SciELO - Scientific Electronic Library Online

 
vol.33 número1Un lenguaje para expresar reactividad en la Web SemánticaUna fórmula de adición usando la Transformada de Mellin índice de autoresíndice de assuntospesquisa de artigos
Home Pagelista alfabética de periódicos  

Serviços Personalizados

Journal

Artigo

Indicadores

Links relacionados

  • Não possue artigos similaresSimilares em SciELO

Compartilhar


Revista Técnica de la Facultad de Ingeniería Universidad del Zulia

versão impressa ISSN 0254-0770

Rev. Téc. Ing. Univ. Zulia v.33 n.1 Maracaibo abr. 2010

 

Fuzzy mathematical programming applied to the material requirements planning (MRP) 

Martín Darío Arango Serna, Conrado Augusto Urán Serna y Giovanni Pérez Ortega

Escuela de Ingeniería de la Organización, Facultad de Minas,Universidad Nacional de Colombia, Sede Medellín. mdarango@unalmed.edu.co, casernau@unalmed.edu.co, gperez@unalmed.edu.co  

Abstract 

A rational approach toward decision-making should take into account human subjectivity, rather than employing only objective probability measures. This attitude towards the uncertainty of human behavior led to the study of a relatively new decision analysis field: Fuzzy decision making, which incorporates imprecision and subjectivity into the model formulation and solution process and represents an attractive tool to aid research in industrial engineering when the dynamics of the decision environment limit the specification of model objectives, constraints and the precise measurement of model parameters. This article gives an overview of the applications that have fuzzy logic in the industrial field and presents a MRP model to which apply some of these concepts. 

Key words: MRP, fuzzy logic, scheduling, fuzzy mathematical programming, decision analysis, industrial Engineering.

Programación matemática difusa aplicada en la planeación de requerimientos de material (MRP) 

Resumen 

Un enfoque racional para la toma de decisiones debe tener en cuenta la subjetividad humana, en lugar de emplear sólo medidas con distribución de probabilidad. Esta actitud hacia la incertidumbre del comportamiento humano ha llevado al estudio de un relativamente nuevo campo de análisis de decisión como es, la toma de decisiones difusas, la cual incorpora la subjetividad y la imprecisión en la formulación de modelos y procesos de solución y representa una atractiva herramienta de ayuda a la investigación en ingeniería industrial cuando la dinámica de las decisiones están limitadas por imprecisiones en los modelos formulados. El presente artículo hace un resumen de las aplicaciones que ha tenido la lógica difusa en el campo industrial y presenta un modelo MRP al cual se aplican algunos de estos conceptos. 

Palabras clave: MRP, lógica difusa, análisis de decisiones, planeación de la producción, ingeniería industrial, programación matemática difusa.

Recibido: el 23 de Marzo de 2009  Revisada: el 2 de Noviembre de 2009 

1. Introducción 

La ingeniería industrial ha sufrido importantes cambios con el mejoramiento de las tecnologías de la información, las cuales han permitido dimensionar la planificación de la producción a contextos considerados hasta hace sólo 30 años como inmanejables; así por ejemplo, el análisis sobre la demanda de un producto en particular estaba sujeto en la mayoría de los casos a las conclusiones obtenidas del análisis de una serie de tiempos sin tener en consideración otras variables como son los tiempos de suministro, costos de operación, por lo que los métodos de planificación no eran lo suficientemente apropiados para contar con planes de producción óptimos, esto es la satisfacción de la demanda al costo más bajo. Tanto los nuevos desarrollo en hardware y software, han permitido un redireccionamiento de la planificación, dado que con ellos se ha logrado integrar no sólo variables lógicas si no también ambiguas o difusas. 

Es así, como surgen metodologías que involucran la incertidumbre en la programación matemática para resolver problemas de planificación. En las metodologías planteadas por los conjuntos difusos los expertos en el sistema analizado pueden ser interrogados para proporcionar indicaciones relativas a las variables involucradas; la información obtenida de esta manera, está representada generalmente por frases lingüística que pueden ser usadas adecuadamente a través de números difusos [1]. 

