Servicios Personalizados
Revista
Articulo
Indicadores
-
Citado por SciELO -
Accesos
Links relacionados
-
Similares en
SciELO
Compartir
Revista Técnica de la Facultad de Ingeniería Universidad del Zulia
versión impresa ISSN 0254-0770
Rev. Téc. Ing. Univ. Zulia v.30 n.2 Maracaibo ago. 2007
A fractional generalization of the Lauwerier formulation of the temperature field problem in oil strata
Mridula Garg
Department of Mathematics, University of Rajasthan. Jaipur-302004, India. gargmridula@gmail.com
Abstract
In the present paper we give a fractional generalization of the Lauwerier formulation of the boundary value problem of the temperature field in oil strata. The Caputo fractional derivative operator and the Laplace transform are the important tools for solving the proposed problem. By using Efros theorem which is a modified form of convolution theorem for Laplace transform, the solution is obtained in an integral form with integrand expressed as convolution of auxiliary functions of Wrights type
Key words: Caputos fractional derivative, Laplace transform, Efros theorem, convolution theorem, Wrights function, auxiliary functions, fractional heat equation.
Una generalización fraccional de la formulación Lauwerier para los problemas de las temperaturas en pozos petroleros
Resumen
Este trabajo se trata de una generalización fraccional del problema Lauwerier para estudiar las temperaturas en los pozos petroleros. Se utiliza el operador fraccional de Caputo y la transformada de Laplace para obtener la solución del problema del contorno. El teorema de Efros, el cual es una generalización del teorema de convolución, se utiliza para obtener los resultados analíticos en términos de funciones tipo Wright.
Palabras clave: Derivada fraccional de Caputo, transformada de Laplace, teorema de Efros, teorema de convolución, función de Wright, funciones auxiliares, ecuación fraccional de calor.
Recibido el 17 de Julio de 2006 En forma revisada el 09 de Abril de 2007
1. Introduction
An oil stratum is a porous medium (sandstone) which is saturated with oil. During the oil extraction process the problem arises of describing the temperature field u = u(x,y,z,t) process the problem arises, of describing the temperature field of the strata when a hot fluid or steam is injected into the strata.
Two cases of fluid injection linear and radial are considered. In the linear case, a hot fluid is forced into the strata in the positive and negative x-direction with constant velocity through an infinitely long vertical gallery. In the radial case a hot fluid is forced through an infinitely thin well which is considered as a linear source of incompressible fluid with positive volume rate.
The heat equation for a porous medium is derived in Antimirov et al. [1] and Rubinshtein [2] under several generally accepted assumptions on the model.The following three approximate formulations of the temperature field problem are treated:
-
The lumped formulation, where the thermal conductivity of the strata is infinitely large in the vertical direction;
-
The incomplete lumped formulation, where the horizontal heat transfer in the cap and base rocks surrounding the strata is neglected;
-
The formulation of Lauwerier, where the horizontal heat transfer in the oil strata is also neglected.
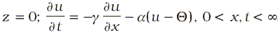
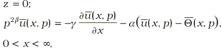
The result derived in this paper is mainly based on Lauwerier formulation, initially studied by H.A. Lauwerier [3] and solved in the linear case. Lauwerier formulation has been described in the book by Antimirov et al. [1]. It relates to the temperature field of a single layer stratum in the case the velocity of the heat transfer between the fluid and the skeleton is finite, thus one has to consider separately the temperatures u(x,t) and q(x,z,t) of the fluid and the cap rock, respectively. The heat equation for the regions containing the fluid and the skeleton respectively are derived under the main assumption that instead of having two regions containing the fluid and the skeleton separately, there is just a single region which is taken to be a porous medium.
For a sufficiently large filtration velocity one can neglect the heat transferred to the cap rock and stratum in the x-direction in comparison with the heat transfer in the z-direction.
