SciELO - Scientific Electronic Library Online

 
vol.27 número3A dispersion model of an open microstrip-line using the LSM propagation modeIon Exchange Kinetics of Cadmium under liquid phase control índice de autoresíndice de materiabúsqueda de artículos
Home Pagelista alfabética de revistas  

Servicios Personalizados

Revista

Articulo

Indicadores

Links relacionados

  • No hay articulos similaresSimilares en SciELO

Compartir


Revista Técnica de la Facultad de Ingeniería Universidad del Zulia

versión impresa ISSN 0254-0770

Rev. Téc. Ing. Univ. Zulia v.27 n.3 Maracaibo dic. 2004

 

On totally contact umbilical submanifolds of a manifold with a sasakian 3-structure 

Constantin Calin 

Technical University “Gh.Asachi” Iasi. Department of Mathematics 6600 Iasi Romania. E-mail adress:calin@math.tuiasi.ro 

Abstract 

In our paper [5] we proved that any totally contact umbilical submanifold M of a manifold with a Sasakian 3-structure with dim > 1, "xÎM , is totally contact geodesic. In the present paper we solve the remaining cases. Namely, when dim =0, or dim =1, M is totally contact geodesic or an intrinsic sphere respectively. 

Key words: Sasakian-3 structure; totally contact umbilical; totally contact geodesic; extrinsic sphere.

Sobre subvariedades con contacto umbilical completo de una variedad con una estructura-3 sasakian

Resumen 

En nuestro trabajo [5] probamos que cualquier subvariedad con contacto umbilical completo de una variedad con una estructura-3 Sasakian con dim > 1, para todo x que pertenece a M, es de contacto geodésico total. En el presente trabajo resolvemos los casos restantes. A saber, cuando dim = 0 ó dim = 1, M es de contacto geodésico total o una esfera intrínseca. rectivamente. 

Palabras clave: Estructura 3-Sasakian, contacto umbilical completo, contacto geodésico total, esfera extrínseca.

Recibido el 04 de Mayo de 2004

En forma revisada el 20 de Septiembre de 2004

Introduction 

The notion of CR-submanifold has been introduced by A. Bejancu [1] for the Kaehler manifolds, by A. Bejancu-N. Papaghiuc [2] for the Sasakian manifolds (called semi-invariant submanifolds) and by M. Barros- B.Y. Chen-F. Urbano [3] for the quaternionic manifolds. Later, CR-submanifolds have been intensively studied from different points of view, several important results have been obtained, some of them being brought together in [1]. Also some important results have been obtained in [4] about QR-submanifolds of quaternionic Kaehlerian manifolds and in [2] on semi-invariant submanifolds of a manifold with a Sasakian 3-structure. 

It is well known (see [5]) that the tangent bundle TM of a semi-invariant submanifold M (called also contact CR-submanifolds), tangent to the structure vector field x, has the decomposition TM = DÄD^Ä{x}, where D and D^ are the invariant and anti-invariant distributions on M, with respect to the structure tensor field f on manifold . Equivalently, M is a semi-invariant submanifold of a manifold if its normal bundle TM^ has the decomposition TM^ = mÄm^, where m and m^ are invariant and anti-invariant subbundles of TM^ with respect to f. The equivalence fails in the case of manifold with a Sasakian 3-structure.In this case the distribution D^ is not anti-invariant to the structure tensor field.

According to a known result (see [2]) a totally contact umbilical semi-invariant submanifold of a manifold with a Sasakian 3-structure with , is totally contact geodesic. The main purpose of the present paper is to study the remaining cases. More precisely we prove that M is totally contact geodesic submanifold of , if dim = 0. If dim = 1, xÎM, but M is not totally contact geodesic, then M is extrinsic sphere.

