SciELO - Scientific Electronic Library Online

 
vol.26 número8Dos titanes, dos estilosImpacts of land use and cultural change in a fragile environment: indigenous acculturation and deforestation in kavanayén, gran sabana, venezuela índice de autoresíndice de materiabúsqueda de artículos
Home Pagelista alfabética de revistas  

Servicios Personalizados

Revista

Articulo

Indicadores

Links relacionados

Compartir


Interciencia

versión impresa ISSN 0378-1844

INCI v.26 n.8 Caracas ago. 2001

 

ESTUDIO DE LOS PARÁMETROS QUE AFECTAN LA TRANSFERENCIA DE CALOR CONJUGADA EN INTERCAMBIADOR DE CALOR DE TUBOS Y PLACAS-ALETA

Ricardo Romero-Méndez, Rafael Adame y Mihir Sen

Ricardo Romero-Méndez. Ingeniero, Universidad Autónoma de San Luís Potosí. Ph.D. en Ingeniería Mecánica, Universidad de Notre Dame, EEUU. Profesor, Facultad de Ingeniería, Universidad Autónoma de San Luís Potosí. Dirección: CIEP-Facultad de Ingeniería, Universidad Autónoma de San Luis Potosí, Av. Dr. Manuel Nava No. 8, Edificio P, Zona Universitaria, 78290 San Luis Potosí, S.L.P., México. e-mail: rromerom@uaslp.mx

Rafael Adame. Ingeniero Mecánico Electricista, Universidad Autónoma de San Luís Potosí.

Mihir Sen. Ingeniero, Instituto Tecnológico de la India, Bombay. Ph.D. en Ingeniería Mecánica, Instituto Tecnológico de Massachusetts, EEUU. Dirección: Departamento de Ingeniería Aeroespacial y Mecánica, Universidad de Notre Dame, Notre Dame, IN 46556, EEUU.

Resumen

Se utilizó un método numérico para analizar el efecto conjugado de la conducción de calor a través de las aletas y la convección de calor desde la superficie de las mismas en un intercambiador de calor de tubos y placas-aleta. Las simulaciones se desarrollaron con valores de parámetros similares a los encontrados en intercambiadores de calor comerciales. Se analizó el efecto de varios parámetros en la transferencia de calor conjugada. La superficie de la aleta es dividida en dos regiones: aguas arriba del tubo donde la transferencia de calor es elevada, y aguas debajo del tubo donde la transferencia es limitada. La región aguas arriba del tubo se ve más afectada por la conducción a través de las aletas, con disminución de la transferencia de calor cuando la conducción es considerable. Es posible identificar una región de transferencia de calor inversa aguas abajo del tubo.

Los parámetros que afectan mayormente la transferencia de calor conjugada son la conductividad y espesor de la aleta, el número de Reynolds y la excentricidad del tubo respecto a la aleta. Existe la posibilidad de mejorar la transferencia de calor del intercambiador haciendo el tubo excéntrico respecto a la longitud de la aleta. Al mover el tubo más cerca del borde de salida de las aletas el área de baja transferencia de calor detrás de los tubos se reduce en tamaño y, al mismo tiempo, la mayor longitud de la parte frontal de la aleta causa un incremento del área frontal, con una reducción del valor local del coeficiente convectivo. Esto sugiere la existencia de una posición óptima del tubo respecto a la longitud de la aleta.

Summary

A numerical method was used to study the effect of conduction through the fins and convection over the fins of a single-row plate-fin and tube heat exchanger. The simulations were conducted for conditions that are equivalent to those encountered in real heat exchangers. The influence of several parameters on conjugate heat transfer was analyzed. The fin surface is divided in two regions: one of high heat transfer in the region upstream of the tubes, and one of low heat transfer located downstream of the tubes. The region upstream of the tubes is the most affected by conduction through the fins, with decrease of temperature and heat transfer when conduction is considerable. It was also possible to identify a region of heat transfer reversal in the region downstream of the tubes.

