1. Introducción
La violencia contra la mujer (VCM) es un problema de salud pública, que se manifiesta como una forma de discriminación que se ejerce contra la mujer (Stöckl & Sorenson, 2024), este fenómeno multidimensional integra diversas formas de violencia, incluyendo agresiones físicas, psicológicas, abuso sexual, violencia económica y social, ejercida por cualquier miembro de la familia (Lara Rodríguez, 2024; Matamoros et al., 2024), siendo la más común la violencia de pareja, estimándose que entre el 38% y el 50% de los homicidios de mujeres son ejecutados por parejas sentimentales a nivel mundial (Sardinha et al., 2022).
Según la Organización Mundial de la Salud (OMS), una de cada tres mujeres (35%) ha sufrido violencia por parte de su pareja sentimental, manifestada en forma de agresiones sexuales y/o físicas (Bryams Roda G. et al., 2022), esta forma de violencia se ha identificado como la cuarta causa de muerte entre mujeres jóvenes a nivel mundial, con un estimado de 200 mil fallecidas cada año (Santiago Ribeiro & Scorsolini-Comin, 2022). Además, un factor adicional de preocupación es la alta incidencia de la violencia de pareja en países en vías de desarrollo, influenciada principalmente por la aceptación de normas culturales (Fabián Arias et al., 2020).
La VCM varía considerablemente entre países, en China la prevalencia es del 15,6%, en Etiopía del 26,1%, en Nigeria alcanza el 44,6 % (Laksono & Wulandari, 2022), en Palestina según la Oficina Central de Estadísticas la prevalencia es del 29.4% (Morzk et al., 2024), en India del 41%; mientras que en Estados unidos oscila entre 7 y 35% (Chang et al., 2022). En América Latina las cifras son igualmente alarmantes, en Bolivia la prevalencia es del 27,1%, en Panamá y Uruguay las tasas oscilan entre el 14% y 58,55% respectivamente, en Colombia se estima una prevalencia del 58% (Arguello et al., 2023); mientras que en México el 15% de mujeres experimentaron violencia física, el 16.5% violencia sexual y el 76% violencia psicológica (Orozco-Vargas et al., 2021). Honduras presenta una prevalencia del 50% en mujeres mayores de 15 años, quienes han sufrido de violencia en algún momento de su existencia (Bárbara Castillo et al., 2024), y Perú presenta un alarmante 68% de mujeres que han sido víctimas de algún tipo de violencia, de las cuales 7 de cada 10 han experimentado violencia física, sexual o psicológica por parte de su pareja sentimental (Quispe, 2023).
La mortalidad por feminicidio en la región también es alarmante, en República Dominicana la tasa de asesinato es de 2.4 por 100.000 mujeres (Ferro Vásquez et al., 2022), en Brasil la mortalidad por feminicidio es de 4,8 por cada 100.000 víctimas, ubicándose en el séptimo lugar a nivel global en incidencia de este delito (Caicedo-Roa et al., 2019); en otros países como Colombia, México, Venezuela, Honduras, Ecuador y el Salvador, la tasa anual de homicidios es de 21 por cada 100.000 residentes, consolidando a la violencia de pareja como una de las principales causas de muerte en estos estados (Cazar Cardenas & Paredes Fuertes, 2023).
Como se evidencia, Latinoamérica enfrenta altos índices de homicidios relacionados con transformaciones políticas, económicas y sociales. Por ello, en 2016, 31 de los 33 países (94%) implementaron políticas sobre violencia de género, de los cuales 15 trataban de manera específica la VCM, y para el año 2018 el 40% ya habían promulgado leyes al respecto. En Perú, la Ley N° 30364 (2015) busca prevenir y sancionar la violencia contra la mujer, y desde su implementación se han reforzado las políticas de protección, incluyendo el DS N° 009-2016-MIMP, la Política Nacional de Igualdad de Género (2019), y el Plan Estratégico Multisectorial de Igualdad de Género (2020), con lineamientos y protocolos de atención aprobados hasta 2021 (Calsin et al., 2023).
