Servicios Personalizados
Revista
Articulo
Indicadores
-
Citado por SciELO -
Accesos
Links relacionados
-
Similares en
SciELO
Compartir
Archivos Latinoamericanos de Nutrición
versión impresa ISSN 0004-0622versión On-line ISSN 2309-5806
ALAN v.50 n.3 Caracas set. 2000
The influence of dietary nucleotides and long-chain polyunsaturated fatty acids on the incorporation of [3H]
arachidonic acid on experimental liver cirrhosisLuísa R.M. Leite, Eliane Moreira- Vaz, Glorimar Rosa, Andréa C. Pereira, Christianne R. Monteiro, Femanda J. Medeiros, Vera L.A. Chagas
Universidade Federal do Rio de Janeiro (UFRJ), Universidade Estácio de Sá (UFRJ), Brazil
SUMMARY.
The purposes of this study were to determine: a) the incorporation of labeled [3H] arachidonic acid on the intestinal mucosa, the liver and plasma, after 1, 3 and 5 hours of administration, b)preferential incorporation by different tissues, c) and the effects on experimental rats with thioacetamide-induced cirrhosis, after four weeks of a dietary supplementation with nucleotides and long-chain polyunsaturated fatty acids. 209 female Wistar rats were divided into two groups (control and TAA group). The TAA group was given 300 mg of thioacetamide/L, in their drinking water for four months. After this period, a sample of 6 rats were taken from each group and examined, to evaluate the biochemical and histological changes of the experimental model, and 36 rats were taken to determine the incorporation of radioactivity by the groups. The rest of the animals were divided into four subgroups. Each group, receiving a supplementary diet with only long-chain polyunsaturated fatty acids and/or nucleotides or neither, for 4 weeks. After four months of thioacetamide, the incorporation of the [3H] arachidonic acid showed: a) an increased within 3 h in the intestinal mucosa, b) a decreased in the liver after 3 lo 5 h c) and a drastic decrease in the plasma after 3 to 5 h. With a dietary supplementation of long-chain polyunsaturated fatty acids and nucleotides combined, there was a decrease of accumulate [3H] arachidonic acid in the intestine and a increase in the liver and plasma. The simultaneous supply of dietary polyunsaturated fatty acids and nucleotides was beneficial in the reversal of abnormalities of the lipid metabolism, in this experimental model of liver cirrhosis.
Key words: Arachidonic acid, cirrhosis, liver, nucleotides polyunsaturated fatty acids, thioacetamide.
RESUMO.
Influência dos nucleotídeos dietéticos e ácidos graxos poliinsaturados na incorporação de [3H] ácido araquidônico na cirrose hepática experimental. Os objetivos deste estudo foram determinar: a) a incorporação de [3H] ácido araquidônico na mucosa intestinal, fígado e plasma, após 1, 3 e 5 horas de administração da emulsão radioativa, b) a incorporação preferencial em diferentes tecidos e c) os efeitos do tratamento dietético, por quatro semanas, com nucleotídeos e ácidos graxos poliinsaturados, em ratos com cirrose hepática induzida por tioacetamida. 209 ratas da raça Wistar, foram divididas em dois grupos (controle e TAA). O grupo TAA recebeu a tioacetamida na concentração de 300 mg/L, dissolvido na água de bebida, por quatro meses. Após este período, uma amostra de 6 animais de cada grupo foram sacrificados para confirmação das mudanças bioquímicas e histológicas, características do modelo experimental e trinta e seis animais foram utilizados para determinar a incorporação do radioisótopo. O restante dos animais foram divididos emquatro subgrupos. Cada grupo recebeu uma dieta suplementada com ácidos graxos poliinsaturados e nucleotídeos, isoladamente ou combinados. Após quatro meses de tioacetamida, a incorporação do [3H] ácido araquidônico resultou em: a) aumentada retenção na mucosa intestinal após 3 h, b) reduzida retenção no fígado após 3 e 5 horas, c) uma importante redução no plasma após 3 e 5 horas. O tratamento dietético com ácidos graxos poliinsaturados e nucleotídeos combinados promoveu uma redução do [3H] ácido araquidônico acumulado na mucosa intestinal e num aumento da incorporação no fígado e plasma. A suplementação simultânea de ácidos graxos poliinsaturados e nucleotídeos dietéticos foi benéfica para reverter anormalidades do metabolismo lipídico existentes, neste modelo experimental de cirrose hepática.
