Servicios Personalizados
Revista
Articulo
Indicadores
-
Citado por SciELO -
Accesos
Links relacionados
-
Similares en
SciELO
Compartir
Revista Técnica de la Facultad de Ingeniería Universidad del Zulia
versión impresa ISSN 0254-0770
Rev. Téc. Ing. Univ. Zulia v.33 n.1 Maracaibo abr. 2010
A summation formula concerning the Mellin Transform*
M.L. Glasser 1,2, Nikos Bagis 3, Grazyna Majchrowska 3
1 Department of Physics, Clarkson University, Potsdam. New York, USA. laryg@clarkson.edu
2 Departamento de Física Teórica, Atómica y Óptica, Universidad de Valladolid, 47071. Spain.
3 Department of Informatics, Aristotele University of Thessaloniki 54124, Greece.
Abstract
We derive a new summation formula involving Mellin transform. We apply this formula to sum various series related to elliptic integrals and theta functions.
Key words: Mellin Transform, summation formulas, Jacobian functions.
Una fórmula de adición usando la Transformada de Mellin
Resumen
En este trabajo una nueva fórmula de adición es derivada usando la transformada de Mellin. Esta fórmula es aplicada para sumar varias series relacionadas con las integrales elípticas y las funciones theta.
Palabra clave: Transformada de Mellin, fórmulas de adición, función jacobiana.
Received: January 10, 2010 Revised form, March 1, 2010
1. Introduction
One of the fundamental results of Fourier analysis is the Poisson Summation Formula, which can be written [1]

where a > 0 , ab= 2p, and

is the Fourier Transform of f. Equation (1) is valid under relatively weak conditions. For example f(X)=O [(1+ ½X½C) -1, for X Î R and for some C > 0. It is also known that if

is the Cosine Transform of a function f then we have the Poisson Summation Cosine Formula [2]

where a > 0 , ab= 2p.
In this work using the Poisson Summation Formula we generalize an exponential formula of Ramanujan and arrive at a new Mellin Summation Formula. This formula is like (4) but now the part of Fourier Cosine Transform is replaced by the Mellin Transform. We also give several applications.
Definition [2]
The Mellin Transform of a function Y is defined to be
![]()
For the applications we will need the following
2. The Theorems
Theorem 1 [3]
Let a > 0 and the function f be odd and analytic in the uper half plane Im(z) > 0 and continuous in Im(z) ³ 0 and let there exist C,N > 0 and 0 £ b < p such that
![]()
for every z in Im(z) ³ 0, then

where ab= 2p and
.
The Main Theorem. (The Mellin Summation Formula-MSF)
Let a, b > 0 and ab= 2p, then

where f (x)= Re [(My) (ix) f (-x)],
with
and f, y, x real, f (o)= 0, provided that all sums
converge.
To prove the MSF we use a Theorem which appeared first in [4]. Here we give a complete proof and the conditions under which this Theorem holds.
Theorem 2. [4]
Let y (x) be analytic around 0. Also let f be analytic function in C satisfying
![]()
for every z with Im(z) ³ 0, C, l, d > 0 constantst, with the condition |z|= x + N + 1/2, N sufficiently large natural number. Then for x > 0 the integral
converges absolutely, the series
converges in the Abel sense and

If also
then the series

converges and we can drop the limit in (10).
3. The Proofs of Theorems
The proof of Theorem 1 is in [3]. For the proof of Theorem 2 we need a Lemma.
Lemma
Let y have a Taylor Series around 0, with radius of convergence r > 0. Let also x Î R such that
![]()
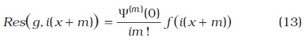
Then the Mellin Transform of Y can be extended analytically into a meromorphic function in the half plane Re (z) < x with simple poles at the points z= -m for m Î z with m > -x, m ³ 0.
Proof
Let 0 < a < r. Then if z is not an integer
Thus the function
is meromorphic in C whose only poles are z= -m with residue
.
We also define the function h2(z) = ò ¥a y (u)z-1 du which converges absolutely to ananalytic function when Re(z) < x.
And for the derivative we have

This completes the proof of the Lemma.
Now let the function Y be as in Lemma and let x Î R be such that (11) holds. We define the function
![]()
Then from the Lemma g is meromorphic in Im(z) > 0 and continuous in Im(z) ³ 0 with simple poles at z= i(m + x), where m Î z , m ³ 0, m + x > 0 and

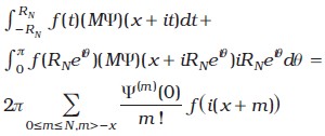
Let gR be the upper half circle with diameter [-R,R] where R = RN = x + N +1/2, N a natural number. Then

and thus

So, if the integral ò ¥- ¥ f(t) (MY)(x + it)dt exists and also

the series converges and we have

The condition m > -x not needed if x > 0.
Having in mind the above and the Lemma we can proceed to the following
Proof of Theorem 2
From (9) the integral
ò ¥- ¥ f (t) (MY)(x + it)eita dt
is absolutely convergent for a > 0. Also if 0 < a £ d we will have

for RN ® ¥ when 0 £ q £ p.
Hence for every a > 0 one as

from which (10) follows.
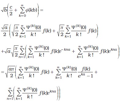
Proof of the Main Theorem
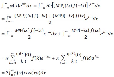
If f (x) = Re [(MY)(ix) f (-ix)], with f, y, x real, then f (x) is an even function. The reason is that we can write according Theorem 2

