Saber
versión On-line ISSN 2343-6468
Saber vol.28 no.2 Cumaná jun. 2016
VULNERABILIDAD SÍSMICA DE UN EDIFICIO APORTICADO DE CONCRETO ARMADO DE CINCO NIVELES, CON IRREGULARIDAD EN PLANTA Y VARIACIONES EN EL DIAFRAGMA DE PISO
SEISMIC VULNERABILITY OF A FRAME BUILDING OF REINFORCED CONCRETE OF 5 LEVELS, WITH IRREGULARITY ON PLAN T AND VARIATIONS IN FLOOR DIAPHRAGM
REYES INDIRA HERRERA GONZÁLEZ, MIKHAIL SAMIR SABA RODRÍGUEZ, ELEINYS ANDREINA MENDOZA CORDERO , RONALD DAVID UGEL GARRIDO
Universidad Centroccidental Lisandro Alvarado, Decanato de Ingeniería Civil, Departamento de Ingeniería Estructural, Barquisimeto, Venezuela E - mail: hreyes@ucla.edu.ve
RESUMEN
Se evaluó la vulnerabilidad sísmica y el comportamiento resistente de una estructura aporticada de concreto armado irregular en pl anta (tipo H) y de uso residencial emplazada en Barquisimeto, estado Lara, Venezuela. En principio, se realizó un análisis lineal para verificar los requerimientos normativos. Luego, se utilizaron dos modelos matemáticos en 3D del edificio para hacer una simulación con diafragma rígido y otra con diafragma flexible. Se aplicaron análisis inelásticos mediante procedimientos avanzados como el Análisis Estático No Lineal Pushover Adaptativo (APA) y el Análisis Dinámico Incremental ( IDA ). El APA permitió obtener curvas que reflejan el comportamiento estructural y la capacidad de disipación de energía; posteriormente mediante procedimientos analíticos no lineales como el Método de Igual Desplazamiento llamado N2, las curvas de fragilidad de la propuesta Risk - UE y a través de un nuevo Índice de daño medio, se obtuvo el daño global esperado. Para el IDA se utilizaron cuatro acelerogramas compatibles con el espectro de diseño del emplazamiento y se realizaron un total de 512 iteraciones, obteniendo curvas de pushover dinámico, así como desplazamientos y esfuerzos torsionales en función de la aceleración para ambos modelos estructurales. Se concluye que ambos modelos estructurales presentaron una probabilidad de daño moderado, y que el modelo con diafragma rígido presentó una respuesta sismo-resistente uniforme con respecto al modelo de diafragma flexible, que obtuvo una tendencia dispersa y elevados efectos torsionales. En ambos modelos se confirma la amplificación de efectos torsionales en las áreas entrantes.
PALABRAS C LAVE : Efectos torsionales, análisis no lineal, curvas de fragilidad, índice de daño.
ABSTRACT
The seismic vulnerability and resistant behavior were evaluated in a reinforced concrete frame structure, irregular in plan (type H) and residential use l ocated in Barquisimeto, Lara State, Venezuela. At the beginning, a linear analysis was performed to verify regulatory requirements. Then, two mathematical models were used for 3D building simulation with rigid diaphragm and other flexible diaphragm, while inelastic analysis was applied using advanced procedures such as Adaptive Pushover Nonlinear Static Analysis ( APA ) and the Incremental Dynamic Analysis ( IDA ). The APA allows to obtain curves that reflect the structural behavior and energy dissipation capac ity. Subsequently, through nonlinear analytical procedures as the "method of equal displacement" named N2, fragility curves of the Risk - EU proposal and through a new index of average damage, the expected global damage was obtained. For ( IDA ) four accelerog rams were used compatible with the spectrum of site design and a total of 512 iterations were performed, obtaining pushover dynamic curves as well as torsional stresses and displacements in terms of acceleration for both structural models. It was concluded that both structural models present a probability of moderate damage, and the one with a rigid diaphragm has a uniform seismic response with respect to the flexible diaphragm model, which provided a dispersed trend and high torsional effects. In both mode ls the amplification of torsional effects in incoming areas was confirmed.
KEY WORDS: Torsional effects, nonlinear analysis, fragility curves, damage index.
Recibido: octubre 2015 . Aprobado: enero 2016 . Versión final: marzo 2016 .
INTRODUCCIÓN
Considerando que los fenómenos sísmicos están fuera del alcance de la predicción, existe la necesidad de realizar investigaciones en el campo de la ingeniería sísmica de tal forma que los códigos de diseño sísmicos vigentes del país reflejen esta renovación. En este sentido, la ciudad de Barquisimeto es una zona de alta sismicidad y se clasifica como la quinta zona del mapa de peligrosidad sísmica de Venezuela según la norma venezolana COVENIN 1756:01 ( COVENIN 2001) con aceleraciones esperadas en roca de 0 , 3 0 g para 10% de excedencia en 50 años , esta ciudad ha sido afectada por terremotos devastadores , tales como el ocurrido en Barquisimeto - San Felipe 1812 de Mw 7 , 4 ± 0 , 35 ( Choy et al . 2010). A fin de aportar información y recomendaciones técnicas a partir de análisis del comportamiento sísmico y evaluación de la vulnerabilidad estructural en edificios con irregularidad en planta ; este trabajo presenta la evaluación de la respuesta no lineal de edificios con características típicas de la zona de Barquisimeto y a nivel nacional, considerando una edificación de concreto armado aporticada con irregularidad en planta que de acuerdo a la Norma COVENIN 1756:01 ( COVENIN 2001) en su capítulo 6 son clasificados como irregularidad en planta con características tipo b.4 indicando que si las plantas presentan un área total de aberturas internas que rebasan el veinte por ciento (20%) del área bruta de las plantas son estructuras con irregularidad , se estimaron movimientos del terreno con diferentes intensidades sísmicas considerando las condiciones sísmicas del emplazamiento. Las estructuras fueron si muladas mediante programas estructurales basados en métodos de elementos finitos, a fin de obtener la respuesta sísmica y el daño sísmico mediante las curvas de fragilidad e índices de daño esperado aplicando una nueva metodología a partir de análisis inelásticos. El resultado del estudio permite informar al proyectista sobre la vulnerabilidad sísmica y tomar decisiones futuras a nivel estructural de este tipo de edificaciones. Además , esta investigación aporta información para comisiones de normas y organismos interesados sobre respuesta sísmica.
MATERIALES Y MÉTODOS
El modelo analítico es un edificio de concreto armado aporticado para uso residencial que consta de cinco niveles con una altura de entrepiso de 2 , 70 m y una altura total de 13 , 50 m. La estructura presenta geometría en planta irregular por la presencia de entrantes, la planta medida a partir de los ejes es de 25 , 01 m de largo (Eje X) por 13 , 55 m de ancho (Eje Y) según ( Fig. 1 ) . El modelo fue tomado en referencia al trabajo de Herrera et al. (2 013) según ( Fig. 2 ) , se redimensiona y proyecta bajo las normas actuales COVENIN - MINDUR 2002 - 88 , COVENIN 1756:01 y COVENIN 1753:06 ( C OVENIN 1988 , 200 1 , 2006 ), y a partir de la respuesta estructural en el rango lineal se compara con los valores permisibles normativos, a fin de garantizar la estabilidad estructural.
La estructura está constituida por columnas y vigas que varían dependiendo del nivel y su eje resistente, las secciones de columnas y vigas se muestran respectivamente en las tablas 1 y 2




