Acta Botánica Venezuelica
versão impressa ISSN 0084-5906
Acta Bot. Venez. v.32 n.2 Caracas dez. 2009
Comparación ecofisiológica de tres especies del género Lantana L. (VerbenaCeae)
Ecophysiological comparison of three species of the genus Lantana L. (Verbenaceae)
Armando González1, Valentina Villalobos1, Gabriela Pereyra2, Elizabeth Rengifo2, Oranys Marín1 y Wilmer Tezara1
1 Centro de Botánica Tropical, Instituto de Biología Experimental, Universidad Central de Venezuela, apartado 47829, Caracas 1041-a, Venezuela 2 Centro de Ecología, Instituto Venezolano de Investigaciones Científicas, Apartado 21827, Caracas 1020-A. Venezuela wilmer.tezara@ciens.ucv.ve
RESUMEN
Las especies del género Lantana son conocidas por el alto valor comercial de sus aceites naturales, pero se sabe poco de su respuesta fotosintética a variables ambientales. El efecto del déficit hídrico sobre la actividad fotosintética se estudió en tres especies de Lantana: L. caracasana, L. canescens y L. camara, con tratamientos de suspensión del riego. L. caracasana tuvo la mayor asimilación de carbono durante el período de medida y el déficit en la disponibilidad de agua ocasionó una disminución del potencial hídrico, de la fotosíntesis y de la conductancia estomática en las tres especies. Los cambios observados en las variables de fluorescencia, en la eficiencia cuántica aparente y en la fotosíntesis a luz saturante, sugieren una regulación descendente de la actividad fotoquímica del fotosistema II durante el déficit hídrico. En plantas control se observaron pocas diferencias entre especies en la respuesta de la fotosíntesis a la concentración intercelular de CO2. La temperatura óptima para la fotosíntesis varió entre 25-26ºC. El efecto del déficit hídrico sobre el intercambio gaseoso de las tres especies fue diferente, siendo L. camara la más afectada.
Palabras clave: Déficit hídrico, fluorescencia, fotosíntesis, Lantana
ABSTRACT
The species of the Lantana genus are known by the high commercial value of its natural oils, but their photosynthetic response to environmental variables is not well known. To characterize the photosynthetic capacity and establish the effect of water deficit on photosynthesis, plants of three Lantana species (L. caracasana, L. canescens and L. camara) were submitted to water deficit by holding watering.The highest diurnal carbon assimilation was observed in L. caracasana and water deficit caused a decline in water potencial, photosynthesis and stomatal conductance of all species. Changes observed in variable fluorescence, apparent quantum yield and photosynthesis at saturated light, suggested a down regulation of photochemical activity of photosystem II during water deficit. In well irrigated plants, slight differences were observed among species in the photosynthetic response to intercellular CO2 concentration. Optimum temperature of photosynthesis was within 25-26ºC. The effect of water deficit on the photosynthetic parameters varied with the species, being L. camara the most affected.
Key words: Fluorescence, Lantana, photosynthesis, water deficit
ISSN 0084-5906 Depósito Legal 196902DF68
INTRODUCCIÓN
El género Lantana L. (Verbenaceae) incluye alrededor de 80 especies en América tropical y subtropical con algunas representantes en África y Asia (Rotman 2006); en Venezuela se han reportado 17 especies (Aymard 2008). Son arbustos o sub-arbustos, raramente hierbas anuales, muy ramificados o con ramas delgadas y extendidas. En Venezuela, L. caracasana Turcz, L. canescens Kunth y L. camara L. se encuentran distribuidas entre 0-2550 m snm, ocupando muchos ambientes con diferentes regímenes de precipitación, algunos de ellos semi-xerofíticos, que se caracterizan por una baja disponibilidad hídrica.
El déficit hídrico es uno de los principales factores ambientales que limitan la fotosíntesis, el crecimiento y la productividad vegetal (Wullschleger et al. 2002) afectando la distribución y la abundancia de muchas especies de plantas (Schulze et al. 1987). La disminución en la fotosíntesis, ocasionada por factores estomáticos y no-estomáticos (Lawlor 2002; Tezara et al. 2003), va acompañada por una disminución en la tasa de transpiración y en la conductancia estomática, además de una menor actividad fotoquímica del fotosistema II (Tezara et al. 2005), menor área foliar y cambios en la longitud de la raíz, entre otros.