Palavras chave: Acidos graxos poliinsaturados, ácido araquidônico, cirrose, fígado, nucleotídeos, tioacetamida.
Recibido: 17-07-1999 Aceptado: 06-06-2000
INTRODUCTION
Protein-energy malnutrition is often found in chronic live disease, especially in alcoholics. Recent studies on live cirrhosis and nutrition have shown a specific nutritional deficiency of long-chain polyunsaturated fatty acids (PUF A)(l 4).
Changes in the PUPA profile of plasma in liver disease were for the first time, described in 1966 by Caren and Corbo (5). Later on, Cabré et al (1) showed similar changes in human cirrhosis, where low plasma levels of saturated fatty acids and PUFA were found. The latter showing specific decreases in the linoleic and arachidonic acid.
PUFA are the major components of structural lipids of biomembranes and play a major and vital role in the maintenance of fluidity and membrane integrity (6).
There is an evidence to suggest that recognized PUFA deficiency, particularly of arachidonic acid, may contribute to the malfunction of various organs in liver cirrhosis, and as such be detrimental to patients suffering from liver cirrhosis (7).
The etiology of PUFA deficiency in liver cirrhosis is not fully understood, though there are various hypotheses such as: decrease in food intake, malnutrition, dysfunction hepatic and malabsorption (2,8,9).
The PUFA intracellular metabolism has been extensively studied. The way PUFA traverses the plasma membrane to enter the cells has been described as a dual mechanism i.e. the facilitated and simple diffusion (10,11). On the other hand little has been learned about PUFA uptake and intracellular metabolism in liver cirrhosis.
Recently, in an experimental study we have suggested that a 2 weeks diet on long-chain polyunsaturated fatty acids, could attenuate the rally acid deficiency in liver cirrhosis (3). But we failed to show the positive effects of dietary treatment with PUFA, over a 2 weeks period, on human cirrhosis (unpublished data).
Studies have shown the beneficial effects of nucleotides as modulators on the both lipoprotein metabolism (12,14) and intestinal and hepatic synthesis of desaturases (15,16), as well as, tissue regeneration in liver cirrhosis (17,22), but the effects of PUFA intracellular metabolism on liver cirrhosis is still unclear.
Based on the above, we decided to investigate the PUFA intracellular metabolism, and its effects on an experimental model of liver cirrhosis, that assimilates human cirrhosis (2), when introduced in a diet with nucleotides.
The purposes of this study were to: a) determine the incorporation of [3H] arachidonic acid in the intestinal mucosa, liver and plasma after a time period of 1, 3 and 5 hours, b) to examine whether there was a preferential incorporation by different tissues, c) and finally to examine what effects, after a 4 weeks period, a dietary supplementation of long-chain polyunsaturated rally acids and nucleotides has on the incorporation of [3H] arachidonic acid in different tissues.
MATERIALS AND METHODS
Animals
209 adult female Wistar rats (Fundação Oswaldo Cruz- Brazil), were kept in wire bottom cages, in a mean temperature of 22°C and a light dark cycle of 12 h. All animals received humane care throughout the experiment, and all protocol in accordance with institutional guidelines for animal research was followed.
Experimental design
Initially, the animals were divided in two groups: a control group and a tioacethamide-treated group (TAA-group). The initial weight was 135,70±4,37 vs. 137,88±3,85 g (mean ±SEM) to control and TAA-group, respectively. There was no significant difference in body weight between two groups.
The control group received just water, and the TAA group received, ad libitum, water with 300 mg of thioacetamide/L for a period of 4 months, according to the procedure set out io Moreira et al (2).
Both groups received a standard chow diet (A.F .GUANDU- Brazil). During 4 months, the body weight was measured twice a month.
After 4 months of treatment, and an extra 3 days without TAA (in order to reduce the acute effects of TAA), six rats from each group were taken for examination. The samples rats were anesthetized with diethyl ether and decapitated, so the biochemical parameters and histological changes could be evaluated.
Blood samples were taken from the samples rats for analysis. The samples were collected in heparinized and sodium citrate tubes, then centrifuged, to separate the plasma from the cells and determine the prothrombin time, at 1500 x g for 10 minutes.
