Services on Demand
Journal
Article
Indicators
-
Cited by SciELO -
Access statistics
Related links
-
Similars in
SciELO
uBio
Share
Interciencia
Print version ISSN 0378-1844
INCI vol.30 no.2 Caracas Feb. 2005
CONVECCIÓN DE CALOR EN EL FLUJO DE FLUIDOS VISCOSOS A TRAVÉS DE UN LECHO DE EMPAQUE METÁLICO
Luis Patiño Carrillo
Luis Patiño Carrillo. Ingeniero Mecánico, Universidad Simón Bolívar, Venezuela. M.Sc. en Ingeniería Mecánica, Universidad de Oriente (UDO), Venezuela. Profesor Investigador, Centro de Investigación de Termofluidodinámica y Mantenimiento (CTYM), Escuela de Ingeniería y Ciencias Aplicadas, UDO. Dirección: Departamento de Mecánica, UDO. Vía alterna Barcelona-Puerto La Cruz, Edo. Anzoátegui, Venezuela. e-mail: lpatino@.udo.edu.ve
Resumen
Se presenta una metodología teórico-experimental para determinar los coeficientes de convección intersticial de calor promedio en el flujo de aceite a través de un lecho de empaque metálico donde el fluido no está en equilibrio térmico con la fase sólida. Los coeficientes de transferencia de calor se obtienen a través del Single Blow Transient Method, combinando los resultados experimentales en un banco de ensayo con las soluciones numéricas del modelo matemático propuesto. El sistema de ecuaciones diferenciales parciales generado en el modelo matemático es resuelto a través de una metodología numérica basada en el método de volúmenes finitos. Este modelo numérico fue construido en el software de la Dinámica de los Fluidos Computacional CFX 4.3TM y se desarrolló en coordenadas cilíndricas axisimétricas usando un esquema de diferencias centrales para aproximar los términos difusivos, un esquema híbrido para los términos convectivos y un esquema totalmente implícito para implementar el régimen transitorio. Las pruebas experimentales y las simulaciones numéricas se realizaron para diferentes valores de velocidad superficial del fluido a la entrada del lecho y para diferentes valores de porosidad del medio, obteniéndose que los números de Nusselt dependen en gran escala de los números de Reynolds y la porosidad del medio, concordando satisfactoriamente con los resultados de investigaciones similares.
Summary
A numerical-experimental methodology is presented to determine the interstitial heat transfer coefficients in the oil flow through a metallic packed bed where the fluid is not in thermal balance with the solid phase. The heat transfer coefficients are obtained through the Single Blow Transient Method, combining the experimental results in a test equipment with the numerical solutions of the proposed mathematical model. The system of partial differential equations generated in the mathematical model is solved through a numerical methodology based on the finite volume method. This numerical model was constructed in the software of Computational Fluid Dynamics CFX 4.3TM and was developed in cylindrical coordinates, using a scheme of central differences to approximate the diffusive terms, a hybrid scheme for the convective terms and a totally implicit scheme to implement the transient state. The experimental tests and the numerical solutions were satisfactory for different values of superficial speed of the fluid at the entrance to the bed and for different porosity values, obtaining that the Nusselt numbers depend in great scale on the Reynolds numbers and the porosity of the media, agreeing with the results of similar investigations.
Resumo
Apresenta-se uma metodologia teórico-experimental para determinar os coeficientes de convecção intersticial de calor médio no fluxo de óleo através de um leito de empaque metálico onde o fluido não está em equilíbrio térmico com a fase sólida. O coeficiente de transferência de calor se obtém através do Single Blow Transient Method, combinando os resultados experimentais em um banco de ensaio com as soluções numéricas do modelo matemático proposto. O sistema de equações diferenciais parciais, gerado no modelo matemático é resolvido através de uma metodologia numérica baseada no método de volumes finitos. Este modelo numérico foi construído no software da Dinâmica dos Fluidos Computacional CFX 4.3TM e se desenvolveu em coordenadas cilíndricas assimétricas usando um esquema de diferenças centrais para aproximar os termos difusivos, um esquema híbrido para os termos convectivos e um esquema totalmente implícito para implementar o regime transitório. As provas experimentais e as simulações numéricas se realizaram para diferentes valores de velocidade superficial do fluido à entrada do leito e para diferentes valores de porosidade do meio, obtendo-se que os números de Nusselt dependem em grande escala dos números de Reynolds e a porosidade do meio, concordando satisfatoriamente com os resultados de investigações similares.
