Servicios Personalizados
Revista
Articulo
Indicadores
-
Citado por SciELO -
Accesos
Links relacionados
-
Similares en
SciELO
Compartir
Gaceta Médica de Caracas
versión impresa ISSN 0367-4762
Gac Méd Caracas v.114 n.4 Caracas dic. 2006
Estudio clínico y epidemiológico de la tiroiditis subaguda (tiroiditis granulomatosa de de Quervain) *
Dr. Italo Marsiglia G **
* Tesis doctoral en ciencias médicas, mención medicina interna (versión abreviada). Aprobada con mención honorífica, Escuela de Medicina "Luis Razetti", Facultad de Medicina, UVC, 27 de septiembre de 2005.
** Profesor Titular UCV, Ex Jefe de la Cátedra de Clínica y Terapéutica Médica C, Escuela de Medicina Luis Razetti y del Servicio de Medicina III del Hospital Universitario de Caracas, MTSVMI, FACP-ASIM.
RESUMEN
En este estudio prospectivo clínico-epidemiológico de la tiroiditis subaguda, realizado en Caracas, Venezuela, durante 44 años (1961-2004), en 11 648 casos de la consulta de un médico internista se encontraron 30 casos de tiroiditis subaguda. Se concluye que la tiroiditis subaguda no es común en nuestro medio, como lo demuestran, la prevalencia 0,26 %, la incidencia 0,68 casos por año y la frecuencia relativa 2,9 % de los casos de enfermedad tiroidea.
Al sexo femenino correspondieron 60 % de los casos. La edad promedio fue 44,80±11,89 años, rango 21 a 78 años y clase modal la 5ª década. En 2/3 de los casos el comienzo fue agudo, presentando como síntomas frecuentes: fiebre, astenia y nerviosismo. El dolor en el cuello o referido a la faringe fue informado por 87 % de los casos. La tiroides, aumentada de volumen moderada y bilateralmente, resultó dolorosa y firme a la palpación, exhibiendo patrón nodular en 93 % de los casos. Patrón migratorio y recurrencias tempranas, conjunta o aisladamente, se observaron en la mitad de los casos. En nuestra experiencia, el hallazgo de "nódulos migratorios" obliga a considerar el diagnóstico de tiroiditis subaguda. Las formas atípicas, enfermedad indolora o de un solo lóbulo, afectaron 27 % de los casos. El carácter sistémico de la tiroiditis subaguda fue sugerido por los hallazgos transitorios de hepatomegalia, adenopatías y alteraciones en las pruebas hepáticas, proteínas séricas y hematología.
La tirotoxicosis transitoria, observada en 78 % de los casos entre la lª y la 6ª semana del proceso inflamatorio, tuvo en la TSH sérica su índice hormonal más sensible al estar disminuida en 86 % de los casos. La elevación de T3 y T4, supresión de TSH, descenso de captación tiroidea de I-131 y manifestaciones clínicas de tirotoxicosis, alcanzaron máxima intensidad y frecuencia a las 3 semanas del inicio de la tiroiditis subaguda. La captación tiroidea de I-131 estuvo deprimida en 83 % de los casos, especialmente en asociación con tirotoxicosis y enfermedad tiroidea bilateral.
El análisis de regresión lineal múltiple y simple demostró relación inversa entre: extensión del proceso inflamatorio y captación tiroidea de yodo radioactivo, tiempo de evolución de la tiroiditis subaguda y T3T y, en la fase aguda, captación tiroidea de I-131 y T3T. La relación entre los hallazgos estadísticos y la fisiopatología de la tiroiditis subaguda pueden tener la siguiente explicación: 1. La supresión de captación tiroidea de I-131 depende, tanto del daño al tejido tiroideo (mayor supresión de captación a mayor extensión del proceso inflamatorio), como de la elevación de T3T (que al inhibir la secreción de TSH, suprime la captación tiroidea de I-131) y 2. La elevación de la T3T sérica ocurre en la fase aguda de la tiroiditis subaguda (relación inversa entre tiempo de evolución de la TSA y T3T).
En la fase aguda, el cintilograma no demostró imagen tiroidea en 73 % de los casos, el ecosonograma reveló aumento moderado del volumen de la glándula y patrón heterogéneo con hipoecogenicidad difusa o focal y los anticuerpos anti-TPO fueron negativos en 91 % de los casos.
En la fase intermedia de la tiroiditis subaguda, se comprobó hipotiroidismo en 30 % de los casos. El hipotiroidismo transitorio (27 %), clínico o subclínico, revistió el patrón de "tiroiditis bifásica" al ocurrir después de tirotoxicosis pasajera, 1 1/2 a 6 1/2 meses después de iniciada la tiroiditis subaguda con duración de 1 1/2 a 6 meses y promedio 2±1,73 meses. La respuesta a la prednisona fue excelente con remisión de la tirotoxicosis transcurrida la primera semana. La no con hipotiroidismo permanente. Una recurrencia tardía ocurrió 16 años después del primer episodio de tiroiditis subaguda. La duración de la enfermedad fue 3,36±2,00 meses con rango de 1 a 15 meses. El promedio de observación por caso fue 4,8 años.
Palabras clave: Tiroiditis subaguda. Tiroiditis de de Quervain.
SUMMARY
In this prospective clinical-epidemiologic study about subacute thyroiditis made in Caracas, Venezuela, during 44 years (1961-2004), in a sample of 11 648 cases of a private internal medicine consultation, there were found 30 cases of subacute thyroiditis. Prevalence of 0.26 %, incidence of 0.68 cases per year, and subacute thyroiditis relative frequency equivalent to 2.9 % of all thyroid disease cases, were conclusive that subacute thyroiditis is a non common disease in our environment.
Female accounted for 60 % of cases. Mean age was 44.80±11.89 years, ranging between 21 to 78 years, modal class 5th decade. The acute onset occurred in 2/3 of the cases, with fever, fatigue and nervousness as frequent manifestations. Neck pain or pain referred to the pharynx occurred in 87 % of cases. Thyroid gland enlargement, mild to moderate and bilaterally, tender and firm at palpation, showed nodular pattern in 93 % of cases. Migratory pattern and early recurrences were observed isolated or jointly in half of the cases. In our experience, the presence of "migratory nodules" must be considered an important key for diagnosis of subacute thyroiditis.
Atypical forms, painless or unilateral subacute thyroiditis affected 27 % of cases. Systemic character of subacute thyroiditis was suggested by transitory findings of hepatomegaly, lymphadenopathy and hematological, hepatic and proteins tests alterations.
Between 1st and 6th weeks of subacute thyroiditis, transitory thyrotoxicosis occurred in 78 % of cases; serum TSH was the most sensible hormonal index with low concentrations in 86 % cases. Actually, T3 and T4 increases, TSH and thyroid I-131 uptake suppression and clinical manifestations of thyrotoxicosis, maximized intensity and frequency at 3 weeks of disease onset. Thyroid I-131 uptake was depressed in 83 % of cases, especially in association with thyrotoxicosis and thyroid bilateral disease.
Multiple and simple linear regression analysis showed inverse relationship between unilateral or bilateral extension of subacute thyroiditis and thyroid I-131 uptake, time of evolution of subacute thyroiditis and serum T3T and, in the acute phase of subacute thyroiditis, thyroid I-131 uptake and serum T3T. Statistical findings and physiopathology of subacute thyroiditis could have the following explanation: 1. Suppression of thyroid I-131 uptake depends as much of thyroid tissue damage (higher suppression of I-131 uptake at higher extension of inflammatory process), as of serum T3T concentration (higher suppression of thyroid I-131 uptake at higher serum T3T concentration, that produces TSH inhibition); and 2. T3T increase occurs in the acute phase of subacute thyroiditis (inverse relationship between time of evolution of subacute thyroiditis and serum T3T).
Additional findings in the acute phase of subacute thyroiditis were: scintigraphy do not showed thyroidal image in 73 % of cases; thyroid ultrasonography revealed moderate increase of thyroid volume and diffuse or focal hypoechogenicity; and anti-TPO antibodies were negative in 91 % of cases.
In the intermediate phase of subacute thyroiditis frequency of hypothyroidism was 30 %. Transitory hypothyroidism (27 %), clinical or subclinical, showed "biphasic thyroiditis" pattern, occurring after transitory thyrotoxicosis, 1 1/2 to 6 1/2 months after onset of disease, with duration between 1/2 to 6 months and mean 2±1.73 months.
Response to prednisone treatment was excellent and after one week, remission of thyrotoxicosis was observed. Complete recovery occurred in 97 % of cases. Only one case had permanent hypothyroidism. Late recurrence was present in one patient, 16 years after a first episode of subacute thyroiditis. In this study, subacute thyroiditis had a mean duration of 3.36±2 months, ranging 1 to 15 months. The follow up mean per case was 4.8 years.
Key words: Subacute thyroiditis. de Quervain thyroiditis.
INTRODUCCIÓN
La tiroiditis subaguda (TSA) o tiroiditis granulomatosa de de Quervain es una inflamación peculiar y autolimitada de la glándula tiroides, que ocurre probablemente en respuesta a algunos virus (1-17), caracterizada clínicamente por bocio doloroso y sensible, manifestaciones sistémicas, en especial fiebre y alteración funcional tiroidea y, desde el punto de vista patológico, por reacción inflamatoria de aspecto granulomatoso específica de la enfermedad.
La TSA afecta con mayor frecuencia a mujeres entre los 20 y los 60 años. En la mayor parte de los casos informados en la literatura, el diagnóstico se ha sustentado en sus características clínicas, careciendo muchos de ellos de confirmación anatomopatológica. No obstante, con el advenimiento y difusión de un método relativamente sencillo como es la biopsia por aspiración con aguja fina, hoy es posible contar con la información citológica adecuada para el diagnóstico (1,4).
La etiopatogenia de la TSA (1-12,18-21) está muy vinculada a los virus, especialmente a los enterovirus, que en muchos casos parecen responsables del proceso, si bien, los anticuerpos virales resultan negativos en un buen porcentaje de casos y, en unos pocos, se han involucrado a agentes infecciosos no virales y a otras enfermedades no infecciosas.