The parameters found to affect conjugate heat transfer were fin conductivity and thickness, Reynolds number and tube eccentricity. There is a possibility of heat transfer augmentation by making the tube eccentric respect to fin length. By moving the tube nearer to the trailing edge of the fin, the area of low heat transfer downstream of the tube is reduced in size and, at the same time, the area upstream of the tubes is increased, with reduced heat transfer. This suggests the existence of an optimum position of the tube with respect to the fin length.

Resumo

Foi utilizado um método numérico para analisar o efeito conjugado da condução de calor através das barbatanas e a convenção de calor desde a superfície das mesmas em um intercambiador de calor de tubos e placas barbatana. As simulações se desenvolveram com valores de parâmetros similares aos encontrados em intercambiadores de calor comerciais. Foi analisaram o efeito de vários parâmetros na transferência de calor conjugada. A superfície da aleta é dividida em duas regiões: águas em cima do tubo onde a transferência de calor é elevada, e águas debaixo do tubo onde a transferência é limitada. A região águas em cima do tubo se vê mais afetada pela condução através das barbatanas, com diminuição da transferência de calor quando a condução é considerável. É possível identificar uma região de transferência de calor inversa águas abaixo do tubo.

Os parâmetros que afetam muito a transferência de calor conjugada são a condutividade e espessura da barbatana, o número de Reynolds e a excentricidade do tubo respeito à barbatana. Existe a possibilidade de melhorar a transferência de calor do intercambiador fazendo o tubo excêntrico respeito ao tamanho da barbatana. Ao mover o tubo mais cerca da borda de saída das barbatanas a área de baixa transferência de calor detrás dos tubos se reduz em tamanho e, ao mesmo tempo, ao maior tamanho da parte frontal da barbatana causa um incremento da área frontal, com uma redução do valor local do coeficiente. Isto sugere a existência de uma posição ótima do tubo respeito ao tamanho da barbatana.

PALABRAS CLAVE / Transferencia de Calor Conjugada / Intercambiador de Calor

Recibido: 18/05/2001. Modificado: 18/07/2001. Aceptado: 20/07/2001

La configuración de intercambiadores de calor de tubos y placas–aleta es muy utilizada en intercambiadores de calor compactos. Entre las ventajas de este diseño de intercambiadores está la alta relación entre áreas externa e interna, que los hace uno de los diseños de intercambiador preferidos cuando uno de los fluidos es un líquido y el otro es un gas.

Uno de los factores que más limitan la transferencia de calor en esta clase de equipos es la resistencia para transferir calor en el lado externo del intercambiador. Las placas que se adhieren a los tubos actúan como superficies extendidas por lo que la resistencia externa de esta superficie está constituida por dos efectos: (i) la convección de calor entre el fluido externo y la superficie de la placa y (ii) la conducción de calor al interior de las placas. Con el fin de realizar un análisis más completo del proceso de transferencia de calor en el lado externo del intercambiador se debe considerar el problema conjugado. Cuando se añade una superficie extendida a los tubos del intercambiador, la parte de la aleta que se encuentra alejada del tubo pierde su capacidad para transferir calor debido a que el gradiente de temperatura entre la superficie de la aleta y el fluido que circula por encima de la superficie se ve disminuido considerablemente.