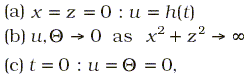
The Lauwerier formulation for the linear fluid injection is given as;
, (1.1)
, (1.2)
, (1.3)
(1.4)
Here the positive constants g, a, m and k are described a
-
The constant g depends on the volume rate of the hot fluid forced into the strata, the porosity specified as the ratio of the pores volume to the whole volume and the coefficient of thermal conductivity of the cap rock;
-
The constant a depends on the porosity, the coefficient of thermal conductivity of the cap rock and the volumic heat capacity of the fluid;
-
The constant m depends on the coefficient of thermal conductivity of the cap rock and the volumic heat capacity of the skeleton;
-
The constant k depends on the porosity and the volumic heat capacity of the fluid and the skeleton.
A fractional integro-differential approach for this problem was proposed earlier by Yortsos and Gavalas [4] and was also recently implemented in a different context by Akkutlu and Yortsos [5]. Further, the fractional generalization of the problem in lumped as well as incomplete lumped formulation have been studied in [6-8].
Recently Boyadjiev, L., Kamenov, O. and Kalla, S. [9] have studied fractional generalization of the above Lauwerier formulation problem.
In the present paper we are concerned with further extension of the work of Boyadjiev et al. [9]
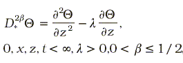
The aim of this paper is to solve the following fractional generalization of the problem given by (1.1) to (1.4)
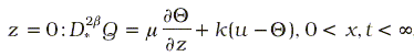
, (1.5)
, (1.6)
, (1.7)
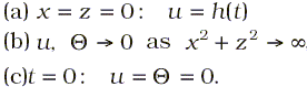
and the conditions
, (1.8)
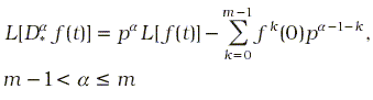
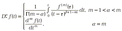
where we shall use the definition of fractional derivatives by Caputo as given in Podlubny [10]
(1.9)
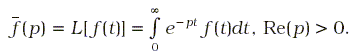
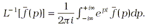
By using Laplace transform of a function f(t) defined as [11]
. (1.10)
The rule for fractional derivative of the Laplace transform reads as [10]
(1.11)
and the inversion formula for Laplace transform is
(1.12)
2. Auxiliary Results
In this section some important results are given which enable us to obtain the solution of our proposed problem.
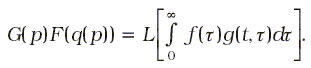
Lemma 1. Efros Theorem [6, 12]
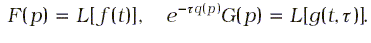
Let be given analytic functions G(p) and q(p) and the relations
. (2.1)
Then
(2.2)
In the particular case q(p) = p it gives the well known convolution theorem for the Laplace transform.
Further, if G(p) = 1 then the Theorem assumes the following form if F(p) = L [f(t)] and e-t q(p) = L [g(t, t)] then

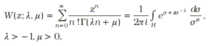
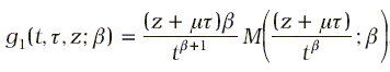
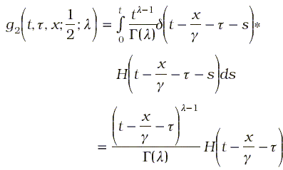
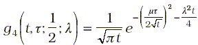
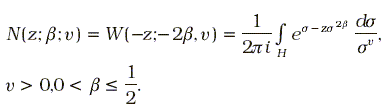
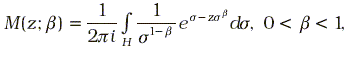
The fundamental solution of the basic Cauchy problem for the time fractional diffusion equation (1.5) at l = 0 can be expressed by an auxiliary function defined as [9, 13, 14]
, (2.3)
where H denotes the Hankel path of integration that begins at s = - ¥ - ib1(b1> o), encircles the branch cut that lies along the negative real axis and ends up at s = - ¥ - ib2(b2> o). It is also proved that
,
where

is an entire function of z referred to as the Wrights function [15, 16] function.
