Serviços Personalizados
Journal
Artigo
Indicadores
-
Citado por SciELO -
Acessos
Links relacionados
-
Similares em
SciELO
Compartilhar
Agronomía Tropical
versão impressa ISSN 0002-192X
Agronomía Trop. v.58 n.1 Maracay mar. 2008
Evapotranspiración diaria del tomate determinada mediante un lisímetro de pesada
Rafael Rodríguez* y Reinaldo Pire**
*Investigadores. Universidad Centroccidental "Lisandro Alvarado" (UCLA). Decanato de Agronomía, Departamento de Ingeniería Agrícola.
**Postgrado de Horticultura. Tarabana. Estado Lara. Venezuela.
RESUMEN
En los últimos años se han venido utilizando fórmulas empíricas para la determinación de la evapotranspiración de referencia, pero se desconoce si estos valores se correlacionan bien con la evapotranspiración real de los cultivos, principalmente porque estos últimos son escasos. Aunque no es fácil obtener un valor exacto de este parámetro, existen diversas metodologías basadas en datos climáticos que pueden ser utilizadas para tal fin, además de métodos directos que permiten obtener información del agua consumida, utilizando para ello instrumentos para su determinación. Las hortalizas incluyen especies exigentes en agua. El tomate, Lycopersicon esculentum Mill., es especialmente sensible al déficit hídrico en el momento de trasplante y floración. En relación con lo anterior se determinó la evapotranspiración real diaria de un cultivo de tomates mediante un lisímetro de pesada en la zona de Tarabana, estado Lara, para ello, se realizaron experimentos durante dos ciclos consecutivos (Años 2004 y 2005). Los resultados oscilaron entre 2,95 y 7,3 mm/d, durante el ciclo 2004 y para el ciclo 2005 los valores fluctuaron entre 3,3 y 8,62 mm/d. Durante los ciclos se calcularon coeficientes de cultivo para cada una de las fases de desarrollo, los cuales oscilaron entre 0,64 y 0,78 para la fase inicial, 1,14 y 1,30 durante la fase de mediados de ciclo y para la etapa final se obtuvieron valores que fluctuaron entre 0,5 y 1,22. También se compararon algunas de las metodologías empleadas en la determinación de la evapotranspiración, resultando la más adecuada para la zona estudiada, el modelo basado en la ecuación de Penman Monteith.
Palabras Clave: Fenología; tomate; riego.
Daily evapotranspiration of tomato using weighing lysimeter
SUMMARY
Recently indirect method have been used for getting reference crop evapotranspiratión (ETo), however results from those methods and their relations with other crops are not tested properly. Between the years 2004 and 2005 in Tarabana (Lara State of Venezuela) a research was conducted for estimation and measurements of ETc and ETr for tomato, Lycopersicon esculentun M., using a weighing lysimeter and six methods for ETo including Kc and direct measurements with lysimeters. The values including results between 2,95 and 7,3 mm d-1 in 2004 and 3,3 and 8,62 in the 2005. Kc values were 0, 64 and 0,78; 1,14 and 1,30; and finally 0,5 and 1,22 during initial, development and late state respectively. The highest correlation was found for Penman Monteith.
Key Words: Fenología; tomate; riego.
Recibido: septiembre 24, 2007 Aceptado: octubre 23, 2007
INTRODUCCIÓNRecientemente se han venido utilizando fórmulas empíricas para la determinación de la evapotranspiración de referencia (López et al., 2006), pero se desconoce si estos valores se correlacionan bien con la evapotranspiración real de los cultivos, principalmente porque estos últimos son escasos. Existen diversas metodologías basadas en datos climáticos que pueden ser utilizadas para tal fin, además de métodos directos que permiten obtener información del agua consumida, utilizando para ello instrumentos para su determinación. Las hortalizas incluyen especies exigentes en agua. En relación con lo anterior se determinó la evapotranspiración real diaria de un cultivo de tomates mediante un lisímetro de pesada en la zona de Tarabana, estado Lara.
MATERIAL Y MÉTODOS
El lisímetro de pesada poseía una capacidad superior a las 5 toneladas y un área de 2,54 m2 lo que permitió detectar variaciones en el peso de hasta 100 g (lámina de 0,05 mm), disponía de una salida en el fondo para permitir el lavado periódico de sales. Contenía una mezcla de suelo mineral y orgánico, donde se colocaron las plántulas de tomate variedad Río Grande de 28 d de edad, en hileras distanciadas a 90 cm y con una separación de 35 cm entre plantas. Se regó por goteo superficial con la cantidad y frecuencia suficientes para mantener un nivel óptimo de humedad (aproximadamente 10-20 centibares de tensión a 30 centímetros de profundidad).
La evapotranspiración real (ETr) fue medida durante todo el ciclo de cultivo y los Kc para las diferentes fases fenológicas se calcularon basados en la relación Kc= ETr/ETo.
Se realizaron experimentos durante dos ciclos consecutivos; años 2004 y 2005. Y los valores de evapotranspiración real se compararon algunas de las metodologías empleadas en la determinación de la evapotranspiración de mayor uso en zonas tropicales (Pire, 2003) tales como (Penman-Monteith, Blaney-Criddle, Radiación, Hargreaves y Samani, Tina de evaporación, García-López y Jensen Haise).
