Servicios Personalizados
Revista
Articulo
Indicadores
-
Citado por SciELO -
Accesos
Links relacionados
-
Similares en
SciELO
Compartir
Agronomía Tropical
versión impresa ISSN 0002-192X
Agronomía Trop. v.54 n.1 Maracay ene. 2004
EL PESO ESPECÍFICO COMO INDICADOR
DE CALIDAD FÍSICA Y FISIOLÓGICA
EN SEMILLA CERTIFICADA DE ARROZ1
Miriana Cerovich*, Fausto Miranda**, Aimara López*,
Rosana Figueroa* y América Trujillo*
1 Producto parcial del proyecto denominado Caracterización del proceso de certificación de semilla de arroz en Venezuela. Financiado por el Convenio Fonacit-FUNDARROZ-Fagro-UCV-INIA.
** Profesor. Universidad Central de Venezuela. Facultad de Agronomía. Instituto de Agronomía. Apdo. 4579. Maracay 2101, estado Aragua. Venezuela. E-mail: lcta@agr.ucv.ve
*** Investigador jubilado. Instituto Nacional de Investigaciones Agrícolas. Centro Nacional de Investigaciones Agropecuarias. Apto 4563. Maracay 2101. Venezuela.
E-mail: fmiranda@inia.gov.ve
RESUMEN
La mayor utilización de semilla certificada de arroz (SCA) de óptima calidad mejoraría la competitividad de la cadena de arroz. Los análisis oficiales de germinación y pureza evalúan insuficientemente la calidad integral de la SCA. Esta investigación evaluó el peso específico (PES) y la emergencia en campo (PEC) como indicadores de calidad física y fisiológica de SCA en las variedades Araure 4, Cimarrón, FONAIAP 1 y Palmar. Para determinar la uniformidad de la SCA, las semillas se sumergieron en soluciones de sulfato de amonio (SDA), ajustadas a ocho densidades entre ³1,6 y <1 g cc-1. Las evaluaciones entre Variedades, PES, PEC y porcentaje de germinación en laboratorio (PGEL), se realizaron en el laboratorio de semillas y campo de la Facultad de Agronomía-UCV, usando el diseño en bloques al azar, con arreglo factorial para variedades y clases de PES, y separación de medias de tratamientos con rangos múltiples de Duncan. La inmersión en SDA separó ocho clases de PES, confirmando alta desuniformidad de la SCA en las cuatro variedades. La semilla con mayor PES (³1,6 g cc-1) representó el 90% de la SCA. Su PGEL y PEC superaron estadísticamente al resto de clases de semilla. Las semillas con mayor PES y el testigo SCA tuvieron PEC y PGEL superiores a 80%, lo que avala al PEC como método de apoyo al PGEL para evaluar la calidad fisiológica de la semilla de arroz. Las semillas con PES £1,6 g cc-1 mostraron inferior calidad física y fisiológica que la SCA.
Palabras Clave: Oryza sativa L.; semilla; certificación; germinación; emergencia; peso específico; vigor.
SUMMARY
The production and utilization of high quality certified rice seed (CSR) are important strategies to improve the competitiveness of the Venezuelan rice seed industry. Official germination and purity trials do not completely evaluate overall quality of CRS. This investigation evaluated specific weight of seed (SWS) and percentage of field emergence (PFE) as indicators of physical and physiological quality of CRS of `Araure 4', `Cimarron', `Fonaiap 1' and `Palmar' varieties. In order to determine uniformity, seed samples were immersed in a 96% solution of ammonium sulphate adjusted to six densities ranging from ³1.6 to <1 g cc-1 . The associations between varieties, classes of SWS, PFE and percentage of germination in the laboratory (PLG), were evaluated by field and laboratory trials conducted in the facilities of the Agronomy School of the Central University of Venezuela, located at Maracay, Venezuela, using a random blocks (RB) desing and a factorial arrangement for varieties and classes of SWS. Duncan's Multiple Range Test was used for assessment of treatments means. Results indicated the separation of eight classes of SWS confirming high heterogeneity of commercial CRS for all varieties. In all tests performed, always the heaviest seed class (³1.6 g cc-1) represented more than 90% of total bulk of CSR. Also, it was remarkable that results for PLG and PFE of the heaviest SWS class, were consistently superior than those with SWS £1.6 g cc-1. The quality of seed belonging to SWS class ³1.6 g cc-1 showed a highly deteriorated and weedy profile affecting overall quality of CSR. These findings seem to justify the innovation in processing procedures, by adding equipment for densimetric analysis to up grade the current level of physical and physiological quality of the CSR used by Venezuela farmers.