Preliminaries 

Let be a (4n+3)-dimensional differentiable manifold with an almost contact metric 3-structure (fa, xa, ha, g), aÎ{1,2,3}. Then we have 

for any cyclic permutation (a, b, c) of (1, 2, 3), where X and Y are the vector fields tangent to , d is the Kronecker’s delta. Then is called a manifold with a Sasakian 3-structure, if each (fa, xa, ha, g) is a Sasakian 3-structure, i.e. (see [6]): 

for any vector fields X, Y tangent to where is the Levi-Civita connection on . It is easy to see that [xa,xb] = 2xc for any cyclic permutation (a, b, c) of (1, 2, 3). Throughout the paper, all manifolds and maps are supposed differentiable of class C. We denote by F(M) the module of the differentiable functions on and by G(E) the module of smooth sections of a vector bundle E over . We use the same notations for any manifolds involved in the study. 

The curvature tensor K of is defined by 

Because the structure tensor field fa verifies (1.2a) then the curvature tensor field K verify 

Now, let M be a m-dimensional Riemannian manifold isometrically immersed in , and suppose that the structure vector fields x1,x2,x3 of are tangent to M. We denote by TM and TM^ the tangent bundle and the normal bundle to M, repectively. We also denote by  {x} the distribution spanned by x1,x2,x3 on M. The induced metric tensor on M will be denoted by the same symbol g. 

The submanifold M of a manifold with a Sasakian 3-structure is called semi-invariant submanifold (see [2]) if there exists a vector subbundle µ of TM^ such that  

fa(µ) = µ;  fa^) Í TM, aÎ{1,2,3}, 

where µ^ is the complementary orthogonal bundle to µ in TM^. It is easy to see that any real hypersurface of is a semi-invariant submanifold. Next, denote fa() by Dax, aÎ{1,2,3} xÎM. By using (1.1e) and (1.1g) it is obtained that D1x,D2x,D3x are mutually orthogonal subspaces of xxx and have the same dimension s as the dimension of TxM. We note that the subspaces Dax, aÎ{1,2,3} do not define in general a distribution on M, but the maping. 

D^: x = D1xÄD2xÄD3x,

is a 3s-dimensional distribution on M (s = dim ). By straightforward calculation we deduce 

a) fa(Dax) = ; b) fa(Dbx) = Dcx    (1.4) 

for each xÎM, where (a, b, c) is a cyclic permutation of (1,2,3). We denote by D the complementary orthogonal distribution to D^Ä{x} in TM. It follows that the distribution D is invariant with respect to the action of f1,f2,f3, that is fa(D) = D, aÎ{1,2,3}. Thus M is semi-invariant submanifold of a manifold with a Sasakian 3-structure if 

TM = D Ä D^ Ä{x}, 

where D, {x} and D^ are the above distributions. We note that D^ is not anti-invariant distribution (see (1.4b)). 

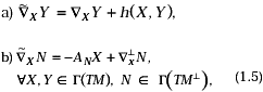
From the general theory of Riemannian submanifolds, recall the Gauss and 

Weingarten formulae 

where h is the second fundamental form of M, AN is the shape operator with respect to the normal section N, Ñ and Ñ^ are the induced connections by on TM and TM^ and xx, respectively. The Codazzi equation is given by 

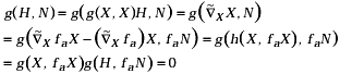
g(K(X,Y)Z,N) = g((ÑX h)(Y,Z) - ( ÑY h)(X,Z)N),   " X,Y,Z Î G (TM), N Î G (TM^)     (1.6) 

It is known that if {ei} i = 1,..., m is an orthonormal basis of G(TM), then the mean curvature vector field of M, denoted by H, is given by 

The submanifold M is called totally contact umbilical if the second fundamental form h of M is expressed as follows 

If H = 0 and (1.7) holds, then M is called totally contact geodesic submanifold of

It is known that any sphere of a Euclidean space is totally umbilical and has positive constant curvature. Also we recall that M is an extrinsic sphere of if it is totally contact umbilical and has parallel the mean curvature vector field H 0, that is, 

= 0,  " X Î G (TM). 

