Services on Demand
Journal
Article
Indicators
-
Cited by SciELO -
Access statistics
Related links
-
Similars in
SciELO
uBio
Share
Interciencia
Print version ISSN 0378-1844
INCI vol.29 no.10 Caracas Oct. 2004
Compuestos orgánicos volátiles en la atmósfera de la gran sabana. III: distribución de tamaño de los aerosoles de Formiato, Acetato, Piruvato y Oxalato
Milexi Pacheco y Eugenio Sanhueza
Milexi Pacheco. Ingeniero Químico, Universidad de Carabobo, Venezuela. Estudiante de Doctorado, Centro de Estudios Avanzados, Instituto Venezolano de Investigaciones Científicas (IVIC). e-mail: mipachec@ivic.ve
Eugenio Sanhueza. Doctor en Ciencias, Universidad de Chile. Investigador, IVIC. Dirección: Laboratorio de Química Atmosférica, Centro de Química, IVIC. Apartado 21827, Caracas 1020A, Venezuela. e-mail: esanhuez@quimica.ivic.ve
Resumen
El estudio se realizó en La Gran Sabana, Parque Nacional Canaima, básicamente en la Estación Científica de Parupa. Las partículas se recolectaron con muestreadores de bajo y alto volumen, estos últimos equipados con impactadores en cascada. La extracción de las partículas solubles en agua se realizó en equipo de ultrasonido y el análisis de los aniones orgánicos se hizo por cromatografía de iones. Los resultados indican que los aniones formiato, acetato, piruvato y oxalato son importantes componentes de los aerosoles atmosféricos de La Gran Sabana, cuyas concentraciones en Parupa son 24 ±15ppt, 44 ±54ppt, 4 ±2ppt y 31 ±15ppt, respectivamente. Estos niveles son similares a los reportados en otros lugares rurales del mundo. Por su diámetro medio de masa, el formiato (1,8µm) y el acetato (2,2µm) se encuentran entre las partículas gruesas (>1,5µm), en cambio la mayor fracción de piruvato (0,92µm) y oxalato (1,0µm) se encuentran entre las partículas finas (<1,5µm). En general, los ácidos orgánicos correspondientes deben producirse principalmente en la oxidación de compuestos orgánicos volátiles naturales, en la fase gaseosa, y posteriormente se incorporarían y/o pasarían a la fase particulada. Una menor proporción de estos ácidos en fase gaseosa y/o aniones en aerosoles podría provenir de emisiones biogénicas primarias (e.g., suelo, vegetación). El posible rol de estos compuestos, especialmente el oxalato, como núcleos de condensación de nubes, indica la importancia de continuar y profundizar la caracterización de los aerosoles orgánicos en la atmósfera continental tropical remota.
Summary
The study was performed in La Gran Sabana, Canaima National Park, basically at the Parupa Scientific Station. Particles were collected using low and high volume collectors, the latter equipped with cascade impactors. Water soluble compounds were extracted by ultrasound and analyzed by ion chromatography. Results indicate that the anions formiate, acetate, piruvate y oxalate are important components of La Gran Sabana atmospheric aerosols, with concentrations in Parupa of 24 ±15ppt, 44 ±54ppt, 4 ±2ppt y 31 ±15ppt, respectively. These levels are similar to the ones observed at other rural sites of the world. According to their average particle diameter, formiate (1.8µm) and acetate (2.2µm) are amongst the coarse particles (>1.5µm), whereas piruvate (0.92µm) and oxalate (1.0µm) ions are amongst the fine particles (<1,5µm). In general, the corresponding organic acids are likely produced by photooxidation of natural volatile organic compounds in gas phase, and then they would be incorporated and/or pass to the particulate phase. A minor proportion of the gaseous acids and/or aerosol anions could come from primary biogenic emissions (e.g., vegetation, soils). The possible role of these compounds, especially oxalate, as cloud condensation nuclei, indicates the importance to continue the characterization of these organic aerosols at the tropical continental remote atmosphere.