Key Words: Rice. Oryza sativa L.; seed; germination; field emergency; specific weight; vigor.
RECIBIDO: abril 30, 2003.
INTRODUCCIÓN
El uso de semilla de calidad óptima es una estrategia importante para mejorar la competitividad de la agroindustria de semilla de arroz y otros cultivos. En Venezuela, el diagnóstico de la cadena agroindustrial de arroz identificó problemas con la pureza genética y calidad general de la semilla certificada de arroz (SCA), según lo señala Martínez (1996). Los trabajos de Cerovich y Miranda (1998 y 2001) confirman tales señalamientos y proponen alternativas tecnológicas para mejorar la calidad de SCA utilizada en el sistema de producción de arroz.
El grado de calidad de la semilla, es el reflejo de la compleja interacción entre las características genéticas de la variedad, las condiciones ambientales y el programa de control de calidad aplicado al proceso de producción y comercialización de la semilla (Amaral y Dos, 1979; Cerovich, 1998; Miranda, 1998; Miranda y Cerovich, 2001), lo que hace muy difícil su clasificación.
Diversos autores sustentan que los factores individuales de calidad genética, física, fisiológica y sanitaria de la semilla pueden ser caracterizados mediante el desarrollo y estandarización de protocolos, sencillos y confiables para cada fin en particular (Coolbear y Hill 1998; McDonald 1994; Cerovich 1998; Cerovich y Miranda 2001).
En Venezuela la certificación oficial de la calidad de semilla de arroz y otros cultivos es responsabilidad del Servicio Nacional de Semillas (SENASEM) mediante la verificación de la calidad física y fisiológica de la semilla de lotes producidos en diversas áreas y condiciones de manejo y cosecha (Miranda, 1998).
En el contexto de la tecnología de semillas, la germinación es un concepto amplio y complejo, definida por Copeland y McDonald (1985) e ISTA (1993) como "la emergencia y desarrollo de las estructuras esenciales de las plántulas que indican su habilidad para crecer y desarrollarse como una plántula normal bajo condiciones ambientales favorables", y termina cuando ha iniciado su capacidad normal de autosustentación.
El porcentaje de germinación en laboratorio (PGEL) es el ensayo oficial para evaluar la calidad fisiológica de lotes de semilla, con valor mínimo de 80% para la certificación en semillas de arroz. En este sentido,
Coolbear y Hill (1998) destacan la debilidad del método, al citar que lotes aprobados con altos PGEL pueden presentar un mal comportamiento en el campo.
Adicionalmente, McDonald (1994), Cerovich y Miranda (2001) y Miranda y Cerovich (2001) refieren que semillas cosechadas en estadio de madurez fisiológica, cuando el peso seco y la germinación han alcanzado su máxima expresión, pueden experimentar reducciones apreciables de vigor y tolerancia al efecto de agentes patogénicos y no patogénicos que deterioran su calidad.
La aprobación o rechazo de la certificación, sobre la base de la PGEL, como único estimador oficial de la calidad fisiológica de la semilla, es tema controversial que determina la conveniencia de incorporar nuevos métodos de vigor como rutina para caracterizar la calidad fisiológica en semillas de distintos cultivos (Sung y Delouche 1962; McDonald, 1994; Coolbear, 1998; Miranda, 1998).
En el caso del arroz, diversos autores destacan el uso del PES como indicador potencial de calidad, al describir experimentos de laboratorio y campo donde las semillas de mayor peso y tamaño mostraron mayor capacidad de germinación, vigor y longevidad (Sung y Delouche, 1962; Amaral y Dos, 1979; Coolbear y Hill, 1998).
El objetivo de esta investigación fue evaluar las relaciones entre PES, PGEL y porcentaje de emergencia en campo (PEC) como indicadores de la calidad física y fisiológica de SCA de las cuatro variedades de arroz más utilizadas en el país.