2. Concepto de conjunto difuso 

La teoría de conjuntos difusos fue introducida por Lofti Zadeh, con el objetivo de proveer una herramienta capaz de describir problemas en donde la imprecisión se derivada de la ausencia de un criterio para distinguir claramente entre diferentes categorías, más que de la presencia de variables aleatorias [2]. Las propiedades de los conjuntos difusos se describen dentro de un tipo de objetivos con un grado de membresía, o grado de pertenencia continuo en el intervalo [0,1] y se define matemáticamente como [3]: 

Las aplicaciones de la lógica difusa se han ido consolidando, lo cual ha hecho que actualmente se entienda que la teoría de lógica difusa y la teoría de probabilidades están dirigidas a distintas clases de incertidumbres [4].

3. Aplicaciones de la lógica difusa en la ingeniería industrial 

Los modelos de lógica difusa aplicados a la manufactura se basan en la interacción del ejecutor y el analista en la toma de decisiones conducentes a dar una solución satisfactoria al problema [5]. A continuación se hace un resumen de algunos de los trabajos que usan los modelos difusos para la solución de problemas en el campo industrial: 

Petrovic [6] trató de identificar el nivel de existencias y las cantidades a ordenar en una cadena de suministro, con un análisis de dos fuentes de incertidumbre: la demanda de los clientes y abastecimiento externo de materias primas; este modelo busca la reducción de costos en los procesos de fabricación y en general en la cadena de suministros. Otra aplicación en la cadena de suministro es presentada por Arango et al. [7] quienes aplican el concepto difuso para decidir sobre la destinación de recursos en estrategias de ventas o de compras cuyos resultados son difusos. Tsujimura en 1992 [8] presenta un modelo de programación matemática fuzzy para la planificación agregada con múltiples objetivos. Lee et al. [9] introducen la aplicación de la Teoría de los Conjuntos Difusos al problema del dimensionado del lote en un sistema MRP de una única etapa. Mula [10] proporciona un nuevo modelo de programación lineal, denominado MRPDet, para la Planificación de la Producción a medio plazo en un entorno de fabricación MRP con restricciones de capacidad, multi-producto, multi-nivel y multi-período. Vasant [5], usa una curva-s como función de pertenencia para la selección de una mezcla de productos en una fabrica de chocolates en donde la información con la que se cuenta es imprecisa o difusa. 

Hop [11] aborda un modelo de balanceo de línea con tiempo de procesamiento difuso; y formula un método de programación lineal binaria difusa para su solución. Chang y Liao [12] presentan un nuevo enfoque mediante la combinación de mapas auto organizativos y reglas difusas para la predicción del tiempo de flujo en una fábrica de semiconductores. Kahraman et al. [13] propone algunos modelos difusos basados en valores presente difusos para medir la flexibilidad de fabricación. Estos modelos son básicamente modelos de decisión de ingeniería económica en los que la incertidumbre de los flujos de efectivo y las tasas de descuento se especifican como números difusos triangulares. Hasuike [14] examina varios modelos de problemas de decisión de mezcla de productos y problemas de planeación de la producción en condiciones de incertidumbre.

En general, la teoría de conjuntos difusos se ha aplicado ampliamente en la ingeniería industrial en campos como la planeación, el control de la calidad, la ergonomía, muestreo de aceptación, distribuciones de planta, entre otros. Para Kahraman [15], La idoneidad y contribución a la solución de problemas industriales ha permitido que el uso de los conjuntos difusos, sea comparable al uso de la investigación de operaciones en la mayoría de sus campos. 