Later 36 rats were taken (18 from each group). Each rat received 1 mL of the radioactive emulsion, applied intragastrically through a polyvinil tube, under a light anesthetic (ether diethyl), and then 6 samples rats were chosen at 1,3 and 5 hours intervals and decapitated after as per Hjelte et al (23), but with slight modifications i.e. in the time intervals of the sacrifices.
The Test of the rats in the TAA and controlled groups, were divided into 4 subgroups, each group was given a separate diet over a 4 weeks period, as follow: a semi-purified diet (SP) containing: 23% protein (calcium caseinate), 64,6% carbohydrates (cellulose 5%, sucrose 14,9%, corn starch 44,6%) and 7% fat (66% olive oil, 23% soy oil, 11 % medium. chain tryglicerides), plus other minerals and vitamins according the international standards (ILAR)24, or a polyunsaturated rally acids diet (SP+PUFA) containing the SP diet plus 6% fat and extra 1 % polyunsaturated rally acids (a concentrate fish oil (Denmark) with 18% Eicosapentaenoic acid (EPA), 12% Docosahexaenoic acid (DHA) and 5% others PUFA was used as source of n-3 PUFA), or a nucleotides diet (SP+NT) containing the SP diet plus 50 mg each of (AMP, IMP, CMP, GMP and UMP) per 100 g of diet or PUFA+nucleotide diet (SP+PUFA+NT) containing a combination of SP diet plus PUFA and nuc1eotides. The rally acid composition of the diets can be seen in Table l.
Throughout the dietary treatment, food intake was measured on a daily basis. The weight, however, was monitored on a weekly basis.
After four weeks the rats were submitted to the same procedure mentioned above (23), and then a selected number were decapitated at intervals of 1,3 and 5 hours.
Fatty acid composition of dietary lipids
| Fatty acid (%) | SP | SP+PUFA | SP+PUFA+NT | SP+NT |
| S SFAS MUFAC18:26 C18:3 n-6 C20:2 n-6 C20:3 n-6 C20:4 n-6 C22:1 n-6 C22:4 n-6 C24:1 n-6 S PUFA n-6C18:3 n-3 C18:4 n-3 C20:5 n-3 C22:6 n-3 S PUFA n-3S PUFA > 20 C n-6S PUFA > 20 C n-3 | 32,88 46,43 14,30 0,45 0,52 0,24 0,35 0,52 1,10 1,57 19,05 2,72 0,25 0,27 0,35 3,59 4,65 0,62 | 25,08 54,14 12,40 0,36 0,34 0,27 0,32 0,39 1,09 0,36 15,53 1,61 0,26 2,20 1,42 5,49 2,77 3,62 | 23,75 55,94 12,20 0,38 0,06 0,15 0,38 0,38 1,10 0,06 14,33 1,51 0,28 2,20 1,76 5,75 2,13 3,96 | 32,88 46,43 14,30 0,45 0,52 0,24 0,35 0,52 1,10 1,57 19,05 2,72 0,25 0,27 0,35 3,59 4,65 0,62 |
Results are expressed as percentages in 100 g of dietary lipids
Preparation of radioactive emulsion
The labeled arachidonic acid (AA) {5,6,8,9,11,12,14,15- 3H}(50 m Ci) was obtained from DU PONT (USA). The radioactive emulsion was prepared as follows: a 10% (v/v)
triolein emulsion, was obtained by mixing 0,5 mL triolein with 4,5 mL NaCl containing 1,0% (w/v) arabic gum. The mixture was subjected to ultrasonic waves for 3 minutes at 30 second intervals. The [3H] arachidonic acid was added to a chloroform solution containing 1,0 mg egg phosphatidylcholine. The solution was dried using nitrogen and then dispersed immediately in 2,0 mL NaC1 (0,9%) and added to 12,5 mL of the triolein emulsion.
The radioactivity of samples was tested by using the BECKMAN liquid scintillation spectometer, and measured in dpm. An aliquot of the radioactive substance was used as standard in these experiments. The resu1ts are expressed as percent incorporation into 0,5 g of tissue.
Lipids analysis
Plasma and dietetic lipids were extracted using the Lepage & Roy method (25). Lipids from other tissues were extracted using the Stansbie et al method (26). The dietetic fatty acid composition was quantified by capillary gas-1iquid chromatography using a PERKIN ELMER AUTOSYSTEM chromatograph (USA) equipped with 30-m SP-2330 column, film.