Finally we recall some properties of semi-invariant submanifolds of a manifold with a Sasakian 3-structure, for later use (see [2]) 

Proposition. 1.1. Let M be a semi-invariant submanifold of a manifold with a Sasakian 3-structure. Then  

a) h(X,xa) = 0;

b) h(Z,xa) = -faZ, " X Î G (D),  Z Î G (fa^))   (1.8) 

Also we see that if M is totally contact umbilical then 

(ÑX h)(Y,Z) = 3g(Y,Z),             (1.9) 

if Y and Z belong to G (D) and X Î G (TM

Main Results 

Let M be a real m-diminsional submanifold of a 2n+1-dimensional manifold with a Sasakian 3-structure. It was proved (see [2]) that if M is totally contact umbilical semi-invariant proper submanifold dim D > 0; dim D^ > 0, with s = dim >1, x Î M then M must be totally contact geodesic. Then it remains to study the cases s = 0 and s = 1. To this end we first prove the following general lemma. 

Lemma. 2.1. Let M be a totally contact umbilical semi-invariant submanifold of a manifold with a Sasakian 3-structure and D ≠ {0}. Then the mean curvature vector field H of M is a global section of  G^).

Proof. Let X Î G ((D) a unit vector field and N Î G (µ). By using (1.1g), (1.2a), (1.5a) and (1.7) we deduce that 

which proves our assertion. 

Now we see that if s = 0, then H = 0 and M is totally contact geodesic. Next, because M is not totally contact geodesic and it is supposed to be connected, then let a = || H || ≠ 0. Denote 

Lemma. 2.2. Let M be a totally contact umbilical semi-invariant submanifold of a manifold with a Sasakian 3-structure. Then we have 

Î G (µ^), " X Î G (TM)

Proof. Let X Î G (TM) and N Î G (µ) Now by using Lemma 2.1 we have H Î G (µ^). By using (1.1g), (1.2), (1.6b) and (1.7) we infer that, 

Therefore our assertion is proved. 

Now we prove the main result of the paper 

Theorem. 2.1. Let M be a proper totally contact umbilical semi-invariant submanifold of a manifold with a Sasakian 3-structure, such that dim =1, for any x Î M and H 0. Then M is an extrinsic sphere. 

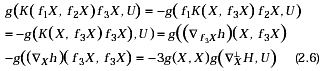
Proof. Let X Î G (TM), Y Î G (D) . By using (1.3a) and (2.1b) we infer that 

g(K(W1,X)f1Y,U) = g(f1K(W1,X)Y + g(X,Y)U,U) = g(X,Y) - g(K(W1,X)Y,W1).      (2.2) 

On the other hand, using (1.6) and (1.9) we deduce that 

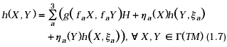
On the other hand, using (1.1a), (1.1c), (1.3a), (1.3b), (1.6) and (1.9) we obtain 

Now the relations (2.5), (2.6) and Lemma 2.2, imply = 0, " X Î G (D). Taking again X Î G (D) a unit vector field and using (1.6), (1.7) and (1.8a), we deduce that 

Taking into account (1.3c), the fact that U Î G (µ^), from (2.7) and Lemma 2.2 we get = 0. Finally we proved that = 0, " X Î G (TM) The proof is complete.

Reference 

1. Bejancu  A. QR-submanifolds of quaternionic, Kaehler manifolds, Chinese J. Math. 14(1986), 81-94.          [ Links ]

2. Bejancu A. and Papaghiuc N. Semi-invariant submanifolds of a Sasakian manifold, An. st. Univ. A.I. Cuza, Iasi 27(1981), 163-170.          [ Links ]

3. Barros M., B.Y. Chen B.Y., Urbano F. Quaternionic CR-submanifolds of and quaternionic manifolds, Kodai Math. J. 4(1981), 399-417.          [ Links ]

4. Bejancu A. Geometry of CR-submanifolds, Kluwer, Dordrecht, 1986.          [ Links ]

5. Calin C. Semi-invariant submanifolds of a manifold with a Sasakian 3-structure, Proc. of 24th Nat. Conf. of Geom. and Top., Timisoara, Romania, July 5-9, (1994), 73-84.          [ Links ]

6. Kuo Y.Y.: On almost contact 3-structure, Tohoku Math. J., 22(1970) 325-332.        [ Links ]