In the particular case for
and b = 1 it holds [14]
(2.4)
where d denotes Dirac delta function.
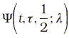
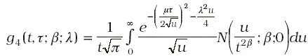
Now we introduce another auxiliary function of Wrights type defined as [9]
(2.5)
In particular for u = 1,
, (2.6)
where H denotes the Heaviside step function.
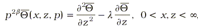
Lemma 2
If
and <t, t, z< ¥ then we have the following results for Laplace transform
, (2.7)
, (2.8)
, (2.9)
, (2.10)
where
, (2.11)
, (2.12)
(2.13)
and
. (2.14)
Proof
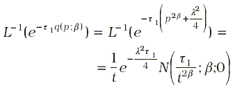
Part (i) and (ii) follow from [9, 13].
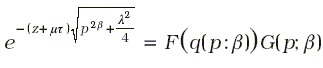
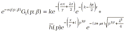
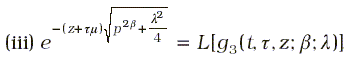
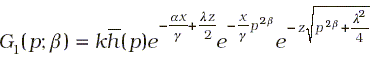
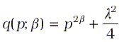
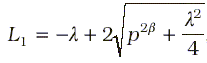
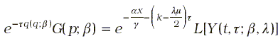
To prove part (iii) we use Efros theorem. Let us first express

where
and G(p;b ) = 1
so that
![]()
Now using the well known result [11], we get
(say) (2.15)
since
.
Next to find inverse Laplace transform we use (i) for < 2b< 1, then it can be deduced that
, (2.16)
where
. (2.17)
Now applying Efros theorem we get the result (iii) using the functions given in (2.15) and (2.17).
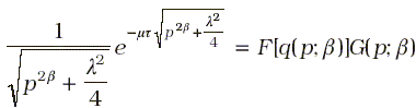
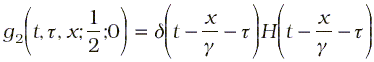
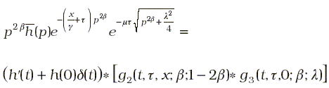
To prove part (iv) we put

where
.
The known formula [11] yields
, (say). (2.18)
Further
(using (ii) with l = 0 and x = 0)
. (2.19)
Functions deduced in (2.18) and (2.19) when applied in Lemma 1 give the result (iv).
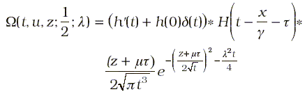
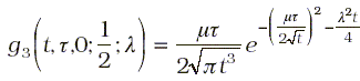
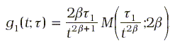
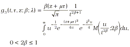
3. Fractional generalization of Lauwerier formulation
Theorem
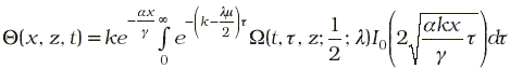
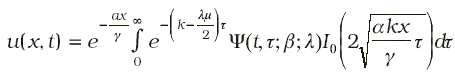
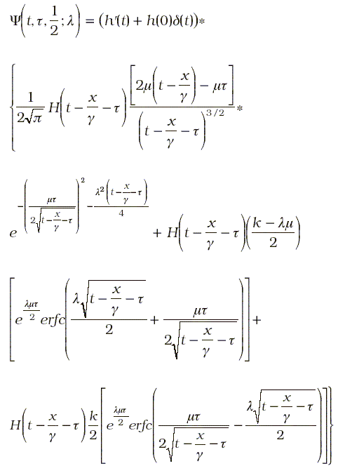
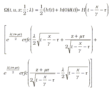
The solution of the problem of the Lauwerier formulation (1.5), (1.6), (1.7) and (1.8) is given by
(3.1)
and
, (3.2)
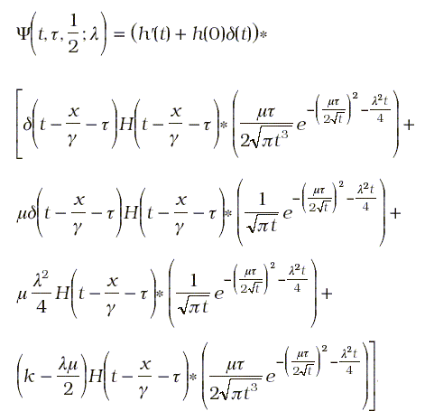
where
(3.3)
Function h´(t) denotes derivative of the function h(t).
