Interciencia
versión impresa ISSN 0378-1844
INCI v.33 n.1 Caracas ene. 2008
Wood anatomy and its relation to plant size and latitude in buddleja l. (buddlejaceae)
Teresa Terrazas, Silvia Aguilar-Rodríguez and Lauro López-Mata
Teresa Terrazas. Bióloga, Universidad Nacional Autónoma de México (UNAM). Ph.D., University of North Carolina, Chapel Hill, EEUU. Investigadora, Instituto de Biología, UNAM, México. Dirección: Apartado Postal 70-233, 04510 México, D.F., México. e-mail: tterrazas@ibiologia.unam.mx
Silvia Aguilar-Rodríguez. Bióloga, UNAM, México. Doctora en Ciencias, Colegio de Postgraduados (COLPOS), Montecillo, México. Profesora, UNAM, México. e-mail: siagro@campus.iztacala.unam.mx
Lauro López-Mata, Biólogo, UNAM, México. Ph.D., University of North Carolina, Chapel Hill, EEUU. Profesor-Investigador, Programa de Botánica, COLPOS, Montecillo, México. e-mail: lauro@colpos.mx
SUMMARY
Wood anatomy of the genus Buddleja was studied to gain insight about its relationship with habit and latitude. Habit was positively associated with most characteristics, showing the highest correlation coefficients with vessel element length and fibre length. Four features were negatively correlated with latitude, confirming observations for other taxa and only ray width was positively correlated. Wood has a discrete variation among habit categories as revealed by canonical discriminant analysis. Moreover, variance analysis confirmed significant differences in fibre length and vessel element length between species that are small shrubs and trees taller than 10m. These results suggest that Buddleja species growing in harsher environments, as the small shrubs, show less variation in wood cell size, while species growing in more diverse environments may have more diverse habits and consequently greater wood cell size variation.
Anatomía de la madera de buddleja l. (buddlejaceae) y su relación con el tamaño de la planta y la latitud
Resumen
Se estudió la anatomía de la madera del género Buddleja para tener una perspectiva de su relación con el hábito y con la latitud. El hábito se asoció positivamente con la mayoría de los caracteres de la madera y mostró los coeficientes de correlación más altos con la longitud de los elementos de vaso y de las fibras. Cuatro caracteres se correlacionaron negativamente con la latitud, confirmando las observaciones realizadas en otros taxa y únicamente el ancho de los radios se correlacionó positivamente. La madera tiene una variación discreta entre las categorías del hábito, como lo revela el análisis canónico discriminante. El análisis de varianza confirmó diferencias significativas en las fibras y la longitud de los elementos de vaso entre especies que tienen hábito de arbustos pequeños y los árboles de >10m de alto. Estos resultados sugieren que las especies de Buddleja que tienen hábito arbustivo crecen en ambientes más extremos y muestran menos variación en el tamaño de las células xilemáticas, mientras que las especies que crecen en ambientes heterogéneos pueden tener diferentes hábitos y como consecuencia la variación en el tamaño celular de la madera es mayor.
Anatomia da madeira de buddleja l. (buddlejaceae) e sua relação com o tamanho da planta e a latitude
RESUMO
Estudou-se a anatomia da madeira do gênero Buddleja para ter uma perspectiva de sua relação com o hábito e com a latitude. O hábito se associou positivamente com a maioria dos caracteres da madeira e mostrou os coeficientes de correlação mais altos com a longitude dos elementos de vaso e das fibras. Quatro caracteres se correlacionaram negativamente com a latitude, confirmando as observações realizadas em outros taxa e unicamente a dimensão dos rádios se correlacionou positivamente. A madeira tem uma variação discreta entre as categorias do hábito, como revela a análise canônica discriminante. A análise de variança confirmou diferenças significativas nas fibras e a longitude dos elementos de vaso entre espécies que têm hábito de arbustos pequenos e as árvores de >10m de altura. Estes resultados sugerem que as espécies de Buddleja que têm hábito arbustivo crescem em ambientes mais extremos e mostram menos variação no tamanho das células xilemáticas, enquanto que as espécies que crescem em ambientes heterogêneos podem ter diferentes hábitos e como conseqüência a variação no tamanho celular da madeira é maior.
KEYWORDS / Allometric Variation / Canonical Discriminant Analysis / Ecological Wood Anatomy / Multivariate Analysis /
Received:11/07/2006. Modified: 10/29/2007. Accepted: 10/31/2007.
