depends on the values of the parameter Q and X, defined in (25). As has been already mentioned, in the calculations of the present paper the values Q= 0.3 and X= 20.0 have been chosen. In Figures 2 and 3 are shown the results of a dimple formation in two-dimensional graphs.
Due to the presence of surfactants, gradients of interfacial tensions may be expected to occur on the drops surfaces. This should produce a pattern of fluid flux near the drop surface that is different from the pattern of flux near the plane z*= 0 inside the interfacial film (see in Figure 4 the radial velocity component Vr* as a function of z*). In fact, using Eq. 4 a variation of the radial component of the velocity is found when different values of r* and z* are considered. In order to visualize these changes of the radial component of the velocity inside the interfacial film, Figure 4 shows the position z* as a function of the radial velocity vr* for different values of r* (0.3, 0.6, 0.7, 0.8) and t*= 0.15. According to our calculations, in the time interval of 0.15 starting from t*= 0 the dimple is still in a growing stage. On the other hand, the change of sign of vr* for different values of z* and r* illustrated in Figure 4 is likely to be related to the appearance of vortices. Therefore, this might be interpreted as an indication of the relation between the processes of dimple growing and the appearance of vortices inside the interfacial film.
In Figure 5 the radial velocity vr* as a function of r* is shown for different values of t*. It can be seen in that as time elapses after the dimple formation, the radial velocity component tends to be less negative. This behavior reflects the loss in vorticity once the dimple is formed.
Once the form of the function z* has been determined using Eq. 7, one obtains the surface showing the pressure changes (DP*) inside the interfacial film as a function of r* and t* (Figure 6). Here it can be seen that as r* increases, the pressure decreases.
The velocity field in the interface region is shown in Figure 7. The equation dz/dr= vz/vr has been solved to obtain the velocity field lines. This figure is symmetric with respect to the origin, in agreement with the symmetry of the problem. The velocity vectors near the interface are oriented toward the center of the film, where a vortex is observed.
Finally, dimples that oscillate with time have been observed experimentally (Ivanov and Dimitrov, 1988). The present model cannot describe such oscillations. In fact, the model describes the appearance of a dimple that remains stationary once it has been formed. However, this kind of stationary dimples have been also observed experimentally for cases where the diameter of the interfacial film is smaller than a certain limit value (Velev et al., 1993).
Conclusions
1) The resolution of an evolution equation for the interface film established within the lubrication approximation and taking into account the migration of surfactant molecules, but neglecting the effect of microscopic molecular collisions and van der Waals forces, has allowed the description of the dynamics exhibited by the interface film in this simplified case. According to this dynamics, a dimple that does not oscillate is formed and its maximum value is reached at t= 15sec for a time scale t of dimple growth of 100sec. This result leads to conclude that a dimple formation can occur without the assistance of the molecular thermal agitation and van der Waals forces. This kind of stationary dimples have been observed experimentally when the diameter of the interfacial film is smaller than a certain limit value (Velev et al., 1993). Therefore, it is tentatively proposed that the appearance of oscillating dimples as was observed by Ivanov and Dimitrov (1988) may be related to cases in which the effect of thermal perturbations and van der Waals forces cannot be neglected.
2) In the determination of the pressure field a tendency to diminish towards the edges of the interfacial film is observed. This is in agreement with the appearance of a non-oscillating dimple in the center region of the film.
3) Near the center of the film the radial component of the velocity is seen to change in sign for different values of r*. This leads to conclude that there exists a vortex that is likely related to the appearance of a non-oscillating dimple.
Acknowledgements
This work was financially supported by FONACIT Grant G-2005000418. The authors thank the Instituto Venezolano de Investigaciones Científicas (IVIC) and the Centro de Investigaciones de Astronomía (CIDA) for their support.
