Services on Demand
Journal
Article
Indicators
-
Cited by SciELO -
Access statistics
Related links
-
Similars in
SciELO
Share
Revista Técnica de la Facultad de Ingeniería Universidad del Zulia
Print version ISSN 0254-0770
Rev. Téc. Ing. Univ. Zulia vol.25 no.3 Maracaibo Dec. 2002
Determination of a vehicle´s fuel consumption through the simulation its dynamic behavior
Vidal Montiel, Analí Machado, Carlos Araujo y Álvaro Ochoa
Centro CEDEGAS, Facultad de Ingeniería, Universidad del Zulia, Apartado postal 526.
Maracaibo 4001-A, Venezuela. E-mail: amachado@luz.ve
Abstract
The objective of this work is to develop a model capable of simulation the dynamic behavior of a lightweight vehicle with standard transmission. The model will be used to obtain the vehicle´s fuel consumption when driven in urban and suburban areas using either gasoline or CNG. The model is based in the vehicle´s energy balance taking into accoun the environmental conditions, the engine´s load and the technical characteristics of the engine. In order to approximate different conditions and characteristics, the following methods were used: polynomial regression using the least square criteria, and the Gauss-Jordan method without partial pivoting. In addition, Simpson´s method of numerical integration was used to solve certain equations. From the results obtained, it can be concluded that the model propose offers a good estimate of the fuel consumption, and represents a good tool for the study of the vehicle´s behavior when using alternative fuels.
Key words: Fuel consumption, vehicles, driving schedule.
Determinación del consumo de combustible
en un vehículo que utiliza gasolina o GNC mediante la simulación de su comportamiento dinámico
Resumen
El objetivo del presente trabajo es desarrollar un modelo que sea capaz de simular el comportamiento dinámico de un vehículo liviano con transmisión sincrónica con la finalidad de obtener el consumo de combustible del mismo, cuando transita por vías urbanas o extraurbanas y emplea gasolina o GNC como combustible. El modelo se basa en un balance energético del vehículo, considerando las características exteriores y de carga del motor y las características técnicas del vehículo. Para el ajuste de datos que permitan aproximar los valores de las diferentes características se utiliza el método de regresión polinomial, usando el criterio de mínimo cuadrado y el método de Gauss-Jordan sin pivoteo parcial, así mismo para la resolución de algunas ecuaciones se empleo el método de integración numérica de Simpson. De los resultados obtenidos su puede concluir que el modelo propuesto ofrece una buena estimación del consumo de combustibles y representa una herramienta para el estudio del comportamiento del vehículo cuando utiliza combustibles alternos.
Palabras clave: Consumo de combustible, vehículos, ciclos de conducción.
Recibido el 17 de Julio de 2002
En forma revisada el 25 de Noviembre de 2002
Introducción
El problema del deterioro del medio ambiente está asociado al consumo de energía. A medida que el volumen de energía consumida en los países industrializados comienza a alcanzar tasas elevadas, empiezan a plantearse problemas de impacto medioambiental. El crecimiento de este problema se acentúan en paralelo al desarrollo de la industria y el transporte [1].
Debido a la necesidad existente de economizar energía, elevar la eficiencia de su aprovechamiento y por motivos ecológicos, ha aumentado la importancia de las investigaciones y desarrollos relacionados con mejorar la tecnología de los vehículos, la reformulación de combustibles y el uso de combustibles alternos.
Una de las posibilidades para la disminuir el consumo de combustibles tradicionales en los vehículos automotores y proporcionar una disminución en las emisiones contaminantes de los gases de escape lo constituye el uso del Gas Natural Comprimido (GNC), también denominado Gas Natural para Vehículo (GNV).
El GNC representa una excelente alternativa en virtud de su bajo costo, combustión limpia con bajas emisiones contaminantes, características físico-químicas que lo hacen difícilmente adulterable, amplias reservas y una producción suficientemente grande para satisfacer las necesidades existentes.
Por lo antes expuesto, resulta de interés evaluar y comparar el comportamiento del vehículo cuando trabaja con gasolina o GNC.
Adicionalmente, para el estudio del comportamiento dinámico del vehículo seleccionado (Chevette Super), y la determinación del consumo de combustibles (para gasolina o GNC), se utilizan dos ciclos de manejo: el FTP urbano y extraurbano. En el ciclo urbano, el movimiento de los vehículos es muy inestable, puesto que la fase de arranque y frenado tiene lugar en tramos cortos de la vía. En estas condiciones, en un sistema clásico de accionamiento, el motor trabaja en un amplio rango de potencia, velocidad angular y rendimiento. En cambio, el tráfico extraurbano se caracteriza por un movimiento relativamente estable, ya que el avance del vehículo, con velocidades constantes ocurre durante largos períodos. Todo ello, permitirá realizar una mejor comparación desde el punto de vista del consumo de combustible de la gasolina y el GNC.