Introduction
Ecological wood interpretations focused in floristic and systematic approaches. The floristic interpretations identify wood convergences in species coexisting in natural plant communities (Baas and Carlquist, 1985; Barajas-Morales, 1985; Carlquist and Hoekman, 1985a; Guthrie, 1989; Lindorf, 1994). Carlquist (1966) was one of the first to introduce ecological aspects into systematic studies and suggested carrying them out among the members of an order, family or genus to support the relationships between them. Although there are numerous studies in this field (Baas, 1973, 1983; Dickison, 1978; Carlquist, 1982, 1984 1986, 1992; Carlquist and Hoekman, 1985b; Carlquist and Wilson, 1995), a few studies evaluated the correlation between wood characters and latitude or habit using statistical methods, showing that wood features such as vessel element length and diameter are associated with latitude, elevation, and species habit or height (Baas, 1973; van der Graaff and Baas, 1974; van den Oever et al., 1981; Zhang, 1992; Terrazas, 1994; Noshiro et al., 1995; Sidiyasa and Baas, 1998; Noshiro and Baas, 2000; Liu and Noshiro, 2003; Terrazas and Loza-Cornejo, 2003; Motomura et al., 2007).
The genus Buddleja is distributed worldwide, up to 40º in latitude and from sea level to mountainous areas surpassing 3500masl (Leeuwenberg, 1979). Species of Buddleja are mainly shrubs, although trees and lianas are not uncommon. While wood anatomy for the genus has been studied by several authors (Mennega, 1980; Carlquist, 1997; Aguilar-Rodríguez and Terrazas, 2001) none of these studies have used statistical methods to examine correlations between wood characters and latitude or habit. In this study, simple correlation analysis was used to evaluate if associations are significant between wood trials and latitude and habit, and a multivariate analysis was used to examine which quantitative wood features of 26 species contribute to discriminate species by their habit, with the main hypothesis that wood variation has a discrete variation among habits.
Materials and Methods
Buddleja wood samples collected in the field and from xylaria were studied (Table I). Sections 20-30m thick were cut with a sliding microtome, stained with safranin and mounted in synthetic resin (Johansen, 1940). Wood macerations were made with Jeffreys solution (Johansen, 1940) and temporary slides used to quantify vessel element length and fibre length.
Anatomical characters of the samples were quantified following the recommendations of the International Association of Wood Anatomists (IAWA, 1989). For each quantitative character, 25 measurements were made per sample. There is a tendency in most species to show wide and narrow vessels, thus they were measured separately. Tangential intervessel pit diameter and fibre length, diameter, lumen and wall thickness, as well as ray height and width were also measured. All characteristics were quantified with an image analyzer IMAGE-Pro Plus version 3.1 (Media Cybernetics, 1997) adapted to an Olympus BX-50 microscope.
Latitude and habit were gathered mostly from xylaria information or obtained from taxonomic monographs for Buddleja (Norman, 1966, 2000; Leeuwenberg, 1979) or from floras (Standley, 1924; Bruce and Lewis, 1960; Urban, 1964; Stewart and Johnston, 1970; Tutin, 1972; Smith et al., 1976; Huanca, 1993). Habit was classified into five categories: 1) small shrubs, 0.5-1.0m high; 2) large shrubs, 1-5m high; 3) small trees, 5-10m high; 4) trees >10m high, and 5) lianas.
To fulfill the assumptions of multivariate analyses, variables were transformed with natural logarithm or square root (Zar, 1999). Spearman correlation analysis was performed to detect associations with latitude and habit. Based on correlation analysis, a canonical discriminant analysis (CANDISC) was applied to all species, including eight anatomical characteristics (Table II). This analysis allowed us to identify if those eight wood variables with the highest correlation coefficients separate habit categories and identify the relative contribution of each character to such a separation. Significant differences among means of those anatomical characters identified by CANDISC were evaluated by variance analyses for each habit category, and differences among means were compared and segregated by Tukey test (P<0.05). All statistical analyses were performed with SAS software (SAS, 1989).
Results
Table II shows the correlation coefficients of anatomical characters with latitude and habit. The magnitude of the association was greater for habit than for latitude. Habit was positively correlated with eight characters, being the highest coefficients those for vessel element length and fibre length. There was a negative association between habit and latitude (rs= -0.40, P<0.007); thus, some species are smaller in size the higher their latitude. Porosity type did not show a significant correlation with either latitude or habit.