Resumo
O estudo realizou-se em "La Gran Sabana", Parque Nacional Canaima, basicamente na Estação Científica de Parupa. As partículas recolheram-se com aparelhos de baixo e alto volume, estes últimos equipados com impactadores em cascata. A extração das partículas solúveis em água realizou-se com equipamento de ultra-som e a análise dos ânions orgânicos se fez por cromatografia de íons. Os resultados indicam que os ânions formiato, acetato, piruvato e oxalato são importantes componentes dos aerossóis atmosféricos de "La Gran Sabana", cujas concentrações em "Parupa" são 24 ±15ppt, 44 ±54ppt, 4 ±2ppt e 31 ±15ppt, respectivamente. Estes níveis são similares aos apontados em outros lugares rurais do mundo. Por seu diâmetro médio de massa, o formiato (1,8µm) e o acetato (2,2µm) encontram-se entre as partículas grossas (>1,5µm), por outro lado a maior fração de piruvato (0,92µm) e oxalato (1,0µm) se encontram entre as partículas finas (<1,5µm). Em geral, os ácidos orgânicos correspondentes devem se produzir-se principalmente na oxidação de compostos orgânicos voláteis naturais, na fase gasosa, e posteriormente se incorporariam e/ou passariam à fase particulada. Uma menor proporção destes ácidos em fase gasosa e/ou ânions em aerossóis poderia provir de emissões biogênicas primárias (e.g., solo, vegetação). O possível rol destes compostos, especialmente o oxalato, como núcleos de condensação de nuvens, indica a importância de continuar e aprofundar a caracterização dos aerossóis orgânicos na atmosfera continental tropical remota.
PALABRAS CLAVES / Aniones Orgánicos Particulados / Atmósfera Tropical / Compuestos Orgánicos Volátiles / Núcleos de Condensación de Nubes /
Recibido: 18/05/2004. Aceptado: 08/09/2004.
Introducción
Las partículas son importantes componentes de la atmósfera, e intervienen activamente en la química y física de la atmósfera (e.g., formación de nubes, balance radiactivo). Los compuestos carbónicos contribuyen con una alta fracción a los aerosoles atmosféricos y son el componente mayoritario de los aerosoles provenientes de la quema de biomasa. Las partículas carbonáceas pueden absorber y dispersar la luz y así alterar la cantidad de radiación que llega a la superficie de la tierra, con un efecto directo sobre el clima. Además, mediciones recientes han confirmado que los aerosoles orgánicos son eficientes núcleos de condensación de nubes y consecuentemente afectan en forma indirecta el clima (Penner et al., 2001). Los ácidos carboxílicos son unas de las especies dominantes de los compuestos orgánicos encontrados en la atmósfera en una variedad de fases y contribuyen en una fracción importante (~25%) de los hidrocarburos no metánicos de la mezcla atmosférica (Khare et al., 1999). Estos ácidos han sido encontrados en los aerosoles urbanos, rurales, continentales remoto y marino (ver Tabla IV). Los ácidos dicarboxílicos son higroscópicos y han recibido atención debido a su potencial efecto en la formación de nubes; las sales sódicas de los ácidos dicarboxilicos son tan higroscópicas como el NaCl y el (NH4)2SO4.
En el primer artículo de esta serie sobre los compuestos orgánicos volátiles (COV) en La Gran Sabana, se presentaron sus concentraciones y su química atmosférica en fase gaseosa (Sanhueza et al., 2001). La segunda parte estuvo dedicada al estudio de los principales COV solubles en agua, i.e., HCHO, HCOOH y CH3COOH, presentes en las lluvias de la región (Sanhueza et al., 2003). En este artículo se estudian los COV presentes en los aerosoles de la región, haciendo énfasis en la distribución de tamaño de las partículas asociadas.
Mediciones de Campo
La Gran Sabana
El estudio se realizó en La Gran Sabana, Parque Nacional Canaima, básicamente en la Estación Científica de Parupa, Autoridad Gran Sabana, Corporación Venezolana de Guayana. El mapa de la región, con la ubicación de los lugares de muestreo se encuentra en artículos anteriores (Sanhueza et al., 2001, 2003). En breve, el Parque Nacional Canaima está ubicado en el extremo sudeste de Venezuela, en la Región Fisiográfica conocida como Tierras Altas de Guayana. Desde el punto de vista geológico se encuentra en el Escudo Guayanés. En su parte occidental, el parque está cubierto por selvas y en la parte oriental se encuentra la Gran Sabana, la cual se presenta como un mosaico complejo constituido por bosques, comunidades arbustivas y herbáceas, predominando la vegetación de sabana. Hidrográficamente pertenece a la Región de la Guayana Oriental, donde el principal recolector del drenaje natural es el Río Caroní. La temperatura media anual de la altiplanicie de la Gran Sabana (800-1500msnm) fluctúa entre 17 y 24oC y la precipitación varía entre 1500 y 4000mm por año. La precipitación anual promedio en Parupa es ~1515mm. Las temperaturas promedios son: mínima 20,3 ±0,9ºC; media 22,5 ±0,7oC y máxima 23,0 ±0,9ºC.
