Servicios Personalizados
Revista
Articulo
Indicadores
-
Citado por SciELO -
Accesos
Links relacionados
-
Similares en
SciELO
Compartir
Boletín Técnico
versión impresa ISSN 0376-723X
IMME v.40 n.3 Caracas nov. 2002
REAJUSTE DE MATRICES DE RIGIDEZ Y FLEXIBILIDAD PARA SISTEMAS APORTICADOS
F. Garcés 1 C. Genatios 1 M. Lafuente 1 A. Mebarki 2
1. Instituto de Materiales y Modelos Estructurales (IMME), Facultad de Ingeniería, Universidad Central de Venezuela, franciscogarces@cantv.net.
2. Laboratoire de Mécanique (LaM), Université de Marne-la-Vallée, Francia.
RESUMEN
Este artículo presenta dos métodos que permiten realizar la identificación de matrices características de estructuras de edificios aporticados con comportamiento predominante de corte. El primer método permite identificar la matriz de rigidez, mientras que el segundo identifica la matriz de flexibilidad. Ambas metodologías requieren un modelo inicial teórico a ser ajustado para representar la estructura real. También requiere como insumo, una frecuencia modal y su respectiva forma modal proveniente de un ensayo experimental.
Los métodos son desarrollados de manera explícita, a fin de evaluar sus resultados, se aplican a un edificio aporticado de cuatro pisos, cuyas características de rigidez son alteradas simulando daño por acciones sísmicas. Los resultados obtenidos son exactos, demostrando así la exactitud de las metodologías desarrolladas.
Palabras clave: Rigidez, frecuencias, formas modales, flexibilidad, identificación, acciones sísmicas.
readjustment of stiffness and flexibility matrices of framed building abstract
This article presents two methodologies for the identification of stiffness and flexibility matrices of framed building under shear behavior. Both methods require an initial (theoretical) value of the characteristic matrices, to be adjusted. They also require an experimental (real) modal frequency and its eigenvector.
The mathematical formulae are presented. A four-story framed building is analyzed. Its initial stiffness are changed in order to represent seismic damage. Obtained results are exact, showing precision of both methodologies.
Key words: Stiffness, frequency, modal shape, flexibility, identification, seismic damage.
1. INTRODUCCIÓN
A fin de contar con estructuras seguras ante solicitaciones dinámicas como por ejemplo tipo sismos, es necesario disponer de modelos matemáticos confiables, que permitan una predicción adecuada del comportamiento de las estructuras. En general, se dispone de modelos de elementos finitos capaces de reproducir sistemas cada vez más complejos, pero aun así, en muchas oportunidades es necesario verificar su alcance, evaluando experimentalmente las hipótesis involucradas. Los casos de edificios irregulares, represas, reactores nucleares, estructuras de materiales compuestos, estructuras costa afuera y estructuras construidas de manera repetitiva, son ejemplos de estructuras cuyos modelos pueden requerir ser evaluados, ya sea por la importancia de los mismos, su repetitividad, o por el grado de incertidumbre involucrado. Asimismo, la evaluación de la seguridad de estructuras dañadas parcialmente, puede imponer la aplicación de estrategias experimentales a fin de estimar el grado de daño y en general el estado de las estructuras.
En los últimos años se han desarrollado diferentes métodos para la determinación de daños estructurales o estimación de las matrices características de los sistemas a partir de datos obtenidos de mediciones dinámicas experimentales, tanto en la ingeniería civil [2, 4, 5] como en la aeronáutica [1, 3, 6].
La parte que nos ocupa en el presente trabajo, es la relativa al desarrollo matemático de métodos de ajuste para las matrices características de sistemas aporticados, a partir de la identificación dinámica por vía experimental.
El trabajo contendrá en primera instancia, los aspectos relacionados con el desarrollo para el ajuste de las matrices rigidez y flexibilidad. Posteriormente se presenta una aplicación numérica para la evaluación del método.
2. DESARROLLO DE LOS MÉTODO DE AJUSTE DE MATRICES CARACTERÍSTICAS DE ESTRUCTURAS CON COMPORTAMIENTO A CORTE
2.2 Presentación del problema
Considérese un sistema estructural de matrices características K y M en la cual K es desconocida y M conocida. Es requisito previo indispensable haber realizado un estudio experimental dinámico de la estructura y determinado los parámetros dinámicos reales de ésta, tales como m frecuencias propias y m modos propios de vibración. Si n es el número de grados de libertad dinámicos del sistema, generalmente para una identificación experimental n ≥ m. En el presente trabajo es necesario obtener cómo mínimo una frecuencia de vibración con su respectiva forma modal.
2.2 Método No 1: Ajuste de la Matriz de Rigidez
Se tiene el siguiente sistema dinámico no amortiguado:
(1)
donde:
K es la matriz de Rigidez del sistema
M es la matriz de masa
f(t) es un vector que representa la excitación en el tiempo
Para estructuras aporticadas en las cuales el comportamiento predominante es a corte, en la mayoría de los casos se consideran losas infinitamente rígidas en su plano y columnas infinitamente rígidas axialmente, con masas concentradas en las losas. Considerando estas hipótesis se puede, a partir de un análisis de cargas previo, determinar la matriz de masa diagonal y una matriz de rigidez bandeada, donde los términos de ésta dependerán de la rigidez de cada piso, tal como se muestra a continuación:
(2)
(3)
Para obtener los modos y frecuencias de vibración del sistema planteado debe resolverse el siguiente problema de valores y vectores propios:
(4)
Siendo,
la matriz que contiene los valores propios (
) y
es la matriz que contiene los vectores propios.