The canonical discriminant analysis showed that two discriminant functions explained 84% of total variation (Table III), contributing significantly to the separation among habit categories (Wilks : P<0.0001, N= 32). The first function (eigenvalue of 2.26) explained 45.26% of the total variation and the second (eigenvalue of 1.91) explained 38.34% of the remaining variation. According to the Mahalanobis distance, most of the centroids of each habit were significantly different (Table IV). The biplot for the first two discriminant functions showed that most individuals were assigned to the correct habit, except for one individual of Buddleja sessiliflora that was classified as a large shrub (Figure 1).
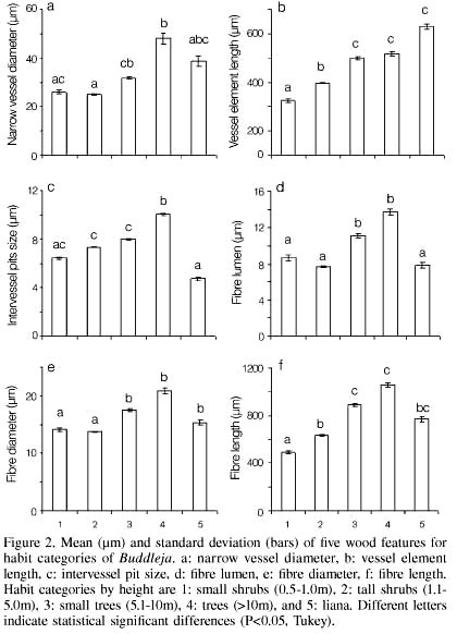
Variance analyses revealed significant differences between habit and narrow vessel diameter (F= 8.45, gl= 4, P= 0.0001, N= 43), vessel element length (F= 17.73, gl= 4, P<0.0001, N= 43), intervessel pit diameter (F= 6.07, gl= 5, P<0.0006, N= 43), fibre lumen (F= 9.76, gl= 4, P<0.0001, N= 43), fibre diameter (F= 5.05, gl= 4, P<0.0022, N= 43), and fibre length (F= 19.47, gl= 4, P<0.0001, N= 43). There were no differences in fibre wall thickness, ray height or ray width (P>0.06) with regard to habit. Figure 2 summarizes the multiple comparisons of means for six wood features among habit categories. The narrowest vessel diameter was seen in shrubs (Figure 2a). Vessel element length and fibre length are smaller in small shrubs to larger in tall trees, except for fibre length in vines (Figure 2b-f). For example, small shrubs had the shortest vessel elements and fibres (224 ±76µm and 489 ±137µm, respectively) whereas mean vessel element length in tall trees was 295 ±73µm and fibre length was 638 ±138µm. Fibre diameter and lumen diameter contributed to distinguish shrubs from trees >10m high. Anatomical differences among trees, shrubs and lianas are shown in Figure 3a-c, whereas pit diameter and fibre lumina differences between trees and shrubs are illustrated in Figure 3d-g.
Discussion
The correlation coefficients showed that anatomical wood characters and species habit are positively correlated in Buddleja, showing an allometric relationship, similar to that observed in other species (Chalk, 1983; Rury, 1985; Zhang, 1992; Terrazas, 1994; Noshiro and Baas, 1998; Terrazas and Loza-Cornejo, 2003; Motomura et al., 2007). These analyses indicate that habit explains more of wood cell size variation than latitude. It suggests that microclimatic factors such as temperature and rainfall influence wood structure, whereas latitudinal provenances do not clearly display this variation (van den Oever et al., 1981; Zhang et al., 1988; Aguilar-Rodríguez et al., 2006). The individual distribution of several shrubby species, for example B. alternifolia with heights up to 5m, growing at high latitude (39º42N, in Asia) may have influence on the low correlation coefficients between latitude and the anatomical characters. Zhang (1992) reported that in the family Rosaceae the percentage of variance explained by macroclimatic factors (latitude) was lower than in other groups of plants, as vessel element and ray size were mainly influenced by habit. Species of Rhododendron that grow as shrubs tend to have smaller vessel size (Noshiro and Suzuki, 2001).