Las losas son nervadas de 25 cm de espesor armada en una sola dirección (dirección Y), con varios entrantes en el plano que interrumpen la transmisión de las cargas sísmicas. El núcleo de escaleras está localizado en la parte central del edificio; no tiene descanso ni viga intermedia de apoyo, por lo que no acorta la longitud de las columnas. Mientras que los materiales usados para el proyecto presentan esfuerzo a compresión del concreto de f ́c = 25000 kPa ( 255 kg/cm 2 ) y módulo de elasticidad del concreto, Ec igual a 2 , 35x10 7 kPa ( 239633 , 26 kg/cm 2 ) , el límite de fluencia de la barras acero estriadas de f y = 415000 kPa ( 42 00 kg/cm 2 ) y módulo de elasticidad de 2 , 0x10 8 kPa (2039432 kg/cm 2 ).
Como una herramienta para la realización de los análisis inelásticos se utilizó el programa SeismoStruct (Seismosoft 2004) basado en el método de elementos finitos capaz de predecir el comportamiento de pórticos espaciales sometidos a cargas estáticas o dinámicas, considerando las no linealidades geométricas. Este programa utiliza el "enfoque de fibras" para la representación del comportamiento de las secciones transversales en los elementos y cada fibra es asociada a una relación uniaxial esfuerzo - deformación (Fig. 3 ). Para considerar la inelasticidad del concreto se utilizó el modelo no lineal de Mander et al . (1988), un modelo uniaxial no lineal de confinamiento constante a lo largo de todo el rango de esfuerzos - deformaciones (Fig. 4) . Para el acero de refuerzo se utilizó el modelo propuesto por Menegotto y Pinto (1973), un modelo uniaxial basado en la relación esfuerzo-deformación simple (Fig. 5).