Recolección y análisis de las partículas
En Parupa las partículas se recolectaron con muestreadores de alto volumen (»1m3/min) equipados con impactadores en cascada de 5 etapas (Sierra, Modelo 230). En la Tabla I se dan los intervalos de tamaño colectados en las diferentes etapas. Tanto en las 5 etapas de impactación, como en la etapa final de filtración se utilizaron filtros de fibra de vidrio previamente tratados por calentamiento a 400ºC durante 2h, para eliminar los compuestos orgánicos. Los filtros tratados fueron almacenados envueltos en papel de aluminio. Después de la toma de la muestra, los filtros fueron envueltos en papel de aluminio y guardados en el refrigerador a 4ºC. El periodo de muestreo varió entre 7 y12 días.
En Parupa y en San Ignacio de Yuruani se utilizaron colectores de bajo volumen (»10L/min), equipados con filtros de teflón (47mm, 2µm, Gelman Zefluor) para la determinación de la composición química en las partículas suspendidas totales. Después de la recolección de las partículas, los filtros fueron guardados en cápsulas de Petri y almacenados a 4ºC. El periodo de muestreo varió entre 3 y12 días.
La extracción de los compuestos solubles se realizó en un equipo de ultrasonido durante 0,5h, utilizando agua destilada-desionizada a 40ºC. Los extractos fueron preservados con cloroformo para evitar la acción bacteriana, y almacenados a 4oC hasta el momento del análisis. Filtros de fibra de vidrio, de las etapas de impactación y filtración final, y de teflón sin muestras, fueron tratados de igual forma y utilizados como blancos.
El análisis de los aniones orgánicos formiato, acetato, piruvato y oxalato, se hizo por cromatografía de iones, utilizando un cromatógrafo DIONEX, modelo QIC, equipado con una columna separadora HPIC-AS4, una columna supresora de micro membrana para aniones y un detector de conductividad. El eluente empleado para el análisis de los ácidos fórmico, acético y piruvico fue Na2B4O7 (1,25mM), mientras que una mezcla de NAHCO3 (2,8mM) y Na2CO3 (2,5mM) fue utilizada en el caso del ácido oxálico. En ambos casos se utilizó ácido sulfúrico 5mM (formiato, acetato y piruvato) y 20mM (oxalato) como solución regeneradora. Los patrones de calibración fueron preparados a partir de las correspondientes sales de Na.
Resultados
En la Tabla II se presentan las concentraciones totales de los aniones orgánicos presentes en las partículas recolectadas en Parupa y Yuruani. En el caso de Parupa, se dan por separado los resultados de los muestreos de alto (AV) y bajo (BV) volumen, respectivamente. Para Yuruani solo se tienen muestreos de bajo volumen. En general, los resultados muestran que el compuesto más abundante es el formiato, seguido por el acetato, oxalato y piruvato. Esto concuerda con lo encontrado por Khwaja (1995) en Schenectady (área rural del estado de Nueva York, EEUU), único estudio en donde se han reportado estos cuatro aniones orgánicos. Las concentraciones de piruvato en las partículas >1,5µm estuvo generalmente por debajo del limite de detección, por lo que en los cálculos se utilizó la mitad de la concentración del estándar más bajo que puede ser evaluado con el integrador utilizado.
Los muestreos de AV y BV (Tabla II) revelan una concordancia razonable para los aniones acetato, piruvato y oxalato, pero en el caso del formiato las concentraciones obtenidas en la recolección con AV son sustancialmente más altas que las de BV. No se tiene una explicación para esto, sin embargo, se podrían hacer algunas especulaciones con el objeto de atacar este problema en investigaciones futuras. Es posible que el formiato recolectado por filtración en los filtros teflón (BV) se volatilice y se produzcan (artificialmente) concentraciones menores que las reales. Por otra parte, también es posible que el ácido fórmico tenga alguna afinidad por los filtros de fibra de vidrio (AV) y sea recolectado por éstos, produciéndose (artificialmente) concentraciones mayores de formiato que las reales. Tampoco se puede descartar que la discrepancia observada se deba a una mezcla de los dos procesos postulados. Sin embargo, en la discusión de los resultados (e.g., comparación con otros lugares del mundo, fracción fase-particulada/fase-gaseosa) parece quedar claro que las concentraciones encontradas con los filtros de teflón (BV) serían las más probables y/o correctas.