Numerous studies mention that tracheary elements and ray height have the largest size in trees and the smallest size in short species (Carlquist, 1966; Dickison and Phend, 1985; Rury, 1985). Although this allometric relationship between various wood features and plant size seems to be typical, few studies confirm statistically such a relationship (Zhang, 1992; Terrazas, 1994; Noshiro et al., 1995; Noshiro and Baas, 1998, 2000; Terrazas and Loza-Cornejo, 2003; Motomura et al., 2007). Terrazas (1994) reported positive correlations between habit and some wood characters in Anacardiaceae. Tracheary elements were longer and wider, with the largest pits in the tallest species, and shorter, narrower tracheary elements with smaller pits in shorter species. However, ray height and width in Buddleja did not show a significant association with habit. A similar finding was reported for Anacardiaceae (Terrazas, 1994) but not for Rosaceae (Zhang, 1992), where both characters were significantly larger with smaller plant size. In Pachycereus pecten-aboriginum no allometric relationship between element vessel length and habit was detected (Arias and Terrazas, 2001).
Some wood characters in the liana B. pulchella show a different behavior. This vine possesses the longest vessel elements and wider diameters; however, fibres are shorter than those of the trees in the genus Buddleja. Bamber and Ter Welle (1994) mentioned that in lianas vessel diameter and ray height are longer and fibres are shorter. They also compared cell dimensions between lianas and trees, showing that vessels are wider and nearly three times longer in lianas than in trees. This difference was not observed in Buddleja, with a mean diameter of wide vessels of 95 ±10μm in B. pulchella and of 88 ±37μm in the arboreal species, suggesting that strong dimorphism in vessel diameter may occur mostly in lianas from tropical regions.
Porosity in the genus Buddleja does not have a significant association with habit, unlike the family Rosaceae, where the shrubby forms are associated with ring porosity and shorter vessel elements (Zhang, 1992). However, Buddleja shrub species commonly possess ring- or semiring-porous wood, and in the arboreal species >10m high, wood generally is diffuse-porous.
Although Buddleja wood is homogeneous (Carlquist, 1997; Aguilar-Rodríguez and Terrazas, 2001) most of its species can be separated by their habit, as suggested by canonical discriminant analysis. Vessel element length and fibre length distinguish shrubs from trees. These results suggest that Buddleja species which grow as small shrubs in restricted environments show a narrower variation in tracheary elements size, while species with a wide distribution, such as B. sessiliflora, differ in size and may grow to different heights. This species is widely distributed in the North American region, and grows as shrub or small tree depending on the environment (Norman, 2000). Zhang et al. (1988) suggested that wood may show more phenotypic than genotypic variation, related to growth in individuals. It is concluded that in species with wide distribution, variation in size of wood characters does not show a discrete relation with habit.
Acknowledgements
The authors thank the curators of TWTw, Kw, Uw, Tw, FPRLw, BFHw, CTFw and MEXUw for the wood samples; J. Daniel Tejero Díez (FES-Iztacala, UNAM) for identifying the material collected in Mexico; and Araceli Cortés González for darkroom assistance. This research was partially supported by a CONACYT scholarship to SAR (118733) and by the Colegio de Postgraduados, México.
References
1. Aguilar-Rodríguez S, Terrazas T (2001) Anatomía de la madera de Buddleja L. (Buddlejaceae): un análisis fenético. Madera y Bosques 7: 63-85. [ Links ]
2. Aguilar-Rodríguez S, Terrazas T, López-Mata L (2006) Anatomical wood variation of Buddleja cordata (Buddlejaceae) along its natural range in Mexico. Trees 20: 253-261. [ Links ]
