Servicios Personalizados
Revista
Articulo
Indicadores
-
Citado por SciELO -
Accesos
Links relacionados
-
Similares en
SciELO
Compartir
Revista Técnica de la Facultad de Ingeniería Universidad del Zulia
versión impresa ISSN 0254-0770
Rev. Téc. Ing. Univ. Zulia v.26 n.3 Maracaibo dic. 2003
Potential in bidimensional wedge domains
J. Hildemaro Briceño M. y Florencio P. Plachco M.
Departamento de Potencia, Facultad de Ingeniería, Universidad de los Andes. Av. Tulio Febres Cordero, Mérida, Venezuela. Fax: 0274- 2402897. E-mail: maro@.ula.ve
Abstract
Potential function due to lineal charge distribution C/m in bidimensional wedge domains bounded by two planes with zero potential and angle 2F, can be obtained by means of classical images theory or infinite series solution. However images theory solutions are limited to wedge angles entire submultiples of p. In this paper is shown that general problem solution can be expressed by the Sommerfeld-Malyughinetz integral for any value 0 < 2F £ p in the complex plane through a convenient integration path. It is shown that solution for Laplace problem is a particular case of the more general Helmholtz problem with identical boundary conditions. It is shown that images theory is a particular case of the integral solution for 2F = p/n where n is an natural number.
Key words: Singular domain potentials, bidimensional potentials, bidimensional Dirichlet problem.
Potencial en dominios cuneiformes bidimensionales
Resumen
El cálculo del potencial asociado a una distribución lineal de carga q C/m en un dominio cuneiforme limitado por dos planos a potencial cero en ángulo 2F, se puede determinar mediante la clásica teoría de las imágenes o mediante el desarrollo de la solución en una serie infinita. Sin embargo la teoría de imágenes está limitada a ángulos 2F=p/n de la cuña sólo para números naturales n³1. En este trabajo se muestra que la solución general del problema para cualquier valor 0< F £ p se puede expresar mediante la integral de Sommerfeld-Malyughinetz en el plano complejo a lo largo de un camino de integración adecuado. Adicionalmente se comprueba que la solución de este problema gobernado por la ecuación de Laplace, es una particularización de la solución del problema de Helmholtz con idénticas condiciones de contorno. Se demuestra que la solución obtenida con la teoría de la imágenes emerge como un caso particular de la solución en forma integral para ángulos 2F = p/n, donde n es un número natural.
Palabras clave: Potencial en dominios singulares, potenciales bidimensionales, problema de Dirichlet en dos dimensiones.
Recibido el 31 de Marzo de 2003
En forma revisada el 1º de Diciembre de 2003
Introducción
Sea una carga lineal con densidad de carga q C/m, ubicada en un punto (ro, jo) en un dominio cuneiforme tal como se muestra en la Figura 1. En la frontera del dominio, j = ±F se tienen dos planos conductores con voltajes de referencia V = 0. Se desea conocer el potencial VP en un punto P de coordenadas (r, j).
La formulación en términos matemáticos del problema descrito, corresponde a un problema de contorno en dos dimensiones asociado a la ecuación de Laplace con una singularidad en el punto de ubicación de la carga lineal q, punto (ro,jo). Es decir se desea resolver el siguiente problema:
Con las siguientes condiciones de contorno:
V = 0 r®¥ F £ j £ F (3)
V = 0 0 £ r <¥ j = ± F (4)
La condición de contorno (2) indica que el potencial está acotado en el punto r = 0, que corresponde al vértice de la cuña. Este vértice es un punto de singularidad del dominio ya que no está definida la derivada normal en este punto, y por lo tanto no se puede asociar un valor de densidad de carga superficial en este punto. Esta particularidad es lo que impide que los métodos numéricos desarrollados para dominios con fronteras suaves sean ineficientes para obtener, con una aproximación controlada, el valor del potencial y en especial del campo eléctrico en las proximidades del punto r = 0, hecho importante para el diseño del aislamiento en este tipo de geometría. Por ejemplo en el caso del método de colocación de cargas la estrategia para acercarse al vértice es colocar cargas ficticias en puntos adyacentes al vértice, hasta que punto de proximidad al vértice se puede llegar es una pregunta abierta. Un aspecto importante cuando se utilizan otros métodos numéricos como el método de los elementos finitos [1], es la extrema lentitud con la que convergen estos métodos a una solución aproximada del potencial en las proximidades del punto r = 0. Esto da pie para una segunda pregunta, si el grado de exactitud máximo está limitado en la práctica en la zona próxima a r = 0 por la densidad de la malla para discretizar el dominio, como se ve afectada la exactitud en el resto del domino de interés por este grado en r = 0. Es decir si existe una zona del dominio con aproximación cuestionable, hasta que punto esta solución cuestionable contamina la solución en el resto del dominio.