Un 72 % de los casos de TSA, independientemente de su origen étnico, resultan positivos para el HLA-B35, que parece conferir mayor susceptibilidad genética de la tiroides a estas infecciones virales y donde, presumiblemente, la molécula HLA-B35 incrementa la respuesta inmune al agente infeccioso permitiendo la expresión de la TSA.
En la minoría de los casos de TSA, la autoinmunidad, como respuesta secundaria y transitoria al antígeno tiroideo liberado por la destrucción del tirocito y descamación de su membrana, se evidencia con la aparición de anticuerpos antitiroideos, anti-tiroperoxidasa y anti-tiroglobulina, o de anticuerpos para el receptor de TSH capaces de producir disfunción tiroidea, hipertiroidismo o hipotiroidismo (1,10-12).
En mi interpretación personal sobre la patogenia de la TSA, la respuesta inflamatoria de la glándula tiroides no parece directamente relacionada con la presencia del virus en la glándula, porque sólo en casos aislados de TSA se ha identificado algún virus en la tiroides y, no se demuestran dentro de la glándula tiroides cuerpos de inclusión viral, ácido ribonucleico (ARN) o ácido desoxirribonucleico (ADN) viral. Por eso, parece posible que el agente etiológico de la TSA dispare a distancia el proceso inflamatorio tiroideo y la respuesta sistémica, tal como pudiera ocurrir por la intervención de citoquinas y otros mediadores humorales y celulares de la inflamación (1).
La TSA es una enfermedad no común, que con mayor frecuencia se describe en la zona templada de Norteamérica, Europa, Escandinavia y Japón (22-38). La enfermedad raramente es reportada en áreas tropicales y subtropicales, desconociéndose si estas variaciones geográficas representan diferencias reales en la frecuencia de la enfermedad o si resultan de un subregistro de la enfermedad por los métodos diagnósticos utilizados (1,7,10-12,17,39-46).
En 1988, en la revisión sobre tiroiditis autoinmunes, 13 describimos las características diferenciales entre la tiroiditis indolora y la TSA. En revisión de la literatura médica venezolana sobre TSA, en 2001 (1) (Literatura médica venezolana, Biblioteca "Humberto García Arocha", Instituto de Medicina Experimental, Universidad Central de Venezuela (UCV)), sólo encontramos el informe aislado de un caso clínico (47) y tres casos anatomopatológicos procedentes de tiroidectomías (48). En 2002, en el Seminario I, "Estudio clínico y epidemiológico de la tiroiditis subaguda (Enfermedad de de Quervain)" (17), expuse el criterio de que al intentar establecer la frecuencia de una enfermedad benigna y autolimitada como la TSA, son más fidedignos los resultados de la consulta ambulatoria que los procedentes de casuísticas hospitalarias o series anatomopatológicas que, erróneamente, pueden indicar una menor frecuencia del proceso. En 2004, en el Libro sobre "Tiroiditis Subaguda (Tiroiditis granulomatosa de de Quervain)" (1), se revisaron los diferentes aspectos de la enfermedad, sustentados en una amplia información bibliográfica, que hoy sirve de soporte al presente estudio.
MÉTODOS
Este estudio de casos, descriptivo y prospectivo, analiza las características clínicas y epidemiológicas de 30 casos de TSA observados en el período 1961-2004, en una muestra de 11 648 pacientes de la consulta externa de un médico internista, 77 % procedentes del Área Metropolitana de Caracas, en los que se realizó historia médica completa, perfil de laboratorio, electrocardiograma (ECG) y Rx de tórax.
La inclusión de la mayor parte de los casos de TSA cumplió con los siguientes requisitos: 1. Examen médico integral. 2. Evidencia clínica de inflamación no supurativa de la glándula tiroides, de duración variable pero limitada, asociada a síntomas constitucionales. 3. Exámenes de hematología, pruebas bioquímicas séricas y velocidad de sedimentación globular. 4. Determinación de hormonas tiroideas séricas (49-52), captación tiroidea de I-131 y cintilograma tiroideo (53-55), TSH sérica (49-51,56) y anticuerpos antitiroideos (57,58) en los últimos 20 años y, ecosonograma tiroideo (59,60) en los últimos 12 años y 5. En el estudio estadístico las variables numéricas se resumieroncon medias aritméticas y desviaciones estándar, comparándolas con "t" de Student y las variables categóricas se compararon con la prueba de Chi cuadrado. El nivel de significación adoptado fue el de 0,05. Además, para el examen de la relación entre las variables, captación tiroidea de I-131, T3T sérica, extensión uni o bilateral del proceso inflamatorio tiroideo y tiempo de evolución de la TSA se utilizaron los análisis de correlación y regresión lineal múltiple y regresión simple (61,62).
RESULTADOS
I. ESTUDIO EPIDEMIOLÓGICO DE 30 CASOS DE TIROIDITIS SUBAGUDA
En 11 648 casos estudiados se encontraron 30 casos de TSA lo cual representa una prevalencia de 0,26 % e incidencia 0,68 casos por año. En 1 000 casos (63) de la misma muestra, se observó 1 caso de TSA por cada 35 de enfermedad tiroidea, correspondiendo a la TSA 2,9 % de todos los casos de enfermedad tiroidea. En esa muestra, la frecuencia relativa de TSA fue 1 caso por cada 13,5 de bocio difuso no tóxico, o por 7 de otras formas de hipertiroidismo o de hipotiroidismo, o por 6,5 de nódulo solitario diagnosticado por palpación, o por 3 de tiroiditis autoinmune clínicamente evidente, o por 1,5 de bocio multinodular diagnosticado por palpación.
En 2/3 de los casos, la enfermedad se inició en la estación seca o "verano", comprendida entre octubre y abril. Los casos se distribuyeron entre todos los meses del año, 1/3 entre los meses de marzo y abril. En los años con más casos, se observó el inicio de la enfermedad en un mismo o en sucesivos meses.
El 60 % correspondió al sexo femenino, equivalente a la relación hembra: varón 1,5: 1.
En los 30 casos la edad X±1DS fue 44,80±11,89 años, rango 21 a 78 años y clase modal, la 5ª década con 16 casos o 53,3 % y 80 % comprendido entre la 4ª y la 6ª décadas.
Tres casos (10 %) tenían antecedente de enfermedad tiroidea previa por bocio difuso, bocio multinodular o micro carcinoma papilar de la tiroides, pero en comparación con una muestra de 1000 casos (63) (9 %), la prevalencia de enfermedad tiroidea preexistente no estuvo incrementada significativamente.
El 56,7 % de los casos presentó síndrome febril acompañado de manifestaciones respiratorias, usualmente 3 a 4 semanas antes del inicio de la TSA.
Veinte casos (66,7 %) eran venezolanos, 8 europeos y 2 de países vecinos.
Salvo un caso, todos eran residentes de Venezuela, 77 % procedían del Área Metropolitana de Caracas y los restantes, de otras 6 capitales del país. Cinco casos desempeñaban actividades relacionadas con las ciencias de la salud y los restantes se dedicaban a actividades diversas.
De los 30 casos de TSA, 21 habían consultado previamente con otros médicos y en 52,4 % de los casos no se había sospechado la presencia de enfermedad tiroidea.
II. ESTUDIO CLÍNICO DE 30 CASOS DE TIROIDITIS SUBAGUDA
En la fase inicial de la TSA las manifestaciones constitucionales relevantes ocurrieron en 29 casos (Figura 1). La fiebre con elevaciones de 39½C o más, en 5 casos tuvo las características del síndrome febril prolongado. La debilidad, decaimiento o astenia franca resultó un síntoma cardinal de la enfermedad, que en 2 casos precedió en 1 y en 2 meses, respectivamente, a otras evidencias de TSA. En nuestra casuística el nerviosismo resultó un síntoma común, especialmente en asociación con tirotoxicosis. Las palpitaciones se relacionaron con tirotoxicosis o hipertermia. La pérdida de peso, por disminución de la ingesta calórica o por tirotoxicosis, en 3 alcanzó entre los 5 y los 7 kg.
Figura 1. Manifestaciones constitucionales en 30 casos de tiroiditis subaguda.
El 78,3 % de los casos estudiados en la fase inicial presentó manifestaciones clínicas de tirotoxicosis, usualmente moderadas, en particular, nerviosismo, pérdida de peso, palpitaciones, temblor o diarrea. Las manifestaciones de hipotiroidismo, permanente en un caso y transitorio en 3, de intensidad ligera a moderada, consistieron en aumento de peso, sequedad de la piel, abotagamiento palpebral, astenia o sensación depresiva.
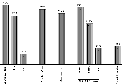
El dolor en la tiroides (Figura 2), o referido a la faringe, fue el síntoma más relevante de TSA, presentado por 86,7 % de los casos, que en 2/3 se irradió a mandíbula, región lateral del cuello y oído, en el lado o lados afectados. El dolor se exacerbó o irradió con la deglución o con la hiperextensión y movimientos de la cabeza. La irradiación hacia nuca y región occipital fue observada especialmente en pacientes encamados.
Figura 2. Dolor tiroideo en 30 casos de tiroiditis subaguda.
En nuestra casuística, la ausencia de dolor, en 4 casos, o la lesión de la glándula predominantemente unilateral, en 5 casos, que de manera conjunta afectaron a 8 pacientes (26,7 %), fueron consideradas características de las llamadas formas atípicas de TSA.
Fiebre, taquicardia y temblor fino fueron hallazgos comunes del examen físico, pero los más sobresalientes guardaron relación con la inflamación de la tiroides (Figura 3).
El aumento de volumen de la glándula, generalmente moderado, se encontró en 29 casos, afectando bilateralmente al 80 %. La tiroides presentó consistencia firme en 90 % de los casos, sensibilidad exquisita en 83,3 % y superficie nodular, unilateral o bilateralmente, en 93,3 %. El tamaño de los nódulos varió desde 0,3 cm hasta 4 cm con
Figura 3. Examen de la tiroides en 30 casos de tiroiditis subaguda.