Palabras Clave / Convección / Lechos de Empaque / Medios Porosos / Transferencia de Calor /
Recibido: 18/08/2003. Modificado: 21/01/2005. Aceptado: 24/01/2005.
El flujo de fluidos a través de lechos de empaque tiene múltiples aplicaciones industriales, entre las cuales se pueden citar la ingeniería de yacimientos de agua (acuíferos), de petróleo y de gas, los procesos de separación (como la adsorción), diseño de reactores químicos, sistemas geofísicos y geotérmicos, enfriamientos de equipos electrónicos, diseño y análisis de intercambiadores de calor tipo regeneradores, y otros (Bear, 1976). En vista de ello, se han desarrollado tecnologías que han permitido explicar el comportamiento físico de estos problemas.
Acerca del flujo de fluidos no isotérmicos a través de medios porosos hay numerosas publicaciones recientes, tanto en el área de modelado teórico como trabajos experimentales, entre las que cabe citar el modelado teórico de fenómenos de transporte en medios porosos de Vafai y Tien (1981). Estos autores usaron un modelo no-darciano para estudiar los efectos inerciales y de las fronteras en medios porosos. El estudio de la convección forzada en medios porosos con los efectos de flujo inercial, dispersión térmica, porosidad variable y fricción de Brinkman (Brinkman, 1947) se presenta en los trabajos de Vafai et al (1985), Beckerman y Viskanta (1987), Cheng y Zhu (1987), y Renken y Poulikakos (1988). En las investigaciones de Koch y Brady (1985) y Koch et al. (1989), se estudió la dispersión térmica en medios porosos, obteniendose expresiones matemáticas del tensor de dispersión.
Alazmi y Vafai (2000) presentaron un estudio del transporte de energía térmica a través de varios modelos de transporte y estudian el efecto que tienen la porosidad, la dispersión térmica y el régimen en desequilibrio térmico sobre la transferencia de calor en medios porosos. Wu y Hwang (1998) estudiaron la transferencia de calor en canales porosos usando el Single Blow Transient Method (Howard, 1964) combinado con un modelo térmico no equilibrado de dos ecuaciones y concluyeron que los parámetros que más afectan a la transferencia de calor son el número de Reynolds y la porosidad del medio. En un trabajo publicado por Hwang et al. (2002) se presenta una metodología numérico-experimental para determinar los coeficientes intersticiales de transferencia de calor de un sistema poroso constituido por aire como fluido y una esponja de aluminio como medio poroso donde la fase fluida no está en equilibrio térmico con la fase sólida y el sistema está en régimen transitorio. En este trabajo los autores determinaron estos coeficientes de transferencia de calor con ayuda del Single Blow Transient Method, combinando los resultados experimentales provenientes de un banco de ensayo con la solución numérica de un modelo matemático constituido por dos ecuaciones diferenciales parciales, la ecuación de la energía de la fase fluida y la ecuación de la energía de la fase sólida. Recientemente, Patiño y Espinoza (2004) presentaron los resultados del cálculo de los coeficientes de transferencia de calor en un sistema constituido por agua como fluido, y un lecho de empaque constituido por esferas de acero.
En el presente trabajo se presenta una metodología teórico-experimental para determinar los coeficientes fílmicos de transferencia de calor promedio en el flujo de aceite SAE 50 a través de un lecho de empaque donde el fluido no está en equilibrio térmico con la fase sólida. La relación de conductividades térmicas entre el aceite y el lecho de empaque de acero es de aproximadamente 0,0022. Los coeficientes de convección de calor se obtienen a través del Single Blow Transient Method (Liang y Yang, 1975), combinando los resultados experimentales que se obtienen en un banco de ensayo con las soluciones numéricas del modelo matemático propuesto.