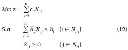
4. Programación matemática difusa 

La aplicación de conjuntos difusos en la toma de decisiones y más específicamente en la programación matemática, en su mayor parte, consiste en transformar las teorías clásicas en modelos difusos equivalentes [16]. Es así como, en muchas situaciones prácticas en un problema de programación lineal típico no es razonable exigir que la función objetivo o las restricciones se especifiquen de forma precisa; en tales situaciones, es conveniente utilizar algún tipo de programación lineal difusa. En la Tabla 1 se muestra un problema típico de programación lineal y su equivalente difuso. 

En el modelo difuso son números difusos, Xi son variables difusas y las operaciones de suma y multiplicación son operaciones aritméticas difusas, además el símbolo Ü denota una desigualdad difusa. Este modelo supone que tanto la función objetivo como las restricciones pueden incluir números y variables difusas. 

4.1. Modelo de programación lineal con números difusos al lado derecho de la restricción. 

Un caso particular es considerar que el lado derecho de las restricciones son imprecisas, por lo que podría ser definido como un valor perteneciente al intervalo [bi, bi pi].De acuerdo a esta consideración se define el siguiente modelo de programación lineal difusa, en el cual se desea minimizar la función objetivo:

Tabla 1. Problemas de programación lineal clásico y difuso

Hipótesis 1 

es un número difuso que tendría la siguiente forma

donde c Î R,  como se puede apreciar en la Figura 1.

Figura 1. Número difuso bi.

Para cada vector X = ( x1, x2,..., xn), primero se calcula el grado, D1(x), con el que x satisface la restricción i (i Î Nm) con la fórmula:

donde Di (x) es un conjunto difuso en Rn, y su intersección, Di, es un conjunto difuso factible. 

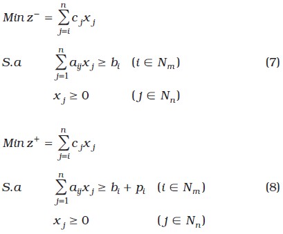
Ahora, para determinar el conjunto difuso de valores óptimos, se calculan los límites inferior y superior entre los cuales se encontrarían dichos valores. Para hallar el límite inferior de los valores óptimos (z) y el límite superior (z+) del mismo conjunto, se solucionan siguientes problemas de programación lineal estándar:

Hipótesis 2 

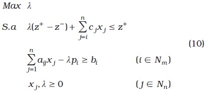
El conjunto difuso de valores óptimos (U), el cual es un subconjunto difuso de Rn [17], donde el grado de satisfacción del decisor (l) aumenta en la medida en que la respuesta obtenida se acerca a z (Figura 2). La ecuación queda definida por:

Figura 2. Número difuso z.

La solución más eficiente se encuentra resolviendo el siguiente modelo de programación lineal:

l es el nivel que como mínimo tienen que alcanzar todas las funciones de pertenencia. Lo anterior se interpretará como el nivel de aspiración o de satisfacción de un decidor [18]. El anterior problema es un modelo para encontrar x Î Rn sujeto a que la ecuación (11) alcance el mínimo valor:

Esta metodología es planteada por Zadeh [3] y es llamada método simétrico (las restricciones y metas son tratadas simétricamente). 

4.2. Modelo de programación lineal con coeficientes tecnológicos difusos 

Otro caso es suponer que el modelo de programación lineal tiene coeficientes tecnológicos difusos; es decir, la matriz de coeficientes Aij tendría valores definidos en los intervalos [aij, aij + dij], por lo que un modelo programación matemática difusa de minimización tendría la siguiente forma:

Hipótesis 3 

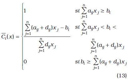
El conjunto difuso de las i restricciones Ci, el cual es un subconjunto de Rm, está definido por:

Hipótesis 4 

La función membrecía para el conjunto difuso de valores óptimos (U), se define igual al caso anterior Ver ecuación (9). Por lo tanto, la ecuación (12) puede ser reescrita como sigue:

Es de anotar que las restricciones que contiene el producto l xj, son restricciones no lineales, lo que hace que el problema sea un modelo no lineal. 