Thickness 0,20 m m (0,25 mm ID). The injetor and detector were set at 250 and 300°C, respective1y. Initial oven temperature was 170°C and raised at a rate 2°C/min to 110°C and then maintained for 30 minutes. Helium was used as carrier gas with a flow rate of 1:5 mL/min. As internal standard heptanoic acid(CI7:0) was used.
Biochemical analysis
Plasma tryglicerides levels were determined using the Soloni method (27) and a commercial kit from BIOCLIN (Brazil). Total cholesterol using the BOERINGER kit (USA). Aspartate aminotransferase (AST) and alanine aminotransferase (ALT) were determined using the Reitman and Frankel method (28) and a commercial kit from BIOLAB (Brazil). Alkaline phosphatase was determined using the Roy method (29) and a commercial kit from ANALISA (Brazil) and prothrombin time was determined using the BIOCLIN kit (Brazil).
Histology
After the animals were killed, the livers were removed immediately. Samples were taken from the left lobe for analysis with light microscopy. The tissues were fixed in a solution of formaldehyde, acetic acid and methanol (10%, 10%,80%) respectively, then dehydrated in ethanol, cleared in xylene and embedded in paraffin. The sections were stained with hematoxylin and eosin (HE) and Massons trichrome and examined under a Leitz Dialux microscope (Germany).
Statistical analysis
All results are expressed as a mean±SEM. We used the Student's unpaired t test to compare the data from the different experimental groups, and the one way ANOVA and Ducans test to compare the mean values overall.
RESULTS
The mortality rate for the thioacetamide (TAA group), which was introduced orally in the drinking water, was 4%. The liver, after 4 months of T swAA showed all the characteristics of hypertrophic nodular cirrhosis i.e. nodular surface, firm in texture and yellowish in color. There were also signs of induced fibrous septa, inflamatory cell infiltration of the portal tract and ductular proliferation. (Fig lA and lB).
During the 4 weeks of the supplementary dietary treatment, the average food intake was lower in the TAA-group than control group (Table 2). The TAA subgroups lost a lot of weight compared to the control subgroups, and even with the supplementary dietary treatment, none of the TAA subgroups recovered their full body weight. The final average weight was 299,27±1,67 vs. 237,69±1,39 (mean±SEM) to control and TAA-group, respectively (p< .001).
Table 3 presents the biochemical results. TAA treated rats without the supplementary dietary treatment had a higher concentration of plasma cholesterol and lower concentrations of triglycerides. There was a significant change in transaminase AST activity compared with the control group, but the transaminase ALT showed little variation. The alkaline phosphatase activity and prothrombin time were significantly higher in the TAA group.
Light microscopy after four months of thioacetamide administration. 1(A) control group (HE x 10). 1(B) Fibrous septa, inflamatory cell infiltration of the portal tract and ductular proliferation are visible in the group treated with thioacetamide (Masson x 10)

Dietary intake during four weeks of supplementary treatment
| Diets | CONTROL | TAA-group |
| SP SP+PUFA SP+PUFA+NT SP+NT | 17,47±0,36 16,64±0,36 17,56±0,47 20,03±0,52*** | 15,77±0,33** 16,66±0,30 NS 15,86±0,36* 16,37±0,32 |
Plasma parameters after four months of thioacetamide administration
| Parameters | CONTROL | TAA-group |
| CHO (mg/dl) TG (mg/dl) AST (UI/L) ALT (UI/L) AP (UI/L) PT (s) | 47,77±2,25 25,86±3,59 42,92±1,65 5,86±2,02 31,38±0,90 2,74±0,12 | 68,59±4,77* 23,20±0,47 NS 127,30±35,84* 9,37±,1,61 NS 48,45241,91** 5,02±0,03** |
Results are expressed an mean ± SEM.A total of 6 Control and 6 TAA animal were used of each parameter.
Abbreviations: Cholesterol (CHO), triglycerides (TG), aspartate phosphatase (AP), prothrombin time (PT)
NS (no significant)
* p<.05 ** p<.001
The recovery percentage of [3H] arachidonic acid in intestinal content in the TAA group was lower than the control gropup afther 1 and 3 h, respectively (Table 4).
