Servicios Personalizados
Revista
Articulo
Indicadores
-
Citado por SciELO -
Accesos
Links relacionados
-
Similares en
SciELO
Compartir
Revista Técnica de la Facultad de Ingeniería Universidad del Zulia
versión impresa ISSN 0254-0770
Rev. Téc. Ing. Univ. Zulia v.25 n.3 Maracaibo dic. 2002
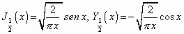
a Hankel transform
Alfredo Villalobos
Centro de Investigación de Matemática Aplicada (C.I.M.A.), Facultad de Ingeniería, Universidad del Zulia. Maracaibo, Venezuela. E-mail:alfredov@falcon.ing.luz. ve
Abstract
In the present work the Hankel generalized finite transform of third class is used to determinate the stationary temperature distribution u(r, z) in a hollow cylinder with variable thermic conductivity.
Key words: Finite transform, stationary temperatura.
Temperaturas estacionarias en un cilindro hueco con conductividad térmica variable usando
una transformada de Hankel
Resumen
En el presente trabajo se usa la transformada finita generalizada de Hankel de tercera clase para determinar la distribución estacionaria de temperatura u(r, z) en un cilindro hueco con conductividad térmica variable.
Palabras clave: Transformada finita, temperatura estacionaria.
Recibido el 22 de Enero de 2002
En forma revisada el 03 de Diciembre de 2002
Introducción
Las transformadas integrales son ampliamente usadas en la resolución de problemas que involucran ecuaciones diferenciales ordinarias y parciales, dadas condiciones iniciales y de borde. Entre la gran variedad de transformadas integrales se encuentran las llamadas transformadas finitas de Sturm-Liouville [1], siendo un ejemplo de estas las transformadas finitas de Hankel [1], las cuales corresponden al operador lineal , definido por
(1)
y son muy útiles en la resolución de problemas de contorno con simetría cilíndrica.
Las transformadas finitas generalizadas de Hankel [2, 3], corresponden al operador
![]()
(2)
el cual es una generalización de (1).
Cuando se plantean algunos problemas de temperaturas en cilindros, la ecuación diferencial puede ser resuelta, usando las transformadas finitas generalizadas de Hankel. La escogencia de la transformada apropiada depende de la forma de las condiciones de borde. En particular, en el presente trabajo, se utiliza la transformada de tercera clase para determinar la distribución estacionaria de temperaturas en la región anular de un cilindro hueco, considerando una conductividad térmica variable.
La transformada finita generalizada de Hankel
de tercera clase
Dada una función definida en el intervalo [a, b], se define la transformada finita, generalizada de Hankel de tercera clase de por
(3)
donde
son las raíces positivas de la ecuación transcendente
(4)
La fórmula de inversión viene dada por
(5)
Una propiedad básica para las aplicaciones es
(6)
Temperaturas estacionarias
en un cilindro hueco
La distribución de temperaturas estacionarias
en un cilindro, cuyo material tiene una conductividad térmica k, satisface la ecuación diferencial
(7)
Generalmente, k se considera constante y la ec. (7) se reduce a la bien conocida ecuación
(8)
En este trabajo se considera que k varía con r en la forma
![]()
constantes (9)
y, de esta manera, la ec. (7) se reduce a
(10)
Considérese un cilindro hueco ,
, cuyas superficies r = a y r = b se mantienen a las temperaturas p(z) y q(z) , respectivamente, mientras que las superficies z = 0 y z = c se mantienen a temperatura cero. La conductividad térmica k en el cilindro varía según (9). En este caso,
corresponde a la solución del problema de contorno constituido por la ec. (10) y las condiciones
![]()
![]()
![]()
(11)
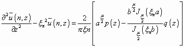
Nótese que los términos
![]()
de la ec. (10) corresponden al operador ![]()
definido en (2) con parámetros
, además, se tienen las condiciones de borde en
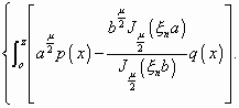
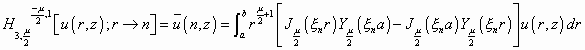
exigidas en (6) . Todo esto permite que el problema pueda resolverse mediante la aplicación de la transformada finita generalizada de Hankel de tercera clase, respecto a la variable r, definida por
(12)
donde
son las raíces positivas de la ecuación
(13)
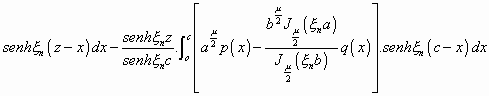
Al aplicar la transformada en la ec. (10) se tiene
(14)
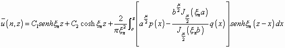
Usando el conocido método de variación de parámetros [4], la solución general de (14) queda
(15)
De las condiciones en z = 0 y z = c, se tiene
(16)
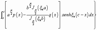
y al introducir estas condiciones para determinar y en (15), resulta

(17)
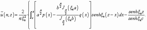
De acuerdo con (5), la distribución u(r.z) viene dada por
(18)
esto es


(19)
donde la suma es tomada sobre todas las raíces positivas de la ec. (13).
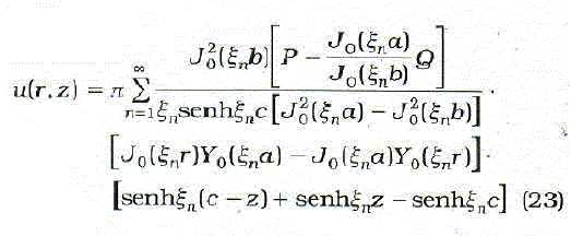
En el caso de que
y
, siendo P y Q constantes, la fórmula (19) queda

(20)
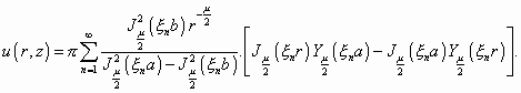
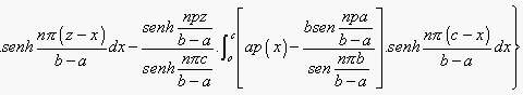
Si se toma µ = 0, se obtiene la distribución u (r,z) para una conductividad térmica constante k=ko. Así, la expresión (19) se reduce a

(21)
donde la suma es tomada sobre todas las raíces positivas de la ecuación
(22)
Si
y
en (21), se obtiene

Ahora, considérese el caso µ = 1, esto es, la conductividad térmica varía linealmente en la forma
. Usando las conocidas relaciones [5]
(24)
la ecuación transcendente (13) se reduce a
(25)
de donde se tiene que
![]()
(26)
De esta manera, la distribución
viene dada por

(27)
Cuando
y
, la ec. (27) queda

Referencias Bibliográficas
1. Sneddon, I.N.: The use of integral transforms, Me Graw-Hill Publishing Company Ltd, New Delhi, (1979). [ Links ]
2. Bermúdez, M.: Sobre una transformada finita generalizada de Hankel, Rev. Téc. Ing. Univ. Zulia, Vol. 17, No. 1, (1994), p. 47-50. [ Links ]
3. Bermúdez, M.: Una nota sobre unas transformadas finitas generalizadas de Hankel de segunda y tercera clases, Rev. Téc. Ing. Univ. Zulia, Vol. 18, No. 2, (1995), p, 171-174. [ Links ]
4. Boyce, W.E. y Di Prima, R.C.: Ecuaciones diferenciales y problemas con valores en la frontera, Edit. Limusa, México, (1977). [ Links ]
5. Lebedev, N.N.: Special functions and their applications, Dover Publications Inc., New York, (1972). [ Links ]