Equipo y Procedimiento Experimental
Equipo experimental
La Figura 1 muestra una representación esquemática del equipo utilizado para realizar las pruebas experimentales que permiten calcular los coeficientes de transferencia de calor referenciados. El mismo consta fundamentalmente de cuatro partes principales:
Sistema de bombeo y transporte de líquido. Está constituido por una bomba centrífuga de ½HP que transporta el aceite por medio de un sistema de tuberías de acero de ¾ de diámetro desde un tanque de almacenamiento hasta otro receptor, pasando a través de la sección de pruebas. El aceite en el tanque de almacenamiento es calentado hasta la temperatura deseada por medio de un par de resistencias eléctricas de 1200W.
Sección de pruebas. Está constituida por un conducto de acero de sección transversal constante y circular de 2'' de diámetro y una longitud de 22,5cm, conectado al sistema de tuberías por intermedio de bridas. Esta sección está aislada térmicamente y en su interior se encuentra colocado el medio poroso.
Medio poroso. Para modelar el medio poroso se utilizaron esferas de acero al carbono de densidad 7840kg/m3, conductividad térmica 50W/mK y calor específicico 460J/kgK. La porosidad del medio fue evaluada utilizando la expresión f= (vt-vs)/vt, donde vt es el volumen total de la sección de pruebas y vs el volumen ocupado por el sólido. La estrategia planteada para generar medios porosos con diferentes porosidades fue utilizar diferentes diámetros de partículas esféricas. La Tabla I muestra los diámetros de las esferas usadas y las correspondientes porosidades generadas con dichos diámetros.
Sistema de adquisición de datos. Está constituido por dos sensores diferenciales de presión y dos sensores de temperatura. Uno de los sensores de presión está ubicado en la placa orificio concéntrica (cuya función es determinar el flujo másico de aceite), y el otro en la entrada y salida de la sección de pruebas; ambos son transductores electrónicos de presión diferencial (transductores capacitivos), modelo 823DP serie D (marca Armfield), los cuales permiten lecturas en un rango que abarca desde -36 a 280kPa con una precisión de 0,5kPa. Los sensores de temperatura están ubicados en la entrada y la salida de la sección de pruebas; son termopares cobre-constantan con una precisión de 0,15ºC. Todos estos medidores están conectados a una unidad de adquisición de datos (HP3852A). Los datos adquiridos son configurados y leídos por un computador PC gracias a un programa computacional de adquisición elaborado en el lenguaje de programación HP-Basic. Las diferentes mediciones tomadas por los sensores fueron realizadas con una frecuencia de 20 muestras por segundo por cada sensor.
Procedimiento experimental
Se encienden las resistencias eléctricas en el tanque de almacenamiento y se lleva el aceite hasta la temperatura deseada. Luego se enciende el sistema de bombeo y con la válvula de compuerta se regula el caudal al valor deseado. Una vez colocado el material poroso en la sección de pruebas (Figura 1) se hace pasar el flujo a través de ella y se miden los valores de temperatura del fluido antes y después de la sección de pruebas. El sistema de adquisición termina su operación automáticamente. De esta manera se obtienen los perfiles transitorio y experimentales de temperaturas en el fluido. Los experimentos se realizaron tomando variaciones de la velocidad del fluido a la entrada de la sección de pruebas y variando también la porosidad del medio. Se realizaron 50 corridas experimentales, 10 corridas, con diferentes flujos volumétricos (números de Reynolds), para cada porosidad.
Modelo Matemático del Proceso
El problema en estudio consiste en la determinación de los coeficientes fílmicos de transferencia de calor promedio en el flujo de fluidos viscosos (aceite) a través de un lecho de empaque metálico, donde el fluido no está en equilibrio térmico con la fase sólida. Este modelo cuenta con ecuaciones que se derivan realizando los balances de conservación de masa, momento y energía en fase fluida, y un balance de energía en la fase sólida. Los detalles referentes a la deducción de la presente formulación matemática se encuentran en Patiño (2003).