TABLE 4
Percentage of recovery of [3H] arachidonic acid in intestinal content after1, 3 and 5 hours
| Group | 1 h | 3 h | 5 h |
| Control TAA | 0,469±0,06 0,137±0,02* | 1,13±0,44 0,332±0,05 NS | 0,395±0,05 0,350±0,15 NS |
Results are expressed as mean ± SEM
Comparisons between control vs. TAA group were made by unpaired, Students / test
NS (no significant)
*p<.001 reading in dpm
The TAA-group showed a significant difference in the incorporation of [3H] arachidonic acid at 3 h stage with an overload in the intestinal mucosa. Though the trend continued until the 5 h, but the difference was no longer significant.
In the liver specimens of the TAA group there was a decrease in the radioactive levels. One striking feature was a significant decrease in the proportion of [3H] arachidonic acid found in the plasma at the 3 and 5 stages (Table 5).
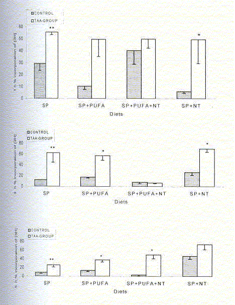
After four weeks on the dietary supplementation of PUFA and nucleotides, there was an apparent change: The TAA subgroups showed different levels of incorporation of [3H] arachidonic acid in the intestinal mucosa. At the 1 h stage the incorporation was significantly higher in the TAA subgroups treated with semi-purified diet (SP) and semi-purified plus polyunsaturated fatty acids diet (SP+PUFA). After 3 h, only the polyunsaturated fatty acids and nucleotides diet (SP+PUFA+NT) showed a significantly lower level of radioactivity reatained in the intestinal mucosa when compared with other subgroups. This was confirmed in teh control subgroups as well. At the 5 h stag there was an increased level of incorporation in all TAA subgroups including the SP+PUFA+NT subgroup (fig. 2).
TABLE 5
Percentage of incorporation of [3H] arachidonic acid in the intestinal mucosa, liver and plasma after four months of thiacetamide
| Tissue CONTROL TAA | |||||||
| 1 h | 3 h | 5 h |
| 1 h | 3 h | 5 h | |
| Intestinal Mucosa Liver Plasma |
6,54±1,6 1,04±0,5 0,48±0,07 |
3,80±1,5 0,08±0,01 0,91±0,007 |
2,58±0,4 0,16±0,06 1,15±0,004 |
|
5,76±0,95 NS 1,66±0,39 NS 0,23±0,05 NS |
8,89±0,69* 0,06±0,01 NS 0,36±0,04* |
3,58±1,13 NS 0,07±0,05 NS 0,51±0,02* |
Values are means ±SEM *p<.001
reading in dpm
FIGURE 2
Percentage of incorporation of [3H] arachidonic acid in the intestinal mucosa after dietary treatment for 4 weeks.
*p<.001* *p<.05

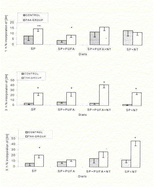
The liver showed a significantly higher incorporation of [3H]arachidonic acid occurred in the TAA subgroups treated with SP an sp+PUFA diets. After 3 h, there was a significant increase of incorporation in all TAA subgroups, especially those treated with nucleotides (SP+NT) and (SP+PUFA+NT) diets (Fig.3).
FIGURE 3
Percentage of incorporation of [3H] arachidonic acid in the liver after dietary treatment for 4 weeks. *p<.001* *p<.05

Results from the radioactivity in the plasma showed the importance of the dietary supplementation in the TAA group. After the 3h period all diets showed a higher incorporation of [3H] arachidonic acid in the plasma of the TAA group, especially in the (SP+PUFA+NT)subgroup. Though this level ws only maintained by the SP+NT and SP+PUFA+NT subgroups until the 5 h stage (Fig.4).
FIGURE 4
Percentage of incorporation of [3H] arachidonic acid in the plasma after dietary treatment for 4 weeks. p<.001** p<.05

DISCUSSION
Our results have shown that the liver damage caused in rats by chronic TAA intoxication resembles human cirrhosis, in both its biochemical and morphological form as seen in previous studies (2,30,31).