Estudios realizados durante las últimas dos décadas acerca del proceso de transferir calor desde el lado externo del intercambiador de calor de tubos y placas han evidenciado la íntima relación entre la hidrodinámica y la transferencia de calor en estos dispositivos. Saboya y Sparrow (1974), basados en el método de evaporación de la naftalina para determinar por analogía la transferencia de calor local, demostraron la existencia de una región de alta transferencia de calor ubicada en el borde de ataque de las aletas y en la región enfrente de los tubos. Estas zonas de alta transferencia de calor están relacionadas al desarrollo de la capa límite hidrodinámica y a la aparición de un sistema de vórtices de herradura, respectivamente. Los métodos numéricos también han sido utilizados para estudiar este problema. Haught y Engelmann (1988) utilizaron el método del elemento finito y reportaron resultados de los campos de velocidad y temperatura. Torikoshi et al. (1994) simularon numéricamente un intercambiador de calor de tubos y placas utilizando un código numérico tridimensional de estado estacionario y reportaron resultados que coinciden con resultados experimentales. Bastani et al. (1992) y Valencia et al. (1996) hicieron uso de métodos numéricos para estudiar la hidrodinámica y transferencia de calor por convección en geometrías tubos-placas; además analizaron el incremento de la transferencia de calor que puede obtenerse mediante el uso de generadores de vórtices. Romero-Méndez et al. (2000) desarrollaron un estudio relacionado con el efecto de algunos parámetros geométricos en la transferencia de calor por convección tanto local como promediada. Utilizaron una combinación de técnicas numéricas y experimentales para analizar el efecto del espacio entre aletas en la hidrodinámica y transferencia de calor, y obtuvieron una separación óptima entre aletas, para la cual se logra obtener la máxima transferencia de calor por unidad de longitud de tubo por unidad de caída de presión.

Las investigaciones descritas consideran aletas con temperatura uniforme. Pocos estudios han considerado el problema de la transferencia de calor conjugada. Los resultados obtenidos por Fiebig et al. (1995) analizan la hidrodinámica, distribución de presión, variación local del número de Nusselt y eficiencia de aleta como función del número de Reynolds con una geometría fija en la cual se permite la variación de temperatura de las aletas. Descubrieron un fenómeno interesante que denominaron transferencia de calor inversa, por el cual la energía térmica puede ser regresada a las aletas cuando el fluido llega a estar más caliente que éstas.

Cuando la temperatura de las aletas es constante, las regiones de mayor transferencia de calor son el borde de ataque de las aletas y la región de las aletas justo aguas arriba de los tubos. Esto puede variar en el caso de aletas de temperatura variable. Debido a que el gradiente de temperatura entre las aletas y el fluido que circula por encima de éstas tiende a disminuir hacia los bordes de la aleta, la transferencia de calor en el borde de ataque puede perder importancia en comparación con la transferencia de calor justo aguas arriba de los tubos. Debido a que no hay estudios que analicen esta situación, la presente investigación considera esta situación.

Descripción del Problema

El objetivo del presente estudio es analizar el efecto conjugado de la conducción de calor a través de las aletas de un intercambiador de calor de tubos y placas, y la convección de calor sobre la superficie del mismo. Se pretende determinar cuales son las regiones en las cuales se reduce mayormente la transferencia de calor por los efectos de la conducción a través de las aletas. Asimismo se estudia la posibilidad de mejorar el desempeño de estos dispositivos por medio de la modificación de la disposición geométrica de tubos y aletas.

La geometría que se analiza en este estudio se muestra en la Figura 1. Se supone que entra aire a una temperatura Tin* y es calentada debido a que la superficie de los tubos se encuentra a una temperatura Tc*>Tin*. Los parámetros geométricos de este intercambiador de calor son d, s, w, lf, d y lc . En este modelo, la parte de las aletas que está adherida a los tubos tiene la misma temperatura que los tubos y, debido a que la conductividad de las aletas es finita, hay una disminución de la temperatura de la aleta en la dirección radial, pero esta variación es desconocida pues depende de parámetros de flujo y geométricos.

Figura 1. Dominio computacional del problema.

Si se considera el diámetro del tubo como la longitud característica, el problema se define por los parámetros adimensionales S = s/dW = w/d, Lc= lc/d, Lf = lf /d, y D= d/d. Los parámetros usados en las simulaciones numéricas varían dentro del rango de los encontrados en modelos de intercambiadores de calor disponibles comercialmente. Para completar la adimensionalización, se usa una definición de número de Reynolds basada en la velocidad promedio a la entrada del intercambiador de calor y en el diámetro del tubo.

