Services on Demand
Journal
Article
Indicators
-
Cited by SciELO -
Access statistics
Related links
-
Similars in
SciELO
uBio
Share
Interciencia
Print version ISSN 0378-1844
INCI vol.29 no.11 Caracas Nov. 2004
Aplicación del análisis r/s de Hurst para estudiar las propiedades fractales de la precipitación en Venezuela
Isidro Rafael Amaro, Jhonny R Demey y Raúl Macchiavelli
Isidro Rafael Amaro. Doctor en Estadística, Universidad de Salamanca, España. Profesor, Facultad de Ingeniería, Universidad Central de Venezuela. Núcleo de Cagua. Cagua 2122. Venezuela. e-mail: amaror@hotmail.com
Jhonny R Demey. Master en Estadística, Universidad Central de Venezuela. Bioestadístico, Centro de Biotecnología, Fundación Instituto de Estudios Avanzados (IDEA), Venezuela. Dirección: Apartado 4521. Maracay, 2101. Venezuela. e-mail: jdemey@reacciun.ve
Raúl Macchiavelli. Ph.D. en Estadística, Penn State University, EEUU. Profesor, Departamento de Agronomía y Suelos, Colegio de Ciencias Agrícolas, Recinto Universitario de Mayagüez, Universidad de Puerto Rico. e-mail: raul_macchiavelli@cca.uprm.edu
Resumen
Este trabajo presenta una aplicación del análisis R/S de Hurst para estudiar las propiedades fractales de la precipitación en Venezuela. Se utilizaron series anuales de precipitación del período 1921-2000 de 10 estaciones climatológicas. Los resultados muestran que las series de precipitación se ajustan a una distribución fractal. Se obtuvieron valores de la dimensión fractal D en el intervalo 1,1886-1,5903, con un valor medio de D= 1,32652 ±0,0395; similares a los obtenidos en estudios previos. La relación R/S sugiere que la mayoría de las series estudiadas tienen persistencia a largo plazo. Estos resultados son importantes y facilitan la predicción de cambios climáticos para diferentes escalas en Venezuela.
Summary
This work presents an application of rescaled range analysis (R/S) to study the fractal properties of precipitation in Venezuela. Data were collected from ten weather stations, for the period 1921-2000; annual precipitation series were used. The results show that the precipitation series fit a fractal distribution. Values of D lie in the range 1.1886-1.5903 with a mean of D= 1.32652 ±0.0395, in accordance with those obtained in previous studies. The behavior of the R/S ratio suggests long-term persistence in records of precipitation. These results are important in climatic studies, particularly in the prediction of climatic records.
Resumo
Este trabalho apresenta uma aplicação da análise R/S de Hurst para estudar as propriedades fractais da precipitação na Venezuela. Utilizaram-se séries anuais de precipitação do período 1921-2000 de 10 estações climatológicas. Os resultados mostram que as séries de precipitação se ajustam a uma distribuição fractal. Se obtiveram valores da dimensão fractal D no intervalo 1,1886 -1,5903, com um valor médio de D=1,32652 ± 0,0395; similares aos obtidos em estudos prévios. A relação R/S sugere que a maioria das séries estudadas têm persistência a longo prazo. Estes resultados são importantes e facilitam a predição de mudanças climáticas para diferentes escalas na Venezuela.
PALABRAS CLAVES / Distribución Fractal / Persistencia / Precipitación / R/S de Hurst / Venezuela /
Recibido: 07/04/2004. Modificado: 27/09/2004. Aceptado: 29/09/2004.
Introducción
La precipitación es uno de los fenómenos climáticos con mayor variabilidad y comportamiento aleatorio. En las zonas tropicales las series de precipitación son irregulares, con periodos largos de comportamiento similar, de diferente duración y persistencia significativa a largo plazo. Este comportamiento es característico debido a los errores aleatorios sistemáticos en las series (Mandelbrot y Wallis, 1969; McGregor y Nieuwolt, 1998).