This experiment with labeled fatty acids, revealed important differences in the metabolism of [3H] arachidonic acid between the TAA-treated and control rat groups.
The proportion of radio active material recovered from the intestinal content after 1h in the TAA group was significantly lower than the control group, and continued to be so until the 3 h stage. One reason for this, though it is by no means certain, could be the difference in the gastric emptying time between the two groups.
In addition, we noted a market difference in the proportion of [3H] arachidonic acid in the intestinal mucosa and plasma. A pronounced accumulation of radioactivity was observed in the intestinal mucosa at the 3h stage. On the other hand, the recovery of [3H] arachidonic acid in the plasma was significant decrease after 1, 3 and 5 h stages.
Previous studies have shown an abnormal retention of orally or intravenously administred labeled fatty acidin intestine of rats with essential fatty acid deficiency (32,33).
It is well established that under normal conditions, longchain fatty acids are absorbed as esters, mainly triacyglicerols (TG) and integrated as very low dense lipoprotein (VLDL), via the lymph (34). Fat absorption may be impaired because of defective secretion of the absorbed lipids, making them accumulate intracellularly as triacylglicerol (33).
There is evidence of the existence of subnormal intraluminal concentrations of bile salts in liver cirrhosis (34). It is now knew that bile salts are important not only to lipid solubility but also, to act as an intracellular modulators of the monoacylglycerol pathway in intestinal mucosa (35). It is possible that the retention of radioactive material under our experimental conditions, was due to impaired absorptive and metabolic conditioning (36,37).
The results of our experiment on model liver cirrhosis, has confirme previous observations that there is a preferential transitory incorporation of arachidonic acid in the intestinal mucosa, evidenced in special conditions as in the essential fatty-acid deficient rats (23) and from secondary effects of ethanol (38).
The 4 weeks dietary treatment revealed changes in the incorporation of [3H] arachidonic acid into the intestinal mucosa. The noteworthy observation was that the semipurified plus polyunsaturated fatty acids and nucleotides diet (SP+PUFA+NT) promoted a decrease in the retention time of [3H] arachidonic acid in the intestinal mucosa of the TAA. group after 3 h but not after 5h, whereas the SP, SP+PUFA or SP+NT had no such effect.
The most striking result of this study was the significantly high recovery of [3H] arachidonic acid in the plasma after 3 and 5 h periods in the TAA-group fed with SP+PUFA+NT, even in presence of high intestinal retention of radioactiv material.
Previously Jenkins et al (39) described in liver cirrhosi that the abnormalities of absorption capacity via the lymph can lead to a probably additional portal absorption of unesterifi PUFA.
Some authors have quantified the portal venous flow different fatty acids and found that polyunsaturated fatty acids are partially absorbed in the portal blood, but this route is relatively minor one under normal conditions (40,41).
Based on the our results, its conceivable to suggest that under these experimental conditions can there is a compensatory portal absorption, at least in part, due to the intraluminal bile salts deficiency.
In the current study, we have clearly demonstrated that low plasma levels of PUFA in liver cirrhosis, at least in part, can be explained by disturbances in the absorption metabolic qualities of the intestinal mucosa. These disturbances, however cannot be normalized with a nutritionally adequate diet, but can be attenuated with modulators of lipid metabolism, such as nucleotides (42).
Further investigation need be conducted to establish most efficient doses of dietary supplementation, and period of treatment, and whether dietary nucleotides and PUFA combined might have a therapeutic effect on human cirrhosis.
ACKNOWLEDGMENT
We are grateful to Laboratório Hélion Póvoa for fue enzimatic analysis, to Instituto Militar de Engenharia (IME) for the gas chromatography (Rio de Janeiro- Brazil), to Djalma de Souza Cabral for technical assistance and Stephen John Dibley for revising the manuscript.