Las especies del género Lantana han sido ampliamente utilizadas por sus propiedades etnomedicinales (García-Barriga 1992) y farmacéuticas (Alitonou et al. 2004) y como plantas ornamentales. Se han identificado al menos 41 componentes con propiedades antimicrobianas en los aceites esenciales de L. camara (Alitonou et al. 2004). La búsqueda de nuevos productos naturales y combinaciones de sustancias químicas de origen natural de las Verbenaceae es importante para la naciente industria de aceites esenciales (Stashenko et al. 2003) pero se desconoce la relación entre la producción de aceites y la ecofisiología de las especies de esta familia y en particular las del género Lantana. Estos estudios son necesarios para contribuir al aprovechamiento sostenible de especies de este género en las diferentes regiones donde es cultivada con fines comerciales.
El cultivo y cosecha a escala industrial de individuos de Lantana en ambientes semiáridos podría afectar su sostenibilidad en condiciones naturales o agrícolas. El crecimiento y desarrollo de las plantas en condiciones de déficit hídrico puede variar como ha sido previamente documentado. En especies de un mismo género hay una gran variabilidad de respuestas fisiológicas ante un determinado evento, aun cuando éstas coexistan en el mismo hábitat. Por ejemplo, plantas de eucalyptus cloeziana y de e. argophloia sometidas a déficit hídrico responden con diferentes desarrollos radicales (Ngugi et al. 2003), mientras que cambios en parámetros fotosintéticos han sido reportados en Mosla hangchowensis y M. dianthera (Ge et al. 2004), en Salix matsudana, S. gordejevii y S. microstachya (Liu et al. 2003), y en calotropis procera y c. gigantea (Colombo et al. 2007); diferencias en transpiración han sido reportadas en arbustos del género caragana korshinskii, c. intermedia y c. microphylla (Ma et al. 2004).
Los estudios fisiológicos en especies de Verbenaceae están enfocados principalmente en aspectos de regulación estomática (Tachack 2005), distribución de biomasa en Lippia origanoides (Camargo & Rodríguez-López 2006), así como en la plasticidad fenotípica de Lippia dulcis al déficit hídrico (Cújar 2007) y de Lippia alba y L. origanoides a la intensidad lumínica (Parra & Rodríguez-López 2007). Además, se ha reportado a L. camara como una especie invasora de un bosque caducifolio de la India (Sharma & Raghubanshi 2007; Raizada et al. 2008). A pesar de la extensa distribución del género Lantana en Venezuela y del hecho observable de la pérdida de sus hojas con pocos días de sequía, no se conoce su desempeño en condiciones hídricas desfavorables.
Para la explotación racional de especies de Lantana que se desarrollan en ambientes semiáridos, es necesario conocer los principales parámetros fisiológicos y su respuesta al déficit hídrico. El objetivo de este estudio fue contribuir al conocimiento ecofisiológico de tres especies del género Lantana colectadas en un bosque caducifolio del valle de Caracas a 1100 m de altitud, con énfasis en las relaciones hídricas, el intercambio gaseoso y la actividad fotoquímica del fotosistema II (PSII) de plantas cultivadas en el invernadero, y cuantificar el efecto del déficit hídrico sobre los parámetros fisiológicos medidos.
MATERIALES Y MÉTODOS
Ubicación y descripción del área de estudio
El estudio se realizó en un invernadero ubicado en la Estación Experimental Arboretum del Instituto de Biología Experimental en Caracas (10°24N,67°36O) a 1100 m snm.
Material vegetal
Las mediciones se hicieron en plantas de tres especies del género Lantana: L. caracasana, L. canescens (venturosa) y L. camara (cariaquito morado), colectadas en la Estación Experimental Arboretum y sembradas en potes de 5 litros. Plantas de 30-50 cm de altura, con un buen sistema radical se transplantaron en 4,5 kg de tierra abonada. Se fertilizaron una vez por semana con un producto comercial (N: P: K, 15: 15:15) y se irrigaron durante cinco meses para luego ser sometidas a déficit hídrico por suspensión de riego durante cinco días. Todas las determinaciones fisiológicas se realizaron en hojas adultas totalmente expandidas de diez individuos de cada especie similares en follaje y altura, en buena condición hídrica (día 0, plantas control) y a los 5 días de la suspensión del riego (plantas sometidas a déficit hídrico).