X±1DS 1,6±1,1 cm por nódulo y, en 39,3 % fue mayor de 2 cm. Nueve casos exhibieron signos inflamatorios en la piel vecina a la glándula tiroides, La TSA mostró características migratorias en 11 casos o 36,7 %, observándose las recurrencias tempranas en 9 casos o 30 %. El examen físico también permitió demostrar algunas alteraciones transitorias en otros órganos o sistemas, que indican el carácter sistémico de la TSA, tales como, hepatomegalia ligera en 23,3 % de los casos y adenopatías blandas y pequeñas, cervicales, supraclaviculares o submaxilares en 23,3 %.
Varias pruebas de laboratorio estuvieron alteradas durante la fase aguda de la TSA. La velocidad de sedimentación globular (o proteína C reactiva) resultó elevada en todos los casos, superando en algunos los 100 mm. La VSG fue normal en pacientes que habían rebasado la etapa aguda o eran tratados con corticoesteroides. La hematología reveló: anemia normocítica ligera en 30,4 % de los casos; leucocitosis (hasta 13 600/mL) en 17,4 %, leucopenia en 1 caso, linfocitosis (entre 27 % y 48 %) en 56,5 % y trombocitosis ligera en 17,4 %. En 26 % las pruebas hepáticas estuvieron alteradas, 21,7 % mostró fosfatasa alcalina elevada, que en algún paciente duplicó o cuadruplicó las cifras normales. En otros casos la elevación de fosfatasas alcalinas se asoció con hepatomegalia, elevación de transaminasas o alteración de proteínas séricas. El 23,8 % de los casos presentó hipoalbuminemia o hiperglobulinemia (alfa 2 o gamma).
III. ESTUDIO DE LA FUNCIÓN E IMAGEN TIROIDEA EN 30 CASOS DE TIROIDITIS SUBAGUDA
A. Fase inicial o aguda de la tiroiditis subaguda
Los resultados de la función tiroidea en la fase aguda de la TSA se muestran en el Cuadro 1. Veinte y tres de 30 casos (76,7 %) de TSA nos consultaron por primera vez en las 6 primeras semanas de la enfermedad. Diez y ocho de los 23 o 78,26 %, presentaron manifestaciones clínicas de tirotoxicosis ligeras a moderadas, en algún momento de esta fase aguda, que tuvieron máxima expresión entre los 2 días y las 6 semanas del inicio del proceso. Por tratarse de pacientes no tratados previamente con anti inflamatorios, esta observación permite establecer la historia natural de la tirotoxicosis debida a TSA, que vimos extenderse por ese lapso de 6 semanas, alcanzando su máxima intensidad y frecuencia un promedio de 3 semanas.
Cuadro1 Función tiroidea en la fase inicial de la tiroiditis subaguda
|
| Evolución | No casos | % |
| Tirotoxicosis | 20,39±12,02 | 18/23 | 78,3 % |
| T3 ! |
| 14/20 | 70,0 % |
| T4T o T4L ! |
| 16/23 | 69,6 % |
| T3 y T4 ! | 20,76±12,28 | 17/23 | 73,9 % |
| TSH ! | 22,42±10,37 | 12/14 | 85,7 % |
| Captación tiroidea I-131/24 h 6,25±8,18 % |
|
23/23 |
100,0 % |
| Tirotoxicosis 3,56+5,18 % | 21,92±11,74 | 18/23 | 78,3 % |
| Enfermedad bilateral 4,86±6,57 % |
| 21/23 | 91,3 % |
| Enfermedad unilateral 22,00±8,49 % |
| 2/23 | 8,7 % |
Evolución en días
X±1DS
1. T3, T4 y TSH séricas
En 20 casos, el estudio de la T3 sérica total (T3T) mostró los siguientes valores: X±1DS 231,15±74,89 ng/dL (VN 86-185 ng/dL), estando elevada en 14 casos o 70,00 % de la muestra (270,64±51,22 ng/dL y rango 205-388 ng/dL).
La T4 sérica total (T4T) o libre (T4L) presentó los siguientes valores: T4T, en 9 casos, X±1DS 12,42±3,64 µg/dL (VN 5,5-12 µg/dL), resultando elevada en 5 casos o 55,56 % (14,98±2,23 µg/dL y rango 13,4-18,5 µg/dL) y T4L, en 14 casos, 2,76±1,11 ng/dL (VN 0,8-2 ng/dL), con valores altos en 11 casos o 78,57 % (3,12±0,95 ng/dL y rango 2,11-4,99 ng/dL). La T4 sérica total o libre, estuvo elevada en 16 casos o 69,57 %. En el mismo lapso, se observó elevación de T3 o T4 séricas en 17 casos o 73,91 % y, adicionalmente, 1 caso con tirotoxicosis y TSH baja presentó cifras de T3 y T4 séricas en el rango alto de lo normal que, al desaparecer las manifestaciones inflamatorias descendieron hasta valores normales medios. Los valores más elevados de T3 y T4 séricas, en 17 casos con tirotoxicosis, también se observaron entre el 2do día y las 6 semanas de evolución de la TSA, con X±1DS 20,76±12,28 días.
En 14 casos estudiados durante las primeras 6 semanas de la TSA, la TSH sérica (VN 0,5-3,7 mUI/mL) mostró los siguientes valores, X±1DS 0,32±0,71 mUI/mL y rango 0,00-2,636 mUI/mL. La TSH resultó baja o no detectable en 12 casos u 85,71 % (X±1DS 0,08±0,12 mUI/mL y rango 0,00-0,3 %) y, en 3 de estos casos no fue detectable. Esos 12 casos con TSH baja o no detectable, presentaron simultáneamente manifestaciones clínicas de tirotoxicosis y elevación de T3 y T4 séricas, salvo el caso mencionado, con niveles de hormona tiroidea sérica en el rango alto de lo normal. Por tanto, en esta etapa de la TSA, la TSH sérica resultó el índice hormonal de tirotoxicosis más sensible, que permite establecer en 86 % la afectación real por hipertiroidismo clínico o subclínico. En 12 casos con tirotoxicosis, los mayores descensos de la TSH sérica se observaron entre los 10 días y las 6 semanas del inicio de la TSA, con X±1DS 22,42±10,37 días.
2. Captación tiroidea de I-131/ 24h
En 23 casos estudiados en las 6 primeras semanas de la enfermedad, la captación tiroidea de I-131/ 24 h (VN 15 %-40 %) fue X±1DS 6,25±8,18 % (Figura 4), rango 0-28 %, resultando baja, entre 0 % y 10 %, en 19 casos u 82,61 %. En 5 casos sin tirotoxicosis, la captación tiroidea de yodo radioactivo fue (X±1DS) 16,40±9,63 % y rango 6-28 %, presentando 2 casos valores bajos de 6 % y 8 %. En los 18 casos con tirotoxicosis, la captación tiroidea de I-131 fue 3,56±5,18 % y rango 0-20 %; en 17 casos (94,44 %) fue igual o menor de 10 % y en 3 casos 0 %. En 13 casos con tirotoxicosis y las mayores supresiones de la captación entre 0 % y 2,7 %, la evolución de la enfermedad tenía un promedio de 21,92±11,74 días.
Concluimos que, en la fase aguda: 1. La mayor elevación de T3 y T4 séricas y supresión de TSH y captación tiroidea de yodo radioactivo y las manifestaciones de tirotoxicosis, coincidieron en el tiempo, al mostrar promedio evolutivo entre 20 y 22 días y, 2. La captación tiroidea de I-131, estuvo frecuentemente deprimida, particularmente en asociación con tirotoxicosis y enfermedad tiroidea bilateral.
3. Análisis de correlación, regresión lineal múltiple y regresión simple
Con los resultados obtenidos en 26 casos de TSA (que incluyen 20 casos estudiados en las primeras 6emanas de la TSA) se hizo el análisis de regresión lineal múltiple de las variables: captación tiroidea de I-131/24 h, T3T sérica, extensión unilateral o bila-teral del proceso inflamatorio y tiempo de evolución de la TSA, que fueron estudiadas separadamente. Sólo se observó correlación inversa con significación estadística entre captación tiroidea de I-131/24h y extensión unilateral o bilateral del proceso inflamatorio, expresada en el coeficiente de determinación R2 = 0,45 y P = 0,0001. Además, el análisis de regresión simple, demostró: 1. En los 26 casos, correlación inversa con significación estadística, entre tiempo de evolución y T3T sérica, al obtenerse el coeficiente de determinación R2= 0,17, P= 0,03 y coeficiente de regresión = 0,97. 2. En 20 casos estudiados en las primeras 6 semanas de la TSA, se encontró correlación inversa con significación estadística, entre captación tiroidea de I-131/24 h y T3T sérica, demostrada en r= 0,49, coeficiente de determinación R2= 0,24 y P= 0,03.
Los resultados estadísticos indican que: 1) A mayor extensión de la TSA (enfermedad tiroidea bilateral) es de esperar la menor captación tiroidea de I-131; 2) A menor tiempo de evolución (primeras 6 semanas) de la TSA, es de esperar la mayor elevación de T3T sérica (y la tirotoxicosis); y 3) En la fase aguda de la TSA, es de esperar la mayor elevación de T3T sérica y la mayor supresión de la captación tiroidea de I-131.
4. Cintilograma tiroideo.
En 22 casos de TSA vistos durante las primeras 6 semanas, se realizó cintilograma tiroideo. En 72,73 %, la supresión de la captación tiroidea de yodo radioactivo no permitió la visualización de la tiroides en el examen, al presentar valores de captación entre 0 % y 9 %, con X±1DS 2,41±2,88 % (Figura 4 y Figura 5). En 5 casos (22,73 %), con captación tiroidea entre 10 % y 28 %, el cintilograma reveló áreas focales o nódulos hipocaptantes, aumento del volumen glandular y captación heterogénea del trazador. Un último caso con captación tiroidea de 8 % sólo mostró distribución heterogénea del trazador.
Figura 4. Cintilograma tiroideo en la fase de comienzo de la tiroiditis subaguda con tirotoxicosis.