La persistencia a largo plazo es uno de los factores más importantes para caracterizar el patrón de una serie de precipitación, debido a que ésta es una variable con la propiedad de memoria larga donde la dependencia temporal persiste aún entre observaciones distantes (Montanari et al., 1996). Estas series pueden ser caracterizadas por patrones cíclicos diferentes pero no periódicos. Mandelbrot (1982), Turcote (1992) y Hall y Wolff (1995) señalan que estos procesos de memoria larga tienen dimensión fractal.
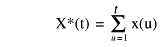
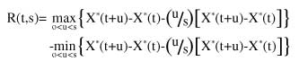
Una de las pruebas más ampliamente usada para determinar la dimensión fractal de una serie temporal dada es el análisis R/S introducido por Hurst (1951,1956). El estadístico R/S es el cociente entre el rango de las sumas parciales de las desviaciones de las medias de una serie de tiempo y la desviación estándar. Para un vector X(t) que contiene T observaciones espaciadas uniformemente en el tiempo desde t=1 hasta t=T, se define X*(t) como

con varianza muestral dada por

para s observaciones. R(t,s) se calcula como

y el estadístico R/S se obtiene de R(t,s) / S(t,s).
Este análisis es robusto en el sentido de que su comportamiento esta influenciado solamente por la persistencia a largo plazo, detecta ciclos no periódicos aún cuando éstos tengan longitud mayor o igual al período muestral en estudio y además es un método sensible para detectar correlaciones a largo plazo en procesos aleatorios. Mandelbrot y Wallis (1969) y Mandelbrot (1975) indican que el análisis R/S también permite deducir que muchos fenómenos naturales no son procesos aleatorios independientes, pero tienen correlación a largo plazo significativa y el R/S » (lag)H, donde lag es un periodo de tiempo dado y H es el llamado exponente de Hurst. En general, el exponente de Hurst toma valores en el rango 0£ H £1.
Mandelbrot (1982) define una distribución fractal como aquella en la cual el número de objetos N con tamaño característico mayor que r, se relacionan según la ecuación N = Cr-D, donde C es una constante de proporcionalidad y D es un exponente de similaridad o dimensión fractal. También indica que si el exponente de Hurst esta en el intervalo 0,5<H<1,0 se puede relacionar con el exponente de similaridad, según la relación D=2-H, lo cual implica que la dimensión fractal D es tal que se encuentra en el intervalo1,0<D<1,5. Esto sugiere que aunque las observaciones estén suficientemente distantes unas de otras en el tiempo, no son estadísticamente independientes, una característica de las variables climáticas.
Diferentes autores han utilizado el análisis R/S para detectar persistencia a largo plazo en variables geofísicas (Mandelbrot y Wallis, 1969; Lovejoy y Schertzer, 1983; Lovejoy y Mandelbrot, 1985; Fluegeman y Snow, 1989; Bodri, 1994; Oñate, 1997; Mazzarella, 1999 y Tomsett y Toumi, 2001).
Este trabajo presenta la aplicación del análisis R/S de Hurst para estudiar las propiedades fractales de series anuales de precipitación en Venezuela, a través de la comprensión de su estructura de correlación.
Metodología
Se utilizaron series anuales de precipitación del período 1921-2000 de 10 estaciones climatológicas del Servicio Meteorológico de la Fuerza Aérea Venezolana (Tabla I). Para probar la homogeneidad de los registros se realizó una prueba de las rachas y se utilizó como criterio para rechazarla que p<0,1 (Thom, 1966). La tendencia en las series fue examinada a través de la prueba de Mann-Kendall (Salmi et al., 2002).
El exponente de Hurst fue calculado para cada estación climatológica utilizando el análisis R/S descrito. Cada serie anual de precipitación con T= 80 años de observaciones, se descompuso en intervalos de amplitud temporal determinada s y se calculó el cociente normalizado, R/S, entre el rango muestral R(t,s) y la desviación estándar muestral S(t,s). Este procedimiento se repitió para valores de s entre 5 y 25 años uniformemente incrementados de uno en uno, valores de s entre 25 y 50 años uniformemente incrementados de 2 en 2 y valores de s mayores de 50 años incrementados de 3 en 3. Estos valores de s son considerados representativos para las series de precipitación. Mandelbrot y Wallis (1969) indican que si la exploración se hace sobre un mismo número de puntos, entonces el promedio de los intervalos más pequeños lleva a promediar sobre un número de puntos mayor y si se procede sobre el mismo número de intervalos, los puntos más próximos al inicial se cuentan más veces.