Para realizar el estudio relacionado con el consumo de combustible deben tomarse en cuenta factores tales como, por ejemplo, las condiciones de movimiento de un vehículo automotor, caracterizado por los parámetros de la vía, características exteriores del motor, distintos periodos de avance del vehículo en las condiciones dadas, características propias del vehículo con su inercia, masa, relación de transmisión de la caja de velocidades, equipos auxiliares, etc., todo ello con la finalidad de lograr la optimización de la economía del combustible y la determinación de las condiciones de movimiento del vehículo [2, 3].
Para desarrollar un modelo que permita simular el comportamiento dinámico para obtener el consumo de combustible, es necesario analizar la característica de tracción del vehículo, lo que permitirá obtener las ecuaciones que definen el comportamiento del mismo, en cada uno de los períodos de avance. Para determinar algunas de las variables involucradas en estas ecuaciones, es necesario ajustar un conjunto de datos por medio de un polinomio. Para tal fin, se emplea el método de regresión polinomial, usando el criterio de mínimo cuadrado y el método de Gauss-Jordan sin pivoteo parcial. Así como para la solución de algunas ecuaciones se emplea el método de integración de Simpson [4].
Mediante el modelo propuesto puede determinarse el consumo de combustible total y el consumo por unidad de longitud recorrida, en los ciclos FTP urbano y extraurbano. Los resultados de los cálculos se presentan por fase (para el ciclo urbano) como por etapas (para ambos casos). Del análisis de los resultados se concluye que el programa permite una buena estimación del consumo de combustible y adicionalmente, representa una herramienta para la enseñanza de la influencia de los parámetros principales en el comportamiento dinámico del vehículo. Igualmente es importante destacar que en estudios previos, con el empleo de un ciclo de manejo sencillo desarrollado, se verifico la pertinencia y buenos resultados de las ecuaciones y procedimiento planteado en este trabajo.
Simulación del comportamiento dinámico del vehículo
para el cálculo del consumo
de combustible
Cuando el vehículo está en movimiento, producto del accionamiento de una fuerza de tracción (Ft), se logran identificar dos fuerzas que se le oponen, estas son: la resistencia al avance (Frav) y la resistencia a la aceleración (Race). La resistencia al avance es la suma de los efectos de la resistencia a la rodadura (Rr), la resistencia a superar una pendiente (Rp) y la resistencia aerodinámica (Ra). La resistencia a la aceleración sólo aparece durante una variación de la velocidad de avance del vehículo, representando la fuerza por inercia del mismo y que depende principalmente de la masa del vehículo, sus masas giratorias, entre las cuales se tienen: el volante, el embrague y las ruedas. Al realizar un análisis de fuerzas en el vehículo se obtiene la ecuación:
(1)
La resistencia a la rodadura y la resistencia a la pendiente, las cuales superan al peso del vehículo y a la pendiente de la carretera, pueden ser determinadas por las siguientes ecuaciones:
(2)
(3)
donde:
G :peso total del vehículo, en N,
f :coeficiente de rodadura.
Hw :pendiente de la vía, igual a tg(f). Puede ser positiva o negativa.
El valor de f en la ecuación 2 puede calcularse utilizando la expresión:
(4)
donde:
f0 : coeficiente básico de rodadura, el cual es función del tipo de pavimento [5],
K : constante, 5 × 105,
V : velocidad del vehículo, km/h.
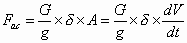
Por otra parte, la resistencia aerodinámica, la cual se opone al movimiento del vehículo debido a la fricción del aire, a remolinos alrededor del vehículo y al aire comprimido sobre el área frontal del mismo, se calcula por la fórmula:
, en N. (5)
donde:
g
: peso específico del aire,Cx : coeficiente aerodinámico,
A : área frontal del vehículo, en m2,
V : velocidad avance del vehículo, en m/s.
Por último, para determinar la resistencia a la aceleración se emplea la expresión 5.
(6)
donde:
d
:coeficiente de la participación de las masas giratorias,
: Aceleración lineal de avance del vehículo, en m/s2.