Ecuaciones gobernantes
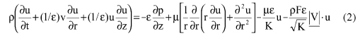
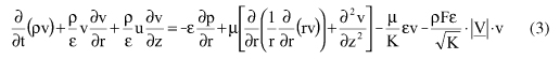
Se toma como fluido en estudio al aceite transportándose a través de la sección de pruebas (lecho de empaque), suponiendo que el líquido es incompresible y newtoniano, donde las propiedades tales como densidad (r), viscosidad absoluta (µ), conductividad térmica (k) y calor específico (Cp) permanecen constantes. Se considera que la matriz sólida está constituida por esferas de acero, que es isotrópica, homogénea e indeformable, y que sus propiedades tales como porosidad (e), permeabilidad (K), densidad (rs), conductividad térmica (ks) y calor específico (Cs) son constantes. Las ecuaciones de variación en coordenadas cilíndricas y estado transitorio pueden expresarse entonces como:
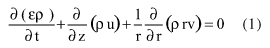
Ecuación de Continuidad:
![]()
donde u: velocidad del fluido en la dirección axial (z), v: velocidad del fluido en la dirección radial (r) y t: tiempo.
Ecuación de Cantidad de Movimiento en la Dirección Axial:

donde p: presión del fluido; V: vector velocidad del fluido; F: coeficiente inercial, también denominado término de Forchheimer (Hwang et al, 1995); y K: permeabilidad del medio.
Ecuación de Cantidad de Movimiento en la Dirección Radial:

Ecuación de la Energía de la Fase Líquida:

donde T: temperatura en la fase líquida, Ts: temperatura en la fase sólida, h: coeficiente intersticial de convección de calor, y A: área superficial de transferencia de calor.
Ecuación de la Energía de la Fase Sólida:

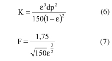
La permeabilidad del medio es calculada a través de la ecuación 6 (Hunt y Tien, 1988), y el coeficiente inercial es determinado a través de la ecuación 7 (Hwang y Chao, 1994). En la ecuación 6, dp representa el diámetro promedio de la partícula que conforma el medio poroso.
Condiciones iniciales y de borde
Como se mencionó anteriormente, la sección de pruebas consiste en un cilindro de sección transversal circular y constante, y en el interior de ella se encuentra el fluido y el lecho de empaque. Para efecto del estudio y por la condición de axisimetría, solo se tomó como dominio físico la mitad del plano longitudinal de la sección de pruebas.
Las condiciones iniciales son velocidades radiales y axiales nulas, y temperaturas homogéneas para las fases líquidas y sólidas (Ti). Las condiciones de borde asociadas al problema son: Las velocidades u y v en las paredes son nulas. La velocidad u es máxima y la velocidad v es nula en el eje de simetría. La velocidad axial (u0) en la entrada es uniforme y la velocidad v en la entrada es nula. En el eje de simetría el flujo de calor por conducción es nulo. En vista que la sección de pruebas se encuentra térmicamente aislada, en las paredes el flujo de calor es nulo. En la salida se tienen condiciones localmente parabólicas. En la entrada la temperatura (T0) en el líquido es prescrita, uniforme y variable en el tiempo. Las condiciones de borde térmicas para la fase sólida son iguales a la de la fase fluida.
Solución del Modelo Matemático
Para la resolución de este modelo se empleó una metodología numérica. Las ecuaciones diferenciales con sus respectivas condiciones de borde e iniciales descritas en el modelo matemático fueron resueltas a través del código comercial CFX versión 4.3, el cual basa la solución en el método de los Volúmenes Finitos (Maliska, 1995). Para todas las simulaciones los flujos convectivos y difusivos en las interfaces de los volúmenes se calculan a través del esquema de interpolación híbrido y el procedimiento de acoplamiento Presión-Velocidad, en las ecuaciones de movimiento, utilizado fue el SIMPLE (Patankar y Spalding, 1972). El régimen transitorio fue implementado a través de un esquema totalmente implícito y el criterio de convergencia fue establecido tomando el máximo residuo en la ecuación de continuidad. Se desarrollaron dos subrutinas en el lenguaje de programación Fortran, una para incluir las condiciones de borde en la entrada del dominio variable en el tiempo y la otra para anexar el término fuente en la ecuación de la energía en las fases fluida y sólida. La temperatura inicial en cada simulación dependió de los resultados experimentales obtenidos, y fueron entre 25 y 35ºC.