5. Modelo de plan de requerimiento de materiales con lógica difusa 

Se ha considerado el siguiente modelo MRP para ilustrar la aplicación de la programación lineal difusa en los sistemas de producción. La complejidad de un sistema MRP se traduce en la gran cantidad de información que es necesario manipular para administrar apropiadamente los procesos productivos. Es necesario conocer, por lo tanto, con anticipación la siguiente información: 

  • Tiempo de suministro. 

  • La cantidad mínima de producción o de compra. 

  • El actual nivel de inventario. 

  • Los componentes necesarios –lista de materiales (BOM)–. 

En el siguiente ejemplo se ilustra un sistema MRP: Consideremos un producto final A8172, el cual posee la lista de materiales mostrada en la Figura 3 y Tabla 2.

Figura 3. Lista de materiales A8172.

Tabla 2. Información de entrada MRP 

  

A8172 

L8811 

R0098 

N1100 

W7342 

Tiempo de suministro 

2 

3 

4 

1 

2 

Tamaño mínimo de lote 

25 

45 

20 

1 

100 

Componentes 

L8811 (2), R0098 (1) 

N1100 (1), W7342 (1) 

N/a 

N/a 

N/a 

Inventario inicial 

0 

30 

8 

0 

900 

Si suponemos una demanda para el AJ8172 en los próximos ocho periodos de 20, 30, 10, 20, 30, 20, 30 y 40. El resultado del MRP es dado a continuación en la Tabla 3.

Tabla 3. MRP Inicial. Referencia A8172 

Referencia: A8172 

Días 

-2 

-1 

Demanda 

   

20 

30 

10 

20 

30 

20 

30 

40 

Inventarios 

     

 

15 

20 

15 

20 

15 

Recepción de Pedidos 

   

25 

25 

25 

25 

25 

25 

25 

25 

Lanzamiento de Pedidos 

25 

25 

25 

25 

25 

25 

25 

25 

   

El cual a su vez da origen al plan de requerimientos de los componentes que lo conforma de acuerdo a la lista de materiales. Una función objetivo sería, entonces, realizar los pedidos considerando el tamaño mínimo a pedir y el nivel de stock promedio que se genera en el horizonte de planeación. Es decir realizar el lanzamiento de pedidos tan tarde como sea posible pero sin sobrepasar la fecha del requerimiento. Para encontrar una solución al modelo planteado definimos las variables en la Tabla 4.

Tabla 4. Definición de variables 

Variable 

Definición 

P 

Número de componentes 

T 

Horizonte de planeación 

R(i,j) 

Número de componentes i necesarios para realizar componentes j 

D(i,j) 

Demanda externa para el componente i en el periodo t 

I(i,0) 

Inventario inicial del componente i 

LS(i) 

Tamaño de lote mínimo para el componente i 

X(i,t) 

Cantidad de pedido del componente i solicitado en el periodo t 

M 

Un número muy grande 

La función objetivo estaría formulada de la siguiente manera:

Dicha función busca solicitar el mayor número de unidades del componente i tan tarde como sea posible, con lo cual se garantiza un nivel inventario bajo, teniendo presente las siguientes restricciones: 

  • La cantidad de materiales requeridos más las existencias en inventario, debe ser igual o superior a la demanda del periodo correspondiente y el tamaño del pedido del componte i en el periodo t debe ser cero (0) o superior a LS(i):

    donde di,t es un indicador de producción que puede ser uno (1), si el componente i es iniciado en el periodo t o cero en caso contrario. 