El Análisis Estático Pushover Adaptativo (APA) o análisis no lineal incremental adaptativo, es empleado para estimar la capacidad horizontal de una estructura, teniendo en cuenta el efecto que su propia deformación y el contenido de frecuencias de la excitación que tienen sobre sus características de respuesta dinámica, el cál culo del vector de carga e stá dado por la Ecuación (1), (Antoniou y Pinho 2004, Papanikolaou y Elnashai 2005).
![]()
Donde , i es el número de plantas , j es el número de modos, Γj es el factor de participación modal , M i la masa sísmica por nivel y φ ij es el valor de la forma modal normalizada de la masa. En primera instancia, el análisis pushover adaptativo se realizó utilizando dos modelos analíticos en 3D el primero con diafragma rígido y el segundo con diafragma flexible, donde se aplicaron fuerzas laterales pseudo - estáticas que varían de forma incremental, con patrones de carga proporcionales a la masa modal. Las mismas se aplicaron de forma independiente en las dos direcciones de traslación ortogonal, con signos positivos y negativos (X, X - , Y+, Y - ), resultando en cuatro análisis para cada edificio. Da do que la distribución de carga es adaptada automáticamente, se especificó la carga de desplazamiento nominal, el número de incrementos de carga y el desplazamiento objetivo entre 2% - 3% la altura de la estructura ; los resultados utilizan el método de combinación modal llamado Combinación Cuadrática Completa ( CQC ) y las cargas de peso propio, permanente y variable se aplicaron en los nodos viga - columna. Este análisis permite crear una serie de curvas que representan la capacidad global de la estructura.
El procedimiento del análisis no lineal, es complementado con el Análisis Dinámico Incremental (IDA) (Vamvatsikos y Cornell 2002) aplicados a los modelos analíticos en 3D. La estructura es sometida a una serie de aná lisis time - history no lineales según la Ecuación (2) de intensidad creciente, es decir , se amplifica progresivamente la aceleración pico del suelo (PGA) desde un valor bajo de respuesta elástica hasta alcanzar algún estado límite post - fluencia predefinido. Los valores máximos de corte basal son graficados con respecto a los desplazamientos en el tope de la estructura para cada uno de los análisis dinámicos, resultando en la curva de pushover dinámico.
Donde,
es la matriz de masa,
es la matriz de amortiguamiento,
es la matriz de rigidez para el incremento de tiempo t, y
es el incremento de desplazamiento durante el intervalo de tiempo Δt . La selección de acelerogramas es un componente clave para el análisis dinámico no lineal. Por lo tanto, se utilizaron cuatro registros sísmicos (Fig. 6) , el primero es un acelerograma real del sismo ocurrido en Tucacas el 12/09/2012 con Mw 6,4 (Sismo 4) y tres acelerogramas artificiales (Sismos 1, 2 y 3) creados con el procedimiento de Halldorsson y Papageorgiou (2005) que adapta el contenido de frecuencia usando el método de Fourier y estableciendo los parámetros de un régimen inter-placa con Mw = 6 , 5 en rrup = 120 km y Vs30=620 m/s con duración de 20 (seg) , además de otras condiciones geológicas y geotécnicas del emplazamiento fueron generados utilizando el programa seismoartif (Seismosoft 2013), el valor probable de aceleración máxima del suelo de 0 , 30 g (PGA de diseño, zona 5 para Barquisimeto); se compatibilizan sus espectros con 5% de amortiguamiento con el espectro de diseño elástico para un suelo rígido o forma espectral tipificada (S2) según la norma venezolana COVENIN 1756:01 (COVENIN 2001) y representados en la (Fig. 7 ) .