Es conocido que las esquinas o cuñas son evitadas en cualquier diseño de aislamiento eléctrico, sin embargo en algunos casos son inevitables y en la práctica son suavizadas de alguna manera. Sin embargo para fines de modelo y estudio de la distribución de potencial en casos donde la geometría tiene cuñas, es ventajoso disponer de una solución que supere las dificultades que se presentan con los métodos numéricos desarrollados hasta el momento.
Solución Mediante la Teoría de Imágenes
La teoría de las imágenes, descrita profusamente en la literatura [2, 3], resuelve el problema colocando cargas imágenes en el exterior del dominio con los signos adecuados para satisfacer las condiciones de contorno nulas en la frontera del dominio. En la Figura 2(a) se ilustra el caso para F = ± p/4. El potencial en un punto se determina mediante la superposición de los potenciales individuales asociados a la carga q y sus respectivas imágenes:
La distancia Ri se toma desde cada imagen i hasta el punto P. La teoría de las imágenes está limitada a valores de 2F = p/n para n entero. Si n es irracional el número total de imágenes I se hace infinito, I®¥. En la Figura 2(b) se ilustra el caso para F = ±3p/4, en este caso la teoría de imágenes falla porque incluye un par de cargas ficticias en el dominio de interés, lo cual transforma el problema original en otro problema totalmente diferente.
Solución Mediante Series Infinitas
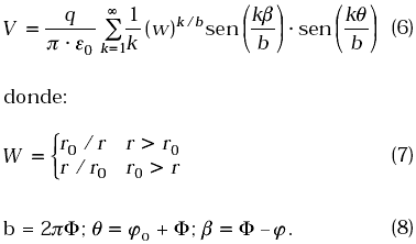
Panofsky y Phillips [4] desarrollaron la solución del problema planteado en forma de serie infinita:
La solución expresada mediante (6) da resultados para n racional o irracional. La velocidad de convergencia de la serie infinita depende del factor w. Para valores de w próximos a la unidad la serie converge lentamente. Para el caso de la singularidad w = 1 y j = jo la serie diverge lentamente a infinito.
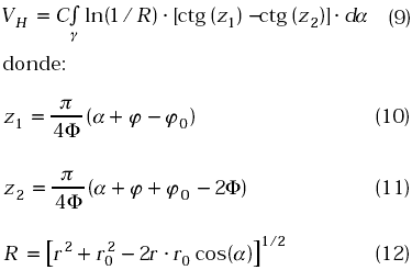
Solución Mediante la Integral de Sommerfeld-Malyughinetz
La solución del problema a partir de la integral de Sommerfeld-Malyughinetz se puede escribir como:
En la solución (9) la elección del contorno de integración g en el plano complejo a juega un papel fundamental. La función ln(R) es singular cuando R®0. Esto ocurre para los puntos:
La constante C en (9) es igual a q/2peo.
Cuando en (1) se sustituye el operador de Laplace (Ñ2) por el operador de Helmholtz (Ñ2+µ), donde µ es un parámetro que puede ser un número complejo, la solución del problema de Helmholtz con las mismas condiciones de contorno es de igual formas que (9) sólo basta sustituir ln(R) por la función de modificada de Bessel de segunda especie y orden cero Ko(µR)[5]. Para valores pequeños del argumento (µR) la función Ko(µR) puede ser aproximada mediante la función logarítmica [6]:
Para µ constante la aproximación (15) satisface la ecuación de Laplace. Es evidente que la solución del problema definido en (1)-(4) es un caso particular de la solución del problema de Helmholtz.
Contorno de integración
La función ln(R) es multivaluada en el plano complejo a = x + iy con polos en los puntos correspondientes a (13) y (14). Haciendo los cortes mostrados en la Figura 3, se evitan los múltiples valores de esta función y la función logarítmica pasa a ser una función monovaluada en el plano cortado.
La función [ctg(z1) ctg(z2)] es una función meromorfa en el plano a. El contorno de integración g está formado por dos contornos g1, g2 como se indica en la Figura 3. Estos contornos deben ser simétricos respecto a a = 0 pasando entre los puntos de ramificación del plano cortado y terminando en Im(a) = ± ¥ y Re(a) = ±(2h+1)p, h = 0, ±1, ±2... [5].