MATERIALES Y MÉTODOS
Esta investigación fue realizada en el laboratorio de semillas y el campo experimental de la Facultad de Agronomía de la Universidad Central de Venezuela (FAGRO-UCV). Se utilizó SCA de las variedades Araure 4, Cimarrón, FONAIAP 1 y Palmar, producidas por la Asociación de Productores de Semillas Certificadas de los Llanos Occidentales (APROSCELLO), en el estado Portuguesa y certificada por SENASEM durante ese año.
Para obtener semilla de las ocho clases de PES se utilizó la técnica de inmersión de semillas en soluciones de sulfato de amonio, previamente
ajustadas a las densidades específicas de <1,0; 1,0; 1,13; 1,20; 1,30; 1,40; 1,50 y ³1,60 g cc-1, mediante diluciones sucesivas de sulfato de amonio 96% de pureza (SA 96%) en agua destilada, calculadas según la fórmula:
Densidad específica =gramos (g) de SA 96% x volumen agua (cc-1)
El procedimiento consistió en sumergir 2 kg de semilla certificada en la solución de SA con la mayor densidad (³1,60 g cc-1) hasta su total humedecimiento. La fracción de semillas sumergidas fue extraída, lavada, secada y clasificada como la de mayor peso específico. Las semillas flotantes fueron extraídas, lavadas, secadas y nuevamente sumergidas en la solución de SA con la siguiente densidad correspondiente, es decir, 1,50 g cc-1. Este procedimiento fue repetido hasta completar las ocho clases de PES previamente identificadas, para ser utilizadas en las posteriores evaluaciones de PGEL, PEC y PES de las cuatro variedades.
El testigo utilizado fue la semilla procesada por técnicas convencionales y certificada por SENASEM debido a que esta cumple con las normas vigentes para SCA (Miranda, 1998). En ambas etapas, el diseño experimental usado fue bloques al azar, en un arreglo factorial con dos factores: variedad (V) a cuatro niveles y peso específico de semillas (PES) a nueve niveles (8 PES y 1 testigo) para un total de 36 tratamientos.
Los análisis de germinación en laboratorio (PGEL) de los tratamientos se condujeron bajo las prescripciones de la Asociación Internacional de Análisis de Semillas (ISTA 1993). Para la prueba de vigor por emergencia en campo (PEC) la duración de la prueba y los criterios de evaluación de plántulas también se siguieron por las reglas ISTA 1993, mientras que la separación de medias de tratamientos se realizó mediante la prueba de rangos múltiples de Duncan.
Para el experimento de campo las semillas fueron pre-germinadas en una solución de Vitavax 200 con agua destilada, durante 24 h, y sembradas en canteros de 16 m de largo por 1,2 m de ancho, a razón de 2,25 g de semillas por hilera del tratamiento respectivo (equivalente de 125 kg ha-1). El diseño experimental usado fue bloques al azar con tres repeticiones, y la unidad experimental estuvo conformada por tres hileras.
Los canteros fueron cubiertos con hojas de palma secas, hasta cinco días después de la siembra (DDS), para evitar contaminación sanitaria y
mezcla con semillas de otras variedades asociadas con el uso convencional de cascarilla de arroz como cobertura. El PEC fue expresado en porcentaje de plántulas normales (ISTA, 1993) emergidas a los 14 DDS.
RESULTADOS Y DISCUSIÓN
El Cuadro 1 muestra la distribución porcentual por clase de peso específico de semilla certificada (SCA) para las cuatro variedades utilizadas.
Cuadro 1. Distribución porcentual de las clases de peso específico de semilla certificada de arroz, producida en el estado Portuguesa, Venezuela.
| Proporción y Clases de peso específico (g cc-1) | |||||||||
| ³ 1,6 | 1,5 | 1,4 | 1,3 | 1,2 | 1,13 | 1,0 | <1,0 | å* | |
| Araure 4 | 92,76 | 1,47 | 1,98 | 0,78 | 0,61 | 0,43 | 0,64 | 1,32 | 7,23 |
| Cimarrón | 95,06 | 0,49 | 1,99 | 0,64 | 0,46 | 0,30 | 0,35 | 0,71 | 4,94 |
| FONAIAP 1 | 90,54 | 1,66 | 1,87 | 1,36 | 0,97 | 0,63 | 1,06 | 1,89 | 9,44 |
| Palmar | 96,11 | 0,68 | 1,28 | 0,45 | 0,36 | 0,23 | 0,26 | 0,62 | 3,88 |
* Sumatoria de los PES desde 1,5 hasta <1,0 g cc-1.