Para discretizar el dominio y para definir el tamaño del incremento de tiempo, se realizaron dos análisis de sensibilidad. El análisis para la discretización espacial consistió en realizar simulaciones variando el tamaño de la malla, y verificando el perfil transitorio de temperatura del fluido a la salida de la sección de pruebas. Se realizaron sensibilidades para cinco tamaños de malla, observándose que a medida que aumenta el número de volúmenes se presenta un incremento en la curva de temperatura. Los resultados generados con discretizaciones de 360, 480 y 1920 volúmenes son totalmente idénticos, lo cual trae como consecuencia que discretizaciones de 360 volúmenes o más van a generar el mismo resultado. Todas estas simulaciones se realizaron con un incremento de tiempo bastante pequeño (Dt= 0,01s). Un análisis similar fue aplicado para determinar el tamaño del incremento de tiempo (Dt) que genera una solución independiente del mismo. Con una discretización espacial de 1920 volúmenes, se realizaron cinco simulaciones con diferentes valores del incremento de tiempo, resultando que a medida que este incremento es menor, entonces la curva de la temperatura del fluido a la salida sube. Los resultados generados con discretizaciones temporales de 0,2 y 0,1s son totalmente idénticos, lo cual trae como consecuencia que discretizaciones temporales de incrementos de tiempo menores a 0,2s van a generar el mismo resultado. Finalmente, para todas las simulaciones se seleccionó un tamaño de malla de 1920 volúmenes (80×24) y un incremento de tiempo de 0,1s.
Determinación de los coeficientes intersticiales de transferencia de calor
Para determinar los coeficientes intersticiales de convección de calor "h" para cada una de las corridas experimentales se utilizó el Single Blow Transient Method (Liang y Yang, 1975). Este método requiere solamente la curva de respuesta transitoria de las temperaturas promedio a la entrada y a la salida de la sección de pruebas, y consiste en suponer un valor inicial del coeficiente de convección de calor, determinar la distribución de temperatura del fluido a la salida de la sección analizada a través del modelo teórico y luego comparar esta curva obtenida teóricamente con la respuesta transitoria determinada experimentalmente. Si la curva teórica coincide con la curva experimental, entonces el coeficiente de convección supuesto es el correcto, si no es así, se debe suponer otro coeficiente de convección y repetir el proceso hasta que las dos soluciones sean iguales (con desviación <0,001). Este proceso se repite hasta obtener seis casos en que se cumpla el error. El coeficiente h, será el promedio aritmético de los coeficientes h para los seis casos. La Figura 2 muestra un flujograma descriptivo del Single Blow Transient Method como una técnica para determinar los coeficientes de transferencia de calor en problemas en régimen transitorio.
Análisis de incertidumbre
Los errores en el cálculo de los coeficientes intersticiales de transferencia de calor son producidos fundamentalmente por las desviaciones en las mediciones de las temperaturas y la raíz cuadrada de las diferencias medias de temperatura entre los valores experimentales y los calculados numéricamente. En este trabajo se utilizó el método de incertidumbre desarrollado por Kline y McClintock (1953), quienes muestran que para el caso especial de una función lineal con variables independientes, cada una de las cuales es normalmente distribuida, la relación entre los intervalos de incertidumbre para la variable y el intervalo de incertidumbre para el resultado es dado por

donde R: resultado calculado, R= R(v1, v2, , vn); eR: intervalo de incertidumbre en el resultado; y ei: intervalo de incertidumbre en la variable i.
La derivada parcial es una medida de la sensibilidad del resultado para una variable simple. Multiplicando la sensibilidad o "coeficiente de influencia" por la incertidumbre estimada en la variable se obtiene un estimado de la contribución de la variable en la incertidumbre del resultado. Este método ha sido tradicionalmente extendido a relaciones no lineales (como es el caso en estudio) realizando una expansión de primer orden de las ecuaciones gobernantes y evaluando las derivadas parciales en los valores base (Holman, 1994).
Aplicando la metodología desarrollada por Kline y McClintock (1953) y revisada por Holman (1994) se obtuvo un valor de incertidumbre para el flujo másico de 0,5%, para las mediciones de temperatura de 3,3%, y para la raíz cuadrada de las diferencias medias de temperatura de 15,2%. La combinación de la raíz cuadrada de las diferencias medias de temperaturas empleada para calcular la incertidumbre global del coeficiente de convección de calor da como resultado que la incertidumbre global de h es 15,2%.