Análisis Numérico

El flujo en la Figura 1 va en la dirección de las x positivas. El intercambiador de calor mismo está en la región –lf / 2 £ x £ lf / 2 y el sistema coordenado se fija en el centro de la aleta. Adicionalmente a la región donde se localiza la aleta se añaden una región de longitud lx1 aguas arriba de la aleta, y una región de longitud lx2 aguas abajo del borde de salida de la aleta. La primera sección se añade para garantizar que la condición de frontera de entrada del fluido no se vea contaminada por la presencia de las aletas y para reducir las fluctuaciones que se deben a la rápida desaceleración del flujo; la segunda sección se añade para justificar el establecimiento de condiciones de frontera libres a la salida del dominio computacional. Los parámetros adimensionales establecidos como constantes durante las simulaciones son W = w/d = 2,125, lf = lf/d = 3,05, S = s/d = 0,190, Lx1 = lx1/d = 1, Lx2 = lx2 /d = 3,1. Estos son similares a los encontrados en un diseño particular de intercambiador de calor de tubos y placas.

Las simulaciones numéricas se establecen para un flujo de estado estacionario, Newtoniano, incompresible y laminar. Para este caso los efectos de convección natural se han considerado despreciables. Los valores característicos usados para la adimensionalización son: V, d, y presión (rV2). La temperatura T* se adimensionaliza con T = (T*T*in)/(T*c T*in) donde T*in y T*c tienen valor constante. Debido al valor finito de la conductividad térmica de la aleta, existe una variación de temperatura a lo largo de las aletas con el valor de temperatura más alto en la unión tubo-aleta. Este gradiente de temperatura a lo largo de las aletas depende de la conductividad térmica del material de las aletas, su espesor y el coeficiente convectivo de transferencia de calor entre las aletas y el fluido que circula por encima de éstas. El coeficiente convectivo de transferencia de calor cambia localmente y tiene una fuerte dependencia en la naturaleza del flujo del fluido.

La determinación de la cantidad de calor transferido desde la superficie del intercambiador y el fluido que circula por éste requiere la solución simultánea de un problema de transferencia de calor por convección para el flujo por encima de las aletas y tubos, y un problema de conducción que determine la variación local de la temperatura de las aletas. Por lo tanto, la formulación del problema requiere la identificación de dos regiones del dominio computacional: (i) el espacio a través del cual fluye el fluido, la cual requiere la solución simultánea de las ecuaciones de continuidad, momento y energía, y (ii) la aleta, donde sólo debe resolverse la ecuación de la energía.

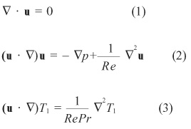
La forma adimensional de las ecuaciones que deben ser resueltas es:

ecuaciones que son válidas en la región del dominio computacional que contiene al fluido. En este caso Pr es considerado como 0,72 y T1 (x,y,z) es la temperatura del fluido,

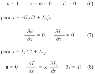
ecuación que es válida para la aleta, donde T2 (x,y,z) es la temperatura de la aleta. El conjunto de condiciones de frontera que complementa las ecuaciones anteriores (1)-(5) es:

para la cara x = –Lf /2, y £ D/2, donde k es la relación de conductividad térmica de la aleta a la del fluido,

 

para la cara

[(x – (Lf /2 Lc))2 + y2] = 0,5; y ³ D/2

para las caras (i) z = W/2, y ³ D/2, (ii) z = W/2, y £ D/2, x £ Lf /2, (iii) z = W/2, y £ D/2, x ³ Lf /2, (iv) z = 0, y ³ D/2, (v) z = 0, y £ D/2, x £ Lf /2, (vi) z = 0, y £ D/2, x ³ Lf /2, y finalmente

  

para las caras (i) z = W/2, y £ D/2, –Lf /2 £ x £ Lf /2, (ii) z = 0, y £ D/2, Lf /2 £ x £ Lf /2.

El coeficiente convectivo de transferencia de calor entre las superficies y el fluido se representa de manera adimensional por el número de Nusselt local, Nu, que representa la componente normal del gradiente de temperatura adimensional del fluido para cada punto de la superficie.