Este resultado confirma la vigencia de los problemas de calidad física y sanitaria de la SCA citados por diferentes investigadores (Nass et al., 1985; Martínez 1996; Cerovich y Miranda, 2001). En el mismo Cuadro 1 se observa que la clase con PES ³1,6 g cc-1, representaba más del 90% de la SCA utilizada, con rango entre 90,54% para FONAIAP 1 y 96,11% para Palmar. Consecuencialmente la proporción de semillas pertenecientes a las siete clases restantes, con PES entre £1,5 y <1,0 g cc-1, fue inferior a 10% del total, con rango entre 9,44% para FONAIAP 1 y 3,88% para Palmar. Estos resultados confirman los aportados por Sung y Delouche (1962); Amaral y Dos (1979); Coolbear y Hill (1988), quienes describieron la estrecha correlación entre el peso específico y calidad de semilla de arroz.
Los resultados presentados en el Cuadro 1 sustentan la factibilidad de mejorar la calidad física, fisiológica y sanitaria de la SCA, mediante la incorporación de técnicas de separación por peso específico, al flujo de procesamiento de semilla de arroz para mejorar el PES general.
Porcentaje de germinación en laboratorio (PGEL)
Se detectaron diferencias altamente significativas para los factores independientes V, PES y la interacción V x PES (Cuadro 2). Los cuadrados medios de los factores independientes V y PES superaron notablemente al de la interacción V x PES y el bajo coeficiente de variación (8,68%) del experimento demostró la consistencia de esta evaluación (Cuadro 2).
Cuadro 2. Cuadrados medios para el porcentaje de germinación en laboratorio (PGEL) de semilla certificada de arroz.
| Fuente de Variación | G de L | Cuadrados Medios |
| Bloque | 3 | 620,55** |
| Variedad (Var) | 3 | 1.251,64** |
| Peso Específico (PE) | 8 | 5.081,79** |
| Var x PE | 24 | 154,59** |
| EE | 105 | 36,12 |
| Total | 143 | |
| CV (%) | 8,68 |
** Significativo al nivel del 1%
La Figura 1 muestra que las cuatro variedades tuvieron valores de PGEL superiores al 80% del mínimo exigido por SENASEM para la certificación oficial de semilla de arroz (Miranda, 1998); sin embargo, el método de separación de medias de Duncan reveló que los PGEL de la semilla de las variedades Araure 4 y FONAIAP 1 fueron estadísticamente superiores al de Cimarrón y Palmar.
Figura 1. Influencia de la variedad sobre el porcentaje de germinación de semilla certificada de arroz, producida en el estado Portuguesa, Venezuela.
Este hecho ratifica el criterio de Cerovich (1998) y Miranda (1998) respecto a la debilidad del PGEL como único criterio de valoración de la calidad fisiológica de la SCA y destaca la necesidad de desarrollar nuevos métodos más precisos y consistentes de control y aseguramiento de calidad ofertada en el mercado actual de SCA.
La Figura 2 presenta los PGEL correspondientes a las ocho clases de PES y el testigo SCA de las cuatro variedades. El PGEL de la clase con mayor PES superó estadísticamente a la SCA y a las siete clases de semillas con PES £1,5 g cc-1. Estos datos muestran que solamente la clase con mayor PES y la SCA supera el 80% mínimo de germinación exigido por SENASEM para otorgar la certificación a semilla de arroz (Miranda, 1998) y confirmar las ventajas del PES como indicador sencillo y confiable de la calidad física (PES) y fisiológica (PGEL) de la SCA, así como la conveniencia de su incorporación al procesamiento industrial convencional, para eliminar las semillas y otros contaminantes físicos y sanitarios con PES £1,5 g cc-1 que perjudican la calidad integral de la semilla.