A pesar de las políticas y estrategias implementadas para combatir la violencia, la incidencia de este fenómeno ha aumentado en los últimos años. Según diversos estudios, esto se atribuye a una comprensión insuficiente de sus causas, las cuales incluyen condiciones económicas, adicciones, machismo, factores socioculturales, elementos personales, violencia generacional, entre otros. De igual manera, la atención limitada a las consecuencias ha dificultado una respuesta efectiva; ya que estas abarcan desde alteraciones en la salud física y psicológica de las víctimas, hasta impactos sociales como la estigmatización, el aislamiento, la perpetuación del ciclo de violencia, la desintegración familiar y la muerte (Saldaña Ramírez & Gorjón Gómez, 2021).
Este escenario resalta la necesidad de continuar investigando los factores causales y las consecuencias de la VCM, dado que se trata un fenómeno que está en constante cambio de acuerdo a la situación política, económica, sanitaria y social de cada país; y que además tiene un abordaje multidimensional. En este sentido, el objetivo de la presente revisión es identificar y analizar los factores causales y las consecuencias de la VCM, con el fin de aportar un mayor entendimiento que permita desarrollar nuevas políticas públicas o mejorar las existentes para que sean más eficaces y sostenibles.
2. Metodología
Se efectuó una revisión sistemática de la literatura científica de los últimos 4 años (2021-2024), con el objetivo de identificar y analizar los factores causales y las consecuencias de la violencia contra la mujer. La búsqueda de información se ejecutó en bases de datos electrónicas de alto impacto, como PubMed, Scopus, BVS, Scielo y Google Académico. Se emplearon Descriptores en Ciencias de la Salud (DeCS), en español e inglés, tales como “violencia contra la mujer”, “violencia doméstica”, “delitos contra la mujer”, “violencia sexual”; en combinación con términos como “factores de riesgo”, “factores culturales”, “alcoholismo”, “machismo” y “consecuencias psicológicas”; estos descriptores fueron organizados con operadores boleanos como AND y OR, lo que resultó efectivo para la identificación de artículos relevantes. Los criterios de inclusión fueron artículos originales publicados en inglés, español y portugués, artículos accesibles en texto completo y artículos que aborden factores causales o consecuencias asociadas a la VCM. Se excluyeron estudios en idiomas distintos a los mencionados y artículos que no estén directamente relacionados con los objetivos de la revisión.
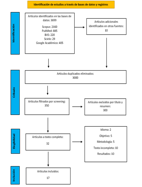
Posteriormente se delimitó el conjunto de artículos encontrados siguiendo el modelo PRISMA, inicialmente, se identificaron 3699 artículos en las bases de datos antes mencionadas y 10 a partir de otras fuentes; después de eliminar duplicados, se mantuvieron 699 artículos. En la fase de cribado, se excluyeron 650 registros tras la revisión del título y resumen, resultando en 49 registros que avanzaron a la siguiente etapa. En la fase de elegibilidad, se revisaron esos artículos en texto completo, y se excluyeron 32 tras esta revisión, lo que dejó un total de 17 artículos elegibles para inclusión.
Seguidamente se incluyeron 17 artículos, de los cuales 9 fueron revisiones sistemáticas, 4 estudios transversales, 2 estudios de cohortes y 2 estudios cualitativos; todos los artículos tienen una antigüedad máxima de tres 3 años, de estos, 10 se focalizaron en los factores causales de la violencia contra la mujer, mientras que 7 abordaron las consecuencias asociadas a este problema.
3. Resultados y discusión
Las investigaciones señalan diversos factores causales que favorecen la prevalencia de violencia, siendo los factores socioeconómicos especialmente relevantes, en este contexto Alrawashdeh et al., (2024) resaltan que el desempleo y la pobreza, fenómenos que se agravaron durante la pandemia de COVID-19, son determinantes en la dinámica de la violencia en Jordania; de la misma forma, Fereidooni et al., (2023) reportan que en Irán tanto la pérdida de trabajo como un nivel socioeconómico bajo, están vinculados con un incremento en la incidencia de violencia; además, Mehri et al., (2021) señalan que la edad y el nivel de formación de los varones están ligados al aumento de violencia. Por otro lado, Melkam et al., (2024) demuestran que el consumo de alcohol por parte de la pareja es un elemento causal de violencia en África Oriental, coincidiendo con De Souza Santos et al., (2022), quienes también indicaron que el consumo de drogas y alcohol en época de pandemia acrecentó la violencia de forma significativa, este problema subraya que el abuso de estas sustancias puede incrementar el riesgo de violencia. Otro elemento significativo son las reglas patriarcales y culturales, según Mannell et al., (2022) en entornos donde estas reglas son predominantes, como en Tanzania y Bangladesh, los hombres recurren a la violencia como medio para reforzar y preservar su autoridad, este machismo enraizado favorece la creación de un entorno donde la violencia es aceptada y perpetuada. Autores como Mesafint et al., (2024) destacan que el nivel de educación se relaciona directamente con la violencia en Etiopía, mientras que Pérez-Yari et al., (2024) indican que el lugar de residencia influye en la prevalencia de violencia en Perú. Otro factor causal importante es la discriminación racial, según Souza et al., (2024) las mujeres de raza negra sufrieron un acrecentamiento de la violencia durante el confinamiento por COVID-19, debido también a condiciones financieras no estables y a la ausencia de apoyo institucional.