Extendiendo la expresión (4) y sustituyendo en ella las matrices características para un edificio de corte se tiene, para el modo a:
(5)
donde:
mi es la masa concentrada en el piso i
ki es el término de rigidez del piso i
es la coordenada modal del piso j correspondiente al modo a
es el autovalor correspondiente al modo a
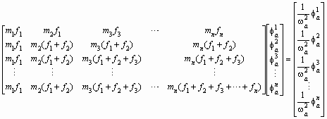
Si se desarrolla cada ecuación algebraicamente (5):
(6)
De las ecuaciones anteriores observamos que cada elemento ki es desconocido y mi,
y
son valores conocidos, por lo que se puede rescribir el sistema de forma matricial agrupando en un vector las cantidades desconocidas:
(7)
Este sistema puede plantearse de la forma
(8)
Donde A representa una matriz que contiene las operaciones entre las coordenadas modales medidas, c contiene el producto de la masa, la coordenada modal de un piso y la frecuencia identificada, el vector x contiene los n términos desconocidos que componen la matriz de rigidez del edificio de corte, los cuales se obtienen resolviendo el sistema planteado en la expresión (8):
(9)
Así pues, se obtienen los n términos de la matriz de rigidez de un edificio de corte, conocido un modo y su frecuencia de vibración, además de la matriz de masa del sistema.
2.3 Método No 2: Ajuste de la Matriz de Flexibilidad
A continuación se presenta la formulación de una metodología para la estimación de la matriz de flexibilidad de un edificio aporticado, a partir de mediciones dinámicas realizadas experimentalmente. Para la determinación de las flexibilidades de cada piso del sistema es necesario conocer previamente la masa de cada piso, además de una frecuencia con sus respectiva forma modal (de n coordenadas).
Para una estructura aporticada donde su comportamiento es esencialmente a corte y considerando la hipótesis de concentrar las masas en la losa, pueden formarse las matrices de flexibilidad (F) y de masa (M) siguiendo las siguientes expresiones:
(10)
(11)
A partir del planteamiento de la solución del siguiente problema de autovalores y autovectores, se obtienen los parámetros dinámicos de la estructura:
(12)
Normalizando la ecuación (12) para el modo a, se obtiene:
(13)
donde:
(14)
(15)
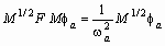
Ahora, tomando la inversa de la expresión (13):
(16)
siendo,
(17)
donde
=F es la matriz de flexibilidad del sistema
De esta manera la expresión (16) puede escribirse de la siguiente forma:
(18)
Sustituyendo las expresiones (10) y (11) en (18) se tiene:
(19)
Desarrollando algebraicamente la expresión anterior:
(20)
Agrupando y ordenando las ecuaciones anteriores se puede expresar la relación (20) como:
(21)
La expresión anterior muestra un sistema de la forma
, siendo:
para i
j (22)
para i < j
(23)
(24)
Una vez resuelto el sistema lineal planteado en la expresión (21) se obtiene el ajuste de las flexibilidades de cada piso.
El procedimiento anteriormente desarrollado, permite la estimación de la flexibilidad de cada piso a partir de la identificación de una frecuencia de vibración, sus respectivos valores modales y la masa del sistema. La matriz de flexibilidad de un modelo aporticado puede construirse sustituyendo los valores antes señalados en la expresión (10). Las expresiones antes obtenidas son bastante sencillas, por lo que su implementación computacional requiere de poco esfuerzo.
3. APLICACIÓN DEL MÉTODO DE AJUSTE MATRICIAL
Para verificar la viabilidad de las dos metodologías de estimación de la rigidez y la flexibilidad, desarrolladas anteriormente se realizó una simulación numérica para un edificio aporticado de 4 pisos. Se consideró un modelo con columnas infinitamente rígidas axialmente y planta infinitamente rígida, obteniéndose bajo estas condiciones un modelo de un grado de libertad por planta; el modelo considera masas concentradas en la losa. En la figura 1 se presenta el modelo, detallándose en éste la variación de las inercias de cada piso.

Conocidas las rigideces de los pisos presentadas en la figura 1, se construye la matriz de rigidez siguiendo la expresión (2). La matriz de rigidez de la estructura es:

siendo, ![]()
La matriz de masa de la estructura es:

Con el fin de implementar y probar los métodos de ajuste propuestos se redujo la inercia de los pisos 2 y 3 a un valor de 5Io y 3Io cuando inicialmente son 9Io y 7Io respectivamente, simulando de este modo daño en los pisos antes señalados. La frecuencia de vibración y las coordenadas modales correspondientes al edificio bajo esta condición se presentan en la tabla N° 1.