3. Arias S, Terrazas T (2001) Variación en la anatomía de la madera de Pachycereus pecten-aboriginum (Cactaceae). Anales Inst. Biol., Univ. Nac. Aut. Méx., Ser. Bot. 72: 157-169. [ Links ]
4. Baas P (1973) The wood anatomical range in Ilex (Aquifoliaceae) and its ecological and phylogenetic significance. Blumea 2: 193-258. [ Links ]
5. Baas P (1983) Ecological patterns in xylem anatomy. In Givnish TJ (Ed.) On the economy of plant form and function. Cambridge University Press. New York, NY, USA. pp. 327-352. [ Links ]
6. Baas P, Carlquist S (1985) A comparison of the ecological wood anatomy of the floras of southern California and Israel. IAWA Bull. n.s. 6: 349-353. [ Links ]
7. Bamber KR, Ter Welle HJB (1994) Adaptative trends in the wood anatomy of lianas. In Iqbal M (Ed.) From growth patterns in vascular plants. Dioscorides. Portland, OR, USA. pp. 272-287. [ Links ]
8. Barajas-Morales J (1985) Wood structural differences between trees of two tropical forests in Mexico. IAWA Bull. n.s. 6: 355-364. [ Links ]
9. Bruce AE, Lewis J (1960) Loganiaceae. In Hubbard CE, Redhead EM (Eds.) Flora of tropical east Africa. Crown Agents for Oversea Governments and Administrations. London, UK. pp. 35-40. [ Links ]
10. Carlquist S (1966) Wood anatomy of Compositae: a summary, with comments on factors controlling wood evolution. Aliso 6: 25-44. [ Links ]
11. Carlquist S (1982) Wood anatomy of Illicium (Illiciaceae): phylogenetic, ecological, and functional interpretations. Am. J. Bot. 69: 1587-1598. [ Links ]
12. Carlquist S (1984) Wood anatomy of some Gentianaceae: systematic and ecological conclusions. Aliso 10: 573-582. [ Links ]
13. Carlquist S (1986) Wood anatomy of Stilbaceae and Retziaceae: ecological and systematic implications. Aliso 11: 299-316. [ Links ]
14. Carlquist S (1992) Wood anatomy of sympetalous dicotyledon families: a summary, with comments on systematic relationships and evolution of the woody habit. Ann. Missouri Bot. Gard. 79: 303-332. [ Links ]
15. Carlquist S (1997) Wood anatomy of Buddlejaceae. Aliso 15: 41-56. [ Links ]
16. Carlquist S, Hoekman AD (1985a) Ecological wood anatomy of the woody southern Californian flora. IAWA Bull. n.s. 6: 319-347. [ Links ]
17. Carlquist S, Hoekman AD (1985b) Wood anatomy of Staphyleaceae: ecology, statistical correlations, and systematics. Flora 177: 195-216. [ Links ]
18. Carlquist S, Wilson JE (1995) Wood anatomy of Drosophyllum (Droseraceae): ecological and phylogenetic considerations. Bull. Torrey Bot. Club 122: 185-189. [ Links ]
19. Chalk L (1983) The effects of ecological conditions on wood anatomy. In Metcalfe CR, Chalk L (Eds.) Anatomy of dicotyledons. Vol. 2. Clarendon. Oxford, UK. pp. 152-156. [ Links ]
20. Dickison CW (1978) Comparative anatomy of Eucryphiaceae. Am. J. Bot. 65: 722-735. [ Links ]
21. Dickison CW, Phend DK (1985) Wood anatomy of the Styracaceae: evolutionary and ecological considerations. IAWA Bull. n.s. 6: 3-22. [ Links ]
22. Guthrie LR (1989) Xylem structure and ecological dominance in a forest community. Am. J. Bot. 76: 1216-1228. [ Links ]
23. Huanca N (1993) Loganiaceae. In Pillen TJ, García E, Beck SG (Eds.) Guía de árboles de Bolivia. Herbario Nacional de Bolivia - Missouri Botanical Garden. Saint Louis, MO, USA. pp. 486-492. [ Links ]
24. IAWA (1989) List of microscopic features for hardwood identification. International Association of Woods Anatomists. IAWA Bull. n.s. 10: 219-332. [ Links ]
25. Johansen J (1940) Plant microtechnique. McGraw-Hill. New York, NY, USA. 523 pp. [ Links ]
26. Leeuwenberg AJM (1979) The Loganiaceae of Africa XVIII. Buddleja L. II. Revision of the african and asiatic species. Meded. Landbo. Wageningen 79-6: 1-163. [ Links ]
27. Lindorf H (1994) Eco-anatomical wood features of species from a very dry tropical forest. IAWA J. 15: 361-376. [ Links ]