Tabla 1 Causas y consecuencias de la violencia contra la mujer
| Autor | Título | Revista | Base de Datos | Tipo de Estudio | Resultados |
|---|---|---|---|---|---|
| (Masih et al., 2024) | Los efectos psicológicos y físicos globales del abuso y la violencia doméstica en las mujeres del sur de Asia | "Frontiers in Global Women’s Health" | PubMed | Revisión sistemática cualitativa | La investigación señaló que la violencia doméstica tuvo impactos negativos en la salud física y mental de las mujeres sudasiáticas. Se destacaron seis aspectos principales como lesiones evidentes, pérdida de salud reproductiva, discapacidades temporales, síntomas psicosomáticos, sentimientos de soledad y trastornos psicológicos. A pesar de las heridas y traumas que enfrentaron, varias mujeres mostraron capacidad de recuperación. |
| (Daugherty et al., 2024) | Causas tentativas de alteraciones cerebrales y neuropsicológicas en mujeres víctimas de violencia de pareja | Brain Sciences | Scopus | Revisión sistemática | El estudio afirmó que las consecuencias de la VCM incluyen alteraciones neuropsicológicas (problemas de memoria y cognitivos), enfermedades no transmisibles (cáncer y patologías cardiovasculares), impacto psicológico que desencadena depresión y estrés, además de un deterioro de la calidad de vida, que repercute en las relaciones sociales que se manifiesta en el aislamiento total. |
| (Alrawashdeh et al., 2024) | Violencia doméstica contra las mujeres durante la pandemia de COVID-19 en Jordania: una revisión sistemática | Comunicación en Humanidades y Ciencias Sociales | Scopus | Revisión sistemática | El estudio evidenció que las causas de la VCM fueron: la pobreza, el desempleo, el nivel económico, la cultura patriarcal y el confinamiento. También señaló que la ansiedad, el miedo, el estrés y la depresión, fueron consecuencias profundas que dejaron marcas duraderas en la mujer. |
| (Melkam et al., 2024) | El impacto del consumo de alcohol por parte de la pareja en la violencia de pareja entre mujeres en edad reproductiva en África Oriental | BMC Public Health | Scopus | Transversal | El estudio comprobó que el consumo de alcohol, por parte de la pareja, es un factor causal directo de la violencia contra la mujer en edad reproductiva de varios países de África Oriental. |
| (Mesafint et al., 2024) | Violencia doméstica contra las mujeres durante la pandemia de COVID-19 y sus factores asociados en la zona de Bench Sheko, suroeste de Etiopía | Revista de Salud Mental Pública | Scopus | Transversal | El estudio demostró que los factores etiológicos de la VCM incluyen el nivel educativo (no contar con formación académica se asocia con mayor incidencia de violencia), el consumo de sustancias como drogas y alcohol, el ingreso económico bajo, y también residir en zonas rurales incrementa la VCM. |
| (Tadesse et al., 2024) | Violencia de género y sus determinantes entre mujeres refugiadas y desplazadas internamente en África: revisión sistemática y metaanálisis | BMC Public Health | PubMed | Revisión sistemática y metaanálisis. | La revisión detalla las consecuencias de la violencia contra la mujer, enfatizando su impacto en la salud física, como infecciones de transmisión sexual y complicaciones en el embarazo, y también efectos en la salud mental, como la ansiedad, el trastorno de estrés postraumático y la estigmatización. |
| (Pérez-Martínez & Rodríguez-Fernández, 2024) | La violencia contra la mujer, una revisión sistematizada | Revista de Ciencias Sociales y Humanas | Scielo | Revisión sistemática | El estudio indicó que la VCM abarca secuelas físicas que van desde heridas leves hasta lesiones por arma de fuego, además de equimosis y hematomas genitales. En el plano psicológico, los efectos incluyen la pérdida de autoestima, el estrés agudo, la ansiedad y la depresión. A nivel social la violencia afecta las relaciones interpersonales que terminan en aislamiento. |