Resultados y Análisis
La Figura 3 muestra los perfiles de temperaturas del fluido obtenidos experimentalmente a la entrada y a la salida de la sección de pruebas, y se comparan con el perfil transitorio del fluido a la salida de la sección determinado teóricamente a través del modelo numérico y del Single Blow Transient Method. Adicionalmente, se presenta el valor del coeficiente de convección de calor determinado en dichas pruebas. En forma general se aprecia que existe una muy buena aproximación entre los resultados experimentales y los resultados teóricos con un error máximo del 0,1%.
En la Figura 4 se presentan los perfiles transitorios de temperaturas del fluido y de la matriz sólida para cuatro posiciones del dominio estudiado y para tres valores de porosidades: 0,211; 0,28 y 0,434 respectivamente. Se observa que al aumentar el tiempo la temperatura de cualquier sección transversal va incrementando; sin embargo, estas temperaturas van disminuyendo a medida que el fluido se transporta a través del lecho de empaque. La presencia de sólidos en el flujo del aceite genera una disminución en su temperatura. La disminución de la energía térmica en el fluido es ganada por el lecho poroso, es decir, se evidencia el intercambio de calor entre estas dos fases. Inicialmente el sólido está a una temperatura uniforme, luego su temperatura aumenta debido a la transferencia de calor con la fase fluida. A medida que transcurre el tiempo la temperatura del sólido se incrementa para cualquier posición; sin embargo, esta temperatura va en descenso cuando se incrementa la coordenada axial. Esto se debe fundamentalmente al hecho que el sólido se calienta debido al contacto con el fluido. Adicionalmente, estas figuras evidencian la diferencia de temperatura entre las fases y muestran que a medida que aumenta la porosidad del medio la diferencia de temperaturas entre fluido y sólido aumenta, demostrando que a medida que se incrementa la porosidad, el transporte de calor entre estas dos fases también disminuye.
En las Figuras 5 y 6 se presentan los perfiles de temperaturas del fluido y del sólido en función de la posición y para dos instantes de tiempo (1,0 y 5,0s). Ambas figuras se realizaron con el postprocesador del software CFX 4.3. En la parte superior de cada figura aparece la distribución de temperaturas del fluido en grados Kelvin y su respectiva leyenda está ubicada en el lado derecho de la figura. En la parte inferior de cada figura se aprecia la distribución de temperaturas del sólido en grados Kelvin y su respectiva leyenda está en el lado izquierdo de la figura. En ambos casos la temperatura de la fase fluida es de magnitud mayor que la de la fase sólida, demostrando la ausencia de equilibrio térmico entre las fases.
En la presente investigación las características térmicas del sistema constituido por aceite SAE-50 como fluido y esferas de acero como medio poroso son determinadas a través de la obtención de los números de Nusselt en función de los números de Reynolds y de la porosidad del medio. En la Figura 7 se presentan los valores de los números de Nusselt vs. número de Reynolds para los cinco valores de porosidad estudiados. El número de Nusselt utilizado está basado en una longitud característica igual al diámetro de la partícula que constituye el lecho de empaque, Nu= hdp/kf, donde h es el coeficiente fílmico o intersticial de transferencia de calor entre la corriente de fluido y el lecho de empaque, y dp es el diámetro de las partículas. Para la definición del número de Nusselt, se utilizó el gradiente de temperatura del fluido normal a la superficie de las partículas que conforman el lecho de empaque, y para la evaluación de las propiedades físicas del fluido se debe utilizar una temperatura promedio entre las corrientes de entrada y de salida de fluido (temperatura promedio de masa).
En la Figura 7 se observa que el coeficiente de transferencia de calor h es una variable dependiente tanto de la porosidad del medio, como del número de Reynolds. A medida que aumenta la porosidad del medio, el número de Nusselt disminuye, y a medida que aumenta el número de Reynolds, entonces el número de Nusselt también lo hace.