REFERENCES
1. Cabré E, Periago JL, Abad-Lacruz A. Plasma fatty acid profile in advanced cirrhosis: unsaturation deficit of lipid fractions. Am J Gastroenterol, 1992; 85:1597-1564. [ Links ]
2. Moreira E, Fontana L, Periago JL, Sanches de Medina F, Gil A. Changes in fatty acid composition of plasma, liver microssomes, and erythrocytes in liver cirrhosis induced by intake oral of thioacetamide in rats. Hepatology, 1995; 21 :199-206. [ Links ]
3. Moreira E, Fontana L, Torres MI, Fernandes I, Rios A, Sanches de Medina F, Gil A. Dietary long-chain polyunsaturated influence the recovery of thioacetamide-induced liver cirrhosis in rats. JPEN, 1995; 19: 461-469. [ Links ]
4. Cabré E, Gassul MA. Nutritional therapy in liver cirrhosis. Acta. Gastoenterol. Bel, 1994; 57: 1-12. [ Links ]
5. Caren R and Corbo L. Plasma fatty acid in pancreatic cystic fibrosis and liver disease. J Clin Endocrinol, 1966; 26: 470-477. [ Links ]
6. Lien EL. The role of fatty acid composition and positional distribution in fat absorption in infants. J Ped, 1994; 125:562- 568. [ Links ]
7. Cabré E, Abad-Lacruz A, Nuñez MC, González-Huix F, Fernandez-Bañares F, Gil A, Esteve-Comas M, Moreno J, Planas R, Güilera M, Gassul MA. The relationship of plasma polyunsaturated fatty acid deficience with survival in advanced liver cirrhosis: multivariated analysis. Am J Gastroenterol, 1993; 88:718-722. [ Links ]
8. Wilcox HG, Dumm GD, Schemker S. Plasma long-chain fatty acids and esterified lipids in cirrhosis and hepatic encephalopaty. Am J Med Sci, 1978; 276: 293-303. [ Links ]
9. Cabré E, Periago, JL, González J, González-Huix F, Abad-Lacruz A, Gil A, Sánches de Medina F, Esteve-Comas M, Fernández-Bañares F, Planas R, Gassui MA. Plasma polyunsaturated fatty acid in liver cirrhosis with or without hepaticencephalopaty: a preliminary study. JPEN, 1992; 16:359- 363. [ Links ]
10. Stremmel W. Uptake of fatty acids in jenunal mucosa is mediated by a specific fatty acid binding membrane protein. Gastroenterology (Abstracts), 1987; 92:1656 a. [ Links ]
11. Goré J, Hoinard C. Linolenic transport in hamster intestinal cells is carrier-mediated. J Nutr, 1993; 123:66-73. [ Links ]
12. Sánchez-Pozo A, Pita ML, Martinez A. Effects of dietetic nucleotides upon lipoprotein pattern of newborn infants. Nutr Rev, 1991; 6:184-191. [ Links ]
13. Sanderson IR , He Y. Nucleotide uptake and metabolism by intestinal epithelial cells. J Nutr, 1994; 124:131-137. [ Links ]
14. Carver JD. Dietary nucleotides: cellular immune, intestinal and hepatic system effects. J Nutr, 1994; 124:144-148. [ Links ]
15. Uauy R, Quan R, Gil A. Role of nucleotides in intestinal development and repair: implications of infant nutrition. J Nutr, 1994; 124:1435-1441. [ Links ]
16. Carver JD, Walker A. The role of nucleotides in human nutrition. Nutr Biochem, 1995; 6:58-72. [ Links ]
17. Torres-Lopes MI, Fernandez I, Fontana L, Gil A, Rios A. Influence of dietary nucleotides on liver structural recovery and hepatocyte binuclearity in cirrhosis induced by thioacetamide. Gut, 1996; 38:260-264. [ Links ]
18. Torres MI, Fernandez MI, Gil A, Rios A. Effect of dietary nucleotides on degree of fibrosis ans steatosis induced by oral intake of thioacethamide. Dig Dis Sci, 1997; 6: 1332-1328. [ Links ]
19. Torres MI, Fernandez MI, Gil A, Rios A. Dietary nucleotides have cytoprotective properties in rat liver damage by thioacetamide. Life Sciences, 1998; 62:13-22. [ Links ]
20. Fontana L, Moreira E, Torres MI, Fernandez I, Rios A, Sánchez de Medina F, Gil A. Dietary nucleotides correct plasma and liver microsomal fatty acid alterations in rats with liver cirrhosis induced by oral intake of thioacetamide. J Hepatology, 1998; 28: 662-669. [ Links ]