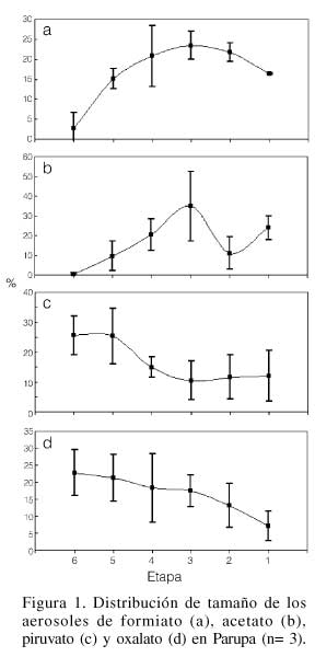
En la Figura 1 se aprecia la distribución de tamaño de las partículas asociadas a los cuatro compuestos estudiados. El piruvato y el oxalato se encuentran preferentemente en la fracción fina, en cambio los otros dos compuestos se encuentran en los aerosoles gruesos y/o grandes. En función de lo señalado arriba, la distribución obtenida para el formiato debería tomarse con precaución y en todo caso como algo preliminar, a pesar que está de acuerdo con otros estudios (Talbot et al., 1988).
En la Tabla III se dan las concentraciones encontradas en las fracciones fina (<1,5µm), gruesa (1,5-7,2µm) y grande (>7,2µm), calculadas utilizando las concentraciones de la Tabla II, incluyendo los muestreos de alto y bajo volumen, y la distribución de tamaño que se presenta en la Figura 1. Para el caso del formiato se da un intervalo de concentraciones en función a la discrepancia mencionada arriba. En la Tabla III también se presentan los diámetros medios de masa (DMM), calculados de representaciones gráficas del tipo log-probabilidad con eje x= % acumulativo en escala probabilística; eje y= log del diámetro de la partícula (Sanhueza et al., 1987).
Discusión
En la Tabla IV se resumen los resultados obtenidos en La Gran Sabana, junto con los resultados reportados en otros lugares del mundo. Para dar una visión comprehensiva en la Tabla se incluyen los estudios en todos los ambientes incluyendo las áreas urbanas. Para el formiato se da el intervalo obtenido en los muestreos de bajo y alto volumen.
Formiato y acetato (HCOO- y CH3COO-)
Como se mostró en artículo anterior (Sanhueza et al., 2003), al igual que en otras regiones remotas, los ácidos fórmico y acético son los principales contribuyentes a la acidez de la lluvia de la Gran Sabana. Esto muestra el importante papel que estos ácidos juegan en la atmósfera de la región estudiada. En general, debido a la alta volatilidad de estos compuestos, se espera que se encuentren principalmente en la fase gaseosa.
Como se puede apreciar en la Tabla IV, a nivel global, las concentraciones de acetato registradas en Parupa (44ppt) y Yuruani (57ppt) son del mismo orden que las medidas en otros lugares rurales del mundo. La concentración de ácido acético en fase gaseosa medida en Parupa (Ene/Feb 2000) estuvo en el intervalo 230-1000pptv (Sanhueza et al., 2001), por lo que la fracción en la fase particulada estaría entre 10 y 20%, lo que concuerda con lo reportado en otros estudios (Andreae et al., 1987; Norton, 1992; Khwaja, 1995; Baboukas et al., 2000).
En el caso del formiato, las concentraciones obtenidas con el equipo de alto volumen están muy por encima de las reportadas hasta el momento (ver Tablas II y IV), mientras que las de bajo volumen están, relativamente, dentro del rango encontrado a nivel mundial. La concentración en fase gaseosa de ácido fórmico en Parupa (Ene/Feb 2000) fue de ~500pptv. Si comparamos este valor con la concentración obtenida con los filtros de teflón (bajo volumen), se obtiene una fracción en fase particulada de ~10%. Esta distribución entre la fase gaseosa y la particulada de HCOO-part/HCOOHgas estaría de acuerdo con lo encontrado en otros estudios (Andreae et al., 1987; Norton, 1992; Khwaja, 1995; Baboukas et al., 2000), sugiriendo una vez más que probablemente las concentraciones "correctas" de formiato (ver sección de resultados) serían las obtenidas cuando se utilizaron filtros de teflón. Por todo esto, en el resumen solo se da la concentración obtenida con los filtros de teflón.