    • Una siguiente restricción es: di,t Î í0,1ý

    • No negatividad: xi,t ³ 0

Al considerar la demanda determinista cuando en la realidad es incierta, obtendremos una solución que deja de ser óptima si la demanda es diferente al valor pronosticado, y lo más probable es que así sea. Esto presenta una situación difusa, dado que no se conoce y no se podría estimar la demanda con precisión. Una forma de flexibilizar la estimación de la demanda, sin recurrir a definirla como un valor único para cada uno de los periodos de tiempo, es definir un intervalo en el cual la probabilidad de que la demanda se encuentre en éste sea muy alta. Para definir dicho intervalo los ingenieros pueden estimar (con el apoyo de expertos o datos históricos) un valor mínimo y máximo para la demanda en cada uno de los periodos, como se muestra en la Tabla 5.

Tabla 5. Demanda para A8172 

Periodo 

1 

2 

3 

4 

5 

6 

7 

8 

Demanda Mínima 

20 

30 

10 

20 

30 

20 

30 

40 

Demanda Máxima 

24 

35 

13 

22 

34 

24 

35 

45 

A continuación se aborda una de las metodologías de la lógica difusa para el tratamiento de la incertidumbre en la demanda y en los coeficientes tecnológicos del modelo de programación matemática. 

5.1. MRP con incertidumbre en la demanda 

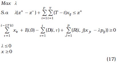
El modelo como se ha planteado hasta ahora, es un modelo determinístico que puede ser solucionado por muchos de los paquetes de optimización que actualmente se comercializan. Sin embargo el modelo se puede volver un poco más complejo al considerar que la demanda (D(i,t)) es un valor impreciso que puede estar entre un valor mínimo (D (i,t)) y máximo (D (i,t)+ p (i,t)). 

Al tenerse en cuenta la anterior consideración el modelo MRP inicial toma la forma de un modelo de programación lineal difusa similar al mostrado en la ecuación (4), por lo que se puede reescribir de la siguiente manera.

5.2. MRP con incertidumbre  en los coeficientes tecnológicos 

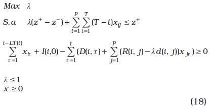
Otro caso de incertidumbre y que es inherente a los modelos MRP, como los presentados en este artículo, es considerar que el factor _VP_EQN_38.GIF, no está completamente definido para algunos componentes dado los desperdicios que pueden ser generados en el proceso productivo; sin embargo, sí es posible definir un intervalo de valores [R(i,j), R(i,j)+d(i,j)] entre los cuales puede estar. De esta manera el modelo MRP presentado al inicio de este capítulo es similar al problema planteado, por lo que puede reescribirse la ecuación (17) de la siguiente manera:

Para la solución de este modelo se considera que el proceso para producir el producto AJ8172 necesita entre 2 y 2.2 unidades del componente L8811, del cual se puede generar un desperdicio de 0 a 0.2 unidades

5.3. Análisis de resultados 

En la Tabla 6 se muestran los resultados de las variables xij, obtenidos al aplicar la programación matemática de manera clásica y con incertidumbre en la demanda y en los coeficientes tecnológicos. Las demás variables xij que no están en la tabla tienen el valor de cero. El resultado obtenido en la función objetivo sin considerar incertidumbre presente en el modelo es z = 8349. Para el segundo caso se considero la incertidumbre en la demanda obteniendo que los valores de z+ y zson 9937 y 8349 respectivamente y la función objetivo es z = 9143, lo cual puede considerarse como una solución intermedia que equilibra los criterios pesimistas y optimistas del decisor, dado que su nivel de ajuste a la mejor solución z es de l = 0.4996, cifra que puede ser considerada como nivel de satisfacción del decisor.

Tabla 6. Resultados MRP 

Producto i pedido en el periodo j 

Método clásico 

Incertidumbre en la
demanda 

Coeficientes tecnológicos difusos 

Producto i pedido en el periodo j 

Método clásico 

Incertidumbre en la
demanda 

Coeficientes tecnológicos difusos 

X1(-1) 

25 

25,00 

25 

X3(-5) 

20 

20,00 

20 

X10 

35. 

41,00 

35 

X3-4 

32 

38,00 

32 

X12 

35. 