Un programa de propósito general para dinámica de fluidos y transferencia de calor, FIDAP, se utiliza para resolver el problema. El código FIDAP está basado en el método del elemento finito lo cual le permite manejar geometrías complejas, especificar condiciones de frontera en superficies curvas, y considerar varios materiales, tales como sólidos y fluidos, en los cuales ocurren diferentes mecanismos de transferencia de calor. El dominio computacional tridimensional se divide en elementos bloque con interpolación lineal. El sistema de ecuaciones algebraicas no lineales que resulta de las ecuaciones diferenciales parciales que modelan el problema se resuelve utilizando un algoritmo segregado que permite un ahorro considerable de memoria ya que se resuelve cada una de las ecuaciones a la vez.

Para resolver el problema conjugado la aleta se especifica como un material sólido. Esta especificación hace cero la velocidad en esa región y simplifica la ecuación de la energía a la expresión de la ecuación 5. El resto del dominio computacional se especifica como un fluido en el cual se deben satisfacer las ecuaciones 1 a 3. Debido a que FIDAP toma el dominio computacional como un todo, no hay necesidad de especificar las condiciones de frontera en la superficie de contacto entre los dos materiales.

Antes de proceder a obtener resultados, se hizo un estudio de mallas que nos permitiera obtener resultados independientes de la malla utilizada. Una comparación de una malla con 50% más divisiones en cada dirección no mostró diferencias significativas en los resultados con respecto a la malla utilizada finalmente. La malla final (Figura 2) tiene 7750 nodos.

Figura 2. Mallado del dominio computacional.

Resultados

Los resultados obtenidos a través de las simulaciones computacionales ilustran cómo varían la temperatura de aleta y el número de Nusselt local para el caso de intercambiadores de calor de tubos y placas de conductividad finita. En el conjunto de figuras que se presenta se ilustra el efecto de algunos parámetros geométricos, del material y del flujo. Los resultados muestran coincidencias con aquellos presentados en Romero-Méndez et al. (2000) para el caso de aletas de conductividad infinita.

En las Figuras 3a y b se muestra la manera en que la conductividad influye en la variación de la temperatura de las aletas. Se observa que la región que experimenta la mayor disminución de temperatura es el área aguas arriba de los tubos mientras que aguas abajo hay una menor disminución de temperatura. Esto se explica (Romero-Méndez et al., 2000) por el hecho de que las zonas de mayor valor del coeficiente convectivo de transferencia de calor son el borde de ataque de la aleta y la región de la aleta justo aguas arriba del tubo, mientras que la región aguas abajo de los tubos tiene muy disminuida habilidad para transferir calor. Debido a que el calor que viaja a través de las aletas en la región aguas abajo es de menor magnitud que el calor que se transporta a través de las aletas en la región frontal, también tendrá una menor disminución de la temperatura. La secuencia de figuras es evidencia cualitativa de la variación del perfil de temperatura para dos materiales diferentes: (a) aleta de acero aleado con aire circulando sobre ésta (k = 1400), (b) aleta de aleación de aluminio con circulación de aire sobre ella (k = 6700).

Figura 3. Variación de la temperatura de la superficie de la aleta para S = 0,190; Re = 630; D = 0,0112, Lc = 1,525. (a) k = 1400; (b) k = 6700.

Las Figuras 4a y b muestran cómo, conforme disminuye la temperatura de la aleta aguas arriba de los tubos, la capacidad de las aletas para transferir calor decrece considerablemente. La Figura 4a muestra una región detrás de los tubos donde el número de Nusselt es marginalmente negativo. Esta región se identifica como una zona de transferencia de calor inversa similar a la descubierta por Fiebig et al. (1995). La región de transferencia de calor inversa ocurre porque la capacidad de la aleta para conducir el calor es menor que la capacidad del fluido para transportar calor por convección desde regiones de mayor temperatura. De este modo, la diferencia de temperatura entre la aleta y el fluido se invierte con respecto a la generalizada en otras regiones del intercambiador y el calor que había sido transportado al fluido desde otras regiones es devuelto a la aleta. Se ha encontrado que la región de transferencia de calor inversa es más notable para conductividades de aleta menor a la usada para generar la Figura 4a.