En base a los resultados obtenidos en la presente investigación, y específicamente a los mostrados en esta última figura, se proponen las siguientes correlaciones empíricas para relacionar los números de Nusselt (Nud) con los números de Reynolds (Red) para diferentes porosidades:
Nud= 0,9898 Red 0,399 para porosidad igual a 0,211 y 0,53<Red<131
Nud= 0,5703 Red 0,4163 para porosidad igual a 0,24 y 0,75<Red<160
Nud= 0,3505 Red 0,4359 para porosidad igual a 0,28 y 0,91<Red<169
Nud= 0,152 Red 0,5511 para porosidad igual a 0,37 y 1,17<Red<246
Nud= 0,0688 Red 0,6371 para porosidad igual a 0,434 y 2,9<Red<412
Como fue mencionado al inicio del trabajo, en la literatura se ha reportado un número importante de trabajos donde se estudia la transferencia de calor a través de medios porosos. El caso específico de la determinación de los coeficientes de transferencia de calor en sistemas donde las fases fluida y sólida no están en equilibrio térmico y, adicionalmente, están en régimen transitorio, se ha estudiado muy poco. Entre estos trabajos están los desarrollados por Wu y Hwang (1998) y Hwang et al. (2002). En el primero se estudió la transferencia de calor en un sistema cuya relación de conductividades térmicas (fluido-sólido) es aproximadamente igual a 0,1948. En el segundo esta relación de conductividades es aproximadamente igual a 0,0001244. En la presente investigación la relación de conductividades térmicas entre el fluido y el sólido es aproximadamente 0,01, valor muy diferente a los reportados en las dos investigaciones señaladas. En ese sentido, desde el punto de vista cuantitativo, es complicado comparar los resultados de los tres trabajos. Sin embargo, desde el punto de vista cualitativo, se observa que las tendencias de las curvas de los números de Nusselt vs. número de Reynolds son similares. En los tres se reportan resultados que demuestran que a medida que aumenta el número de Reynolds, el número de Nusselt también lo hace, y a medida que disminuye la porosidad del medio, el número de Nusselt aumenta.
Conclusiones
El objetivo general del presente trabajo es caracterizar de manera teórica y experimental la transferencia de calor por convección transitoria en el flujo de un fluido viscoso (aceite) a través de un lecho de empaque de alta conductividad térmica. Para ello se cumplieron a cabalidad una serie de etapas que permitan enunciar las siguientes conclusiones:
Las mediciones experimentales de temperatura del fluido en la entrada y en la salida de la sección de pruebas presentaron valores físicamente congruentes, ya que en todo instante de tiempo se registraron valores de temperatura menores en la salida, evidenciando el aumento de energía térmica por parte del medio poroso.
Se ha presentado el desarrollo de un modelo matemático y la solución de un problema de convección de calor transitoria en un medio poroso tomando en consideración un dominio axisimétrico y el uso de las velocidades axiales y radiales del fluido para el cálculo del transporte de energía desde el fluido hasta el sólido.
La temperatura de las fases fluida y sólida depende de la posición radial, axial y del tiempo.
Para un instante determinado de tiempo las temperaturas del fluido y sólido disminuyen al aumentar la coordenada axial y también disminuyen al aumentar la coordenada radial.
Se evidenció la no existencia del equilibrio térmico entre las fases fluida y sólida.
El método Single Blow Transient, conjuntamente con el modelo teórico propuesto, representan una técnica efectiva para la determinación de los coeficientes de transferencia de calor en el flujo de fluidos a través de medios porosos.
Se ha demostrado que el número de Nusselt y, por ende, el coeficiente intersticial de transferencia de calor en el flujo de fluidos a través de medios porosos, depende tanto del número de Reynolds como de la porosidad del medio. A medida que aumenta el número de Reynolds, el número de Nusselt aumenta, y al aumentar la porosidad del medio, el número de Nusselt disminuye.
Se han propuesto cinco correlaciones para determinar el número de Nusselt, una para cada valor de porosidad estudiada. Cada una de éstas depende del número de Reynolds, obedeciendo a una ley de la potencia.
AGRADECIMIENTOS
Los autores agradecen a Fundacite-Anzoátegui por el financiamiento para la construcción del equipo experimental utilizado.