| (Perez-Yari et al., 2024) | Factores sociodemográficos asociados a violencia. intrafamiliar en mujeres en el Perú | Revista de la Facultad de Medicina Humana | Scielo | Observacional, retrospectivo, analítico y transversal | El estudio demostró que los elementos etiológicos de la violencia psicológica en mujeres peruanas van desde el nivel educativo hasta el lugar de vivienda, mientras que los factores asociados a la violencia física fueron la edad y nivel económico. Además, se afirmó que la pobreza fue un elemento determinante de la violencia sexual. |
| (Sales Rodrigues et al., 2024) | Implicaciones de la violencia doméstica contra las mujeres en la funcionalidad familiar: revisión integradora | Revista de Enfermagem da UFSM | BVS | Revisión integradora | El artículo enfatizó que las consecuencias físicas de VCM incluyen lesiones como fracturas, cortes y hematomas. En el ámbito psicológico causa depresión, baja autoestima, estrés postraumático, culpa, humillación e incluso trastornos como la esquizofrenia. Además, los hijos se llevan la peor parte sufriendo trastornos emocionales, finalmente la estigmatización social contribuye a un ciclo permanente de violencia. |
| (Souza et al., 2024) | Violencia contra mujeres pardas y negras durante la pandemia: revisión de alcance | Acta Paulista de Enfermagem | BVS | Revisión de alcance | Este estudio afirmó que existen causas asociadas a la VCM de raza negra, entre las cuales destacan la situación económica inestable, el racismo, el tiempo prolongado de convivencia por el confinamiento y las barreras geográficas. Además, la falta de apoyo institucional por el encierro, debido a la pandemia agravó la situación de la mujer. |
| (Guerrero Sepulveda et al., 2024) | El Impacto de la violencia de género en la salud mental femenina | Revista Científica de Salud y Desarrollo Humano | Google Académico | Artículo de revisión | El artículo sentenció que las consecuencias de la VCM incluyen daños físicos (lesiones leves y graves) y psicológicas (estrés, adicciones, conductas autodestructivas, insomnio, depresión, trastornos de la alimentación y suicidios), afectando también la vida laboral y social (desempeño en el trabajo y relaciones interpersonales). |
| (Spencer et al., 2023) | Efectos sobre la salud asociados a la exposición a la violencia de pareja contra la mujer y al abuso sexual infantil: un estudio de la carga de la prueba | Nature medicine | PubMed | Revisión sistemática | El estudio señaló que las principales consecuencias en las mujeres a raíz de la VCM fueron trastornos psicológicos como la depresión severa y la ansiedad, impactos negativos en el bienestar físico tales como la pérdida espontánea del embarazo y complicaciones durante la gestación. Además, se registró un aumento en el peligro de autolesiones y desórdenes asociados al consumo de sustancias. |
| (Fereidooni et al., 2023) | La pandemia de COVID-19, los efectos socioeconómicos y la violencia de pareja contra las mujeres: un estudio de cohorte poblacional en 2020, Irán | American journal of public Health | PubMed | Estudio de cohorte poblacional | La investigación evidenció que los factores de riesgo vinculados a la VCM en Irán incluyen la pérdida de empleo, tanto de las mujeres como de sus parejas, y un nivel socioeconómico bajo, el mismo que se relacionó con mayor prevalencia de VCM. Se destacó que el estrés financiero y la convivencia obligada durante el encierro por COVID 19 acrecentaron la violencia. |
| (de Souza Santos et al., 2022) | Violencia doméstica contra las mujeres durante la pandemia de COVID-19: una revisión del alcance | Forensic Science International: Reports | Scopus | Revisión sistemática y metaanálisis. | El estudio señaló que los factores etiológicos de VCM incluyeron el distanciamiento social, el desempleo laboral (tanto en la mujer como el varón), el consumo de drogas y alcohol, el nivel económico que acrecentó los niveles de estrés, el consumo de medicamentos sin receta, y el miedo e incertidumbre por el COVID 19. |