Para el IDA los acelerogramas fueron escalados para valores de Peak Ground Acceleration (PGA) entre 0,05 g y 0,40 g, con interva los de incremento 0.05 g, y se utilizaron cuatro combinaciones sísmicas (X+Y+), (X+Y - ), (X - Y+), (X - Y - ) a fin de considerar la superposición de los efectos en forma bidireccional. Se efectuaron un total de 512 iteraciones (8 intensidades x 4 combinaciones x 4 acelerogramas x 2 edificios x 2 direcciones) que permitieron obtener envolventes de capacidad máxima (curva pushover dinámico) para el edificio con diafragma rígido y flexible, así como las envolventes de la media máxima de momentos de torsión y rotaciones en planta para el primer nivel de los edificios en función de la aceleración.
Una vez efectuado el análisis no lineal de los edificios, se procedió a establecer una comparación de la respuesta inelástica de las estructuras. Una vez llevado acabo el análisis inelástico, el siguiente paso es obtener el daño probable mediante las curvas de fragilidad que representan la probabilidad de alcanzar o exceder un estado de daño límite específico (dsi) como una función del desplazamiento espectral (sd) de una res puesta estructural. Para obtenerlas se adopta la metodología Risk - UE (Milutinovic MILUTI NOVIC y Trendafiloski 2003) y que luego Vargas et al . (2013) las define mediante las siguientes hipótesis: 1 ) Para cada umbral de daño dsi, la probabilidad de exceder su curva de fragilidad correspondiente se fija a 50%, 2 ) Siguen una función de probabilidad acumulativa lognormal descrita en la Ecuación (3) y 3 ) Para cada desplazamiento espectral asociado a los umbrales de daño, la probabilidad de exceder cada estado de daño se calcula suponiendo que estos siguen una distribución de probabilidad binomial.

Donde, βdsi es la desviación estándar del logaritmo natural del desplazamiento espectral para el estado de daño, φ es una función de distribución normal estánd ar acumulada, dsi son los estados de daño definido como: 1. Leve, 2. Moderado, 3. Severo y 4. Completo (justo antes de que se produzca el colapso). Igualmente se determinó el índice de daño global esperado de la estructura (ID), calculado a partir de las probabilidades de ocurrencia de cada estado de daño que se obtienen a partir de las curvas de fragilidad y mediante la Ecuación (4) (Lantada et al . 2009).

Donde, n es el número de los estados de daño considerados no nulos que en este caso es igual a 4 y P(dsi) es la probabilidad de ocurrencia de dsi.
RESULTADOS Y DISCUSIÓN
Las curvas de capacidad o capacidad horizontal de las estructuras (Fig. 8) obtenidas mediante el APA, permiten observar que los valores de corte basal y de desplazamiento en el techo son similares en el rango elástico de las curvas para las direcciones ortogonales ( X, X - , Y+, Y - ) de análisis, mientras que en el rango inelástico la curva que obtuvo un comportamiento aproximado fue la estructura con diafragma rígido.