La baja concentración del trazador en el parénquima tiroideo (captación I-131/24h 5 %, VN 15 %-45 %) no permitió la visualización de la tiroides. Se observa acumulación del material radioactivo en las glándulas salivales y en la cara anterior del cuello se aprecia abundante cantidad del trazador en forma libre circulante.
Figura 5. Cintilograma tiroideo en la fase de recuperación de la tiroiditis subaguda.
Mismo caso de la figura anterior, 1 1/2 mes después del primer estudio y luego de tratamiento con prednisona, el cintilograma tiroideo muestra una tiroides normal (captación tiroidea de I-131/24h 20 %).
5. Anticuerpos antitiroideos.
Los anticuerpos anti-TPO fueron investigados en 21 casos, resultando negativos en 90,5 %.
6. Ecosonograma tiroideo (Figura 6).
El ecosonograma tiroideo en 7 casos vistos durante la fase aguda de la TSA, a partir de 1993, reveló aumento moderado del volumen tiroideo, en forma difusa en 6 y limitado a un lóbulo, en un paciente con evidencia clínica de enfermedad tiroidea de predominio unilateral. Seis casos mostraron patrón ecogénico heterogéneo difuso y, 5 casos, áreas focales hipoecoicas, que en 3 adoptaron patrón nodular, al mostrar 2 a 3 lesiones de 0,7 a 3 cm de diámetro. En un caso, el ecosonograma repetido a las 9 semanas de iniciada la TSA fue informado normal.
Figura 6. Reconstrucción tridimensional de la tiroides en la tiroiditis subaguda.
En un primer plano se observan áreas hipoecoicas producidas por el edema inflamatorio. (Cortesía del Dr. Leandro Fernández).
B. Fase intermedia de la TSA
En la fase intermedia de la TSA, relativamente poco sintomática, 9 de los 30 casos (30 %) presentaron hipotiroidismo, 8 transitorio y uno permanente. El hipotiroidismo transitorio, clínico o subclínico, se observó en pacientes que durante la fase aguda de la TSA exhibieron tirotoxicosis transitoria, como parte de la denominada "tiroiditis bifásica", cuya función tiroidea, al igual que en la tiroiditis silente, evoluciona sucesivamente por las fases de tirotoxicosis transitoria, eutiroidismo, hipotiroidismo transitorio y recuperación.
El hipotiroidismo transitorio ocurrió 1 1/2 a 6 1/2 meses después del comienzo de la enfermedad, X±1DS 3,19±1,71 meses y tuvo una duración de 1/2 a 6 meses, X±1DS 2±1,73 meses. En 3 pacientes el hipotiroidismo transitorio se acompañó de manifestaciones clínicas, aunque las alteraciones hormonales fueron relativamente moderadas con TSH sérica X±1DS 9,13±9,18 mUI/mL (VN 0,5-3,7 mUI/mL) y T4L sérica X±1DS 0,67±0,16 ng/dL (VN 0,8-2 ng/dL). El caso de hipotiroidismo permanente se confirmó a los 6 meses del inicio de la TSA. En esta fase intermedia, 5 casos eutiroideos, mantenían captación tiroidea deprimida 2 a 4 meses después del comienzo de la TSA (X±1DS 5,44±5,81 % y rango 0,1-14 %).
C. Fase final de la TSA
Salvo por un caso de hipotiroidismo permanente, la recuperación total fue alcanzada por los demás pacientes que, luego de una evolución con X±1DS 3,36±2,99 meses, presentaron función tiroidea normal: T3T sérica, en 13 casos, X±1DS 137,38±18,16 ng/dL, T4L sérica, en 20 casos, 1,41±0,32 ng/dL y TSH sérica, en 12 casos, 2,16±0,97 mUI/mL. La captación tiroidea de I-131/24h, en 9 casos, realizada entre los 2 y los 8 meses del comienzo de la TSA (X±1DS 3,9±2,4 meses), fue X±1DS 21,53±12,89 % y rango 4,8-44 %.
IV. EVOLUCIÓN EN 30 CASOS DE TIROIDITIS SUBAGUDA
Los patrones evolutivos en los 30 casos de TSA son mostrados en la Figura 7. La primera consulta se realizó entre 2 días y 4 meses después del inicio de los síntomas con X±1DS 33±30,1 días y 23 casos fueron vistos en las primeras 6 semanas o fase aguda del proceso.
En 30 casos y 1 episodio de recurrencia tardía, la enfermedad tuvo duración X±1DS 3,36±2,99 meses, rango 1-15 meses, en 19 casos (61,3 %) igual o menor de 3 meses.
La TSA migratoria resultó más prolongada que la no migratoria (X±1DS 4±3 meses vs. X±1DS 3,1±3 meses) y la TSA con recurrencias tempranas fue más prolongada que la sin recurrencias (X±1DS 3,9±3,3 meses vs. X±1DS 3,3±3 meses), pero ambas diferencias no tuvieron significación estadística (t de Student).
Figura 7. Evolución en 30 casos de tiroiditis subaguda.
Los 30 casos fueron seguidos desde 1 mes hasta 21,5 años, con promedio de observación por caso 4,8 años.
Un caso de TSA con función tiroidea normal en una observación prolongada, presentó 11 años después hipotiroidismo permanente por tiroiditis crónica autoinmune, rara pero posible alternativa evolutiva de la TSA.
V TRATAMIENTO EN 30 CASOS DE TIROIDITIS SUBAGUDA
En 31 episodios de TSA experimentados por 30 pacientes, que incluyen una recurrencia tardía, 27 casos recibieron algún antiinflamatorio esteroideo o no esteroideo (AINES). Las formas atípicas no dolorosas o no acompañadas de manifestaciones sistémicas no requirieron tratamiento antiinflamatorio.
En general, los corticoesteroides fueron reservados para los casos con manifestaciones constitucionales e inflamatorias más severas y para aquellos sin respuesta satisfactoria a los AINES o con efectos adversos a los mismos.
La respuesta al tratamiento con corticoesteroides, en especial con prednisona 30 mg/d, fue excelente en los 13 casos, apreciándose sus efectos a partir de las 12 a 48 horas de iniciado el tratamiento, cuando los pacientes que habían presentado manifestaciones intensas, ya referían alivio significativo, en particular de las manifestaciones constitucionales y de los signos de inflamación tiroidea. La mayor parte de los casos se encontraba asintomática una semana después del comienzo del tratamiento, con mejoría sustancial de la inflamación tiroidea que prácticamente, desaparecía después de la segunda o tercera semana. Comentario especial merece la tirotoxicosis, que en varios casos pudo mejorar o inclusive, desaparecer, al final de la primera semana de terapia con Prednisona, habiendo comprobado en algún caso, al octavo día de tratamiento, normalización de las hormonas tiroideas séricas, previamente elevadas.
Los corticoesteroides fueron administrados entre 1 y 2 meses con X±1DS por caso de 1,3±0,4 meses; en todos los casos el tratamiento fue muy efectivo y no se acompañó de manifestaciones adversas significativas. En 6 casos tratados con corticoesteroides (33,3 %), ocurrieron recurrencias tempranas de la TSA, 3 de ellas, debidas a la omisión precoz y súbita del corticoesteroide. En todas las recurrencias tempranas se logró la remisión prednisona y la duración del tratamiento.
Los AINES se utilizaron en los casos de TSA menos sintomáticos, como terapia única o combinados con dosis menores de glucocorticoides. En general, la respuesta a los AINES se apreció luego de varios días de tratamiento, siendo menos intensa o espectacular que la observada con los corticoesteroides.
El tratamiento con hormona tiroidea fue utilizado en un paciente con hipotiroidismo permanente y en dos con hipotiroidismo transitorio. Adicionalmente, dos casos con más de 2 recurrencias tempranas recibieron hormona tiroidea para prevenir nuevas recidivas del proceso inflamatorio, pareciéndonos útil tal indicación.
DISCUSIÓN
La TSA es una enfermedad no común descrita con mayor frecuencia en la zona templada, cuya incidencia, ajustada para edad y sexo, es 4,9 casos por 100 000 por año (26). Raramente es descrita en otras partes del mundo, especialmente en áreas tropicales y subtropicales (1,10-12), desconociéndose si las variaciones geográficas representan diferencias reales en la frecuencia del proceso o resultan del subregistro de la enfermedad. La comunicación personal permite conocer la observación ocasional de la TSA en nuestro medio, aunque como se comprobó en nuestro estudio, con frecuencia no se la diagnostica correctamente confundida con faringitis u otros procesos tiroideos.
Este estudio sobre una muestra de 11 648 casos, 77 % procedentes del Área Metropolitana de Caracas, que cumplieron con los requisitos de historia médica completa y exámenes complementarios de una consulta de medicina interna, fue realizado por un mismo observador en el lapso de 44 años (1961-2004). En la muestra se encontraron 30 casos de TSA que determinan: prevalencia 0,26 %, incidencia 0,68 casos por año y frecuencia relativa 2,9 % de todos los casos de enfermedad tiroidea, hallazgos que nos permiten considerarla como enfermedad no común en nuestro medio. En 1 000 casos de la misma muestra (63), se encontró 1 caso de TSA por cada 13,5 de bocio difuso no tóxico, o por 7 de otras formas de hipertiroidismo o de hipotiroidismo, o por 6,5 de nódulo solitario, o por 3 de tiroiditis autoinmune o por 1,5 de bocio multinodular, al diagnosticar por palpación estos 3 últimos procesos patológicos. No obstante, al estudiar con ecosonografía los pacientes con diagnóstico de nódulo tiroideo establecido por palpación, disminuye sustancialmente la prevalencia de nódulo solitario, aumentando en contrapartida la frecuencia de bocio multinodular (63); además, al considerar la común observación de tiroiditis crónica subclínica, su frecuencia relativa en comparación con la TSA, debe superar la aquí informada.
La TSA se ha observado desde los 3 a los 76 años (7), pero su mayor prevalencia ocurre entre la tercera y sexta décadas. La mayor parte de los casos corresponden al sexo femenino, en proporción que fluctúa entre 60 % y 100 % (7). La relación hembra/varón es 3 a 6:1 (8-12). La TSA es más común en el verano coincidiendo con la mayor frecuencia estacional de algunas enfermedades virales, especialmente por enterovirus (1,10-12,25,30).