Determinación de parámetros microclimáticos
En los días cero y cinco de suspensión de riego se registraron manualmente cursos diurnos (08:00-18:00) a intervalos de una hora de los siguientes parámetros (n = 5): Densidad de flujo fotónico (DFF): se midió con un sensor de flujo cuántico LI-COR, modelo 250-S (LI-COR Inc., Lincoln, NE, USA); Temperatura del aire (Ta) y temperatura foliar (Tf): se midió con termistores de aire (Nº 405) y de superficie (Nº 409b) conectados a un teletermómetro modelo 8402-10 (Cole-Parmer Instrument Company, China); Humedad relativa (HR): se registró con un higrómetro modelo Nº 3310-20 (Cole-Parmer Instrument Company, Chicago, ILL, USA). Con estos parámetros se calculó el déficit de presión de vapor hojaaire (∆WH-a).
Estado hídrico
El potencial hídrico (ψ) se midió por triplicado a las 06:00 h, con una cámara de presión (PMS, Corvallis, Oregon, USA).
El área foliar específica (AFE) se determinó en 15 hojas para cada especie, como la relación entre el área foliar y el peso seco foliar.
Intercambio de gases
Se hicieron cursos diurnos de 8 h de intercambio gaseoso: fotosíntesis (A), transpiración (E), conductancia estomática (gs), concentración intercelular de CO2 (Ci) a intervalos de 2 h, utilizando un analizador infrarrojo de gases portátil LCA-4 (Analytical Development Co., Hoddesdon, UK). La eficiencia de uso de agua instantánea (EUA) se calculó como la relación A/E. Las medidas se realizaron a 385 µmol mol-1 de CO2, 21% de O2 y DFF de 1200 ± 50 µmol m-2 s-1 en hojas adultas bien expandidas. La asimilación de carbono durante el período de medida (AD) y la EUA integrada se estimaron como el área bajo la curva de los cursos realizados.
Determinación de la actividad fotoquímica del psii
La fluorescencia de la clorofila a se midió con un fluorímetro (MiniPAM, Walz, Alemania), siguiendo el protocolo descrito por Genty et al. (1989). Las curvas de luz se hicieron en hojas adaptadas a la oscuridad por dos h, determinándose los siguientes parámetros de fluorescencia (Fo = fluorescencia mínima, Fm = fluorescencia máxima, Fv = fluorescencia variable), mientras que con hojas adaptadas a una determinada intensidad de luz se obtuvieron los parámetros: F = fluorescencia estable y Fm = fluorescencia máxima. Se determinaron la eficiencia cuántica máxima del fotosistema II al amanecer (Fv/Fm), la eficiencia cuántica del transporte de electrones del fotosistema II (ΦPSII), el coeficiente de extinción fotoquímica (qP), el coeficiente de extinción no fotoquímica (NPQ) y se estimó el transporte total de electrones (J), por el método de Krall & Edwards (1992), como: J = ΦPSII × DFF × 0,84 × 0,5.
Curvas de fotosíntesis vs densidad de flujo fotónico (A/DFF)
Se realizaron curvas de fotosíntesis (A) en función DFF (A/DFF) en hojas de diferentes plantas (n = 4) con un LCA-4 variando la DFF desde 0 hasta 1200 µmol m-2 s-1 en ocho pasos sucesivos. Se esperó a que la A se estabilizara antes de registrar cada valor. Las medidas se realizaron a 385 µmol mol-1 de CO2, 21% de O2 y DFF de 1200 ± 50 µmol m-2 s-1 en hojas adultas bien expandidas. Las curvas A/DFF se ajustaron con una ecuación empírica A = (b + d) eK×DFF, donde b representa la capacidad fotosintética máxima, (b + d) la tasa de respiración y el producto de K × d, representa la pendiente de la porción lineal (eficiencia cuántica aparente, ΦCO2).
Curvas de fotosíntesis vs concentración intercelular de Co2 (A/Ci)
Las curvas A/Ci de cada especie (n = 4) se midieron a una DFF de 1200 µmol m-2 s-1 y 21% de O2, con un CIRAS 2 (PP Systems, Hitchin, UK) incrementando progresivamente la concentración de CO2 ambiental (Ca) desde 0 hasta 1500 µmol mol-1. A cada Ca se esperó a que A se estabilizara antes de registrar el valor. Se calculó la limitación estomática relativa (Ls) de la A según Farquhar & Sharkey (1982). Las curvas A/Ci se ajustaron con un ecuación empíricaA = (b + d) e KCi. La pendiente de la porción lineal de la curva (K × d), representa la eficiencia de carboxilación (EC).