(3.4)
Here * denotes the convolution of functions for Laplace transform.
Proof
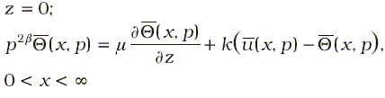
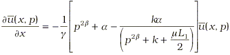
Let us apply Laplace transform to (1.5), (1.6), (1.7) and (1.8). Then with the help of the formula (1.10), we obtain
, (3.5)
(3.6)
, (3.7)
(3.8)
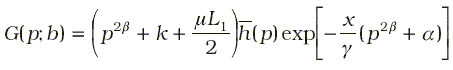
The solution of (3.5) remains bounded as z ® ¥ and is given by
, (3.9)
where
, (3.10)
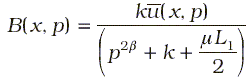
where unknown function B(x,p) is determined by substituting (3.9) into the conditions (3.6) and (3.7) in the following form
(3.11)
and
.
The solution of the above equation under the condition (3.8) (a) is given as
(3.12)
using (3.11) and (3.12) in (3.9) we get
(3.13)
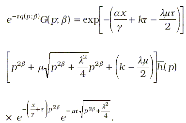
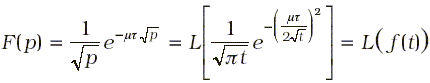
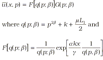
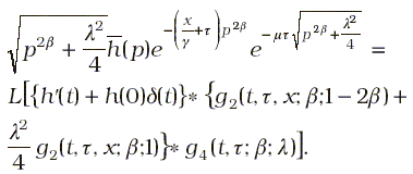
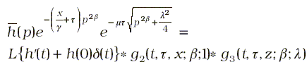
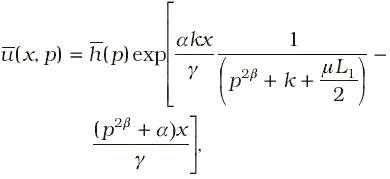
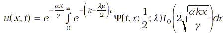
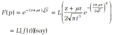
To find the temperature field function u(x,t) for the fluid injected into the strata we shall apply Lemma 1 (Efros theorem) by representing
(3.14)
we use the well known result [17]
, (say) (3.15)
and by Lemma 1 the function f(t) is deduced.
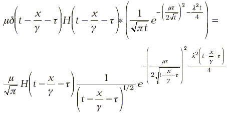
For

it is clear that
. (3.16)
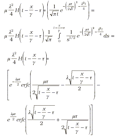
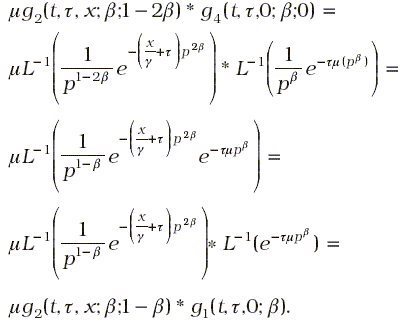
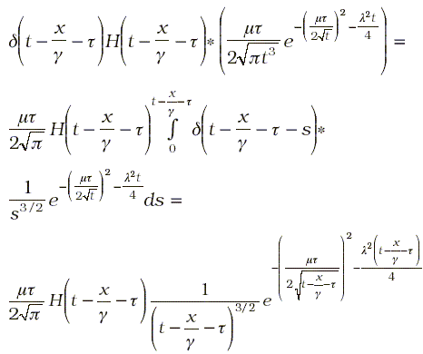
To find the inverse Laplace transform of (3.16) we shall simplify its terms in the following form using the convolution theorem, Lemma 1 and Lemma 2
. (3.17)
(3.18)
. (3.19)
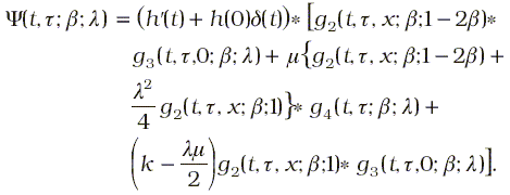
We can write (3.16) on taking into account (3.17), (3.18) and (3.19) as
, (3.20)
function Y is defined by (3.3). The application of Lemma 1 leads directly to the solution (3.1).