Debido a su alta volatilidad y baja higroscopicidad es poco probable que el HCOO- y el CH3COO- sirvan como centro de nucleación (Saxena e Hildemann, 1996). Por lo tanto, la presencia de éstos compuestos en la fase particulada se debería principalmente a su incorporación sobre las partículas ya existentes, desde la fase gaseosa. Esto está de acuerdo con la distribución de tamaño encontrada en este trabajo, la cual muestra una mayor concentración en las partículas gruesas (Figura 1), las cuales serían menos ácidas. En las partículas finas se encuentran los ácidos fuertes (e.g., sulfúrico, oxálico), los cuales en cualquier eventualidad expulsarían a los ácidos orgánicos débiles, mucho más volátiles, de éstas. Algo similar ocurre con las partículas de NO3- que se encuentran en las partículas gruesas (Sanhueza y Rondón, 1988). Una distribución similar fue encontrada por Talbot et al. (1988) en los aerosoles de un sitio en el este de Virginia.
Las fuentes de HCOOH y CH3COOH gaseoso en los ambientes "naturales" de Venezuela han sido discutidas anteriormente (e.g., Sanhueza et al., 1996a; 1996b; 2003). En breve, la vegetación y los suelos emiten estos ácidos, pero muy posiblemente la fuente natural más importante sería la oxidación de hidrocarburos biogénicos, especialmente el isopreno. Por lo tanto, como se señaló más arriba, el formiato y acetato que se encuentra en los aerosoles de La Gran Sabana provendrían primordialmente de la fase gaseosa. En la quema de biomas se emiten directamente partículas de formiato y acetato (Allen y Miguel, 1995); sin embargo, considerando que la emisión de acetato es mucho más alta que la de formiato (ver Tabla IV), se puede concluir que en el caso presente esta fuente sería poco relevante. Del análisis de los resultados de las lluvias, se llegó a la conclusión que el HCOOH y CH3COOH se incorporarían al agua de lluvia principalmente en las nubes (Sanhueza et al., 2003), por lo que es posible que aerosoles de formiato y acetato sean liberados cuando las nubes se evaporan y/o por la evaporación de las gotas durante la lluvia misma.
La actividad de las sales de formiato y acetato como núcleos de formación de nubes es incierta, debido a su baja higroscopicidad, pero las altas concentraciones encontradas hacen de éste un tema de investigaciones futuras, sobre todo cuando se consideran las relativamente bajas concentraciones de sulfato (datos no publicados) en la región. Una cuestión importante sería aclarar si esto aniones promueven la formación de nubes o si ellos provienen de la evaporación de las nubes.
Piruvato (CH3COCOO-)
El ácido pirúvico ha sido estudiado con especial interés debido a que sería producido, al igual que el ácido fórmico, en la oxidación del isopreno. Las mediciones mostraron una buena correlación entre los ácidos fórmico y pirúvico en fase gaseosa, con una relación [fórmico]/[pirúvico] de 10-30, lo cual está de acuerdo con el mecanismo de oxidación del isopreno (Andreae et al., 1987, 1988). En la fase particulada esta relación fue menor (2-10), debido a la menor presión de vapor del pirúvico con respecto al fórmico (Andreae et al., 1987). En el presente caso, cuando solo se usan los datos de formiato obtenidos con el colector de bajo volumen (filtros de teflón), la relación formiato/piruvato está razonablemente en el rango reportado en la literatura, tanto en Parupa (~5) como en Yuruani (~12).
En La Gran Sabana el piruvato es el anión orgánico menos abundante en los aerosoles determinados, lo que concuerda con lo encontrado en otros lugares del mundo (ver Tabla IV). Como lo muestra la Figura 1, este compuesto se encuentra preferentemente en las partículas finas, lo que sugiere una conversión gas-a-partícula. Esta característica estaría indicando su posible potencial como núcleo de condensación de nubes. Sin embargo, debido a su baja concentración, su importancia sería marginal cuando se le compara con el oxalato.
La fuente más probable del ácido pirúvico gaseoso, en la región estudiada, sería su producción secundaria en la atmósfera por oxidación del isopreno. Esta olefina juega un rol preponderante en la química de los COV en la atmósfera de La Gran Sabana (Sanhueza et al., 2001). Sin embargo, no se sabe prácticamente nada sobre posibles emisiones primarias de ácido pirúvico/piruvato por parte de la vegetación.
Oxalato (C2O4=)
La presencia de ácidos dicarboxílicos ha sido ampliamente estudiada en atmósferas contaminadas, donde representan uno de los mayores compuestos orgánicos presentes en los aerosoles (e.g., Kawamura y Kaplan, 1987; Kawamura e Ikushima, 1993). De estos ácidos el más abundante es el ácido oxálico. En las áreas no contaminadas (e.g., continental rural, marina) prácticamente las determinaciones se han limitado al ácido oxálico y los valores reportados se presentan en la Tabla IV. En la Tabla también se dan los niveles encontrados en las áreas urbanas, los cuales son sustancialmente más altos.