Curvas de fotosíntesis vs temperatura foliar (tf)
Se realizaron curvas de respuesta de la A a la Tf con un LCA-4, variando la temperatura de la cámara desde 20 hasta 40ºC con un sistema de control microclimático (Analitical Development Co., Hoddeston, UK). A cada Tf obtenida se esperó a que la A se estabilizara antes de registrar el valor. Las curvas de respuesta de fotosíntesis a la temperatura se realizaron a 385 µmol mol-1 de CO2, 21% de O2 y DFF de 1200 ± 50 µmol m-2 s-1 en hojas adultas bien expandidas.
Análisis estadístico
Se utilizó el paquete estadístico Statistica 5.5 para realizar el análisis de varianza (ANOVA, con un nivel de significancia de p < 0,05) y pruebas de diferencia de medias (Tukey). Las gráficas se realizaron utilizando el programa Sigmaplot 8.0.
Resultados
Parámetros microclimáticos y temperatura foliar
La máxima DFF registrada en el invernadero fue 1480 ± 30 µmol m-2 s-1 (día 5 de déficit hídrico) y la Ta máxima fue 31,6 ± 0,2°C (día 0, Fig. 1a, b). Los valores promedios máximos y mínimos de humedad relativa oscilaron entre 81 y 41% respectivamente, observándose los menores valores en horas del mediodía del día 0 (Fig. 1c), mientras que el gradiente de vapor hoja-aire (∆WH-a) osciló entre 0,43 KPa (Fig. 1d). Durante el déficit hídrico la Tf de L. caracasana alcanzó valores máximos de 34,7 ± 0,1°C con una oscilación entre las 09:00-13:00 h de 9°C. En L. canescens y L. camara los valores máximos fueron de 31,6 y 30,7°C con oscilaciones de 7 y 4°C respectivamente y los menores Tf, cercanos a 28°C, en las plantas control a las 13:00 h (Tabla 1).
Relaciones hídricas
El déficit hídrico causó una disminución significativa de 25, 47 y 80% en el ψ de
L. caracasana, L. canescens y L. camara respectivamente a los cinco días después de la suspensión del riego, siendo la más afectada L. camara (Fig. 2) y se observaron diferencias significativas entre especies.intercambio gaseoso
En las tres especies, los valores de A, E y gs fueron mayores en plantas control que las sometidas a déficit hídrico (Fig. 3). Se observó una reducción de 77, 76 y 85% de A (Fig. 3a), de 51, 38 y 87% en la E (Fig. 3b), y de 88, 73 y 95% en la gs (Fig. 3c) en L. caracasana, L. canescens y L. camara respectivamente durante el déficit hídrico. No se observaron diferencias significativas en Ci, entre tratamientos (Fig. 3d). El máximo valor de EUA instantánea se obtuvo en plantas control de L. caracasana siendo esta especie la más afectada por el déficit hídrico en este parámetro; en contraste, la EUA de L. canescens no varió con el tratamiento (Fig. 3e).
La asimilación de carbono (AD), en promedio, disminuyó 91% en las tres especies con el déficit hídrico (Tabla 1), mientras que la reducción de la EUA integrada fue de 58% en L. caracasana y L. camara, y no varió en L. canescens (Tabla 1). No se observaron diferencias significativas en el AFE entre especies ni entre tratamientos (Tabla 1). El AFE promedio fue de 260 ± 13 cm2 g-1.
Se observó una correlación curvilínea y positiva entre A y gs (Fig. 4); en las tres especies, las variaciones en la fotosíntesis son explicadas en 78% por cambios en la gs. Las gs oscilaron en promedio desde valores mayores a 180 mmol m-2 s-1 en plantas control a menores de 100 mmol m-2 s-1 en déficit hídrico. En este tratamiento la A disminuyó desde 8,0 µmol m-2 s-1 hasta 1,2 µmol m-2 s-1.
Fluorescencia de la clorofila a
La eficiencia cuántica máxima (Fv/Fm) promedio fue 0,77 ± 0,01 y no se encontraron diferencias significativas (p ≤ 0,05) entre especies ni tratamientos (Tabla 2). Se observó un efecto negativo del déficit hídrico sobre los parámetros de fluorescencia (ΦPSII, J, qP) siendo L. canescens la especie más afectada (Tabla 2); un incremento de 35, 57 y 62% en NPQ en L. caracasana, L. canescens y L. camara respectivamente con el déficit hídrico indica mayor disipación de energía en forma de calor (Tabla 2).