Nuestros casos también resultaron más frecuentes en el sexo femenino (60 % y relación hembra: varón 1,5: 1), y en la 5ª década de la vida (X±1DS 44,80±11,89 años). Algunos de nuestros hallazgos epidemiológicos sugieren el origen viral de la TSA: 1. La enfermedad fue más común en el verano o estación seca, en que pueden prevalecer las infecciones por enterovirus; 2. La TSA tuvo tendencia a la agregación en un mismo o en sucesivos meses; y 3. Más de la mitad de los casos presentaron síndrome febril y manifestaciones respiratorias precediendo a la TSA.
A diferencia de la tiroiditis aguda supurativa que presenta alta frecuencia de enfermedad tiroidea pre existente (64), en nuestros casos de TSA, como en otros informados en la literatura, no se observó tal relación.
La TSA tuvo comienzo agudo en 2/3 de la muestra, presentando manifestaciones constitucionales en casi todos los casos, especialmente fiebre, en 5 casos con las características del síndrome febril prolongado (65), astenia y nerviosismo. La astenia prolongada fue un síntoma relevante del proceso, que vimos preceder hasta en 2 meses a las restantes manifestaciones de la enfermedad (1).
El dolor tiroideo, interpretado por el paciente (y en ocasiones por el médico) como proceso faríngeo, deja inicialmente sin diagnóstico a la TSA con examen físico incompleto; tal como ocurrió en las consultas médicas previas del 71 % de nuestros casos.
El dolor en el cuello y el hallazgo de una tiroidesligera a moderadamente agrandada, con nódulos "migratorios", firmes y sensibles, en asociación con manifestaciones sistémicas especialmente fiebre y tirotoxicosis ligera a moderada, son los rasgos distintivos y, posiblemente, patognomónicos de la TSA (1).
En nuestros casos, los hallazgos transitorios de hepatomegalia ligera, adenopatías, VSG elevada y alteraciones de los exámenes hematológicos, pruebas hepáticas y proteínas séricas, confirman el carácter sistémico de la TSA (66-68).
Aunque mucho menos comunes que la variedad clásica, las formas atípicas de TSA (1,69-78), que en el estudio de Yamashita y col. (76) tuvieron frecuencia algo mayor al 10 %, afectaron al 27 % de nuestros casos, como enfermedad indolora o de un solo lóbulo. Posiblemente, por tratarse de un proceso inflamatorio de extensión limitada, la forma atípica puede ocurrir sin tirotoxicosis (1) y sin supresión de la captación tiroidea de I-131, lo que en última instancia permitirá la visualización de la imagen cintilográfica de la tiroides (1).
La tirotoxicosis transitoria ocurrió en la fase aguda en 78 % de nuestros casos, resultando la TSH sérica el índice hormonal más sensible, que permite estimar en 86 % la cifra real de tirotoxicosis clínica o subclínica por TSA. La elevación de T3 y T4 séricas y la supresión de TSH y de captación tiroidea de I-131, al igual que las manifestaciones de tirotoxicosis, coincidieron en el tiempo al mostrar promedio evolutivo de 3 semanas. Los resultados de las hormonas tiroideas coinciden con los de Kitaoka y col. (25), que encontraron sus valores más elevados a los 21 días del comienzo de la TSA. Tal coincidencia evolutiva es de esperar por tratarse de fenómenos endocrinos relacionados, con los mismos mecanismos patogénicos. Por una parte, la inflamación del tiroides libera a la circulación T3 y T4 que, al elevar sus niveles séricos suprimen la secreción de TSH, mecanismo este último responsable de la supresión de captación tiroidea de yodo radioactivo. Por otra parte, el proceso inflamatorio afecta al tirocito, que pierde su capacidad para captar yoduro, mecanismo corresponsable de la supresión de captación tiroidea de I-131. Por último, habría que añadir el posible papel de los anticuerpos contra el receptor de TSH en la génesis de la disfunción tiroidea por TSA (1).
En la tirotoxicosis por TSA, la relación T3 a T4 es proporcionada, en contraste con la enfermedad de Graves-Basedow, que eleva desproporcionadamente la T3 sérica. La relación T3 a T4 más elevada y la mayor actividad biológica de la T3, explican el intenso hipertiroidismo de la enfermedad de Graves, muy diferente al moderado de la TSA (25,79,80). 25, 79, 80 Efectivamente, Izumi y col. (80) encontraron que 80 % de los casos de hipertiroidismo con relación T3L a T4L menor de 0,3, sufrían tirotoxicosis destructiva. En el mismo sentido, Ito y col. (56) informaron que, en comparación con la enfermedad de Graves, la supresión incompleta de la TSH es más frecuente en la TSA.
La fase inicial de la TSA es causa de hipertiroxinemia (1,81-85), aunque en esas circunstancias la producción de hormonas tiroideas es prácticamente nula. Por eso, más que hipertiroidismo, el término tirotoxicosis define mejor ese estado funcional de la glándula (1). Aún si solo una parte de la glándula es afectada por TSA, la captación tiroidea puede descender por supresión de TSH hipofisaria, a consecuencia del incremento de T3 y T4 séricas y del yoduro inorgánico circulante (10).
Durante la fase aguda de la TSA, la captación tiroidea de I-131 estuvo deprimida en 83 % de nuestros casos, alcanzando valores entre 0 % y 10 %, particularmente en asociación con tirotoxicosis y enfermedad tiroidea bilateral. El hipertiroidismo con baja captación (86), es característico de tiroiditis destructiva, término que designa al hipertiroidismo resultante de procesos inflamatorios de la tiroides, como tiroiditis silente, tiroiditis de Hashimoto o TSA (80,87). Por eso, la baja captación de yodo radioactivo es uno de los hallazgos relevantes de la TSA, útil para el diagnóstico diferencial con formas frecuentes de hipertiroidismo que cursan con captación elevada, como, enfermedad de Graves-Basedow, bocio tóxico multinodular y adenoma tóxico (1).
En nuestro estudio (88), los análisis de correlación y regresión múltiple o simple demostraron la relación inversa entre extensión del proceso inflamatorio y captación tiroidea de I-131, entre tiempo de evolución y T3T sérica y en la fase aguda de la TSA, entre captación tiroidea de I-131 y T3T sérica. Estos hallazgos estadísticos pueden correlacionarse con la fisiopatología de la TSA: 1. La supresión de la captación tiroidea de I-131 depende, tanto del daño al tejido tiroideo (captación tiroidea de I-131 más baja a mayor extensión del proceso inflamatorio tiroideo), como de la elevación de la T3T sérica (que al inhibir la secreción de TSH, deprime la captación tiroidea de I-131) y 2. La elevación de la T3T sérica ocurre durante la fase aguda de la TSA (relación inversa entre tiempo de evolución de la enfermedad y T3T). En cuanto a la aplicación de este análisis estadístico en el estudio de la TSA, no hemos encontrado precedentes en la bibliografía consultada. Los resultados obtenidos confirman la hipótesis planteada en el presente estudio y permiten establecer una correlación fisiopatológica plausible. Y aunque existen excepciones, pues la captación tiroidea de I-131 puede resultar suprimida inclusive si la tiroides es solo parcialmente afectada (10), es de esperar que en la mayor parte de los casos de TSA y, especialmente en su fase aguda, el comportamiento de estas variables estadísticas se rija por los lineamientos aquí establecidos.
De manera característica, el patrón de hormonas tiroideas séricas en la TSA, presenta cambios evolutivos típicos que configuran la denominada "tiroiditis bifásica", que guardan relación con la evolución del proceso patológico (1,8-10,12,80,87).
La fase activa inicial de la TSA que dura entre 3 y 6 semanas o más (12), es determinada por el escape de coloide a partir de los folículos tiroideos lesionados por la inflamación, que eleva las hormonas tiroideas séricas, responsables en última instancia de la supresión de TSH y captación tiroidea de I-131. Pasada esta fase de tirotoxicosis transitoria, la depleción del coloide disminuye los niveles de hormonas tiroideas, inicialmente hasta valores normales (fase eutiroidea) y, luego de varias semanas hasta niveles hipotiroideos (fase de hipotiroidismo transitorio) (10,12,25), que asociados con elevación transitoria de TSH sérica y captación tiroidea de I-131, son alcanzados por 20 % a 50 % de los casos. La fase hipotiroidea dura 4 a 6 semanas o varios meses (10-12).
Posteriormente, con la remisión del proceso inflamatorio, todos los aspectos de la función y morfología tiroidea inician el retorno a la normalidad, que se alcanza generalmente entre los 4 y los 6 meses del comienzo de la TSA (fase de recuperación) (1,10-12).
En la fase intermedia de la TSA, nuestro análisis comprobó la presencia de hipotiroidismo en 30 % de los casos, transitorio en 8 (27 %) y permanente en uno. El hipotiroidismo transitorio con o sin manifestaciones clínicas ocurrió como "tiroiditis bifásica", después de tirotoxicosis transitoria, 1 1/2 a 6 1/2 meses después de iniciada la TSA y tuvo una duración de 1/2 a 6 meses con promedio 2±1,73 meses.
En la TSA la recuperación total es la regla, estimándose que el hipotiroidismo permanente solo ocurre en 1 % a 5 % de los casos, aunque grados menores de hipotiroidismo subclínico son encontrados con mayor frecuencia (1,10-12). Sin embargo, trabajos más recientes, como los de Cordray y col. (89) y Fatourechi y col. (26), señalan una mayor prevalencia de hipotiroidismo, permanente, que en este último trabajo fue estimada en 15 %, resultando más elevada en los casos tratados con corticoesteroides.
Sin embargo, en nuestro estudio la recuperación total se logró en el 97 % de los casos, a pesar de que 18 pacientes habían sido tratados con cortico-esteroides, si bien, con dosis moderadas.