21. Uauy R. Noimmune system responses to dietary nucelotides. J Nutr, 1990; 124:1575-1579. [ Links ]
22. Novak D, Carver J, Barness LA. Dietary nucleotides affect hepatic growth and composition in the weanling mouse. JPEN, 1994; 18:62-66. [ Links ]
23. Hjelte L, Melin T, Nilsson A, Strandvik B. Absorption and metabolism of [3H] arachidonic and [14C] linoleic acid in essential fatty acid-deficient rats. Am J Physiol, 1990; 259: 116- 124. [ Links ]
24. ILAR: Control of diets in laboratory animal experimentation. Livestock feeds and feeding, 1987; 49:413-419. [ Links ]
25. Lepage G and Roy CC. Direct transesterification of all classes of lipid in one-step reaction. J Lip Res, 1986; 27:114-120. [ Links ]
26. Stansbie D, Browsey RW, Crettaz M, Demton RH. Acute effects in vivo of anti-insulin serum on rates of fatty acids synthesis and activies of acyl coenzima A. carboxilase in pyruvato deydrogenase in liver and epididymal adipose thissue of fed rats. Biochem. J, 1976; 169:413-416. [ Links ]
27. Soloni FG. Simplified manual micromethal for determination of serum triglycerides. Clin Chem, 1971; 17:529-534. [ Links ]
28. Reitman S and Frankel S. A colorimetric method for determination of serum glutamic oxaloacetic and glutamic pyruvic transaminases. Am J Clin Pathol, 1957; 28:56-63. [ Links ]
29. Roy AV. Rapid method for determining alkaline phosphatases activity in serum with thimolphtalein monophosfate. Clin Chem, 1970; 16:431-436. [ Links ]
30. Zimmerman J, Franke H, Dargel L. Studies on lipid metabolism in rat liver cirrhosis induced by different regimens of thioacetamide administration. Exp Pathol, 1986; 30: 109-117. [ Links ]
31. Nozu F, Takeayama N, Tanaka T. Changes of hepatic fatty acid metabolism produced by chronic thioacetamide administration in rats. Hepatology, 1992; 15: 1099-1106. [ Links ]
32. Beker W. Distribution of 14C after oral admistration of [1-l4C] linoleic acid in rats fed different levels of essential fatty acids. J Nutr, 1984; 114:1690-1696. [ Links ]
33. Clark BS, Ekkers TE, Singh A, Balint JA, Holt P, Roddgers JB. Fat absorption in essential fatty acid deficiency a model experimental approach to studies of the mechanism of fat malabsorption of unknow etiology. J Lip Res, 1973; 14:581- 588. [ Links ]
34. Vlahcevic ZR, Buhac I, Farrar JT, Cooper BC, Sweel L. Bile acid metabolism in patients with cirrhosis. Gastroenterology, 1971; 60:491-497. [ Links ]
35. Mathieu Y, Caselli C, Bernard A, Carlier H. Partition of oleic acid between the lymph and portal blood in rats having a diverted bile-pancreatic duct. Brit J Nutr, 1996; 75: 249-261. [ Links ]
36. Badley BWD, MurphyGM, Bouchier IAD. Diminished micellar phase lipid in patients with chronic nonalcholic liver disease and steatorrhea. Gastroenterology, 1970; 58: 781-788. [ Links ]
37. Seidl D. Lipoproteins in liver cirrhosis. J Clin Chem Biochem, J 1987; 25:541-551. [ Links ]
38. Barros H, Chen Q, Floren CH, Nilsson A. Arachidonic acid absorption in human jejunum in organ culture: effects of ethanol. Eur J Clin Inv, 1990; 20:506-510. [ Links ]
39. Jenkins DJ A, Gassul MA, Leeds AR, Blendis LM. Prothrombin time and fat absorption in liver disease. Clin Sci Mol Med, 1976; 51:9-10. [ Links ]
40. Mac Donald G, Saunders DR, Weidman M, Fisher L. Portal venous transport of long-chain fatty acids absorbed from rat intestine. Am J Physiol, 1980; 239:G141-G150. [ Links ]
41. Bernard A, Carlier H. Aborption and intestinal catabolism of fatty acids in the rat: effect of chain length and unsaturation. Exp Physiol, 1991; 76:445-455. [ Links ]
42. Ebehart CE, Dubois RN. Eicosanoids and tract intestinal, Gastroenterology, 1995; 109: 285-301. [ Links ]