También se observó que los valores del corte basal para el modelo con diafragma rígido son mayores que la estructura con diafragma flexible, y que ésta última presentó mayores desplazamientos en el t echo (Fig . 8). Una vez realizadas las curvas bilineales o idealizadas de capacidad, se obtienen los valores de reserva de resistencia (Ω), ductilidad estructural (μ), y el factor de reducción de respuesta (R) expuestos en la (Tabla 3) , mediante los procedimiento s descrito en Herrera et al . (2013) p ara los modelos estructurales y de acuerdo a la Ecuación (5) de ductilidad estructural, reserva de resistencia y factor de reducción de respuesta que se muestran a continuación :

Dónde, μ es la ductilidad estructural , Δu es el desplazamiento último, Δy es el Desplazamiento correspondiente al punto decedencia, Ω es la r eserva de resistencia, Vult es el cortante basal último, Vp es el cortante basal de proyecto o elástico y R es el f actor de reducción de respuesta inelástica.

Los valores de reserva de resistencia se encuentran por encima al mínimo teórico de reserva de resistencia = 1 (uno) para ambas estructuras , por consiguiente se presume suficiente reserva de resistencia , es decir, la estructura no colapsa súbitamente debido a que la fuerza o cortante basal último se encuentra por encima del cortante basal de proyecto , además se presentó un aumento de la reserva de resistencia en la estructura con diafragma dirigido. El coeficiente de ductilidad en la estructura con diafragma flexible se encuentra entre 3 < μ < 4 esto indica alta capacidad de disipación de energía y es mayor que la estructura con diafragma rígido. Los valores del factor de reducción de respuesta (R) se encuentran por encima de 4.5 que fue el considerado en el proyecto, indicando que el diseño posee buena reserva de resistencia y capacidad de disipación de energía.
Por otro lado , los desplazamientos en ambas estructuras se obtuvieron en el eje de columna 1B (extremo perimetral) y el ej e 3C (cercanos al CM) de las estructuras (Fig. 1) . S e representa (Fig. 9) el desplazamiento global y deriva de entrepiso del eje 3C en dirección (X y Y) de las estructuras. Se observó, en la estructura con diafragma rígido el desplazamiento global se encuentra entre 0.12< D <0.14 m, mientras que para la estructura con diafragma flexible el desplazamiento global está entre 0.14< D <0.50 m, demostrando grandes desplazamientos típico en este diafragma. Las derivas de entrepiso se verificaron con COVENIN 1756:0 1 ( COVENIN 2001) que establece una deriva máxima de 0.018, siendo la estructura con diafragma flexible la que no verifica (Fig. 9b).

Fueron determinados los puntos de desempeño (Sd) transformando las curvas de capacidad a espectro de capacidad y superponiéndola con el espectro de demanda en un mismo formato Sa - Sd (Fig. 10a ), est e procedimiento es descrito en Fajfar y Gaspersic (1996). Luego con los puntos últimos de fluencia y la Ecuación (3) se determinan las curvas de fragilidad (Fig. 10b) . A través de estas gráficas fue posible la elaboración de la Matriz de Probabilidad de Da ño (Tabla 4) para cada estructura que expresan la probabilidad de daño ante una demanda sísmica.
La muestra que las dos estructuras alcanzaron altas probabilidades de excedencia en el estado de daño Moderado de 43% en dirección X, no obstante, en la estr uctura con diafragma rígido alcanza una alta probabilidad de estado daño Severo de 49% en dirección Y.
Las curvas de índices de daño son obtenidas mediante la Ecuación (4) y el punto de desempeño. La (Fig. 11) muestra la curva de índice de daño global obt enida para la estructura con diafragma rígido en dirección X y e n la (Tabla 5) se observan los valores de los puntos de desempeño e índices daño de cada estructura.




A continuación , la Figura 12 presenta la comparación entre las curvas de capacidad del Análisis Estático Pushover Adaptativo y el Análisis Dinámico Incremental (IDA), la curva roja representa la curva pushover dinámico media, mientras que las curva verde y azul representa la curva de capacidad obtenida del pushover estático (+ y - ) en dirección X. Observa n do una aproximación entre las curvas obtenidas, la estructura con diafragma rígido presentó una mejor aproximación en el comportamiento entre las curvas, mientras que para la estructura con dia fragma flexible existe mayor dispersión y diferencia en los resultados.