El exponente de Hurst será la pendiente de la línea recta obtenida al graficar el log(R/S) versus el log(s), a esta representación gráfica se la llama "diagrama de Pox". Con los valores de H, se calculó la dimensión fractal por estación. Para la prueba de Mann-Kendall fue utilizada la aplicación bajo Excel® makesens® (Salmi et al., 2002), el calculo del cociente R/S fue realizado utilizando rutinas desarrolladas por los autores bajo MATLAB®versión 5.1, para las pruebas de las rachas, el cálculo de la pendiente y los diagramas de Pox fue utilizado InfoStat ver. 1.6 (InfoStat, 2002).
Resultados y Discusión
La Tabla II muestra los estadísticos descriptivos por estación, los resultados de la prueba de homogeneidad y el análisis de la tendencia de las series. Todas las series utilizadas pueden ser consideradas homogéneas (p>0,1); únicamente la estación Mérida-Aeropuerto se aleja moderadamente del valor mínimo de p fijado para rechazar la homogeneidad. Estos resultados permiten descartar la presencia de errores aleatorios sistemáticos y garantizan la confiabilidad de la serie. Los mayores coeficientes de variación están asociados a las estaciones climatológicas con menor precipitación anual. A través de la prueba de Mann-Kendall, son detectables tendencias negativas para las estaciones Ciudad Bolívar-Aeropuerto, Coro-Aeropuerto, Mérida-Aeropuerto, San Fernando de Apure-Aeropuerto y Trujillo-El Liceo, y tendencias positivas para las estaciones: Barcelona-Aeropuerto, Barquisimeto-Base Aérea, Maracaibo-Aeropuerto, Maracay-Base Aérea Sucre y Maturín-Aeropuerto. Sin embargo solo son estadísticamente significativas (p<0,05) Maracaibo-Aeropuerto y Maturín-Aeropuerto.
Las Figuras 1a-j muestran la relación entre log(R/S) y log(s) para cada estación. En todos los casos el ajuste lineal fue significativo, es decir, la pendiente de la línea recta obtenida al ajustar las dos variables es el exponente de Hurst. Con excepción de la estación San Fernando de Apure-Aeropuerto, en el resto de las estaciones se pueden observar cambios en la pendiente para diferentes lapsos temporales. Las Figuras 1a y d, estaciones Barcelona-Aeropuerto y Coro-Aeropuerto, respectivamente, muestran dos cambios bruscos, el primero para el lapso de s= 16 y el segundo para el lapso de s= 36. La estación Ciudad Bolívar-Aeropuerto presenta un cambio en el lapso s= 20, el resto de las estaciones presentan cambios para el lapso s= 36. Mandelbrot y Wallis (1969), atribuyen el primero de los cambios bruscos a fenómenos asociados con la periodicidad de la precipitación y el segundo a elementos periódicos en la actividad solar. Sin embargo, la presencia de elementos periódicos no altera la validez de la interpretación de los diagramas de Pox, ya que los resultados del ajuste garantizan que cualquier conclusión que se realice sobre los diagramas de Pox obtenidos cumple con los supuestos de Hurst.
La Tabla III muestra los valores del exponente de Hurst (H) y la dimensión fractal (D) por estación climatológica. El valor medio obtenido para D = 1,3652 ±0,0395 es similar a los obtenidos por Mandelbrot y Wallis (1969), Bodri (1994), Oñate (1997) y Tomsett y Toumi (2001), indicando que las series de precipitación estudiadas muestran persistencia a largo plazo, la mayor persistencia se observa en la estación San Fernando de Apure-Aeropuerto H = 0,8114. En el caso Ciudad Bolívar-Aeropuerto y Maracay-Base Aérea Sucre, los valores de la dimensión fractal están fuera del intervalo 1,0<D<1,5, indicando antipersistencia, es decir, las series tienden a oscilar de modo más errático, se trata de un sistema ergódico.