Curva de respuesta A/DFF
El déficit hídrico causó una disminución significativa de la fotosíntesis a luz saturante (ADFFsat) en las tres especies estudiadas y de la eficiencia cuántica aparente (ΦCO2) sólo en L. caracasana y L. canescens (Tabla 2). La respiración en oscuridad alcanzó valores de -1,9 µmol m-2 s-1, mientras que el punto de compensación de luz (Γluz) disminuyó en L. caracasana y no cambió en L. canescens y L. camara. Las plantas se saturaron a una densidad de flujo fotónico de luz de 800 µmol m-2 s-1.
Curva de respuesta A/Ci
En plantas control no se observaron diferencias en la fotosíntesis a concentración de CO2 saturante (ACO2 sat), punto de compensación de CO2 (ΓCO2), y limitación estomática relativa (Ls) entre las especies, mientras que sí se observó una mayor eficiencia de carboxilación (EC) en L. canescens (0,09 mol m-2 s-1) en comparación con L. caracasana (0,067 mol m-2 s-1) y L. camara (0,066 mol m-2 s-1) (Fig. 5). Todas las especies se saturaron a una concentración intercelular de CO2 de 800 µmol mol-1. Ninguna de las especies respondió al incremento en Ci durante el déficit hídrico posiblemente debido a un cierre estomático muy fuerte (gs menores a 50 mmol m-2 s-1), por lo cual no se pudieron realizar las curvas A/ Ci en esta condición.
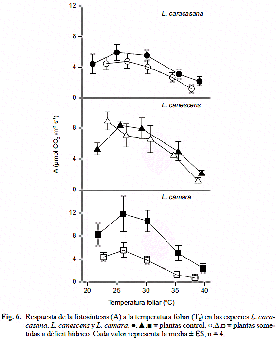
fotosíntesis vs temperatura foliar
La temperatura óptima (Tópt) para la fotosíntesis (A) en L. caracasana y L. canescens fue alrededor de 25ºC e incrementó cerca de 27ºC con el déficit hídrico, mientras que la Tópt en L. camara fue de 26ºC y no varió con el déficit hídrico (Fig. 6). En buena condición hídrica, L. caracasana redujo en 10% laAcon un aumento de 10°C (25 a 35°C), mientras que en las otras dos especies la reducción fue de aproximadamente 50% en el mismo intervalo de temperatura. Las curvas de respuesta en L. caracasana y L. canescens no fueron afectadas por déficit hídrico, mientras que A medida a la Tópt disminuyó significativamente en L. camara (Fig. 6).
DISCUSIÓN
Las especies estudiadas del género Lantana son sensibles al déficit hídrico. Los valores de ψ fueron altos en buena condición hídrica y disminuyeron hasta -1,6 MPa en las plantas sometidas a sequía, siendo la especie más afectada L. camara. Los valores de ψ fueron altos en comparación a los observados en Lippia origanoides en un ambiente semiárido (Tachack 2005), y similares a los encontrados en xerófitas con buena irrigación (Tezara et al. 2005). Estos resultados indican gran pérdida de agua en un muy corto tiempo de déficit hídrico y posiblemente el cierre estomático rápido sea la estrategia para el mantenimiento del estado hídrico en las especies estudiadas del género Lantana.
A pesar de que en buena condición hídrica no se observaron diferencias significativas en la tasa de fotosíntesis de las especies estudiadas, el carbono asimilado durante el período de medición fue 20% mayor en L. caracasana y L. camara con respecto a L. canescens, probablemente debido a las altas tasas de respiración observadas en esta última. Variaciones similares en las tasas fotosintéticas de especies del mismo género que comparten un mismo ambiente han sido ampliamente documentadas (Ngugi et al. 2003; Liu et al. 2003; Ge et al. 2004; Colombo et al. 2007). La reducción promedio de la fotosíntesis en las especies de Lantana sometidas a baja disponibilidad hídrica fue de 80%. En especies xerófitas se observó un descenso de 98% en la fotosíntesis para valores de ψ bastante menores, alrededor de -2,1 MPa (Tezara et al. 2005), que evidencia la sensibilidad de estas especies al déficit hídrico.