En las áreas urbanas la fuente principal de ácidos dicarboxílicos parece ser la emisión directa de los vehículos automotores; sin embargo, la producción secundaria por oxidación de ciclo-olefinas o di-olefinas podría ser significativa (Chebbi y Carlier, 1996). En particular, el oxalato podría formarse a partir del glioxal (CHO-CHO), el cual proviene de la foto-oxidación (en presencia de NOx) de los hidrocarburos aromáticos. El glioxal es destruido principalmente en fase gaseosa por fotólisis, produciéndose HCHO y CO (Plum et al., 1983), pero parte de éste puede pasar a los hidrometeoros, en donde se produciría el compuesto di-hidratado, CH(OH)2CH(OH)2, que al reaccionar con el radical OH acuoso produciría ácido oxálico (Chebbi y Carlier, 1996). Por otra parte, en la quema de biomasa, que ocurre primordialmente en las áreas rurales, se ha mostrado que se emiten partículas de oxalato (Allen y Miguel, 1995). No obstante, estas emisiones son sustancialmente más bajas que las correspondientes a las de acetato y formiato (ver final de la Tabla IV) y, en general, las quemas no serían una fuente significativa de aerosoles de oxalato (Andreae et al., 1998).
De acuerdo con los datos de la Tabla IV los niveles de oxalato medidos en La Gran Sabana se encuentran en el rango de concentraciones reportados para otros lugares rurales, son mas altos que en las áreas marinas o árticas, pero menores que en las ciudades. Al igual que lo encontrado en Schenectady, NY, EEUU, y en el océano Atlántico, las concentraciones de oxalato serían más bajas que las correspondientes al formiato y acetato.
En general, en comparación con la fase gaseosa, los ácidos bi-carboxilos están mayormente asociados con las partículas atmosféricas, consistentemente con el hecho que su presión de vapor es ~104 más baja que los ácidos mono-carboxilos (Khwaja, 1995). Por lo tanto, se podría especular que la concentración de ácido oxálico en fase gaseosa, en La Gran Sabana, seria sustancialmente más baja que la encontrada en los aerosoles (~25ppt).
En Parupa se observa una distribución bimodal (Figura 1), con predomio de la fracción fina. Esto concuerda con lo encontrado en las partículas marinas (Matsumoto et al., 1998; Baboukas et al., 2000), únicos datos disponibles. Las partículas finas provendrían de la conversión gas-a-partícula, propiciada por la relativamente baja presión de vapor de este ácido, en cambio las más grandes, se producen por la absorción del ácido gaseoso en las partículas gruesas, que son relativamente más básicas. Debido a su tamaño y características físico-químicas (i.e., volatilidad, higroscopicidad), la mayor parte de las partículas de oxalato podrían funcionar como núcleos de condensación de nubes.
Es difícil especular sobre las posibles fuentes del ácido oxálico en La Gran Sabana. Los niveles de hidrocarburos aromáticos son extremadamente bajos (Holzinger et al., 2001) para propiciar una formación secundaria a partir del glioxal. En general, se ha establecido que las quemas no son una fuente que afecte la química de la atmósfera regional. El hecho que las concentraciones sean más altas que en la atmósfera marina, apuntan hacia una fuente continental (primaria o secundaria), muy posiblemente la vegetación.
El posible rol del oxalato como un importante núcleo de condensación de nubes hace necesario emprender estudios para dilucidar la fuente del ácido oxálico en la atmósfera continental tropical remota, en donde la incidencia de partículas de sulfato es baja.
Conclusiones
Los aniones formiato, acetato, piruvato y oxalato son importantes componentes de los aerosoles atmosféricos de la Gran Sabana. Los niveles medidos son similares a los reportados en otros lugares rurales del mundo.
El formiato y el acetato se encuentran en las partículas gruesas (>1,5µm), en cambio la mayor fracción de piruvato y oxalato se encuentra en las partículas finas (<1,5µm).
En general, la formación de los ácidos orgánicos debe ocurrir principalmente durante la oxidación de compuestos orgánicos volátiles en la fase gaseosa, y posteriormente se incorporarían a la fase particulada. En particular, los ácidos fórmico y pirúvico se producirían por oxidación del isopreno. Una menor proporción de estos ácidos en fase gaseosa y/o aniones en aerosoles podría provenir de emisiones biogénicas primarias (e.g., suelo, vegetación).
El posible rol de estos compuestos como núcleos de condensación de nubes, especialmente el oxalato, indica la importancia de continuar y profundizar la caracterización de los aerosoles orgánicos en la atmósfera continental tropical remota.