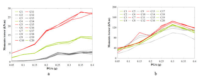
Se procedió a determinar el valor medio de los momentos máximos por columna en el primer piso para cada PGA que engloba las cuatro combinaciones de un sismo y que luego son agrupadas gráficamente. En la Figura 13 se aprecia las curvas agrupadas de la media de Momento torsor máximo vs PGA para el sismo 1 de la estructura con diafragma rígido y flexible ; de forma similar se realizó para las cuatro combinaciones, los sismos 2, 3 y 4 en las estructuras. La Figura 13 a muestra la tendencia de los momentos en función del PGA de la estructura con diafragma rígido y se observa que para las aceleraciones iniciales aproximadamente hasta 0 , 15 g la respuesta es lineal.

Figura 13 . Media máxima de momentos torsores vs PGA para la estructura con d iafragma ( a) Rígido y ( b) Flexible, para el Sismo 1
La figura 14, representa por gráfico de barras los valores medio del momento máximo en planta para un PGA d e 0 , 30 g y para el sismo 1, a fin de obtener el efecto torsional para cada estructura en planta. Se observó que la respuesta torsional aumentó considerablemente en las columnas de la estructura con diafragma flexible con respecto a la estructura con diafragma rígido, se evidenció según lo expuesto en Herrera et al. (2013) , que la respuesta torsional se amplifica en las esquinas adyacentes al área entrante. En este sentido, la estructura con diafragma rígido muestra mayores momentos torsores y rotaciones en las columnas C5, C10, C11, C16 seguidos por C1, C4, C17, C20 ( Figura 13 a), esta tendencia se mantiene para los cuatros sismos aplicados. En el caso de la estructura con diafragma flexible, los mayores efectos torsionales ocurrieron para los sismos 1 y 2; en cuanto a la amplificación de los efectos ocurre en las columnas adyacentes a las áreas entrante, sin embargo el comportamiento torsional no mantuvo una tendencia propia, ya que los elementos que presentaron mayor es esfuerzos torsionales fueron diferentes para cada sismo.