REFERENCIAS
1. Alazmi B, Vafai K (2000) Analysis of Variants Within the Porous Media Transport models. ASME J. Heat Transfer 122: 303-325. [ Links ]
2. Bear J (1976) Dynamics of Fluids in Porous Media. Elsevier. Nueva York, EEUU. 755 pp. [ Links ]
3. Beckerman C, Viskanta R (1987) Forced Convection Boundary Layer Flow and Heat Transfer Along a Flate Plate Embedded in a Porous Media. Int. J. Heat Mass Transfer 30: 1547-1551. [ Links ]
4. Brinkman H (1947) A Calculation of the Viscous Force Extended by a Flowing Fluid on a Dense Swarm of Particles. Appl. Scient. Res. A1: 27-34. [ Links ]
5. Cheng P and Zhu H (1987) Effects of Radial Thermal Dispersion on Fully Developed Forced Convection in Cylindrical Packed Bed. Int. J. Heat Mass Transfer 30: 2373-2383. [ Links ]
6. Holman JP (1994) Experimental Methods for Engineers. McGraw-Hill. Nueva York, EEUU. 320 pp. [ Links ]
7. Howard C (1964) The Single Blow Problem Including the effect of Longitudinal Conduction. ASME Paper No. 64-GT2-11 at Gas Turbine Conference and Product Show, Houston, TX, EEUU. [ Links ]
8. Hunt L, Tien C (1988) Non-Darcian Convectión in Cilyndrical Pocked Beds. Trans-ASME J. Heat Transfer 5: 110-378. [ Links ]
9. Hwang GJ, Chao CH (1994) Heat Transfer Measurement and Analytical for Sintered Porous Channells. ASME J. Heat Transfer 116: 456-464. [ Links ]
10. Hwang G, Wu C, Chao C (1995) Investigation of Non-Darcian Forced Convection in an asymmetrically Heated Sintered Porous Channel, ASME J. Heat Transfer 117: 725-732. [ Links ]
11. Hwang JJ, Hwang GJ, Yeh RH, Chao CH (2002) Measurement of Interstitial Convective Heat Transfer and Frictional Drag for Flow Across Metal Foams. ASME J. Heat Transfer 124: 1-10 [ Links ]
12. Kline S, McClintock F (1953) Describing the Uncertainties in Single-Sample Experiments. Mech. Eng. 75: 3-8. [ Links ]
13. Koch D, Brady J (1985) Dispersion in Fixed Beds. J. Fluid Mech. 154: 399-427. [ Links ]
14. Koch D, Cox R, Brenner H, Brady J (1989) The Effect of Order on Dispersion in Porous Media. J. Fluid Mech. 200: 173-188. [ Links ]
15. Liang C, Yang W (1975) Modified Single-Blow Technique for Performance Evaluation on heat Transfer Surfaces. ASME J. Heat Transfer 96: 16-21. [ Links ]
16. Maliska C (1995) Transferencia de Calor e Mecánica dos Fluidos. LTC. Rio de Janeiro, Brasil. 221 pp. [ Links ]
17. Patankar S, Spalding D (1972) A Calculation Procedure for Heat, Mass and Momentum Transfer in Three-Dimensional Parabolic Flows. Int. J. Heat Mass Transfer 15: 1787-1806. [ Links ]
18. Patiño L (2003) Análisis Teórico-Experimental de la Convección de Calor Transitoria en el Flujo de Fluidos a través de Medios Porosos. Tesis. Universidad de Oriente, Puerto La Cruz, Venezuela. 133 pp. [ Links ]
19. Patiño L, Espinoza H (2004) Convección de calor intersticial en el flujo de fluidos a través de medios porosos. Ingeniería Hidráulica en México 19(2): 37-51. [ Links ]
20. Renken K, Poulikakos D (1988) Experiment and Analysis Forced Convection Heat Transfer in a Packed Bed of Spheres. Int. J. Heat Mass Transfer 31: 1399-1408. [ Links ]
21. Vafai K, Tien C (1981) Boundary and Inertia Effects on Flow and Heat Transfer in Porous Media. Int. J. Heat Mass Transfer 24: 195-203. [ Links ]
22. Vafai K, Alkire R, Tien C (1985) An Experimental Investigations of Heat Transfer in Variable Porosity Media. ASME J. Heat Transfer 107: 642-647. [ Links ]
23. Wu C, Hwang G (1998) Flow and Heat Transfer Characteristics Inside Packed and Fluidized Beds. ASME J. Heat Transfer 120: 667-673. [ Links ]





