From the above we have
also

where ab= 2p,
and
. This completes the proof.
Notes
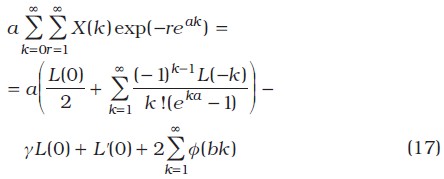
1. In the same way one can prove a formula of Ramajunan [5] (which we give here a more general form)
If ab= 2p, then

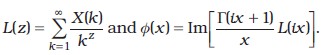
where 
2. The use of Theorem 2 for finding Self Reciprocal functions.
From [2] we have that whenever fc (x) = f (x) then
and
where
, fe (s) being an even function. Using Theorem 2 with Y(x)= e-x we have
which is more convenient to calculate.
Similar expansions hold for the Fourier sine transform and Hankel transforms.
4. Applications
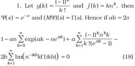
1. Let
and f(k) = knk, then Y(x)= e-x and (MY)(S) = G(S). Hence if ab= 2p

2. Let
and f(k) = k, then we have
. Hence if a,n > 0, noting that

we have from the MSF.

It is known from tables that [6]

Thus we arrive at

3. From the relations [7]

and

from the Main Theorem we get

whenever
.
4. Also we have

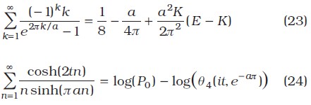
5. If a,n > 0 and
, denotes the Polylogarithm function then

Proof
Let
and f(k)= k, then if
we have
In the same way we have

where
is the Riemann Zeta function.
Or, if ab= 2p then

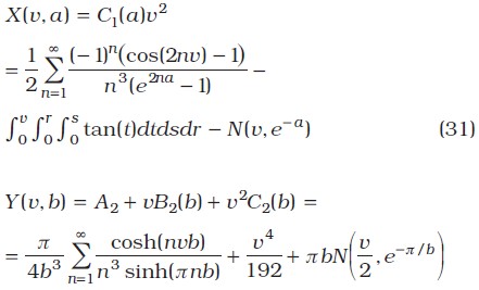
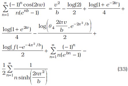
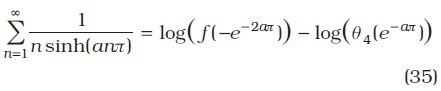
6. A consequence of Jacobis triple identity. Note that the calculations of sums in Application 5 depend on finding the values

where we have set
![]()
To find C1 (a) we differentiate X (n, a) twice with respect to v to get
where qj (0, q)= qj (q).
Note use Theorem 1 with
along with Jacobis triple identity [6] to arrive at

But it is known from tables that

where kb is the solution of
(note that when b Î Q*+ then the kb are algebraic numbers) and

Hence we have
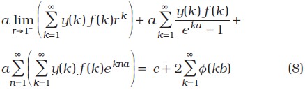
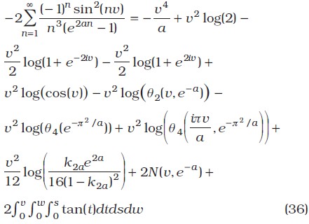
Proposition 2.1

For Y we can find in the same way that

and B2(b)= 0, where
is the q-product. Thus what remains is to find the value of A2(b). In this way we are led to
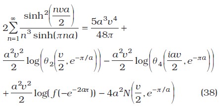
Proposition 2.2.

References
1. C.K.Chui. An Introduction to Wavelets. Academic Press. New York. 1992. [ Links ]
2. E.C. Tichmarsh. Introduction to the theory of Fourier integrals. Oxford University Press, Amen House, London, 1948. [ Links ]
3. M.L. Glasser and N. Bagis, arXiv: 0812.0990. [ Links ]
4. N. Bagis and M.L. Glasser. Integrals and Series Resulting from Two Sampling Theorems. Journal of Sampling Theory in Signal and Image Processing. Vol. 5, No. 1, Jan. 2006, pp.89-97. [ Links ]
5. B.C. Berndt and J.L. Hafner. Two remarkable boubly exponential series transformations of Ramanujan. J. Proceedings Mathematical Sciences Jan 2008, pp. 245-252. [ Links ]
6. E.T. Whittaker and G.N. Watson. A course on Modern Analysis. Cambridge U.P. 1927 [ Links ]
7. I.J. Zucker. The Summation of Series of Hyperbolic functions. SIAM J. Math. Anal. 10. (1979). 192-206. [ Links ]