References
1. Bibette J (1992) Stability of thin films in concentrated emulsions. Langmuir 8: 3178-3182. [ Links ]
2. Bibette J, Morse DC, Witten TA, Weitz DA (1992) Stability criteria for emulsions. Phys. Rev. Lett. 69: 2439-2443. [ Links ]
3. Cash JR (2005) Efficient time integrators in the numerical method of lines. J. Comp. Appl. Math. 183: 259-274. [ Links ]
4. Chesters AK, Bazhlekov IB (2000) Effect of insoluble surfactants on drainage and rupture of a film between drops interacting under a constant force. J. Coll. Interf. Sci. 230: 229-243. [ Links ]
5. Danov K, Petsev D, Denkov N (1993) Pair interaction energy between deformable drops and bubbles. J. Chem. Phys. 99: 9-15. [ Links ]
6. Denkov N, Kralchevsky P, Ivanov I, Vassilieff C (1991) Effect of droplet deformation on the interactions in microemulsions. J. Coll. Interf. Sci. 143: 157-173. [ Links ]
7. Danov K, Gurkov T, Dimitrova T, Ivanov IB, Smith D (1997) Hydrodynamic theory for spontaneously growing dimple in emulsion films with surfactant mass transfer. J. Coll. Interf. Sci. 188: 313-324. [ Links ]
8. Exerowa D, Balinov B, Kashchiev D (1983) Nucleation mechanism of rupture of newtonian black films: II. Experiment. J. Coll. Interf. Sci. 94: 45-53. [ Links ]
9. Hartland S, Jeelani SAK (1994) Effect of interfacial tension gradients on emulsion stability. Coll. Surf. A 88: 289-302. [ Links ]
10. Ivanov IB, Dimitrov DS (1988) Thin film drainage. In Ivanov IB (Ed.) Thin Liquid Films Fundamentals and Applications. Dekker. New York, USA. pp. 379-496. [ Links ]
11. Ivanov I, Kralchevsky PA (1997) Stability of emulsions under equilibrium and dynamic conditions. Coll. Surf. A 128: 155-175. [ Links ]
12. Ivanov IB, Radoev B, Manev E, Scheludko A (1969) Theory of the critical thickness of rupture of thin liquid films. Discuss. Farad. Soc. 1262: 13-21. [ Links ]
13. Jaeger PhT, Janssen JJM, Groeneweg F, Agterof WGM (1994) Coalescence in emulsions containing inviscid drops with high interfacial mobility. Coll. Surf. A 85: 255-264. [ Links ]
14. Kabalnov A, Wennerström H (1996) Macroemulsion stability: The oriented wedge theory revisited. Langmuir 12: 276-292. [ Links ]
15. Kashchiev D, Exerowa D (1980) Nucleation mechanism of rupture of newtonian black films. I. Theory. J. Coll. Interf. Sci. 77: 501-511. [ Links ]
16. Kralchevsky P, Ivanov I, Dimitrov S (1991) Interfacial fluctuation-dissipation processes and contact angles of thin liquid films. Chem. Phys. Lett. 187: 129-136. [ Links ]
17. Sharma A, Ruckenstein E (1987) Stability, critical thickness, and the time of rupture of thinning foam and emulsion films. Langmuir 3: 760-768. [ Links ]
18. Sonin AA, Bonfillon A, Langevin D (1994) Thinning of soap films: The role of surface viscoelasticity. J. Coll. Interf. Sci. 162: 323-330. [ Links ]
19. Tsekov R, Radoev B (1992) Rupture of thinning liquid films. J. Chem. Soc. Farad. Trans. 88: 251-253. [ Links ]
20. Velev OD, Gurkov TD, Borwankar RP (1993) Spontaneous cyclic dimpling in emulsion films due to surfactant mass transfer between the phases. J. Coll. Interf. Sci. 159: 497-501. [ Links ]
21. Vrij A (1966) Possible mechanism for the spontaneous rupture of thin, free liquid films. Discuss. Farad. Soc. 42: 23-33. [ Links ]
22. Vrij A, Overbeek JThG (1968) Rupture of thin liquid films due to spontaneous fluctuations in thickness. J. Am. Chem. Soc. 90: 3074-3078???. [ Links ]
23. Yeo LY, Matar OK, Pérez de Ortiz ES, Hewitt GF (2001) The dynamics of Marangoni-driven local film drainage between two drops. J. Coll. Interf Sci. 241: 233-247. [ Links ]
24. Yeo LY, Matar OK, Pérez de Ortiz ES, Hewitt GF (2003) Film drainage between two surfactant-coated drops colliding at constant approach velocity. J. Coll. Interf. Sci. 257: 93-107. [ Links ]











uBio 