RESULTADOS Y DISCUSIÓN
Las necesidades hídricas totales fluctuaron entre 613 mm, para el año 2004, y 515 mm durante el año 2005, con valores promedios de ETr de 5,730 y 5,726 mm.d-1, respectivamente. Estos resultados coinciden con los manifestados por Doorenbos y Kassan (1980), donde señalan que las necesidades totales de agua para un cultivo de tomates producido en campo son de 400 a 600 mm. Y son menores a los señalados por Hanson y May (2006), quienes calcularon los requerimientos hídricos para tomate industrial, obteniendo valores anuales que fluctuaron entre 572 y 742 mm. Monteith.
La ETr diaria del cultivo, para el ciclo 2004, fluctuó entre 7,3 mm d-1, durante la fase de fructificación y 2,95 mm d-1 durante la etapa inicial. Para el ciclo del 2005, los valores de ETr fluctuaron entre 8,62 y 3,3 mm d-1, coincidiendo con las fases fenológicas ya mencionadas.
Los Kc para el año 2004 (Figura 1) fueron de 0,78 en la etapa inicial, 1,14 en la fructificación y para la etapa de cosecha se presentaron valores que fluctuaron entre 0,50 y 1,09.
Figura 1. Variación del Kc. Ciclo 2004.
En el año 2005 (Figura 2) los valores de Kc obtenidos resultaron en 0,64 para la etapa inicial, 1,30 en la fructificación y durante la etapa final valores que oscilaron entre 0,79 y 1,22. Para el ciclo 2004, se observaron valores altos de Kc durante los primeros días de trasplante del tomate, siendo esto evidente hasta el día 10, lo cual se debió posiblemente a que el suelo se había regado en abundancia, con valores cercanos a saturación con la finalidad de garantizar la humedad suficiente durante el trasplante (Aboukahaled, 1982).
Figura 2. Variación del Kc. Ciclo 2005.
Con respecto a los valores altos del Kc observados en la etapa intermedia durante los dos ciclos, presumiblemente se debieron al exceso de riego durante esos días, al respecto López et al. (2006), señalan que la variación del Kc en las etapas intermedias es debido a la frecuencia de lluvias o al riego. Sin embargo, Hanson y May (2005), sugieren el uso de rangos para mediados de temporada que oscilan entre 1,05 y 1,3, rango que incluye los valores reportados por este trabajo.
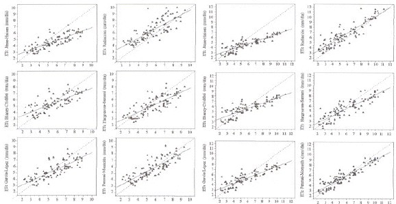
Con relación a la comparación entre valores de ETr y ETc, calculados por diferentes metodologías (Figura 3) las ecuaciones de Penman - Monteith y Radiación según la FAO, obtuvieron para los dos períodos estudiados los más altos valores de coeficiente de determinación, demostrando su efectividad al disponer de datos necesarios para su aplicación y reconociendo la sobreestimación de los resultados obtenidos por el método de la radiación modificado por la FAO. Al respecto Allen et al. (1998), señala que el método de Penman - Monteith se recomienda como el único procedimiento estándar para la definición y el cálculo de la evapotranspiración de referencia.
Figura 3. Comparación entre valores de ET medidos en el lisímetro y valores de ETc calculados, por diferentes metodologías (Año, 2004 y 2005).
CONCLUSIONES
- La ETr obtenida mediante un lisímetro de pesada fluctuó entre 2,95 mm.día-1 y 8,62 mm.d-1, al considerar los dos ciclos evaluados.
- Se obtuvieron tres valores de Kc a partir del modelo polinomico.
- La ecuación que mejor reprodujo los valores de ETr durante los dos ciclos de tomate evaluados, fue la ecuación de Penman Monteith.
BIBLIOGRAFÍA
1. Aboukahaled, A., A. Alfaro and M. Smith. 1982. Lysimeters. Irrigation and Drainage. Paper FAO 39. FAO, Roma. 68 p. [ Links ]
2. Doorenbos, J y W. Pruitt. 1977. Efectos del agua sobre el rendimiento de los cultivos. FAO Paper Nº 33. pp. 206. [ Links ]
3. Hanson, B. and D. May. 2006. Crop coefficients for drip-irrigated processing tomato. Agricultural Management 81: 381- 399. [ Links ]
4. López, R., F. Martín de Santa Olalla, C. Fabeiro and A. Morata. 2006. Testing evapotranspiration equations using lysimeter observations in a semiarid climate. Agricultural Water Management 85:15 26. [ Links ]
5. Pire, R. y R. Rodríguez. 2003. Evapotranspiration of bell pepper in the tropics as measured by a weighing lysimeter. Fourth International Symposium on irrigatin of Horticultural Crops. Davis, California, USA. September 1-5, 2003). [ Links ]