Existen diferentes fórmulas que permiten determinar el coeficiente de participación de las masas giratorias (d). En este trabajo se ha seleccionado la siguiente ecuación, la cual resulta ser la más utilizada y la que da mejores resultados de acuerdo a la bibliografía consultada [2]:
(7)
ICV: relación de transmisión de la caja de velocidades.
A continuación se presenta el esquema que permite determinar la fuerza de tracción dependiendo del tipo de vehículo. Como puede observase en la Figura 1, cuando la aceleración es cero (ACE(I) = 0), la fuerza de tracción es función de la resistencia al avance en el instante (I), si el movimiento es acelerado la fuerza de tracción es función de la resistencia al avance y la resistencia a la aceleración, por último, en el periodo de desaceleración, esta fuerza de tracción será estimada sobre la base de la resistencia al avance que se obtendría a una velocidad de 2.5 MPH. Muchos autores señalan que por debajo de este valor de velocidad del vehículo se puede considerar que el motor opera en vacío [6].

Figura 1. Esquema para el cálculo de la fuerza de tracción dependiendo el tipo de movimiento.
Una vez conocido el valor de la fuerza de tracción, es posible calcular teóricamente el consumo de combustible a través de un balance de energía en el vehículo [7]. Esto se logra igualando la energía liberada por el combustible en el motor, la cual genera un trabajo producto del accionamiento de una fuerza de tracción, con la energía requerida para mover el vehículo, y que puede representarse por:
(8)
donde:
Wo :poder calorífico del combustible,
Q :flujo de combustible consumido,
ne :rendimiento efectivo del motor,
nm :rendimiento mecánico del sistema de transmisión, el cual será 0.93 para marcha directa y 0.88 para indirecta [2].
Si la ecuación 8 se coloca en función del tiempo y se despeja Q, se tiene:
(9)
Si la ecuación 9 es dividida entre la longitud recorrida (S), se obtiene el consumo de combustible por unidad de longitud recorrida (Q/S), es decir:
(10)
Es importante señalar que a velocidades promedios relativamente bajas como las que caracterizan el ciclo urbano FTP-75, se conoce que el valor promedio de eficiencia efectiva del motor esta entre 0.12 y 0.15, adicionalmente para el ciclo extraurbano en donde las velocidades promedio son mayores, el valor está entre 0.15 y 0.18 [8].
La respuesta del conductor ante la necesidad de un cambio de marcha, se simula siguiendo el esquema representado en la Figura 2.

Si la aceleración es positiva (ACE(I) > 0), se analiza la posibilidad de un cambio a una marcha superior verificando si:
1.La velocidad de avance (V (I+1)) es mayor que la velocidad máxima en la marcha inferior, y
2.La fuerza de resistencia al avance es menor que la fuerza de tracción para la marcha superior.
Si se cumplen estas dos condiciones se efectúa el cambio a una marcha superior, de lo contrario no se realiza.
Si se experimenta una desaceleración del vehículo (ACE(I) < 0), se analiza la posibilidad de un cambio a una marcha inferior verificando, si:
1.La velocidad de rotación del motor (N), es igual a la velocidad de rotación mínima NMIN (C), y
2.La fuerza de resistencia al avance es mayor a la fuerza de tracción en la marcha superior.
Si se cumplen estas dos condiciones se efectúa el cambio a una marcha inferior, de lo contrario no se realiza.
Al conocer la marcha acoplada C, se selecciona el valor del rendimiento mecánico del sistema de transmisión, además se calcula el coeficiente de participación de masas giratorias.
Por último, para resolver la ecuación 8 que permite determinar Q y la ecuación 9 para Q/S, se emplea el método de Simpson 1/3 [9].
Es importante destacar que para realizar la simulación del comportamiento dinámico del vehículo cuando se utiliza GNC, el peso del vehículo fue incrementado debido a la incorporación principalmente de los cilindros de almacenamiento.
Resultados de la Simulación
A continuación se presentan los resultados obtenidos de la simulación del comportamiento dinámico de un vehículo Chevette Super para la determinación del consumo de combustible cuando se utiliza gasolina o GNC.
Inicialmente se realizó un estudio sobre la influencia de algunos parámetros tales como: la eficiencia efectiva del motor (ne), el coeficiente aerodinámico (Cx), el tipo de pavimento, en el consumo de combustible cuando estos varían dentro del rango recomendado por los diferentes autores. Del mismo se obtuvo como resultados que el parámetro más significativo en el consumo de combustible es ne, puesto que produce variaciones considerables de alrededor del 25% para el ciclo urbano y del 12% para el ciclo extraurbano, usando gasolina o GNC como combustible.