Figura 4. Variación del número de Nusselt en la superficie de la aleta para S = 0,190; Re = 630; D = 0,0112; Lc = 1,525. (a) k = 1400; (b) k = 6700.

Las Figuras 5a y b, y 6a y b, muestran que el espesor de aleta juega un papel muy similar al de la conductividad de la aleta. La Figura 6a muestra también la existencia de una región de inversión de la transferencia de calor.

Figura 5. Variación de la temperatura de la superficie de la aleta para S = 0,190; k = 6700; Re = 630; Lc = 1,525. (a) D = 0,0042; (b) D = 0,0112.

Figura 6. Variación del número de Nusselt en la superficie de la aleta para S = 0,190; k = 6700; Re = 630; Lc = 1,525. (a) D = 0,0042; (b) D = 0,0112.

Las Figuras 7a y b muestran que la disminución de temperatura a lo largo de la aleta se incrementa cuando se aumenta el número de Reynolds. Esto ocurre porque, conforme se incrementa Re, la cantidad de calor eliminado desde la aleta es mayor por dos razones: (i) el fluido se mueve más rápidamente sufriendo una menor variación de temperatura al atravesar el intercambiador y (ii) el movimiento más rápido del fluido incrementa el mezclado del fluido y hace mayor el gradiente de temperatura entre la superficie y el fluido inmediatamente encima de ésta. Estos factores hacen mayor la cantidad de calor que se mueve a lo largo de las aletas produciendo un mayor gradiente de temperatura a lo largo de la aleta.

Figura 7. Variación de la temperatura de la superficie de la aleta para S = 0,190; k = 6700; D = 0,0112; Lc = 1,525. (a) Re = 180; (b) Re = 1310.

Las Figuras 8a y b ilustran el efecto del número de Reynolds en la distribución local del número de Nusselt. Se puede observar de la Figura 8b que en el borde de ataque de la aleta Nu sólo cambia ligeramente en comparación con el incremento que sufre en la región de la aleta justo aguas arriba del tubo. Aunque el mezclado del fluido ha mejorado con el aumento de Re, el borde de ataque ha sufrido también una disminución de temperatura considerable que hace el incremento de Nu en el borde de ataque sólo marginal. Ese no es el caso de la región justo aguas arriba del tubo debido a que el mezclado ha aumentado mucho, por la aparición de un sistema de vórtices de herradura como el descrito en Romero-Méndez et al. (2000), y este incremento no es contrarrestado por un gran descenso de temperatura en esa región.

Figura 8. Variación del número de Nusselt en la superficie de la aleta para S = 0,190; k = 6700; D = 0,0112; Lc = 1,525. (a) Re = 180; (b) Re = 1310.

Las Figuras 9a y b) son ilustrativas del efecto de ubicar el tubo más cerca de uno de los bordes de la aleta. La temperatura del borde de ataque de la aleta disminuye cuando el tubo se mueve hacia el borde de salida de la aleta. Esto es obviamente debido al aumento de la distancia entre el tubo y el borde de ataque de la aleta. Las Figuras 10a y b muestran como varía Nu cuando el tubo se acerca a uno de los bordes de la aleta. Conforme el tubo se mueve hacia el borde de salida el valor de Nu del borde de ataque disminuye, pero el área de alta transferencia de calor aguas arriba del tubo es incrementada al mismo tiempo que se disminuye el área de la región de baja transferencia de calor localizada aguas abajo del tubo. Esto sugiere la posibilidad de un aumento del valor promedio de Nu por la simple razón de desplazar el tubo respecto a la aleta.

Figura 9. Variación de la temperatura de la superficie de la aleta para S = 0,190; k = 6700; D = 0,0112; Re = 630. (a) Lc = 1,575; (b) Lc = 1,475.

Figura 10. Variación del número de Nusselt en la superficie de la aleta para S = 0,190; k = 6700; D = 0,0112; Re = 630. (a) Lc = 1,575; (b) Lc = 1,475.