AGRADECIMIENTOS
Los autores agradecen a Autoridad Gran Sabana (CVG) y al personal de la Estación Científica de Parupa por el valioso apoyo prestado, a Johnny Romero por su ayuda en la recolección de las muestras, y a Magaly Santana por su colaboración en los análisis de cromatografía. Los estudios en La Gran Sabana son financiados por la Fondo Nacional de Ciencia, Tecnología e Innovación (FONACIT) de Venezuela (Proyecto G-98001124).
REFERENCIAS
1. Allen AG, Miguel AH (1995) Biomass burning in the Amazon: Characterization of the ionic component of aerosols generated from flaming and smoldering rainforest and savannah, Environ. Sci. Tech. 29: 486-493. [ Links ]
2. Andreae MO, Talbot RW, Li SM (1987) Atmospheric measurements of pyruvic and formic acid. J. Geophys. Res. 92: 6635-6641. [ Links ]
3. Andreae MO, Talbot RW, Andreae TW, Harris RC (1988) Formic and acetic acids over Central Amazon region, Brazil: I Dry season. J. Geophys. Res. 93: 1616-1624. [ Links ]
4. Andreae MO, Andreae TW, Annegarn H, Beer J, Cachier H, Le Canut P, Elbert W, Maenhaut W, Salma I, Wienhold FG, Zenker T (1998) Airborne studies of aerosol emissions from savanna fires in southern Africa: 2. Aerosol chemical composition. J. Geophys. Res. 103: 32119-32128. [ Links ]
5. Baboukas ED, Kanakidou M, Mihalopoulos N (2000) Carboxylic acids in gas and particulate phase above the Atlantic Ocean. J. Geophys. Res. 105: 14459-14471. [ Links ]
6. Cachier H, Ducret J, Brémond MP, Yoboué V, Lacaux JP, Gaudichet A, Baudet J (1991) Biomass burning aerosols in a Savanna Region of the Ivory Coast. En Levine JS (Ed.) Global Biomass Burning: Atmospheric, Climatic and Biosphere Implications. Proceedings Chapman Conference. MIT Press, Cambridge, MA, EEUU. pp. 174-180. [ Links ]
7. Chebbi A, Carlier P (1996) Carboxylic acids in the troposphere, occurrence, sources, and sinks: A review. Atmos. Environ. 24: 4233-4249. [ Links ]
8. Holzinger R, Kleiss B, Donoso L, Sanhueza E (2001) Aromatic Hydrocarbons at Urban, Semi-urban, Rural and Remote Sites in Venezuela. Atmos. Environ. 35: 4917-4927. [ Links ]
9. Kawamura K, Kaplan IR (1987) Motor exhaust emissions as primary source for dicarboxylic acids in Los Angeles ambient air. Envir. Sci. Tech. 21: 105-110. [ Links ]
10. Kawamura K, Usukura K (1993) Distributions of low molecular weight dicarboxylic acids in the northern Pacific aerosol samples. J. Oceanogr. 49: 271-283. [ Links ]
11. Kawamura K, Ikushima K (1993) Seasonal changes in the distribution of dicarboxylic acids in the urban atmosphere. Environ. Sci. Technol. 27: 227-235. [ Links ]
12. Kawamura K, Kasukabe H, Barrie L (1996) Source and reaction pathway of dicarboxylic acids, ketoacids and dicarbonyls in Artic aerosols: One year of observation. Atmos. Environ. 30: 1709-1722. [ Links ]
13. Khare P, Kumar N, Satsangi GS, Kumari KM, Srivastava SS (1998) Formate and acetate in particulate matter and dust fall at Dayalbagh, Agra (India). Chemosphere 36: 2993-3002. [ Links ]
14. Khare P, Kumar N, Kumari KM, Srivastava SS (1999) Atmospheric formic and acetic acids: An overview. Rev. Geophys. 37: 227-248. [ Links ]
15. Khwaja HS (1995) Atmospheric concentrations of carboxylic acids and related compounds at a semiurban site. Atmos. Environ. 29: 127-139. [ Links ]
16. Li SM, Winchester JW (1989) Geochemistry of organic and inorganic ions of late winter Arctic aerosols. Atmos. Environ. 23: 2401-2415. [ Links ]
17. Li SM, Winchester JW (1993) Water soluble organic constituents in arctic aerosols and snow pack. Geophys. Res. Lett. 20: 45-48. [ Links ]
18. Limbeck A, Puxbaum H, Otter L, Scholes MC (2001) Semivolatile behaviour of dicarboxylic acids and other polar organic species at a rural background site (Nylsvley, RSA). Atmos. Environ. 35: 1853-1862. [ Links ]