Integración numérica en el contorno g
La integración numérica sobre del contorno g se puede descomponer en seis integrales que varían bien a lo largo de p £ V £ p ó de la variable ± yc £ y £ ± ¥. Si se descomponen cada una de las seis integrales en sus partes reales e imaginarias, se obtienen doce integrales reales que pueden ser determinadas mediante algoritmos en álgebra real. Es posible explotar la simetría de las funciones pares y la cancelación que ocurre con las funciones impares. La selección de los puntos p y p a lo largo del eje real puede simplificar las expresiones de los integrandos.
La integración a lo largo de las líneas verticales desde ± yc hasta ± ¥ se puede limitar a un valor finito ±Y, debido a que el integrando decrece rápidamente a cero con el incremento de y.
El Método de las Imágenes como un Caso Particular de la Solución Integral
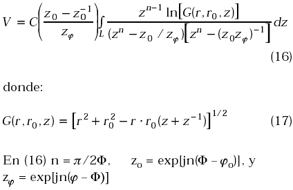
Para n entero en 2F = p/n, mediante la aplicación de la teoría de residuos se puede obtener la solución analítica de la integral (9). Esta solución coincide con la obtenida mediante la aplicación de la teoría de las imágenes. En efecto mediante la transformación z = exp(ja) se obtiene la siguiente expresión para la integral (9):
L es un contorno en el plano z equivalente al contorno g en el plano a. La integración en (16) se puede efectuar mediante la aplicación directa de la teoría de residuos, previa determinación de las raíces del denominador. Por ejemplo para 2F = p, n = 1, las raíces del denominador son simplemente z1 = zo/zj, z2 = (zo.zj). De acuerdo a la teoría de los residuos la solución de la integral (16) para este ejemplo en particular es la siguiente:
Después de hacer algunas simplificaciones algebraicas elementales, el resultado coincide completamente con el obtenido por el método de las imágenes.
Resultados Obtenidos
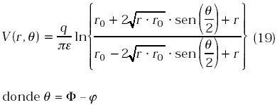
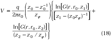
Para comprobar la potencialidad de la solución mediante la integral Sommerfeld-Malliyuginetz se resolvió el problema que se ilustra en la Figura 4.
La solución explícita de este problema ha sido obtenida en [7]:
En la Tabla 1 VI corresponde a los valores obtenidos mediante la integral (9), y VF a los valores obtenidos mediante (19). Es obvia la convergencia de los valores obtenidos por ambos métodos. Los valores mostrados están multiplicados por el factor 2peo/q.
Valores de voltaje obtenidos para el problema de la Figura 4 ro =1.0; j = p/100
| r/ro | VI | VF |
| 0.1 | 0.654786 | 0.654794 |
| 0.2 | 0.962209 | 0.962217 |
| 0.3 | 1.229878 | 1.229886 |
| 0.4 | 1.490382 | 1.490390 |
| 0.5 | 1.761693 | 1.761701 |
| 0.6 | 2.061521 | 2.061529 |
| 0.7 | 2.415978 | 2.415986 |
| 0.8 | 2.877429 | 2.877437 |
| 0.9 | 3.594276 | 3.594284 |
También se obtuvieron resultados para un ángulo F submúltiplo irracional de p. Los resultados se comparan con la solución obtenida con series infinitas en la Tabla 2.
Valores obtenidos para 2F = p/√5
|
| j = 0 | j = p/(3√5) | ||
| r/ro | Vs | VI | Vs | VI |
| 0.20 | 0.054726 | 0.054726 | 0.027343 | 0.027343 |
| 0.50 | 0.431082 | 0.431082 | 0.205977 | 0.205977 |
| 0.90 | 2.143406 | 2.143406 | 0.531383 | 0.531383 |
| 0.95 | 2.859719 | 2.859719 | 0.544955 | 0.544955 |
| 1.00 | ¥ | ¥ | 0.548306 | 0.548640 |
| 1.05 | 2.909644 | 2.909646 | 0.545366 | 0.545366 |
| 1.10 | 2.242822 | 2.242822 | 0.534556 | 0.534556 |
| 1.50 | 0.856543 | 0.856543 | 0.362298 | 0.362298 |
| 2.00 | 0.431082 | 0.431082 | 0.205977 | 0.205977 |
La columna Vs se refiere a los valores obtenidos con la solución mediante series y VI a la solución integral. Obviamente los valores calculados por series o mediante la solución integral coinciden. Los valores mostrados están multiplicados por el factor 2peo/q.