Conclusiones

En este trabajo se hizo uso de métodos numéricos para obtener los perfiles de temperatura y los valores del coeficiente adimensional de transferencia de calor (número de Nusselt) local sobre la superficie de un intercambiador de placas-aleta y tubos con conductividad finita en las aletas. Los parámetros que resultaron ser más críticos son los mismos que aparecen en la teoría clásica de superficies extendidas, es decir conductividad, espesor de aleta, longitud de la aleta y coeficiente convectivo de transferencia de calor; la diferencia es que aquí los valores locales de la temperatura aguas abajo y aguas arriba del tubo son muy diferentes debido a la notable diferencia del valor local del coeficiente convectivo de la transferencia de calor producto de la influencia de la hidrodinámica en la transferencia de calor.

Cuando la capacidad de las aletas para conducir calor es limitada, la gran disminución de temperatura de las aletas limita la capacidad de éstas para transferir calor, especialmente en la región cerca del borde de ataque de las aletas. Si la capacidad de las aletas para transferir calor es menor que la capacidad del fluido para transportar el calor, aparecerá una región de inversión de la transferencia de calor localizada cerca del borde de salida de la aleta y justo detrás de los tubos.

Conforme se incrementa el mezclado del fluido, producto del incremento del número de Reynolds, el borde de ataque de la aleta sufre un descenso considerable de temperatura que hace que el incremento de la cantidad de calor transferido en esa zona sea sólo marginal. Hay un notable incremento de la transferencia de calor en la región justo aguas arriba del tubo debido a que el incremento del mezclado no se ve contrarrestado por un gran descenso de la temperatura.

La temperatura en el borde de ataque disminuye conforme se mueve el tubo hacia el borde de salida. Esto es debido al incremento de la distancia entre el tubo y el borde de ataque de la aleta. Conforme se mueve el tubo hacia el borde de salida el valor del número de Nusselt en las inmediaciones del borde de ataque disminuye, pero el área de alta transferencia de calor aumenta con la consiguiente disminución de la región aguas abajo que es de baja transferencia de calor. Esta característica sugiere la posibilidad de incrementar el valor promedio del número de Nusselt al desplazar el tubo más cerca del borde de salida.

AGRADECIMIENTOS

Los autores agradecen el apoyo de la Universidad Autónoma de San Luis Potosí a través del Fondo de Apoyo a la Investigación.

REFERENCIAS

1. Bastani A, Fiebig M, Mitra NK (1992) Numerical studies of a compact fin-tube heat exchanger. En Roetzel W, Heggs PJ, Butterworth D (Eds) Design and Operation of Heat Exchangers. Springer Verlag. Berlin. pp. 154-163.        [ Links ]

2. Fiebig M, Grosse-Gorgemann A, Chen Y, Mitra NK (1995) Conjugate heat transfer of a finned tube Part A: heat transfer behavior and occurrence of heat transfer reversal. Numerical Heat Transfer, Part A, 28: 133-146.        [ Links ]

3. Haught A, Engelmann MS (1988) Numerical and experimental simulation for airflow and heating in a tube fin heat exchanger. Heat Transfer in Gas Turbine Engines and Three Dimensional Flows. Heat Transfer Division 103: 107-113.        [ Links ]

4. Romero-Méndez R, Sen M, Yang KT, McClain RL (2000) Effect of fin spacing on convection in a plate fin and tube heat exchanger. Internat. J. Heat and Mass Transfer 43: 39-51.        [ Links ]

5. Saboya FEM, Sparrow EM (1974) Local and average transfer coefficients for one-row plate-fin and tube heat exchanger configurations. ASME J. Heat Transfer 96: 265-272.        [ Links ]

6. Torikoshi K, Xi G, Nakazawa Y, Asano H (1994) Flow and heat transfer performance of a plate-fin and tube heat exchanger, first report: effect of fin pitch. Proc. Tenth Internat. Heat Transfer Conf. pp. 411-416.        [ Links ]

7. Valencia A, Fiebig M, Mitra NK (1996) Heat transfer enhancement by longitudinal vortices in a fin-tube heat exchanger element with flat tubes. ASME J. Heat Transfer 118: 209-211.        [ Links ]