38,00 

35 

X3-2 

35 

38,00 

35 

X14 

25. 

25,00 

25 

X30 

25. 

25,00 

25 

X15 

25. 

29,50 

25 

X31 

25. 

29,50 

25 

X16 

40. 

42,50 

40 

X32 

40. 

42,50 

40 

X2(-4) 

45 

45,00 

45 

X4-5 

45 

45,00 

45 

X2(-3) 

45 

56,99 

51 

X4-4 

45 

56,99 

51 

X2(-1) 

70 

76,00 

73,5 

X4-2 

70 

76,00 

73,5 

X21 

50. 

50,00 

52,5 

X40 

50. 

50,00 

52,5 

X22 

50. 

58,99 

52,5 

X41 

50. 

58,99 

52,5 

X23 

80. 

85,00 

84 

X42 

80. 

85,00 

84 

Para la solución del problema con coeficientes tecnológicos difusos, es importante considerar que las funciones (12) y (13) invierten sus resultados, dado que el factor aijxj es negativo en (18). Por lo tanto los valores límites entre los que estará el conjunto de soluciones factibles, se obtienen reemplazando a aij por aij + dij para hallar z, por consiguiente z+ se calcula dejando el coeficiente aij invariable, donde z= 8349 y z+ = 8986. 

La función objetivo es entonces z = 8667.5, la cual representa un nivel de satisfacción de l = 0.5, el cual se puede explicar considerando que el valor de z hallado es una solución intermedia entre lo mejor que puede ocurrir (esto es si aij = 2) y el caso menos favorable (que da lugar cuando aij = 2 + 0.2). 

6. Conclusiones 

En este artículo se ha mostrado la aplicación que posee la lógica difusa en el campo de la producción, más específicamente en los sistemas MRP. La solución obtenida permitió valorar el resultado con respecto al máximo beneficio que se tendría si se estuviera en un campo determinista. Es necesario aclarar entonces que el decisor tendrá confianza en que la implementación de la solución expresada, puede estar de conformidad con sus deseos, toda vez que el índice de satisfacción es considerablemente adecuado (aproximadamente un 40% de satisfacción). Hay que anotar que en la medida que la información con la que cuenta el decisor sea más precisa, entonces la satisfacción será mayor. 

Aunque inicialmente, la función objetivo era la planeación óptima de pedidos que permitiera un nivel bajo de inventarios, el modelo puede ser ampliado e involucrar costos o limitaciones de capacidad, formulando además modelos MRP II a los cuales sea posible aplicarles las técnicas aquí analizadas.

Una de las mayores fortalezas que posee la lógica difusa aplicada a las técnicas de toma de decisiones, es que se puede involucrar tanto la información correspondiente a datos históricos como opiniones subjetivas o intuitivas de personas expertas en el campo de análisis. Lo que permite un tratamiento matemático de la imprecisión que poseen algunos parámetros. Vale decir que la técnica no suprime dicha imprecisión o incertidumbre, sino que establece un método para su manejo, es decir, en vez de ignorar la incertidumbre que es inherente al modelo genera soluciones que la involucran. 

Agradecimientos 

Los autores expresan sus agradecimientos a la DIME –Universidad Nacional de Colombia–, por la financiación del proyecto: “Desarrollo de modelos de programación matemática fuzzy para la planificación de la producción en contextos de incertidumbre. Un caso aplicado a la industria automotriz” que da origen a este artículo. 