En la fase aguda de la TSA y, debido a la supresión de la captación de I-131, no se visualizó la tiroides en el cintilograma con I-131 en 73 % de nuestros casos y, en 23 %, la captación tiroidea resultó entre 10 % y 28 %, exhibiendo el cintilograma correspondiente áreas focales hipocaptantes, además de aumento del volumen tiroideo y captación heterogénea del trazador. Nuestros resultados concuerdan con los hallazgos previamente reportados en la literatura (90-99), la supresión de la captación tiroidea de I-131 o de Tc99m pertecnetato (y la ausencia de imagen tiroidea en el cintilograma correspondiente), durante la fase activa de la TSA, ocurre por el daño de las células foliculares tiroideas ocasionado por el proceso inflamatorio, los casos menos comunes con afectación parcial o unilateral de la glándula, pueden mostrar supresión incompleta de la captación (y cintilograma parcial o más tenue) (1,72,74,76); los casos infrecuentes, asociados a anticuerpos estimulantes de la tiroides cursan con captación tiroidea elevada (1,99-101). Por el contrario, durante la fase aguda de la TSA, al utilizar Tc99m sestamibi, Tc99m tetrofosmin o Ga67 citrato (91,93,95,97,98), la captación tiroidea se incrementa permitiendo la visualización de la glándula en el cintilograma y posiblemente, esta respuesta guarda relación con el incremento de la perfusión regional ocasionado por el proceso inflamatorio tiroideo (98).
En nuestro estudio, el ecosonograma tiroideo reveló aumento moderado del volumen de la glándula y ecogenicidad heterogénea con áreas hipoecoicas difusas o focales.
En la fase aguda de la TSA se observa, de manera característica aunque no específica, hipoecogenicidad difusa o en áreas múltiples o focales (59,60,102-109) que pueden ser migratorias (107), tiroideo con promedio de 30 a 40 mL (102,103,105); y estos cambios pueden preceder o acompañar a las recurrencias clínicas del proceso. El seguimiento de los casos muestra la desaparición progresiva de las alteraciones ecográficas luego de un lapso va-riable, que en algunos casos alcanza o sobrepasa los 2 años. Las recurrencias tempranas de la enfermedad se presentaron en 20 % a 35 % de los casos, sin que se observaran diferencias significativas entre los pacientes con o sin recurrencias, en relación con volumen tiroideo, extensión de áreas hipodensas y función tiroidea inicial. El estudio de Cordray y col. (89) demostró la relación existente entre el volumen tiroideo durante el proceso inflamatorio y la función tiroidea final, al comprobar que el promedio del volumen tiroideo en la fase aguda de la TSA fue mayor en los casos que presentaron función tiroidea final normal, en comparación con los pacientes que presentaron hipotiroidismo final, cuyo promedio de volumen tiroideo fue significativamente menor.
Hiromatsu y col. (108), estudiaron la TSA con ecosonografía Doppler a color y encontraron que, en la fase aguda, la vascularización en las áreas afectadas no estaba aumentada, mientras que si apreció un ligero incremento en la fase de recuperación. Por su parte, Kunz y col. (109), en 21 casos de TSA estudiados con ecosonografía Doppler a color, observaron ecoestructura tiroidea no homogénea, correspondiéndose las áreas hipoecoicas o anecoicas con las zonas afectadas por el proceso inflamatorio, cuya morfología y distribución topográfica se modificó durante el curso de la enfermedad. En ese estudio, la ecosonografía Doppler a color demostró vascularización normal o ligeramente incrementada en las áreas ecogénicas "sanas", que exhibieron velocidad sistólica pico normal en arterias aferentes (arterias tiroideas superior e inferior), mientras que las áreas hipoecoicas o no ecoicas revelaron disminución o supresión del flujo sanguíneo. Los autores concluyeron que la ecosonografía Doppler a color puede ser útil en el diagnóstico diferencial de la TSA.
Los anticuerpos antitiroideos, antitiroglobulina y antitiroperoxidasa, son positivos en la menor parte de los casos de TSA, debidos a una reacción inmunológica transitoria, secundaria al proceso inflamatorio (1,10-12).
La evolución de la TSA es muy variable y los casos no tratados suele extenderse 2 a 5 meses, aunque en ocasiones la enfermedad se prolonga durante 1 año o más (1,10-12).
Las recurrencias tardías de la TSA son poco frecuentes. En el estudio de Iitaka y col. (110), sobre 3 344 casos de TSA vistos en un lapso de 24 años, la incidencia de recurrencia tardía fue 2,3 % por año. La recurrencia tardía ocurrió 14,5±4,4 años después del primer episodio de TSA y un tercer episodio 7,6±2,4 años después del segundo. Las recurrencias tardías fueron menos intensas que el episodio inicial de TSA. En el estudio de Fatourechi y col. (26), sobre 160 casos de TSA, las recurrencias tardías se presentaron en el 4 % de los casos, entre 6 y 21 años después del episodio inicial de la enfermedad.
En nuestros 30 casos y una recurrencia tardía (3,3 %), ocurrida 16 años después de un primer episodio, la TSA tuvo una duración promedio 3,36±2,99 meses, rango de 1 a 15 meses y, aunque sin diferencias estadísticas significativas, la duración del proceso fue mayor en la forma migratoria (versus la no migratoria) y en los casos con recurrencias tempranas (versus los casos sin recurrencias).
En nuestra casuística la observación por caso tuvo un promedio de 4,8 años.
Por su mayor efectividad y, en nuestra experiencia, menores efectos secundarios a las dosis utilizadas, los corticoesteroides fueron preferidos a los AINES en los casos con manifestaciones clínicas más intensas. La respuesta al tratamiento con prednisona, 30 mg v.o./d, fue excelente y evidente 12 a 48 horas más tarde, cuando los pacientes ya acusaban significativo alivio y, cumplida la primera semana, la mayor parte estaba asintomática, con franca mejoría de la inflamación tiroidea y remisión de las manifestaciones de tirotoxicosis. Los corticoesteroides fueron administrados un promedio de 1,3±0,4 meses y la mitad de las recurrencias durante el tratamiento resultaron de su omisión precoz y súbita. Finalmente, en lo que ha sido nuestra experiencia, un rápido diagnóstico de la TSA y el tratamiento adecuado con AINES o corticoesteroides, abrevian la magnitud de los síntomas y la duración de la enfermedad.
REFERENCIAS
1. Marsiglia I, editor. Tiroiditis subaguda (tiroiditis granulomatosa de de Quervain). Caracas: Gráficas La Bodoniana CA; 2004. [ Links ]
2. Singer PA. Thyroiditis. Acute, subacute and chronic. Med Clin North Am. 1991;75:61-77. [ Links ]
3. Volpé R. Subacute thyroiditis. Prog Clin Biol Res. 1981;74:115-134. [ Links ]
4. Farwell AP, Braverman LE. Inflammatory thyroid disorders. Otolaryngol Clin North Am. 1996;29:541-556. [ Links ]
5. Cooper DS. Hyperthyroidism. Lancet. 2003;362:459-468. [ Links ]
6. Steinberg FU. Subacute granulomatous thyroiditis: A review. Ann Intern Med. 1960; 52:1014-1025. [ Links ]
7. Greene IN. Subacute thyroiditis. Am J Med. 1971;51:97-108. [ Links ]
8. Volpé R. Thyroiditis current views of pathogenesis. Med Clin N Am. 1975;59:1163-1175. [ Links ]
9. Woolf PD. Thyroiditis. Med Clin N Amer. 1985;69:1084-1097. [ Links ]
10. Lazarus JH. Silent thyroiditis and subacute thyroiditis. En: Braverman LE, Utiger RD, editores. Werner and Ingbar´s: The thyroid a fundamental and clinical text. 7 edición. Filadelfia: Lippincot-Raven; 1996.p.577-591. [ Links ]
11. Volpé R. Infectious, subacute and sclerosing thyroiditis. En: DeGroot LJ, Jameson JL, editores. Endocrinology. 4ª edición. Filadelfia: WB Saunders Co.; 2001.p.1481-1489. [ Links ]
12. Farwell AP. Subacute thyroiditis and acute infectious thyroiditis. En: Braverman LE, Utiger RD, editores. Werner and Ingbar´s. The thyroid a fundamental and clinical text. 9ª edición. Filadelfia: Lippincott Williams and Wilkins; 2005.p.537-547. [ Links ]
13. Marsiglia I, Marsiglia IE, Leamus LA. Tiroiditis autoinmunes. Rev Fund JM Vargas. 1988;12:8-12. [ Links ]
14. Mygind H. Thyroiditis akuta simplex. J Laring. 1895;9:181-193. Citado en Am J Med. 1971;51:97-108. [ Links ]
15. De Quervain F. Die akute nicht eiterige thyreoiditis und die beteilingung der schilddrüse an akuten intoxikationen und infektionen überhaupt. Mitt Grenzgeb Med Chir Spp 1904; 2:1-165. Citado en Am J Med. 1971;51:97-108. [ Links ]