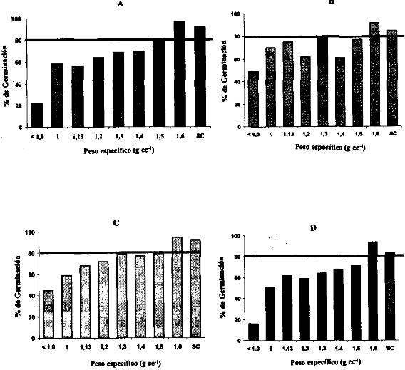
El efecto de la interacción V x PES sobre el PGEL de las cuatro variedades evaluadas se presenta en la Figura 3; el perfil del PGEL de semillas con PES £1,5 g cc-1 fue diferente para cada variedad, con valores generalmente inferiores al 80% que no satisfacen los requisitos de calidad fisiológica exhibidos por SENASEM. Esta interacción también evidenció que el PGEL de las semillas con PES ³1,6 g cc-1, siempre superó al 80%, con diferencias altamente significativas con respecto a la semilla certificada usada como testigo. Por cuanto esta información ratifica la influencia de semillas con PES ³1,6 g cc-1 sobre la calidad del lote, los resultados que se discuten a continuación están sustentados por los resultados obtenidos para los factores independientes variedad (V) y peso específico (PE).
Figura 2. Influencia del peso específico sobre el porcentaje de germinación de semilla certificada de arroz, producida en el estado Portuguesa, Venezuela.
Figura 3. Efecto de la interacción variedad x peso específico sobre el porcentaje de germinación en laboratorio (PGEL), de semillas de arroz de las variedades A) Araure 4; B) Cimarrón; C) FONAIAP 1 y D) Palmar.
Porcentaje de emergencia en campo (PEC)
El Cuadro 3 muestra el análisis de varianza para porcentaje de emergencia en campo (PEC), apreciándose diferencias altamente significativas para los factores independientes V, PES y su interacción V x PES. En este caso, también se descartó la evaluación de la interacción porque su cuadrado medio (299) resultó muy inferior al de los factores independientes V y PES.
Cuadro 3. Cuadrados medios para el porcentaje de emergencia en campo (PEC) de semillas certificadas de arroz.
| Fuente de Variación | G de L | Cuadrados Medios |
| Bloque | 2 | 564,6** |
| Variedad (Var) | 3 | 2 697,9** |
| Peso Específico (PE) | 8 | 8.021,7** |
| Var x PE | 24 | 299,0** |
| Em | 210 | 27,3 |
| EE | 67 | 114,7 |
| Total | 314 | |
| CV (%) | 7,26 |
** Significativo al nivel del 1%
La relación entre variedades y el porcentaje de emergencia de plántulas (PEC) a los 14 DDS como indicador del vigor de la SCA, se presenta en la Figura 4. El vigor de Araure 4 (91% PEC) fue estadísticamente superior al de las restantes variedades. El grupo de FONAIAP 1 y Cimarrón (86 y 84% PEC, respectivamente) demostró vigor intermedio y Palmar resultó con el menor vigor (81% PEC). También se observó que independientemente de las diferencias estadísticas, el PEC de las cuatro variedades, al igual que en las pruebas de PGEL, superó el 80% exigido por SENASEM, indicando alto nivel de vigor de la SCA evaluada.
El vigor de las semillas para cada una de las clases de peso específico expresado por los porcentajes de plántulas normales emergidas a los 14 DDS, confirma la consistencia del comportamiento del PES como indicador de calidad física y del PEC como indicador de vigor de la semilla certificada de arroz (Figura 5).
Los resultados obtenidos en esta investigación son altamente coincidentes con los trabajos de Sung y Delouche (1962), realizados para evaluar la influencia del PES sobre el vigor y germinación de semilla de variedades de arroz del tipo japónico; igualmente con el de Amaral y Dos (1979) en arroz, al confirmar la superioridad estadística de las semillas de mayor PES respecto a la SCA testigo y al resto de clases de PES.
Figura 4. Influencia de la variedad sobre el porcentaje de emergencia en campo de semilla certificada de arroz, producida en el estado Portuguesa, Venezuela.
Adicionalmente, el PEC identifica dos grupos de semillas con niveles de vigor claramente diferentes: el primero, con PEC superior al 80%, integrado por las clases de semillas con PES ³1,6 g cc-1 y la SCA; el segundo, con PES inferior a 80% que incluye todas las semillas con PES £1,5 g cc-1.