| (Mannell et al., 2022) | Factores de riesgo de violencia contra la mujer en contextos de alta prevalencia: una revisión sistemática de métodos mixtos y metasíntesis | BMJ global health | PubMed | Revisión sistemática | El artículo demostró que las normas patriarcales y el machismo están estrechamente relacionadas con la VCM en países como Bangladesh. Además, en otros estados como Tanzania, los hombres utilizan la violencia como herramienta para mantener su postura de autoridad. |
| (Stubbs & Szoeke, 2021) | El efecto de la violencia de pareja en la salud física y las conductas relacionadas con la salud de las mujeres: una revisión sistema-tica de la literatura | Trauma, Violence, & Abuse | PubMed | Revisión sistemática | El estudio señaló que la VCM tiene consecuencias, como un mayor riesgo a desarrollar enfermedades no transmisibles (diabetes), mayor riesgo a contraer infecciones de transmisión sexual, intensificación de los síntomas de la menopausia, y aumento del consumo de sustancias adictivas. Además, tiene un impacto negativo en personas con HIV. |
| (Mehri et al., 2021) | Investigación de las causas y el tipo de violencia contra las esposas en hombres casados en Kerman | Journal of Education and Health Promotion | PubMed | Transversal | Este estudio mostró que las principales causas de la VCM incluyeron aspectos socioeconómicos y demográficos, la edad de la pareja, la duración del matrimonio, el nivel educativo y la ocupación de la pareja, que fueron elementos cruciales asociados a la violencia. Asimismo, se observó que las normas culturales y sociales son determinantes para la prevalencia de este problema. |
Las consecuencias de la VCM son igual de preocupantes e incluyen aspectos físicos, psicológicos y sociales; en el ámbito físico, los estudios revelan una amplia variedad de lesiones que van desde leves contusiones hasta traumatismos graves, en este sentido Masih et al., (2024) registran lesiones claras y alteraciones en la salud reproductiva como consecuencias del maltrato, por su parte Sales Rodrigues et al., (2024) subrayan que las lesiones pueden incluir hematomas graves y fracturas, lo que resalta el daño a la integridad física de las mujeres, sumado a ello Tadesse et al., (2024) señalan que las víctimas presentaron infecciones de transmisión sexual y dificultades durante su embarazo. Desde un punto de vista psicológico, las consecuencias son igual de graves, en este contexto Daugherty et al., (2024) detallan cambios neuropsicológicos en las afectadas, que incluyen déficits cognitivos y alteraciones emocionales que llevan a desórdenes psiquiátricos como la ansiedad crónica y la depresión severa, de manera complementaria Sepulveda et al., (2024) acotan que estas consecuencias pueden llevar a transtornos de la alimentación y comportamientos autodestructivos. Desde el punto de vista social, Pérez-Martínez & Rodríguez-Fernández (2024) resaltan que las mujeres víctimas de violencia pueden afrontar rechazo por parte de su colectividad, lo que empeora su escenario y obstaculiza su recuperación, esta estigmatización puede conllevar a una mayor dependencia financiera de sus parejas, repercusion social que es igualmente significativa, pues la violencia no solo afecta a las mujeres maltratadas, sino también a sus hijos y familiares cercanos.
4. Conclusiones
La revisión sistemática presentada evidencia que la VCM constituye un fenómeno multifactorial y complejo, influenciado por una interacción de elementos psicológicos, socioeconómicos y culturales. Los resultados señalan que factores como el desempleo, la pobreza, la desigualdad de género y el consumo de alcohol actúan como determinantes claves que perpetúan el maltrato; mientras que sus consecuencias se reflejan en graves daños en la salud física y mental de las afectadas. A la vista de estos hallazgos, se recomienda la implementación y ejecución de intervenciones integrales y respaldadas en evidencia, que incluyan tanto los factores causales como las secuelas fatales de la VCM, fomentando así un enfoque multidisciplinario que ayude prevenir y atenuar este serio problema de salud pública.