Por otra parte, Cx no causa un efecto significativo en el resultado del consumo de combustible cuando este es seleccionado dentro del rango recomendado por los distintos autores, produciendo pequeñas variaciones entre un 2 y 4% en los ciclos empleados. Por último, las rutas construidas de cemento producen un aumento en el consumo de combustible alrededor del 6% al 9% con respecto a las rutas de asfalto en buen estado, tanto para los ciclos urbanos como extraurbanos.
En la Figura 3 puede observarse el comportamiento del consumo de combustible en función del tiempo. Teniendo en cuenta que 1 dm3 de gasolina es energéticamente equivalente a 1 m3 de GNC, se observa que el requerimiento de energía usando GNC como combustible es mayor que con la gasolina. Adicionalmente, cuando se utiliza GNC como combustible el peso de los cilindros de almacenamiento incrementa el peso total del vehículo en un 10% aproximadamente, motivo por el cual los autores enuncian la disminución de la carga útil del vehículo al usar GNC, como una desventaja de la conversión [10].

Figura 3. Consumo y costo del combustible para el ciclo urbano FTP-75 utilizando gasolina y GNC para el Chevette Super.
No obstante, en términos económicos, actualmente en nuestro país el precio de 1 m3 GNC es aproximadamente el 1% del precio de 1 dm3 de gasolina normal (91 RON). Luego al analizar la Figura 3 puede observarse que para el recorrido del ciclo urbano FTP-75 se necesita Bs. 124.6 si se emplea gasolina como combustible (70 Bs/lts), mientras que utilizando GNC se necesitarían Bs. 1.25 (0.65 Bs/m3).
Otro aspecto a estudiar es el comportamiento del consumo de combustible por unidad de longitud recorrida a lo largo del ciclo urbano, el cual se muestra en la Figura 4.
Se puede observar de la Figura 4 que el consumo de combustible acumulado (Q/S), tiende a estabilizarse en un valor para gasolina aproximadamente de 10 dm3/100Km y para GNC aproximadamente de 11 m3/100Km. El pico al inicio de la curva, ocurre debido a que, durante los primeros 20 s el vehículo no recorre ninguna distancia, por lo tanto, el Q/S matemáticamente tiende al infinito.

Figura 4. Consumo acumulado de combustible por unidad de longitud recorrida para el ciclo urbano FTP-75, en el vehiculo modelo Chevette Super.
Durante los primeros 505 s, se observó que las variaciones del (Q/S) son más bruscas que en los últimos 505 s (Fase 3), aunque ambas presentan el mismo patrón de velocidad. Se sabe que el consumo (Q) se incrementa a lo largo del ciclo como se mostró en la Figura 3, así como también, la distancia recorrida en el tiempo, pero en la razón (Q/S) el denominador crece más rápidamente que el numerador. Por lo tanto, la distancia recorrida es un factor que estabiliza el consumo acumulado de combustible por unidad de longitud recorrida.
En la Figura 5 se presentan los resultados de consumo de combustible y el costo de dicho consumo para el ciclo extraurbano, usando gasolina o GNC. Se observa que el requerimiento de energía usando GNC como combustible es mayor que en el caso de la gasolina.

Figura 5. Consumo de combustible y valor en bolivares para el ciclo extraurbano utilizando gasolina y GNC para el Chevette Super.
Nuevamente, en términos económicos, utilizar GNC como combustible resulta menos costoso que emplear gasolina, ya que para cubrir todo el recorrido del ciclo extraurbano FTP se necesitan Bs. 80.50 si se emplea gasolina como combustible, mientras que utilizando GNC se necesitarían Bs. 0.793.
Otro aspecto a estudiar es el comportamiento del consumo de combustible por unidad de longitud recorrida a lo largo del ciclo extraurbano, mostrado en la Figura 6.

Figura 6. Consumo acumulado de combustible por unidad de longitud recorrida para el ciclo extraurbano, en el vehiculo modelo de Chevette Super.
Se puede observar en la Figura 6 que el consumo de combustible acumulado (Q/S), tiende a estabilizarse en un valor con el tiempo, pero este es menor en este caso, ya que para gasolina es aproximadamente de 7dm3/100Km, mientras que para el GNC es alrededor de 7.2 m3/100Km. Al comparar estos valores a los obtenidos en el ciclo urbano con el mismo vehículo, se observa un 30% menos de consumo de combustible (Q/S) cuando se usa gasolina mientras que para el GNC la disminución fue de un 34.5%. Este resultado era de esperarse ya que la eficiencia efectiva del motor es mayor para el ciclo extraurbano y el patrón de velocidades de avance es más estable.