Las máximas conductancias estomáticas se observaron en plantas control cuando el ∆WH-a fue aproximadamente de 2 KPa, la humedad relativa 40% y la temperatura del aire 28 ± 1ºC, conductancias similares a las reportadas para L. origanoides en el cañón de Chicamocha (Tachack 2005). L. canescens mostró los menores valores de conductancia estomática (25% menor). El déficit hídrico causó un cierre estomático (reducción de 85% en la conductancia), evitando así la pérdida excesiva de agua. La eficiencia de uso de agua en L. caracasana y L. camara fue menor en las plantas estresadas que en los controles, mientras que L. canescens mantuvo la eficiencia de uso de agua a pesar de presentar menores tasas fotosintéticas al evitar eficientemente la pérdida de agua por el cierre estomático; las hojas de esta especie son pubescentes, lo cual podría influir sobre su balance energético provocando una menor pérdida de agua, lo que indica que esta especie se encuentra más adaptada a ambientes secos. Estos resultados fueron confirmados al calcular la eficiencia de uso de agua integrada (carbono asimilado/transpiración medidos durante el transcurso del día). La reducción de la eficiencia de uso de agua en condiciones de baja disponibilidad hídrica en L. caracasana y L. camara fue probablemente debida a una mayor inhibición de la fotosíntesis que de la pérdida de agua por transpiración.
El área foliar específica osciló entre 220-314 cm2 g-1, valores típicos de hojas mesófitas; en contraste, se han reportado menores valores (126-169 cm2 g-1) en hojas escleromorfas del género calotropis (Asclepiadaceae) (Colombo et al. 2007). El área foliar específica podría ser utilizado como índice de escleromorfismo: valores bajos de área foliar específica se han relacionado con una alta capacidad para resistir una baja disponibilidad de agua (Ogaya & Peñuelas 2006). Los altos valores de área foliar específica observados en L. caracasana, L. canescens y L. camara podrían indicar que estas especies de Lantana no son resistentes al déficit hídrico.
La relación curvilínea entre la fotosíntesis y la conductancia estomática para las tres especies del género Lantana sugiere que la fotosíntesis podría haber estado más afectada por los factores estomáticos que por los no-estomáticos (Schulze & Hall 1982; Lawlor 2002); sin embargo, la concentración intercelular de CO2 se mantuvo constante tanto en plantas control como en las estresadas (valor promedio de 204 ± 6 µmol mol-1), lo cual indica una regulación coordinada de la fotosíntesis por ambos factores. Para dilucidar este aspecto es necesario comparar la respuesta de la fotosíntesis a la concentración intercelular de CO2 de plantas control y estresadas y poder así evaluar la sensibilidad de la fotosíntesis en términos de limitaciones estomáticas y no-estomáticas.
La fotosíntesis medida a una concentración de CO2 saturante fue similar en plantas control de las tres especies, indicando iguales tasas máximas de transporte de electrones y de síntesis de RuBisCO. Una mayor eficiencia de carboxilación en L. canescens indicó que esta especie debe tener una mayor concentración y/o actividad de RuBisCO. La limitación estomática relativa promedio en las especies estudiadas en buena condición hídrica fue de 43%, por lo que la fotosíntesis se redujo 43% con respecto a la tasa fotosintética a conductancias estomáticas infinitas. No se lograron realizar las curvas A/Ci en plantas estresadas debido a un cierre estomático muy fuerte.
En las tres especies estudiadas la fotosíntesis disminuyó a luz saturante con el déficit hídrico y la eficiencia cuántica aparente disminuyó en L. caracasana y L. canescens, por lo que la capacidad de captar energía lumínica, el transporte de electrones o los procesos enzimáticos podrían estar afectados; resultados similares han sido reportados en Lycium nodosum (Tezara et al. 2003) y en encelia farinosa (Ehleringer & Cook 1984). La eficiencia cuántica del fotosistema II y el transporte de electrones disminuyeron como consecuencia del déficit hídrico al igual que lo reportado en dos especies de xerófitas (Tezara et al. 2005). La eficiencia cuántica máxima no fue afectada en concordancia con otros estudios (Lawlor & Cornic 2002), indicando que la actividad del fotosistema II es resistente al déficit hídrico y no hubo fotoinhibición.
En L. caracasana la temperatura óptima de la fotosíntesis aumentó 1ºC con el déficit hídrico y para una gama amplia de temperatura (25-35ºC) la fotosíntesis se vio poco afectada. La respuesta fotosintética a la temperatura es muy compleja debido a que se afectan las reacciones bioquímicas; además, la temperatura óptima para la fotosíntesis depende de la genética y fisiología de la especie y del ambiente donde se desarrollan (Taíz & Zeiger 2006).