El bajo coeficiente de variación de estos experimentos (7,26%) sustenta su consistencia como prueba de vigor de semillas que complementaría la información suministrada por el PGEL sobre la calidad fisiológica de los lotes de SCA disponibles para su comercialización y uso por los productores de arroz paddy .
Los daños económicos y ambientales asociados con la producción, comercialización y siembra de semilla certificada de arroz con problemas de calidad física, fisiológica y sanitaria, indican la conveniencia de desarrollar y validar nuevas técnicas y equipos de separación por peso específico para optimizar el procesamiento agroindustrial de la semilla certificada de arroz.
Figura 5. Influencia del peso específico sobre el porcentaje de emergencia en campo de semilla certificada de arroz, producida en el estado Portuguesa, Venezuela.
CONCLUSIONES
- La inmersión de SCA en soluciones de sulfato de amonio 96% es una técnica de fácil aplicación, alta reproducibilidad y bajo costo, relativo para evaluar la heterogeneidad de pesos específicos contenidas en lotes comerciales de SCA.
- El PES, sólo o en combinación con los ensayos de PGEL y PEC, es un indicador consistente de la calidad física y fisiológica de la SCA.
- El PEC es un método sensible y consistente para discriminar semillas de alto y bajo vigor, pero requiere evaluaciones complementarias para validar su confiabilidad como estimador del vigor de semillas de arroz.
BIBLIOGRAFÍA
1. AMARAL, D. and S. DOS. 1979. Effect of weight and size of seed on the physiological quality and yield of rice grains. Arrozeira 32:24-26 [ Links ]
2. CEROVICH, M. 1998. Control de calidad de semillas. In: X Curso Taller de Producción Económica de Arroz Bajo Riego. Módulo 7. Acarigua, Ven. FUNDARROZ. 14 pp. [ Links ]
3. CEROVICH, M. y F. MIRANDA. 2001.Sanidad de semillas: componente básico de la calidad de semilla. In: Curso de Patología de Semillas. XVII Congreso de Fitopatología de Semillas. Maracay, Ven. Universidad Central. Facultad de Agronomía. 17 pp. [ Links ]
4. COOLBEAR, P. and M. J. HILL. 1998. Seed quality control. In: Rice Seed Health. Philippines. IRRI. 361 pp. [ Links ]
5. COPELAND, L. O. and M. B. MCDONALD. 1985. Principles of seed science and technology. 2nd. Ed. New York. Macmillan. 321 p. [ Links ]
6. INTERNATIONAL SEED TESTING ASSOCIATION (ISTA). 1993. International rules for seed testing. Seed Sci. and Techno. 4:4-117. [ Links ]
7. MARTÍNEZ, P. 1996. Situación del cultivo del arroz en Venezuela. Diagnóstico. Acarigua, Ven. FUNDARROZ. 211 pp. [ Links ]
8. McDONALD, M. Jr. 1994. Seed lot potential: viability, vigor and field performance. Seed Sci and Techno. 22:421-425. [ Links ]
9. MIRANDA, F. 1998. Bases legales y técnicas para la certificación de semillas de arroz en Venezuela. In: X Curso Taller de Producción Económica de Arroz Bajo Riego. Módulo 7. Acarigua, Ven. FUNDARROZ. 15 pp. [ Links ]
10. MIRANDA, F. y M. CEROVICH. 2001. Patología de semillas en un mercado globalizado. In: Curso de Patología de semillas. XVII Congreso de Fitopatología de semillas. Maracay, Ven. Universidad Central. Facultad de Agronomía. 19 pp. [ Links ]
11. NASS, H., H. RODRÍGUEZ, L. ALEMÁN, J. PINEDA y F. GIL. 1985. Distribución e intensidad de las enfermedades fungosas en semillas de arroz en el estado Portuguesa. In: Memorias IX Seminario Nacional de Fitopatología. Maracay, Ven. Sociedad Venezolana de Fitopatología. 71 p. [ Links ]
12. SUNG, T. and J. DELOUCHE. 1962. Relation of specific gravity to vigor and viability in rice seed. Proc. Assoc. Off. Seed Anal. 52:162-168. [ Links ]