TABLA N°1
|
| 1er Modo |
| Frecuencia (rad/seg) | 12.92 |
| Coordenadas modales |
|
| 4to Piso | 0.73 |
| 3er Piso | 0.61 |
| 2do Piso | 0.31 |
| 1er Piso | 0.08 |
Los valores modales y frecuencias fueron sustituidas en las expresiones 7 y 21. Una vez resueltos los sistemas lineales derivados de las expresiones anteriores, se estiman finalmente las rigideces y flexibilidades ajustados de cada piso. Los resultados antes señalados se muestran en la Tabla N° 2.
TABLA N°2
|
| Ajuste Matriz de Rigidez | Ajuste Matriz de Flexibilidad |
|
| ki (kgf/cm) | f i (cm/kgf) |
| 1er Piso | 168000 (14 I0) | 0.6 x 10-5 |
| 2do Piso | 60000 ( 5 I0) | 1.7 x 10-5 |
| 3er Piso | 36000 ( 3 I0) | 2.8 x 10-5 |
| 4to Piso | 48000 ( 4 I0) | 2.1 x 10-5 |
Los resultados obtenidos en la tabla N° 2 muestran valores de rigidez y flexibilidad de piso para el modelo en consideración; los valores ajustados en cado método se corresponden con los valores exactos del modelo, es decir, el proceso de estimación se realizó sin error.
Adicionalmente se realizaron modificaciones en este ejemplo con el fin de establecer la viabilidad de los dos métodos ante variaciones extremas de rigidez y de masa. En primer lugar se varió progresivamente la rigidez de un piso desde su valor inicial hasta un valor donde sus columnas se rotularan, para cada variación se obtenían los parámetros dinámicos para el ajuste, formándose luego las expresiones 7 y 21; una vez evaluadas las expresiones anteriores se obtenían los valores incógnitas buscados. En todos los casos se obtuvieron valores de rigidez y flexibilidad de piso idénticos a los exactos. Siguiendo la metodología anterior se realizaron variaciones progresivas en la masa de un piso, obteniéndose nuevamente valores sin error.
Los resultados obtenidos de los análisis anteriores demuestran la viabilidad de la implementación de los métodos de ajuste para edificios aporticados propuestos en este trabajo; aún para condiciones extremas, los errores presentados por manipulaciones numéricas son nulos.
4. CONCLUSIONES
En este trabajo se presentaron dos metodologías para identificar matrices de rigidez de estructuras aporticadas, a partir de mediciones experimentales con expresiones de fácil implementación computacional. La información experimental requerida es una frecuencia modal y su respectiva forma modal.
Los métodos de reajuste de matrices de rigidez y flexibilidad a partir de los valores de masa y de la obtención de una frecuencia junto con sus valores modales, son de fácil aplicación y solamente requieren de una multiplicación de matrices para la obtención de los términos que conforman las matrices buscadas; los mismos fueron aplicados a un sistema de 4 pisos probando su eficiencia, aún para condiciones de rigidez y masa extremas.
Los métodos de ajuste de valores de rigidez y flexibilidad representan un primer paso para la estimación de éstos parámetros en estructuras civiles. La aplicación de los mismos es de utilidad en la identificación y corrección de modelos estructurales, sistemas sometidos a variaciones con respecto a su configuración inicial y particularmente a estructuras que hayan sufrido daños por eventos de carácter eventual, en especial sismos.
Agradecimientos
Los autores expresan su agradecimiento al Consejo de Desarrollo Científico y Humanístico de la UCV y al FONACIT por su financiamiento al presente trabajo mediante el Proyecto Individual No. (PI 08-31-4300-1998), Proyecto S1 (No. S1-2000000603) y Convenio de cooperación Internacional CONICIT-ECOS NORD (Nº 2000001494, VOOU01).
5. BIBLIOGRAFIA
1. Baruch, (1978), "Optimization Procedure to Correct Stiffness and Flexibility Matrices Using Vibrations Test", AIAA Journal, Vol. 16, Nº 11, pp. 1208-11210. [ Links ]
2. Garcés, (1996) "Identificación y Reajuste de Matrices Características en Dinámica Experimental Mediante Un Método Matricial Directo No Parámetrico". Trabajo Especial de Grado de Magister Scientiarum. IMME, Universidad Central de Venezuela, Caracas. [ Links ]
3. Kabe, (1985), "Stiffness Matriz Adjustment Using Mode Data", AIAA Journal, Vol. 23, Nº 9, Sep., pp. 1431-1436. [ Links ]
4. Li, Hao, Lu and Chen, (1999) "A Flexibility Approach for Damage Identification of Cantiliver-Type Structures with Bending and Shear Deformation", Computers and Structures, Vol. 73, p.p. 565-572. [ Links ]
5. Yuan, Wu and Ma, (1998), "Estimated Mass and Stiffness Matrices of Shear Building From Modal Test". Earthquake Engineering and Structural Dynamics, Vol. 27, pp. 415-421. [ Links ]
6. Zhang, Zerva, (1997), "Stiffness Matrix Adjustment Using Incomplete Measured Modes", AIAA Journal, Vol. 35, Nº 5, pp. 917-919. [ Links ]