Los resultados indican una mayor capacidad fotosintética de L. caracasana, sin estar ésto asociado a una menor área foliar específica en comparación con L. canescens y L. camara. Una correlación curvilínea entre la fotosíntesis y la conductancia estomática indicó que los estomas regularon parcialmente la fotosíntesis en las especies estudiadas; la reducción en la actividad fotoquímica (parte de los factores no-estomáticos) podría explicar la reducción de la fotosíntesis en condiciones de déficit hídrico, indicando una regulación coordinada de la fotosíntesis por ambos factores (constancia de la concentración intercelular CO2). L. caracasana y L. camara presentaron las mayores eficiencias de uso de agua en buena condición hídrica, y disminuyeron con el déficit hídrico; en contraste, en L. canescens la eficiencia de uso de agua no varió con el estrés por lo que esta especie fue más resistente y podría estar más adaptada a ambientes secos. Las reducciones observadas en los parámetros de las curvas de la luz y de fluorescencia indican una regulación descendente del aparato fotoquímico acompañado de incrementos en la disipación de energía en forma de calor, sin que se observaran indicios de fotoinhibición. El déficit hídrico afectó diferencialmente la fisiología según la especie: L. camara fue la especie más afectada (mayor disminución del potencial hídrico, de la fotosíntesis y de carbono asimilado) en comparación con L. caracasana y L. canescens. En estudios futuros es necesario relacionar la producción de aceites esenciales en las especies estudiadas con variaciones en la disponibilidad de agua y del ambiente donde crecen y contribuir a la utilización sostenible de este género en las diferentes regiones donde es cultivada con fines comerciales.
AGRADECIMIENTOS
Este trabajo fue financiado por los proyectos CDCH # 03.33.5383.2004 y 03.33.5383.2006. Los autores agradecemos a las Profesoras Ilsa Coronel y Rosa Urich por sus críticas y colaboración en la elaboración del manuscrito y a los árbitros de acta botanica venezuelica por sus sugerencias y observaciones.
BIBLIOGRAFÍA
1. Alitonou, G.J., F. Alvessi, I. Bocossa, E. Ahoussi, J. Dangou & D.C.K. Sohounhloué. 2004. Composition chimique et activités biologiques de lhuile essentielles de Lantana camara Linn. comp. Rend. chim. 7: 1101-1105. [ Links ]
2. Aymard, G. 2008. Verbenaceae. In: nuevo catálogo de la Flora vascular de venezuela (Hokche, O., P. Berry & O. Huber, eds.), pp. 652-656. Fundación Instituto Botánico de Venezuela Dr. Tobías Lasser. Caracas. [ Links ]
3. Camargo, I.D. & N. Rodríguez-López. 2006. New perspectives to study the biomass allocation and its relationship with the functioning of plants in neotropical ecosystems. acta biol. colomb. 11: 75-87. [ Links ]
4. Colombo, R., O. Marín, S. Irazábal & W. Tezara. 2007. Relaciones hídricas, fotosíntesis, y anatomía foliar de dos especies del género calotropis. Interciencia 32(11): 791-796 [ Links ]
5. Cújar, J. 2007. Plasticidad óptima en Lippia dulcis Trevir (Verbenaceae) sometida a un gradiente de agua. Trabajo Especial de Grado. Escuela de Biología. Facultad de Ciencias. Universidad Industrial de Santander, Colombia. [ Links ]
6. Ehleringer, J. & C. Cook. 1984. Photosynthesis in encelia farinosa Gray in response to decreasing leaf water potential. Pl. Physiol. 75: 688-693. [ Links ]
7. Farquhar, G.D. & T.D. Sharkey. 1982. Stomatal conductance and photosynthesis. annual Rev. Pl. Physiol. 33: 317-345. [ Links ]
8. García-Barriga, H. 1992. Flora medicinal de colombia: botánica médica. Tercer Mundo Editores, Bogotá, Colombia. [ Links ]
9. Ge, Y., J. Lu, J. Liao, B. Guan & J. Chang. 2004. Photosynthetic parameters of Mosla hangchowensis and M. dianthera as affected by soil moisture. Photosynthetica 42: 387-391. [ Links ]