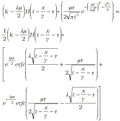
Following the same technique we express
, (3.21)
where F [q(p;b)] is defined by (3.14) and
.
Furthermore

As a direct consequence of convolution theorem and the lemma 2 we arrive at
(3.22)
Function W is given by (3.4).
Then the solution (3.2) is obtained with the help of (3.21), (3.22) and Lemma 1.
4. Special cases
Corollary: If we put
in the Theorem the problem reduces into the following form:
, (4.1)
, (4.2)
(4.3)
and the conditions
(4.4)
And the solution is given by
(4.5)
and
(4.6)
where
(4.7)
and
(4.8)
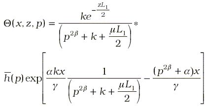
Proof: To calculate the value of
and
as given by (3.3) and (3.4) on
taking
, we shall need the following values which can be obtained with the help of Lemma 2, results
(2.3) to (2.7) for auxiliary functions M, N and properties of Heaviside step function and Dirac delta function [2]
(4.9)
, (4.10)
, (4.11)
, (4.12)
. (4.13)
Then
. (4.14)
Let us simplify the terms as follow
. (4.15)
Similarly
. (4.16)
Further
, (4.17)
which is a direct consequence of the result [1, p.113].
Similarly
. (4.18)
After some simplifications we can write
as given in (4.7)
Next,
, (4.19)
which is expressed by (4.8), after simplification.
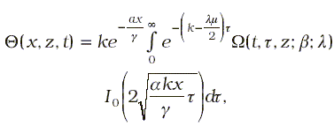
If we take l = 0 and h (t)= 1 in the Theorem then it reduces to the form studied by Boyedjiev et al. [9] and the solution is the direct consequence of the main result followed by the facts given below.
Since, the Dirac delta function dt is considered as a unit element for the convolution product [12], the expressions (3.3) and (3.4) reduce to the form:
. (4.20)
From Lemma 1 (i) and (ii), for l = 0
.
So that we can write
(4.21)
and
Again by (ii) and (iv)
(4.22)
(iii) On taking l = 0 and 2b in the Theorem or taking l = 0 in the Corollary, we get the solution given in Antimirov et al. [1].
5. Discussion and Conclusions
Temperature field problems in oil strata is one of the subjects for research among various authors.In continuation of the earlier work done in regard to this subject the present paper is on the fractional extension of the Lauwerier formulation of the temperature field problem in oil strata where the definition of Caputo fractional derivative is used.The study on the subject of temperature field in oil strata is attended in three categories namely (i) the lumped formulation (ii) the incomplete lumped formulation and (iii) the Lauwerier formulation.In the first two categories the work is done by Antimirov [6], Ben Nakhi and S.L. Kalla [7], Boyadjiev and Scherer [8]. Simultaneously in the third category work has been done by A.H. Lauwerier [3] and some similar work is executed by Y.C. Yortsos and G.R. Gavalas [4]. It continued when a fractional generalization of the problem came to be attended by Boyadjiev et al. [9]. In the present work I intend to introduce one more term containing the constant l in the governing fractional differential equation and a function h(t) in the condition and tried to make the problem more general and advantageous.The solution as arrived at is expressed in the form of an integral wherein the integrand is convolution of some interesting functions of Wrights type and the method of solution is mainly based on Laplace transform. The paper interalia contains in it as a corollary the solution of another new problem of Lauwerier formulation obtained on taking
in the main B.V.P. In aforesaid solution when we
have used l = 0 and h(t) = 1 we arrive at the problem discussed in Antimirov et al. [1]. Additionally on using the above substitutions in the main theorem we obtain the same results given in Boyadjiev et al. [9].