19. Matsumoto K, Nagao I, Tanaka H, Miyaji H, Lida T, Ikebe Y (1998) Seasonal characteristics of organic and inorganic species and their size distributions in atmospheric aerosols over the northwest Pacific Ocean. Atmos. Environ. 32: 1931-1946. [ Links ]
20. Norton RB (1992) Measurements of gas phase formic and acetic acids at the Mauna Loa, Observatory, Hawaii during the Mauna Loa Observatory photochemistry experiment 1988. J. Geophys. Res. 97: 10.389-10.393. [ Links ]
21. Norton RB, Roberts JM, Huebert BJ (1983) Tropospheric Oxalate. Geophys. Res. Lett. 10: 517-520. [ Links ]
22. Penner JE, Andreae MO, Annegan H, Barrie L, Feichter J, Hegg D, Jayaraman A, Leaitch R, Murphy D, Nganga J, Pitari G (2001) Aerosols, their direct and indirect effects. En Climate Change 2001. The Scientific Basis. Cambridge University Press. Cambridge, RU?? pp 289-348. [ Links ]
23. Plum CN, Sanhueza E, Atkinson R, Carter WPL, Pitts JNJr (1983) OH radical rate constants and photolysis rates of a-Dicarbonyls. Environ Sci. Technol. 17: 479-484. [ Links ]
24. Sanhueza E, Rondón A (1988) Particle Size Distribution of Inorganic Water Soluble Ions in the Venezuelan Savannah During Burning and non Burning Periods. J. Atmos. Chem. 7: 369-388. [ Links ]
25. Sanhueza E, Rondón A, Romero J (1987) Airborne Particles in the Venezuelan Savannah During Burning and non Burning Periods. Atmos. Environ. 21: 2227-2231. [ Links ]
26. Sanhueza E, Figueroa L, Santana M (1996a) Atmospheric formic and acetic acids in Venezuela. Atmos. Environ. 30: 1861-1873. [ Links ]
27. Sanhueza E, Santana M, Trapp D, de Serves C, Figueroa L, Romero R, Rondón A, Donoso L (1996b) Field measurement evidences for an atmospheric chemical source of formic and acetic acids in the tropics. Geophys. Res. Lett. 23: 1045-1048. [ Links ]
28. Sanhueza E, Holzinger R, Donoso L, Santana M, Fernández E, Romero J (2001) Compuestos orgánicos volátiles en la atmósfera de La Gran Sabana. I: Concentraciones y química atmosférica. Interciencia 26: 597-605. [ Links ]
29. Sanhueza E, Alfonzo Y, Santana M (2003) Compuestos orgánicos volátiles en la atmósfera de La Gran Sabana. II: HCHO, HCOOH y CH3COOH en lluvias. Interciencia 28: 29-35. [ Links ]
30. Saxena P, Hildemann LM (1996) Water soluble organics in atmospheric particles: A critical review of literature and application of thermodynamics to identify candidate compounds. J. Atmos. Chem. 24: 57-109. [ Links ]
31. Sempéré R, Kawamura R (1994) Comparative distribution of dicarboxylic acids and related polar compounds in snow, rain and aerosols from urban atmosphere. Atmos. Environ. 28: 449-459. [ Links ]
32. Sousa SR, Vasconcellos PC, Carvalho LRF (1999) Low molecular weight carboxylic acids in an urban atmosphere: Winter measurements in Sao Paulo City, Brazil. Atmos. Environ. 33: 2563-2574. [ Links ]
33. Talbot RW, Beecher KM, Harris RC, Browell EV, Gregory GL, Sebacher DI, Beck SM (1986) Distribution and geochemistry of aerosols in the tropical North Atlantic atmosphere: Relationship to Sahara dust. J. Geophys. Res. 91: 5173-5182. [ Links ]
34. Talbot RW, Beecher KM, Harris RC, Cofer III WR (1988) Atmospheric geochemistry of formic and acetic acids at a mid-latitude temperate site. J. Geophys. Res. 93: 1638-1652. [ Links ]
35. Talbot RW, Vijgen AS, Harris RC (1992) Soluble species in the Artic summer troposphere: Acidic gases, aerosols, and precipitation. J. Geophys. Res. 97: 16,531-16,543. [ Links ]
36. Yao X, Fang M, Chan ChK (2002) Size distribution and formation of dicarboxylic acids in atmospheric particles. Atmos. Environ. 36: 2099-2107. [ Links ]

