10. Genty, B., J. Briantais & N. Baker. 1989. The relationships between the quantum yield of photosynthesis electron transport and quenching of chlorophyll fluorescence. biochim. biophys. acta 990: 87-92. [ Links ]
11. Krall, V.J.P. & G.E. Edwards. 1992. Relationship between photosystem II activity and CO2 fixation in leaves. Physiol. Pl. 86: 180-187. [ Links ]
12. Lawlor, D.W. 2002. Limitation to photosynthesis in water stressed leaves: stomata versus metabolism and the role of ATP. ann. bot. 89: 871-885. [ Links ]
13. Lawlor, D.W. & G. Cornic. 2002. Photosynthetic carbon assimilation and associated metabolism in relation to water deficits in higher plants. Pl. cell environm. 25: 275-294. [ Links ]
14. Liu, M., G. Jiang, Y. Li, L. Gao, S. Niu, H. Cui & L. Ding. 2003. Gas exchange, photochemical efficiency, and leaf water potential in three Salix species. Photosynthetica 41: 393-398. [ Links ]
15. Ma, C., Y. Gao, H. Guo & J. Wang. 2004. Photosynthesis, transpiration, and water use efficiency of caragana microphylla, c. intermedia and c. korshinskii. Photosynthetica 42: 65-70. [ Links ]
16. Ngugi, M., D. Doley, A. Hunt, P. Dart & P. Ryan. 2003. Leaf water relations of eucalyptus cloeziana and eucalyptus argophloia in response of water deficit. tree Physiol. 23: 335-343. [ Links ]
17. Ogaya, R. & J. Peñuelas. 2006. Contrasting foliar responses to drought in Quercus ilex and Pillyrea latifolia. biol. Pl. 50 (3): 373-382. [ Links ]
18. Parra, E. & N. Rodríguez-López. 2007. Plasticidad fenotípica de Lippia alba y Lippia origanoides (Verbenaceae) en respuesta a la disponibilidad de luz. acta biol. colomb. 12: 91-102. [ Links ]
19. Raizada, P., G.P. Sharma & A.S. Raghubanshi. 2008. Ingress of Lantana in dry tropical forest fragments: edge and shade effects. curr. Sci. 94(2): 180-182. [ Links ]
20. Rotman, A.D. 2006. Lantana lundiana y L. velutina (Verbenaceae) nuevos registros para Argentina y Paraguay. Darwiniana 44(2): 514-518. [ Links ]
21. Schulze, E-D. & A.E. Hall. 1982. Stomatal responses, water loss and CO2 assimilation rates of plants in contrasting environments. In: Physiological Plant ecology II. Water Relations and Carbon Assimilation (Lange, O.L., P.S. Nobel, C.B. Osmond & H. Ziegler, eds.), pp. 181-230. Springer-Verlag. Berlin. [ Links ]
22. Schulze, E., R. Robichaux, J. Grace, P. Rundel & J. Ehleringer. 1987. Plant water balance. bioScience 37: 32-36. [ Links ]
23. Sharma, G.P. & A.S. Raghubanshi. 2007. Effect of Lantana camara L. cover on local depletion of tree population in the vindhyan tropical dry deciduous forest of India. app. ecol. environm. Res. 5(1): 109-121. [ Links ]
24. Stashenko, E.E., B.E. Jaramillo & J.R. Martínez. 2003. Comparación de la composición química y de la actividad antioxidante in vitro de los metabolitos secundarios volátiles de plantas de la familia Verbenaceae. Revista acad. colomb. ci. 27(105): 579-597. [ Links ]
25. Tachack, M.I. 2005. Regulación estomática en la pérdida del agua en arbustos de Lippia origanoides H.B.K. en el ambiente semiárido del Cañón del río Chicamocha, Santander. Trabajo Especial de Grado. Escuela de Biología. Facultad de Ciencias. Universidad Industrial de Santander, Colombia. [ Links ]
26. Taíz, L. & E. Zeiger. 2006. Plant Physiology. Tercera edición, Sinauer Associates, Inc, Sunderland, USA. [ Links ]
27. Tezara, W., D. Martínez, E. Rengifo & A. Herrera. 2003. Photosynthetic responses of the tropical spiny shrub Lycium nodosum (Solanaceae) to drought, soil salinity and saline spray. ann. bot. 92: 757-765. [ Links ]
28. Tezara, W., O. Marín, E. Rengifo, D. Martínez & A. Herrera. 2005. Photosynthesis and photoinhibition in two xerophytic shrubs during drought. Photosynthetica 43: 37-45. [ Links ]
29. Wullschleger, S., T. Tschaplinski & R. Norby. 2002. Plant water relations at elevated CO2 implications for water-limited environments. Pl. cell environm. 25: 319-331. [ Links ]











uBio 