Inclusion of some numerical interpretations and figures is under consideration and shall form part of next communication.
Acknowledgement
The author is thankful to anonymous worthy referees for their useful suggestions.
References
1. Antimirov, M, Ya., Kolyhkin, A.A., Vaillancourt, R., Applied Integral Transfoms, American Mathematical Society, Providence, 1993. [ Links ]
2. Rubinshtein, L.I., Temperature Fields in Oil Strata, Nauka, Moscow, 1972. [ Links ]
3. Lauwerier, H.A., The transport of heat in an oil layer caused by the injection of hot fluid, Appl. Sci. Res. A 5, no. 2-3, 1955, 145-150. [ Links ]
4. Yortsos, Y.C. and Gavalas, G.R. Heat transfer ahead of moving condensation fronts in thermal oil recovery processes, Int. J. Heat and Mass Transfer 25, 3, 1982, 305-316. [ Links ]
5. Akkutlu, I.Y. and Yortsos, Y.C., The dynamics of in-situ combustion fronts in porous media, Combustion and Flame 134, 2003, 229-247. [ Links ]
6. Antimirov,M.Ya.,Calculation of the temperature field associated with the injection of a heat transfer agent into an oil stratum in the linear case, J. Engg. Phy.19 (6), 1970, 1562-1566. [ Links ]
7. Ben, Nakhi, Y.and Kalla, S.L., Some boundary value problems of temperature fields on oil strata, Applied Mathematics and Computation 146, 2003, 105-119. [ Links ]
8. Boyadjiev, L. and Scherer, Rudolf, On the fractional heat equation, Proceedings of the International Conference on Mathematics and its Applications, 2004, 105-115. [ Links ]
9. Boyadjiev, L., Kamenov, O. and Kalla, S., On the Lauwerier formulation of the temperature field problem in oil strata. Int. Jour. Math. and Math. Sci. 10, 2005, 1577-1588. [ Links ]
10. Podlubny, I., Fractional Differential Equations, Academic Press, 1999. [ Links ]
11. Erdélyi, A. et. al. (ed.), Tables of Integral Transforms, Vol. I, McGraw-Hill, 1953. [ Links ]
12. Graf, Urs, Applied Laplace Transforms and z-Transforms for Scientists and Engineers. Birkhauser Verlag, Basel- Boston-Berlin, 2004. [ Links ]
13. Mainardi, F., The fundamental solutions for the fractional diffusion- wave equations. Applied Mathematics Letters 9, 1996, 23-28. [ Links ]
14. Mainardi, F., Luchko, Y. and Pagnini, G., The fundamental solution of the space-time fractional diffusion, Fractional Calculus and Applied Analysis, 4(2), 2001, 153-192. [ Links ]
15. Erdélyi, A. et al. (ed.), Higher Transcendental Functions, Vol.III, McGraw-Hill, New York, 1955. [ Links ]
16. Samko, S.S., Kilbas, A.A. and Marichev, O.I., The Fractional Integrals and derivatives, Theory and Applications, Gordon and Breach, Science Publishers, Amsterdam, 1993. [ Links ]
17. Prudnikov, A.P., Brychkov, Yu. A., Marichev, O.I., Integrals and Series, Vol. 5, Gordon and Breach Science Publishers, Amsterdam, 1992. [ Links ]