16. De Quervain F, Giordanengo G. Die akute und subakute nicht eiterige thyreoiditis. Mitt Grenzgeb Med Chir. 1936;44:538-590. Citado en Lazarus JH. Silent thyroiditis and subacute thyroiditis. En: Braverman LA, Utiger RD, editores. Werner and Ingbar´s: The thyroid a fundamental and clinical Text. 7 edición. Filadelfia: Lippincot-Raven; 1996.p.577-591. [ Links ]
17. Marsiglia I. Seminario I. Estudio clínico y epidemiológico de la tiroiditis subaguda (enfermedad de de Quervain) (disertación). Caracas: Laboratorio de Investigaciones Clínicas, Escuela de Medicina Luis Razetti, Universidad Central de Venezuela; 2002. [ Links ]
18. Labbadia M, Martocchia A, Mammarella A, Paoletti V, Rocco A, Benvenuto R, et al. Association between human leukocyte antigen (HLA) and interferon-induced thyroid diseases in four patients with HCV-related chronic hepatitis. Neuro Endocrinol Lett. 2005;26:109-112. [ Links ]
19. Shen L, Bui C, Mansberg R, Nguyen D, Alam-Fotias S. Thyroid dysfunction during interferon alpha therapy for chronic hepatitis C. Clin Nucl Med. 2005;30:546-547. [ Links ]
20. Kramer AB, Roozendaal D, Dullaart RP. Familial occurrence of subacute thyroiditis associated with human leukocyte antigen-B35. Thyroid. 2004;14:544-547. [ Links ]
21. Hamaguchi E, Nishimura Y, Kaneko S, Takamura T. Subacute thyroiditis developed in identical twins two years apart. Endocr J. 2005;52:559-562. [ Links ]
22. Osmond JD, Portmann UV. Subacute (pseudotuberculous) giant cell thyroiditis and its treatment. Am J Roentgenol. 1949;61:826. [ Links ]
23. Stalker LK, Walther CD. Thyroiditis. Am J Surg. 1951;82:381. [ Links ]
24. Werner SC (ed). The Thyroid. 2ª edición. Nueva York: Hoeber Medical Division-Harper & Row Publishers Incorporated; 1962:830-831. [ Links ]
25. Kitaoka H, Sakurada T, Fukazawa H, Suzuki M, Kaise N, Kaise K, et al. An epidemiological study of subacute thyroiditis in northern Japan. Nippon Naibunpi Gakkai Zasshi 1985;61:554-570. [ Links ]
26. Fatourechi V, Aniszewski JP, Fatourechi GZ, Atkinson EJ, Jacobsen SJ. Clinical features and outcome of subacute thyroiditis in an incidence cohort: Olmsted County, Minnesota, study. J Clin Endocrinol Metab. 2003;88:2100-2105. [ Links ]
27. Tomasi PA, Piga S, Tecleme P, Fanciulli G, Delitala G. Acute thyroiditis in a child: Misleading result of fine-needle aspiration biopsy. Horm Res. 2000;54:101-103. [ Links ]
28. Ogawa F, Katsushima Y, Fujiwara I, Iinuma K. Subacute thyroiditis in children: Patient report and review of the literature. J Pediatr Endocrinol Metab. 2003;16:897-900. [ Links ]
29. Volta C, Carino N, Street ME, Bernasconi S. Atypical subacute thyroiditis caused by Epstein-Barr virus infection in a three-year-old girl. Thyroid. 2005;15:1189-1191. [ Links ]
30. Martino E, Buratti L, Bartalena I, Mariotti S, Cupini C, Aghini-Lombardi F, et al. High prevalence of subacute thyroiditis during summer season in Italy. J Endocrinol Invest. 1987;10:321-323. [ Links ]
31. Hintze G, Fortelius P, Railo J. Epidemic thyroiditis. Act endocr (Kovenhavn). 1964;45:381-401. [ Links ]
32. de Bruin TW, Riekhoff FP, de Boer JJ. An outbreak of thyrotoxicosis due to atypical subacute thyroiditis. J Clin Endocrinol Metab. 1990;70:396-402. [ Links ]
33. Dulipsingh I, Ikram Z, Malchoff CD, Shonkri KC. A cluster of cases of subacute and silent thyroiditis in the northern Connecticut, Greater Hartford area. Conn Med. 1998;62:395-397. [ Links ]
34. Kabalak T, Ozgen AG. Familial occurrence of subacute thyroiditis. Endocr J. 2002;49:207-209. [ Links ]
35. Hwang SC, Jap TS, Ho LT, Ching KN. Subacute thyroiditis - 61 cases review. Zhonghua Yi Xue Za Zhi (Taipei). 1989;43:113-118. [ Links ]
36. Kitchener MI, Chapman IM. Subacute thyroiditis: A review of 105 cases. Clin Nucl Med. 1989;14:439-442. [ Links ]
37. Wang Z. Subacute thyroiditis as seen initially in otorhinolaryngology department-a report of 30 cases. J Huazhong Univ Sci Technolog Med Sci. 2002;22:82-83. [ Links ]
38. Qari FA, Maimani AA. Subacute thyroiditis in Western Saudi Arabia. Saudi Med J. 2005;26:630-633. [ Links ]
39. Cisneros G, Andrade D. Frecuencia y características de la tiroiditis subaguda. Rev Ecuat Med Cienc Biol. 1987;23:111-114. [ Links ]
40. Melo ArCh, Silva WM, Melo TEMC, Melo EV, Araujo Jr RJC, Marques FCN, Rios VLA. Tireoidite subaguda. Arq Bras Med. 1988;62:439-442. [ Links ]
41. Prez HI. Tiroiditis subaguda como causa frecuente de tirotoxicosis transitoria: Experiencia en 11 casos. Bol Md Cobre. 1990;3:27-31. [ Links ]
42. Lam EJ. Tiroiditis subaguda: una causa de fiebre y VHS alta, asociada a dolor tiroideo: análisis de 29 casos. Rev Md Maule. 1993;12:32-33. [ Links ]
43. Aldrete VJ, Jurado MJ, Paz JJ. Tiroiditis subaguda de De Quervain asociada a infección por salmonella: reporte de un caso y revisión de la literatura. Med Intern Mex. 1994;10:95-98. [ Links ]
44. Foncea CL, Ramirez VJ, Pineda AF, Pineda VG. Tiroiditis subaguda y supuración tiroidea concomitante en un caso. Rev Md Chile. 1996;124:465-468. [ Links ]
45. Lopez Caffarena E, Maira J, Rolando M, Lennon H, Montecinos A, Galarza S. Subacute thyroiditis experience in 48 cases. Rev Med Chil. 1977;105:597-602. [ Links ]
46. Calegaro JU, Calegaro NO. Subacute thyroiditis in Londrina (State Parana): Observations of 130 cases during a period of 42 months. AMB Rev Assoc Med Bras. 1979;25:421-426. [ Links ]
47. Bianchi Cayama F. Un caso de tiroiditis aguda no supurada tratada con prednisona. Pub Cen Med Car. 1957;1:29-30. [ Links ]
48. Bruni Celli B, Salas Marcano I. Tiroiditis granulo-matosa. Arch Hosp Vargas. 1960;2:33-43. [ Links ]
49. National Committee for clinical laboratory standards. Procedures for handling and processing of blood specimens; Approved guideline. NCCLS publication H 18-A. Villanova PA; NCCLS: 1990. [ Links ]
50. Britton KE, Quinn V, Brown BL, Ekins RP. A strategy for thyroid function tests. Br Med J. 1975;III:350-352. [ Links ]
51. Gittoes NJL, Franklyn JA, Sarne DH, Refetoff S, Sheppard MC. Thyroid Function Tests. En: DeGroot LJ, Jameson JL, editores. Endocrinology. 4 edición. Filadelfia: WB Saunders Co., 2001.p.1361-1398. [ Links ]
52. Sapin R, Schlienger JL. Thyroxine (T4) and triiodothyronine (T3) measurements. Ann Biol Clin (París). 2003;61:411-420. [ Links ]
53. Hine G, Williams J. Thyroid radioiodine uptake measurement. En: Hine G, editor. Instrumentations in nuclear medicine Vol 1. Nueva York: Academic Press; 1967;327. [ Links ]
54. Cavalieri RR, McDougall IR. In Vivo Isotopic Tests and Imaging. En: Braverman LE, Utiger RD, editores. Werner and Ingbar´s: The Thyroid a fundamental and clinical text. 7 edición. Filadelfia: Lippincot-Raven; 1996.p.352-376. [ Links ]
55. Jennigs AS. New isotopic techniques for imaging the thyroid. En: Braverman LE, Utiger RD, editores. Werner and Ingbar´s. The Thyroid a fundamental and clinic text. 7 edición. Filadelfia: Lippincot-Raven; 1996.p.433-446. [ Links ]
56. Ito M, Takamatsu J, Yoshida S, Murakami Y, Sakane S, Kuma K, Ohsawa N. Incomplete thyrotroph suppression determined by third generation thyrotropin assay in subacute thyroiditis compared to silent thyroiditis or hyperthyroid Graves´disease. J Clin Endocrinol Metab. 1997;82:616-619. [ Links ]
57. Bigazzi PE, Rose NR. Tests for antibodies to tissue-specific antigens. En: Rose NR, Friedman H, editores. Manual of clinical Immunology. Washington DC: ASM, 1980.p.874-885. [ Links ]
58. McKenzie JM, Zakarija M. Antibodies in autoimmune thyroid disease. En: Braverman LE, Utiger RD, editores. Werner and Ingbar´s: The Thyroid a fundamental and clinical text. 7 edición. Filadelfia: Lippincot-Raven; 1996.p.416-432. [ Links ]
59. Cavalieri RR, Blum M. Thyroid Imaging. En: DeGroot LJ, Jameson JL, editores. Endocrinology. 4 edición. Filadelfia: WB Saunders Co.; 2001.p.1399-1408. [ Links ]
60. Bischof P. Update endocrinology: Thyroid sonography. Schweiz Rundsch Med Prax. 2004;93:695-700. [ Links ]
61. Jekel JF, Elmore JG, Katz DL, editores. Epidemiology, biostatistics and preventive medicine. Filadelfia: WB Saunders Co.; 1996:138-143. [ Links ]
62. Fletcher RH, Fletcher SW, Wagner EH, editores. Clinical epidemiology. The essentials. 3ª edición. Baltimore: Williams & Wilkins; 1996:208-227. [ Links ]
63. Marsiglia I. Estudio clínico-epidemiológico sobre enfermedad tiroidea en el anciano. En: Marsiglia I, editor. Envejecimiento y Enfermedad Tiroidea. Caracas: Gráficas La Bodoniana, CA.; 2003. [ Links ]