Referencias Bibliográficas 

1. Caiazzo, F, et al. Fuzzy Performance Evaluator of AMSS. Design of Advanced Manufacturing Systems, Vol. 1,Spriger, Netherlands, 005, pp. 233-267.         [ Links ]

2. Matta, A. Design of Advance Manufacture Systems. Vol 1, Netherlands, Springer, 2005, pp. 1-13         [ Links ]

3. Zadeh, L.A. Fuzzy Sets and Their Applications to Cognitive and Decision Processes. Academic Press Inc. London, 1975. pp 2-79.         [ Links ]

4. McNeill, M. y Thro, E. Fuzzy Logic: A Practical Approach. Vol 1, AP Professional, Nueva York, 994. pp 13-20.         [ Links ]

5. Vasant, P. Optimization in Product Mix Problem Using Fuzzy Linear Programming. Department of Mathematics, American Degree Program Nilai International College Malaysia, 2004, pp 1-25.         [ Links ]

6. Petrovic, D., Xie, Y., Bunrham, K. Coordinated Control of Distribution Supply Chains in the Presence of Fuzzy Customer Demand. European Journal of Operational Research, Vol. 185, Nº 1, febrero 2008, pp. 146–158.         [ Links ]

7. Arango, M.D.; Serna, C. y Pérez,G. Aplicaciones de lógica difusa a las cadenas de suministro. Avance en Sistemas e Informática, Vol. 5, Nº 3, diciembre, 2008, pp. 17-26.         [ Links ]

8. Tsujimura, Y. y Gen, M. Method for Solving Multiobjective Aggregate Production Planning Problem with Fuzzy Parameters. Computers and Industrial Engineering, Vol 23, Nº 1-4, noviembre 1992, pp. 117-120.         [ Links ]

9. Lee, Y.Y, Kramer, B.A, Hwang C.L. A Comparative Study of Three Lot-Sizing Methods for the Case of Fuzzy Demand. Journal of Operations and Production Management, Vol.11 No 7, 1991, pp 72-80.         [ Links ]

10. Mula, J. et al. Aplicaciones de la Teoría de los Conjuntos Difusos en la Planificación de la Producción: Un Estudio de la Literatura. Memorias VIII Congreso de Ingeniería de Organización. Leganés, septiembre, 2004. pp 101-110.         [ Links ]

11. Hop, N.V. A Heuristic Solution for Fuzzy Mixed-Model Line Balancing Problem, European Journal of Operational Research, Vol. 168, No. 3, febrero 2006, pp. 798-810.         [ Links ]

12. Chang, P.C., Liao, T.W. Combining SOM and Fuzzy Rule Base for Flow Time Prediction in Semiconductor Manufacturing Factory, Applied Soft Computing, Vol 6, Nº 2, enero, 2006, pp 198-206.         [ Links ]

13. Kahraman C., Gülbay, M. y Kabak, Ö. Applications of Fuzzy Sets in Industrial Engineering: A Topical Classification. Fuzzy Applications in Industrial Engineering, Vol 2 Springer Istanbul, 2006. pp. 1-55         [ Links ]

14. Hasuike, T y Ishii H. On Flexible Product-Mix Decision Problems Under Randomness And Fuzziness. Omega, Vol. 37, Nº 4, agosto, 2008 pp. 770-787.         [ Links ]

15. Kahraman, C., Beskese A. y Ruan, D. Measuring Flexibility of Computer Integrated Manufacturing Systems Using Fuzzy Cash Flow Analysis. Information Sciences, Vol. 168, Nº. 1-4, 2004, pp. 77-94.         [ Links ]

16. Petty, D.J., Stirling, M.D., Travis, L.C. y Bennett, R. (2000) Conditions for the successful implementation of finite capacity/ MRPII hybrid control systems. Journal of Engineering Manufacture, Part B, Proceeding of the Institution of mechanical Engineers, 214, B9, 847-851.         [ Links ]

17. Klir, G.J y Yuan, B.. Fuzzy Sets end Fuzzy Logic, Theory and Applications. Vol. 1, Prentice Hall PTR 1995, New Jersey: pp. 390- 417.         [ Links ]

18. Correa, G.J. Aproximaciones Metodológicas Para la Toma de Decisiones, Apoyadas en Modelos Difusos, tesis presentada a la Universidad Nacional de Colombia, para optar al grado de Magíster en Ingeniería de Sistemas. 2004        [ Links ]