28. Liu J, Noshiro S (2003) Lack of latitudinal trends in wood anatomy of Dodonaea viscosa (Sapindaceae), a species with worldwide distribution. Am. J. Bot. 90: 532-539. [ Links ]
29. Media Cybernetics (1997) Image-Pro Plus. Version 3.1. Springfield, MD, USA. 534 pp. [ Links ]
30. Mennega AMW (1980) Anatomy of the secondary xylem. In Leeuwenberg AJM (Ed.) Die na(s)türlichen Pflanzenfamilien. Angiospermae: Ordnung Gentianales Fam. Loganiaceae. 28. Ducker and Humblot. Berlin, Germany. pp. 112-161. [ Links ]
31. Motomura H, Noshiro S, Mikage M (2007) Variable wood formation and adaptation to the alpine environment of Ephedra pachyclada (Gnetales:Ephedraceae) in the Mustang distict, western Nepal. Ann. Bot. 100: 315-324. [ Links ]
32. Norman ME (1966) The genus Buddleia in North America. Gentes Herbarum 10: 47-116. [ Links ]
33. Norman ME (2000) Buddlejaceae. Flora Neotropica Monograph 81. The New York Botanical Garden. New York, NY, USA. 225 pp. [ Links ]
34. Noshiro S, Baas P (1998) Systematic wood anatomy of Cornaceae and allies. IAWA J. 19: 43-97. [ Links ]
35. Noshiro S, Baas P (2000) Latitudinal trends in wood anatomy within species and genera: Case study in Cornus s.l. (Cornaceae). Am. J. Bot. 87: 1495-1506. [ Links ]
36. Noshiro S, Suzuki M (2001) Ontogenetic wood anatomy of tree and subtree species of Nepalese Rhododendron (Ericaceae) and characterization of shrub species. Am. J. Bot. 88: 560-569. [ Links ]
37. Noshiro S, Suzuki M, Ohba H (1995) Ecological wood anatomy of Nepales Rhododendron (Ericaceae). I. Interspecific variation. J. Plant Res. 108: 1-9. [ Links ]
38. Rury MP (1985) Systematic and ecological wood anatomy of the Erythroxylaceae. IAWA Bull. n.s. 6: 365-397. [ Links ]
39. SAS (1989) SAS user´s guide: statistics. SAS Institute Inc. Cary, NC, USA. 1028 pp. [ Links ]
40. Sidiyasa K, Baas P (1998) Ecological and systematic wood anatomy of Alstonia (Apocynaceae). IAWA J. 19: 207-229. [ Links ]
41. Smith BL, Guimarães FE, Pereira FJ, Norman ME (1976) Loganiáceas. In Raulino Reitz P (Ed.) Flora Ilustrada Catarinense. Conselho Nacional de Desenvolvimento Científico e Tecnológico - Instituto Brasileiro de Desenvolvimento Florestal - Fundação de Amparo à Tecnologia e Meio Ambiente. Itajaí, Brazil. pp. 1-38. [ Links ]
42. Standley PC (1924) Trees and shrubs of Mexico. Contr. U.S. Nat. Herb. 23: 1143-1147. [ Links ]
43. Stewart CD, Johnston MC (1970) Manual of the vascular plants of Texas. Texas Research Foundation. Renner, TX, USA. 1881 pp. [ Links ]
44. Terrazas T (1994) Wood anatomy of Anacardiaceae: ecological and phylogenetic interpretation. Thesis. University of North Carolina. Chapel Hill, NC, USA. 180 pp. [ Links ]
45. Terrazas T, Loza-Cornejo S (2003) Anatomía de la madera y alometría de veinte especies de Stenocereus (Cactaceae). Anales Inst. Biol., Univ. Nac. Aut. Méx., Ser. Bot. 74: 195-208. [ Links ]
46. Tutin GT (1972) Buddlejaceae. In Tutin TG, Heywood VH, Burges NA, Moore DM, Valentine DH, Walters SM, Webb DA (Eds.) Flora Europaea. Cambridge University Press. New York, NY, USA. pp. 201-202. [ Links ]
47. Urban J (1964) Loganiaceae. Flora Domingensis. Symbolae Antillanae seu fundamenta Flora Indiae occidentalis. Vol 8. Asher. Amsterdam, Netherlands. pp. 534-536. [ Links ]
48. Van den Oever L, Baas P, Zandee M (1981) Comparative wood anatomy of Symplocos and latitude and altitude of provenance. IAWA Bull. n.s. 2: 3-24. [ Links ]
49. Van der Graaff NA, Baas P (1974) Wood anatomical variation in relation to latitude and altitude. Blumea 22: 101-121. [ Links ]
50. Zhang SY (1992) Wood anatomy of the Rosaceae. Rijksherbarium Hortus Botanicus. Leiden, Netherlands. 211 pp. [ Links ]
51. Zhang X, Deng L, Baas P (1988) The ecological wood anatomy of the liliacs (Syringa oblata var. giraldii) on mount Taibei in northwestern China. IAWA Bull. n.s. 1: 24-30. [ Links ]
52. Zar J (1999) Biostatistical analysis. Prentice Hall. New York, NY, USA. 960 pp. [ Links ]











uBio 