Un comentario adicional merece la condición r/ro = 1.0. Para j = jo el potencial tiene un valor finito. En [4] no se hace comentario alguno sobre la convergencia de la serie para r/ro = 1.0. Para la solución integral bajo esta condición, el valor de ±yc tiende a cero; es decir, el contorno g se transforma en dos líneas verticales que pasan por ±p que dividen al plano a en sectores independientes. La escogencia de los valores de ±p sobre el eje real V es importante, ya que los ceros de la función logarítmica están sobre este eje real. Los valores ±p se pueden escoger de tal forma que solamente quede el polo correspondiente a a = 0. Esto permite la integración numérica sin la existencia de singularidades sobre el camino de integración. Con la finalidad de observar el comportamiento de la solución mediante series y la solución integral bajo la condición r/ro = 1.0, se calcularon los valores de potencial para el caso 2F = p y una carga lineal en jo= 0. En este caso los valores exactos se pueden determinar mediante la teoría de las imágenes. En la Tabla 3 se muestran los resultados obtenidos, estos valores se han normalizado respecto al valor de la solución exacta.
Valores obtenidos para r/ro = 1.0, 2F = p, jo= 0
| j | Vs | VI |
| p/180 | 0.998425 | 0.999980 |
| p/36 | 1.000252 | 0.999964 |
| p/12 | 1.000494 | 0.999928 |
| p/9 | 0.999668 | 0.999900 |
| p/6 | 0.999998 | 0.999938 |
| p/4 | 0.999998 | 0.999924 |
| p/3 | 1.000000 | 0.999914 |
La exactitud de los valores obtenidos mediante series infinitas está sujeto al término donde se trunca la serie. En la Tabla 2 la sumatoria infinita se truncó al obtener invarianza en la quinta cifra decimal, se puede observar que para j = p/3 el valor obtenido coincide con el valor exacto mientras que para el resto el valor obtenido puede ser mayor o menor. Esto se debe al comportamiento oscilatorio de la serie en función del número de términos k utilizado. En la solución integral los resultados obtenidos guardan una relación casi constante frente al valor exacto obtenido con la teoría de las imágenes. En la Figura 5 se muestra la relación entre el valor calculado mediante series Vs y el valor exacto Ve determinado mediante la teoría de imágenes, para un punto ubicado en j = p/6, r/ro = 1.0 y para 2F = p. La carga lineal se ubicó en jo = 0. Es de notar el comportamiento oscilatorio amortiguado de la solución con series infinitas, en la medida que se incrementa el número de términos k.
Conclusiones
Se ha desarrollado la solución del potencial debido a una carga lineal ubicada en un dominio cuneiforme como una extensión del problema de Helmholtz con idénticas condiciones de contorno. La solución se ha expresado mediante la integral de Sommerfeld-Malyughinetz. Se ha demostrado que la solución obtenida mediante la teoría de imágenes se puede obtener como un caso particular de la solución integral, para una apertura 2F del dominio cuneiforme submúltiplo entero de p. Finalmente se han comparado los valores obtenidos mediante la solución con series infinitas y los valores obtenidos con la solución integral, encontrándose que la exactitud de la solución mediante series infinitas presenta un comportamiento oscilatorio para la condición r/ro = 1.0.
Referencias Bibliográficas
1. Babuska I., Rosenzweig M. A finite element scheme for domains with corners, Num. Math, vol. 20,(1972), 1-21. [ Links ]
2. Jackson J. Classical Electrodynamics, John Wiley, 1962 [ Links ]
3. Jefimenko O. Electricity and Magnetism, Appleton-Century-Crofts,1966. [ Links ]
4. Panofsky M., Phillips M. Classical Electricity and Magnetism, Addison-Wesley, 1962. [ Links ]
5. Plachco F. Transferencia Generalizada en Dominios Cuneiformes, Trabajo de Ascenso, Facultad de Ingeniería, Universidad de los Andes, Mérida, Venezuela, 1980. [ Links ]
6. Abramowitz M., Stegun I. Handbook of Mathematical Functions, Dover. [ Links ]
7. Davies B. Integral transforms and their applications, Springer-Verlag, New York, 1985. [ Links ]






