Estos resultados corroboran que la precipitación anual en Venezuela es un fenómeno que puede ser caracterizado a través de su dimensión fractal. En términos prácticos, el estudio contribuye a la estimación de fenómenos hidrológicos asociados a la variabilidad de la precipitación y la interpolación de cambios climáticos independientemente de la escala.
REFERENCIAS
1. Bodri L (1994) Fractal analysis of climatic data: Mean annual temperature records in Hungary. Theor. Appl. Climatol. 49: 53-57. [ Links ]
2. Fluegeman RH, Snow RS (1989) Fractal analysis of long-range paleoclimatic data: oxygen isotope record of Pacific core V28-239. Pageoph. 131: 307-313. [ Links ]
3. Hall P, Wolff RCI (1995) On the strength of dependence of a time series generated by a chaotic map. J Time Series Anal. 16: 571-583. [ Links ]
4. Hurst HE (1951) Long-term storage capacity of reservoirs. Trans. Am. Soc. Civil Eng. 116: 770-880. [ Links ]
5. Hurst HE (1956) Methods of using long-term storage in reservoirs. Part 1. Proc. Inst. Civ. Eng. Part I. 519 pp. [ Links ]
6. Infostat (2002) InfoStat software estadístico. Versión 1.6. Córdoba, Argentina. [ Links ]
7. Lovejoy S, Mandelbrot BB (1985) Fractal properties of rain, and a fractal model. Tellus 37A: 209-232. [ Links ]
8. Lovejoy S, Schertzer D (1983) Evidence of a 40,000 years scaling regime in climatological temperatures. En Int. Meet. on Statistical Climatology. Lisboa, Portugal. pp. 16.1.1-16.1.5. [ Links ]
9. Mandelbrot BB (1975) Les objectes fractals:forme, hasard et dimension. Flammarion. París, Francia. 187 pp. [ Links ]
10. Mandelbrot BB (1982) The fractal geometry of nature. Freeman. Nueva York, EEUU. 461 pp. [ Links ]
11. Mandelbrot BB, Wallis JR (1969) Some long-run properties of geophysical records. Water Resources Res. 5: 321-340. [ Links ]
12. Mazzarella A (1999) Multifractal dynamic rainfall processes in Italy. Theor. Appl. Climatol. 63: 73-78. [ Links ]
13. McGregor GR, Nieuwolt S (1998) Tropical climatology: an introduction to the climates of the low latitudes. 2nd ed. Wiley. Nueva York, EEUU. 339 pp. [ Links ]
14. Montanari A, Rosso R, Taqqu MS (1996) Some long-run properties of rainfall records in Italy. J. Geophys. Res. 101(D23): 29431-29438. [ Links ]
15. Oñate JJ (1997) Fractal analysis of climatic data: annual precipitation records in Spain. Theor. Appl. Climatol. 56: 83-87. [ Links ]
16. Salmi T, Anttila AMP, Ruoho-Airola T, Amnell T (2002) Detecting trends of annual values of atmospheric pollutants by the Mann-Kendall test and Sens slope estimates - the Excel template application makesens. Publications on air quality Nº31. Finnish Meteorological Institute. Helsinki, Finlandia. 35 pp. [ Links ]
17. Thom HCS (1966) Some methods of climatological analysis. Technical Note Nº81. World Meteorological Organization. Ginebra, Suiza. 53 pp. [ Links ]
18. Tomsett AC, Toumi R (2001) Annual persistence in observed and modelled UK precipitation. Geophys Res Lett. 28: 3891-3894. [ Links ]
19. Turcote DL (1992) Fractals and Chaos in Geology and Geophysics. Cambridge University Press. Cambridge, RU. 221 pp. [ Links ]
