CONCLUSIONES
Los valores de reserva de resistencia obtenidos se encuentran por encima de 1 ( uno ) , se concluye que después de alcanzar el cortante de plastificación se sigue desarrollando de manera satisfactoria su resistencia luego de que sobrepasa el límite elástico. La estructura con diafragma rígido presentó una ductilidad baja, mientras que la estructura con diafragma flexible presentó una ductilidad estructural alta (μ > 3). Por otro lado, las curvas de fragilidad, la matriz de probabilidad de daño y los valores de índices de daño para las estructuras, reflejaron un estado de daño Moderado para la estructura con diafragma flexible, y la estructura con diafragma rígido presentó los estados de daño Moderado en la dirección X y Severo en la dirección Y. La comparación de la curva de capacidad estática y dinámica obtenida para la estructura con diafragma rígido mostró una tendencia uniforme y gran similitud en la relación Cortante vs Desplazamiento. Para la estructura con diafragma flexible existe una mayor dispersión en los resultados y grandes diferencias en las curvas en la dirección más larga del vano (eje X).
El análisis torsional realizado para el primer nivel de las estructuras demostró que los mayores esfuerzos ocurren en las esquinas adyacentes al área entrante en planta en la estructura con diafragma rígido. Mientras que el comportamiento torsional de la estructura con diafragma flexible no mantuvo una tendencia propia, es decir, no existe semejanzas en los momentos o rotaciones para los cuatro sismos aplicados, no obstante, se mantiene la amplificación de efectos torsionales en las esquinas entrantes. De los resultados de momentos torsores realizados al eje de columna 3C, se concluye que el esfuerzo torsional disminuye a medida que aumenta la altura de la edificación y que los mayores momentos y rotaciones se ubican entre el primer y segundo nivel de la estructura.
REFERENCIAS BIBLIOGRÁFICAS
1. ANTONIOU S, PINHO R. 2004. Advantages and limitations of force - based adaptive and non - adaptive pushover procedures. J. Earthq. Eng. 8(4):497 - 522. [ Links ]
2. CHOY J, PALME C, GUADA C, MORANDI M, KLARICA S. 2010. Macroseismic Interpretation of the 1812 Earthquakes in Venezuela Using Intensity Uncertainties and A Priori Fault - Strike Information. Bull . Seismol . Soc . Amer . 100(1):241 - 255. [ Links ]
3. COVENIN ( C OMISIÓN V ENEZ OLANA DE N ORMAS I NDUSTRIALES ). 1988. Norma Venezolana COVENIN - MINDUR 2002 - 88, Criterios y acciones mínimas para el proyecto de edificaciones, Fondonorma, Caracas, Venezuela, pp. 44. [ Links ]
4. COVENIN ( C OMISIÓN V ENEZOLANA DE N ORMAS I NDUSTRIALES ). 2001. Norma Venezola na COVENIN 1756:2001, Edificaciones Sismorresistentes, Requisitos y Comentarios, Fondonorma, Caracas, Venezuela, pp. 21. [ Links ]
5. COVENIN (C OMISIÓN V ENEZOLANA DE N ORMAS I NDUSTRIALES ). 2006. Norma Venezolana COVENIN 1753:2006, Proyecto Construcción de Obras en Conc reto Estructural, Fondonorma, Caracas, Venezuela , pp . 88. [ Links ]
6. FAJFAR P, GASPERSIC P. 1996. The N2 Method for the seismic damage analysis of RC buildings. Earthq . Eng . S truct . Dyn . 25 ( 1 ) :31 - 46. [ Links ]
7. HALLDORSSON B, P APAGEORGIOU A. 2005. Calibration of the specific barrier model to earthquake of different tectonic regions . Bull. Seismol. Soc. Amer. 95(4):1276 - 1300. [ Links ]
8. HERRERA R, UGEL R, VIELMA J, ALFARO A, BARBAT A, PUJADES L. 2013. Seismic response and torsional effects of RC struct ure with irregular plant and variations in diaphragms, designed with Venezuelan codes. Earthquake Resistant Engineering Structures IX, ERES 2013: WIT Trans. Built Environ. 132(1):85 - 96 [ Links ]
9. LANTADA N, PUJADES LG, BARBAT AH. 2009. Vulnerability index and capac ity spectrum based methods for urban seismic RISK evaluation. A comparison. Nat. Hazards. 51(3):501 - 524. [ Links ]
10. MANDER J, PRIESTLEY M, P ARK R. 1988. Theoretical stress - strain model for confined concrete. J. Struct. Eng. 114(8):1804 - 1826. [ Links ]
11. MENEGOTTO M, PINTO P. 1 973. Method of analysis for cyclically loaded RC plane frames including changes in geometry and non - elastic behaviour of elements under combined normal force and bendind. International Association for Bridges and Structural Engineering, Zurich, Switzerland , pp. 15 - 22. [ Links ]
12. MILUTINOVIC Z, TRENDAFILOSKI G. 2003. WP4: Vulnerability of current buildings. Risk - UE project Handbook. September 2003. Risk - UE project report. pp.111 [ Links ]
13. PAPANIKOLAOU V, ELNASHAI A. 2005.Evaluation of conventional and adaptive pushover analys is I: methodology. J. Earthqu. Eng. 9(6):923 - 941. [ Links ]
14. SEISMOSOFT . 2004. SeismoStruct v7.0 A computer program for static and dynamic nonlinear analysis of framed structures, Edi tion 2014 . Available from : http://www.seismosoft.com . (Access 02.02.2016) [ Links ]
15. SEISMOSOFT . 2013. SeismoArtif v2.1 A computer program for generating artificial earthquake accelerograms matched to a spec ific target response spectrum. Available from : from http://www.seismosoft.com (Access 02.02.2016) [ Links ]
16. VAMVATSIKOS D, CORNELL C. 2002. Incremental dynamic analysis . Earthq. Eng. Struct. Dyn. 31( 3 ):491 - 514. [ Links ]
17. VARGAS Y, PUJADES L, BARBAT A, HURTADO J. 2013. Evaluación probabilista de la capacidad, fragilidad y daño sísmico en edificios de hormigón armado. Rev . Int . de Métodos Numér. Cálc . Diseño Ing . 2 9(2):63 - 78. [ Links ]











uBio 