64. Basgoz N, Swartz MN. Infections of the thyroid gland. En: Braverman LE, Utiger RD, editores. Werner and Ingbar´s: The Thyroid a fundamental and clinical text. 7ª edición. Filadelfia: Lippincot-Raven; 1996.p.1049-1056. [ Links ]
65. Weiss BM, Hepburn MJ, Mong DP. Subacute thyroiditis manifesting as fever of unknown origin. South Med J. 2000;93:926-929. [ Links ]
66. Kantor R, Pauzner R, Pali E, Farfel Z. High alkaline phosphatase in subacute thyroiditis. Harefuah. 1999;136:599-602. [ Links ]
67. Kimura M, Amino N, Takada K, Miyai K. Subacute thyroiditis associated with systemic multi-organ disorders. Endocrinol Jpn. 1989;36:859-864. [ Links ]
68. Salvi A, Spandrio S, Tosoni M, Rossi M, Balestrieri GP, Candrina R. Liver enzyme abnormalities in subacute thyroiditis. Recenti Prog Med. 1990;81:686-688. [ Links ]
69. Sari O, Erbas B, Erbas T. Subacute thyroiditis in a single lobe. Clin Nucl Med. 2001;26:400-401. [ Links ]
70. Daniels GH. Atypical subacute thyroiditis: Preliminary observations. Thyroid. 2001;11:691-695. [ Links ]
71. Bianda T, Schmid C. De Quervain´s subacute thyroiditis presenting as painless solitary thyroid nodule. Postgrad Med J. 1998;74:602-603. [ Links ]
72. Guilhaume B, Meignan M, Hazard J, Bernheim R, Perlemuter L. Thyroid nodule secondary to subacute thyroiditis. 8 cases. Nouv Presse Med. 1979;8:2169-2172. [ Links ]
73. Rotenberg Z, Weinberger I, Fuchs J, Maller S, Agmon J. Euthyroid atypical subacute thyroiditis simulating systemic or malignant disease. Arch Intern Med. 1986;146:105-107. [ Links ]
74. Bartels PC, Boer RO. Subacute thyroiditis (de Quervain) presenting as a painless «cold» nodule. J Nucl Med. 1987;28:1488-1490. [ Links ]
75. Piazza I, Girardi A. Painless giant cell thyroiditis. Postgrad Med J. 1989;65:580-581. [ Links ]
76. Yamashita T, Okamoto T, Kawada J, Iihara M, Tanaka R, Kanaji Y, et al. Characteristics and clinical course of patients with subacute thyroiditis without typical signs and symptoms. Nippon Naibunpi Gakkai Zasshi. 1993;69:1057-1061. [ Links ]
77. Hardoff R, Baron E, Sheinfeld M, Luboshitsky R. Localized manifestations of subacute thyroiditis presenting as solitary transient cold thyroid nodules. A report of 11 patients. Clin Nucl Med. 1995;20:981-984. [ Links ]
78. Mizokami T, Okamura K, Sato K, Hirata T, Yamasaki K, Fujishima M. Localized painful giant-cell thyroiditis without inflammatory signs in a euthyroid patient followed by serial sonography. J Clin Ultrasound. 1998;26:329-332. [ Links ]
79. Yoshida K, Sakurada T, Kaise N, Kaise K, Kitaoka H, Fukazawa H, et al. Serum free thyroxine and triiodo-thyronine concentrations in subacute thyroiditis. J Clin Endocrinol Metab. 1982;55:185-188. [ Links ]
80. Izumi Y, Hidaka Y, Tada H, Takano T, Kashiwai T, Tatsumi KI, et al. Simple and practical parameters for differentiation between destruction-induced thyrotoxicosis and Graves´ thyrotoxicosis. Clin Endocrinol (Oxf). 2002;57:51-58. [ Links ]
81. Volpé R, Johnston MW, Huber N. Thyroid function in subacute thyroiditis. J Clin Endocr Metab. 1958;18:65-78. [ Links ]
82. Weihl AC, Daniels GH, Ridgway EC, Maloof F. Thyroid function tests during the early phase of subacute thyroiditis. J Clin Endocr Metab. 1977;44:1107-1114. [ Links ]
83. Teixeira VL, Romaldini JH, Rodrigues HF, Tanaka LM, Farah CS. Thyroid function during the spontaneous course of subacute thyroiditis. J Nucl Med. 1985;26:457-460. [ Links ]
84. Shigemasa C, Abe K, Taniguchi S, Mitani Y, Ueta Y, Urabe K, et al. Serum free thyroxine and thyroxine-binding globulin concentrations in early phase of subacute thyroiditis. Endocrinol Jpn. 1987;34:821-829. [ Links ]
85. Ishizuki Y, Hirooka Y, Murata Y, Togashi K. The functional outcome of patients with subacute thyroiditis. Nippon Naibunpi Gakkai Zasshi. 1992;68:154-165. [ Links ]
86. Ross DS. Syndromes of thyrotoxicosis with low radioactive iodine uptake. Endocrinol Metab Clin North Am 1998;27:169-185. [ Links ]
87. Mori K, Ito S. Differential diagnosis of transient destructive thyroiditis from hyperthyroid Graves´disease. Nippon Rinnsho. 1999;57:1899-1903. [ Links ]
88. Marsiglia I. Seminario II. Estudio clínico yepidemiológico de la tiroiditis subaguda (tiroiditis granulomatosa de de Quervain), (disertación). Caracas: Laboratorio de Investigaciones Clínicas, Escuela de Medicina Luis Razetti, Universidad Central de Vene-zuela; 2005. [ Links ]
89. Cordray JP, Nys P, Merceron RE, Augusti A. Frequency of hypothyroidism after De Quervain thyroiditis and contribution of ultrasonographic thyroid volume measurement. Ann Med Interne (París) 2001;152:84-88. [ Links ]
90. Hamburger JI, Kadian G, Rossin HW. Subacute thyroiditis Evolution depicted by serial 131I scintigram. J Nucl Med. 1965;6:560-565. [ Links ]
91. Tembl A, Berna L, Camacho V, Martin JC, Mari C, Flotats A. 67 Ga- citrate scintigraphy as a determiner in the diagnosis of a subacute thyroiditis. Rev Esp Med Nucl. 2001;20:36-39. [ Links ]
92. Intenzo CM, Park CH, Kim SM, Capuzzi DM, Cohen SN, Green P. Clinical, laboratory, and scintigraphic manifestations of subacute and chronic thyroiditis. Clin Nucl Med. 1993;18:302-306. [ Links ]
93. Achong DM, Snow KJ. Gallium-avid painless thyroiditis in a patient with AIDS. Clin Nucl Med. 1994;19:413-415. [ Links ]
94. Shigemasa C, Teshima S, Taniguchi S, Ueta Y, Mitani Y, Yoshida A. Pertechnetate thyroid uptake is not always suppressed in patients with subacute thyroiditis. Clin Nucl Med. 1997;22:109-114. [ Links ]
95. Hiromatsu Y, Ishibashi M, Miyake I, Nonaka K. Technetium-99m tetrofosmin imaging in patients with subacute thyroiditis. Eur J Nucl Med. 1998;25:1448-1452. [ Links ]
96. Rajkovaca Z, Biukovic M, Mikac G, Skrobic M. Correlations of ultrasound and radioisotope studies in subacute de Quervain thyroiditis. Med Pregl. 1999;52:141-145. [ Links ]
97. Wang TY, Wu HS, Lin CC, Lee CC, Kao CH. Tc-99m-tetrofosmin thyroid scan in patients with low I-131 thyroid uptake. Endocr Res. 2002;28:231-238. [ Links ]
98. Hiromatsu Y, Ishibashi M, Nishida H, Kawamura S, Kaku H, Baba K, et al. Technetium-99 m sestamibi imaging in patients with subacute thyroiditis. Endocr J. 2003;50:239-244. [ Links ]
99. Nakamura S, Hattori J, Ishiyama-Takuno M, Shima H, Matsui I, Sakata S. Non-suppressed thyroidal radioactive iodine uptake (RAIU) in thyrotoxic phase in a case of subacute thyroiditis with thyroid-stimulating antibodies (TSAb). Endocrinol Jpn. 1992;39:469-476. [ Links ]
100.Iitaka M, Kakinuma S, Yamanaka K, Fujimaki S, Oosuga I, Wada S, et al. Induction of autoimmune hypothyroi-dism and subsequent hyperthyroidism by TSH receptor antibodies following subacute thyroiditis: A case report. Endocr J. 2001;48:139-142. [ Links ]
101.Fujii S, Miwa U, Seta T, Ohoka T, Mizukami Y. Subacute thyroiditis with highly positive thirotropin receptor antibodies and high thyroidal radioactive iodine uptake. Intern Med. 2003;42:704-709. [ Links ]
102.Benker G, Olbricht T, Windeck R, Wagner R, Albers H, Lederbogen S, et al. The sonographical and functional sequelae of de Quervain´s subacute thyroiditis: Long-term follow-up. Acta Endocrinol (Copenh). 1988;117:435-441. [ Links ]
103. Bennedbaek FN, Hegedus L. The value of ultrasono-graphy in the diagnosis and follow-up of subacute thyroiditis. Thyroid. 1997;7:45-50. [ Links ]
104. Tokuda Y, Kasagi K, Iasa Y, Yamamoto K, Hatabu H, Hidaka A, et al. Sonography of subacute thyroiditis: Changes in the findings during the course of the di-sease. J Clin Ultrasound. 1990;18:21-26. [ Links ]
105. Brander A. Ultrasound appearances in the Quervain´s subacute thyroiditis with longterm follow-up. J Intern Med. 1992;232:321-325. [ Links ]
106. Lu CP, Chang TC, Wang CY, Hsiao YL. Serial changes in ultrasound-guided fine needle aspiration cytology in subacute thyroiditis. Acta Cytol. 1997;41:238-243. [ Links ]
107. Vitti P, Rago T, Barbesino G, Chiovato L. Thyroiditis: Clinical aspects and diagnostic imaging. Rays. 1999;24:301-314. [ Links ]
108. Hiromatsu Y, Ishibashi M, Miyake I, Soyejima E, Yamashita K, Koike N, et al. Color Doppler ultrasonography in patients with subacute thyroiditis. Thyroid. 1999;9:1189-1193. [ Links ]
109. Kunz A, Blank W, Braun R. De Quervain´s subacute thyroiditis-colour Doppler sonography findings. Ultraschall Med. 2005;26:102-106. [ Links ]
110. Iitaka M, Momotani N, Ishii J, Ito K. Incidence of subacute thyroiditis recurrences after a prolonged latency: 24-years survey. J Clin Endocrinol Metab. 1996;81:466-469. [ Links ]



