Conclusiones
El modelo matemático desarrollado para determinar el consumo de combustible en vehículos automotores con transmisión sincrónica utilizando gasolina, arroja resultados dentro de los valores esperados.
El método de regresión polinomial, utilizando los criterios de los mínimos cuadrados y el método de Gauss-Jordán, con el fin de ajustar las curvas del par motriz y pérdidas en los equipos auxiliares, proporciona buenos resultados, con errores en el orden de 0.4% con respecto a los valores reales de RPM y par motriz.
En el ciclo extraurbano el consumo de combustible teórico (Q) y el consumo de combustible por unidad de longitud recorrida (Q/S) es menor que para el ciclo urbano, debido a que la eficiencia efectiva del motor es mayor en el ciclo extraurbano por poseer una velocidad promedio más alta, además las aceleraciones y desaceleraciones que lo caracterizan son menos bruscas.
El consumo de combustible acumulado por unidad de longitud (Q/S), tiende a estabilizarse en un valor con el tiempo, debido a que la distancia recorrida (S) crece más aceleradamente que el numerador (Q).
El consumo de combustible es alrededor de 6% mayor al emplear GNC que al emplear gasolina en el ciclo urbano, mientras que para el ciclo extraurbano el aumento es alrededor de 7%-8%, debido al incremento de cerca del 10% en el peso del vehículo por los cilindros de almacenamiento del gas natural.
El parámetro más significativo en el resultado del consumo de combustible es la eficiencia efectiva del motor(ne), puesto que al emplearla dentro del rango recomendado por los autores se producen variaciones considerables de alrededor del 25% para el ciclo urbano y del 12% para el ciclo extraurbano, usando gasolina o GNC como combustible.
El coeficiente aerodinámico no causa un efecto significativo en el resultado del consumo de combustible cuando este es empleado dentro del rango recomendado por los distintos autores, ya que solo produce pequeñas variaciones que oscilan entre un 2 y 4% en los ciclos empleados.
De las comparaciones realizadas con los diferentes tipos de pavimentos se obtiene que las rutas construidas de cemento producen un aumento en el consumo de combustible alrededor del 6% al 9% con respecto a las rutas de asfalto en buen estado, tanto para los ciclos urbanos como Extraurbanos, cuando se utiliza gasolina o GNC como combustible.
Referencias Bibliográficas
1. Lapuerta, M. y Hernández, J., "Tecnología de la Combustión". Primera edición. Universidad de Castilla. La Mancha, Cuenca España. 1998. [ Links ]
2. Montiel Vidal, "Simulación de las condiciones de movimiento de un vehículo automotor en una vía Extraurbana". Trabajo Especial de Grado, Universidad del Zulia, División de Postgrado. Maracaibo, 1990. [ Links ]
3. Wang, W.; Gautam, M.; Sun, X.; Bata, R.; Clark, N.; Palmer, M. y Lyons, D.: "Emissions Comparisons of Twenty-six Heavy Duty Vehicles Operated on Convertional and Alternative Fuels". Publicación SAE No. 932952. p. 31-40. 1993. [ Links ]
4. Burden R. y Faires D., "Análisis Numérico", Grupo Editorial Iberoamérica, México, 1985. [ Links ]
5. Przybylski Józef, "Teoría de Vehículos Automotores", Editorial Universidad del Zulia, Maracaibo, 1983. [ Links ]
6. Johnson T. M., Formenti D. L., Gray Richard y Peterson William. " Measurement of Motor Vehicle Operation Pertinent to Fuel Economy ". Society of Automotive Engineers. SAE. Paper Nº 750003. 1975. [ Links ]
7. Medina Rincón, Ángel. "Simulación del Consumo de Combustible en Vehículos Automotores". Trabajo Especial de Grado de la Maestría en Ingeniería Mecánica. Maracaibo, Universidad del Zulia, Facultad de Ingeniería, División de Postgrado. 1990. [ Links ]
8. Wark, Kenneth Jr. "Termodinámica". Editorial McGraw Hill. Quinta Edición. [ Links ]
9. Chapra S. And Canale R. "Métodos Numérico para Ingenieros". Editorial McGraw Hill. México. 1998. [ Links ]
10. Przybylski Józef, "Gas Natural Comprimido como Combustible Alterno en Vehículos Automotores". Editorial Universidad del Zulia. CEDEGAS, Maracaibo, 1996. [ Links ]












