SciELO - Scientific Electronic Library Online

 
vol.76 número1RELACIÓN LOCALIZACIÓN-TIPO HISTOLÓGICO DEL ADENOCARCINOMA GÁSTRICO EN PACIENTES DEL IAHULA MÉRIDA VENEZUELA. REPERCUSIONES QUIRÚRGICASEXPERIENCIA EN BYPASS GÁSTRICO RESECCIONAL LAPAROSCÓPICO EN PACIENTES CON OBESIDAD MÓRBIDA. PRIMER ESTUDIO EN VENEZUELA índice de autoresíndice de assuntospesquisa de artigos
Home Pagelista alfabética de periódicos  

Serviços Personalizados

Journal

Artigo

Indicadores

Links relacionados

Compartilhar


Revista Venezolana de Cirugía

versão impressa ISSN 0378-6420versão On-line ISSN 2665-0401

RevVenezCir vol.76 no.1 Caracas jun. 2023  Epub 09-Maio-2024

https://doi.org/10.48104/rvc.2023.76.1.6 

Artículos Originales

Cierre primario diferido en pacientes laparotomizados de emergencia con índice SENIC ≥ 3 puntos.

Deferred primary closure in emergency laparotomized patients with SENIC index ≥ 3 points

Susan Rojas-Rivas1  * 
http://orcid.org/0000-0002-6544-2630

Alfredo José Ramirez1  2 
http://orcid.org/0000-0001-8008-0597

1Servicio de Cirugía Hospital Universitario de Los Andes, Universidad de Los Andes, Mérida, Mérida, Venezuela.

2Facultad de Medicina de la Universidad de Los Andes, Mérida, Venezuela.


RESUMEN

Las infecciones del sitio operatorio representan un desafío en el entorno hospitalario. El cierre primario diferido ha surgido como técnica para prevenirlas. Esta investigación busca explorar los beneficios del cierre primario diferido en la reducción de infecciones, estancia hospitalaria y costos, mejorando los resultados clínicos en cirugías abdominales.

Objetivos.

Evaluar el cierre primario diferido en pacientes laparotomizados de emergencia que acuden Hospital Universitario de Mérida -Venezuela, con índice SENIC ≥ 3 puntos.

Métodos.

Se llevó a cabo un estudio experimental prospectivo para evaluar los efectos del cierre primario diferido en comparación con el cierre primario en laparotomías exploradoras. La muestra consistió en 160 pacientes. Se analizaron la presencia de infecciones, la duración de la estancia hospitalaria y la evolución temporal de las infecciones como desenlaces del estudio.

Resultados.

Se encontró que el cierre primario diferido redujo la presencia de infecciones en comparación con el cierre primario. La limpieza trans-operatoria y el diagnóstico de abdomen agudo quirúrgico infeccioso fueron factores beneficiosos. La antibioticoterapia continua en el postoperatorio también fue más efectiva. Se observó una disminución del riesgo de infección en el grupo experimental en un 37% en comparación con el grupo de control.

Conclusiones.

El cierre primario diferido de la herida reduce significativamente la probabilidad de infección del sitio operatorio en cirugías abdominales con heridas contaminadas. Es una técnica beneficiosa para pacientes con abdomen agudo quirúrgico infeccioso. Además, el cierre primario diferido resulta rentable al disminuir tanto la incidencia de ISO como la duración de la estancia hospitalaria.

Palabras clave: Cirugía abdominal; infecciones del sitio operatorio; cierre primario diferido

ABSTRACT

Surgical site infections pose a challenge in the hospital setting. Delayed primary closure has emerged as a technique to prevent such infections. This research aims to explore the benefits of delayed primary closure in reducing infections, hospital stay, and costs, thus improving clinical outcomes in abdominal surgeries.

Objectives.

To evaluate delayed primary closure in emergency laparotomized patients with SENIC index ≥ 3 points at the University Hospital of Mérida, Venezuela.

Methods.

A prospective experimental study was conducted to assess the effects of delayed primary closure compared to primary closure in exploratory laparotomies. The sample consisted of 160 patients. The presence of infections, duration of hospital stay, and temporal evolution of infections were analyzed as study outcomes.

Results.

Delayed primary closure was found to reduce the presence of infections compared to primary closure. Transoperative cleaning and the diagnosis of infectious surgical acute abdomen were beneficial factors. Continuous postoperative antibiotic therapy was also more effective. A 37% reduction in the risk of infection was observed in the experimental group compared to the control group.

Conclusions.

Delayed primary closure significantly reduces the probability of surgical site infection in abdominal surgeries with contaminated wounds. It is a beneficial technique for patients with infectious surgical acute abdomen. Additionally, delayed primary closure proves cost-effective by reducing both the incidence of surgical site infections and the duration of hospital stay.

Key words: Abdominal surgery; surgical site infections; delayed primary closure

INTRODUCCIÓN

Las infecciones del sitio operatorio (ISO) son reportadas como la tercera infección nosocomial (IN) más frecuente, correspondiendo entre el 14-16% de todas las IN en los pacientes hospitalizados. (1) Las ISO post-quirúrgicas son las más frecuentes con un 38%. (2) Las mismas se dividen en incisionales y órgano-cavitarias, ambas teniendo un rango máximo de 30 días para la aparición de signos clínicos y microbiológicos de evidencia de infección en la herida operatoria según la clasificación propuesta por el Centro de Control y Prevención de Enfermedades (CDC) desde 1970. (3) Se sabe que los pacientes que se someten a cirugía extra-abdominal tienen una posibilidad de desarrollar ISO de hasta un 2-5%, mientras que en los pacientes que se someten a cirugía abdominal esta posibilidad es del 20% (1), por lo que la estancia hospitalaria se incrementa en casi una semana y media y el coste de su tratamiento se triplica (4), siendo de suma importancia la búsqueda de estrategias para su prevención.

Los índices utilizados por los comités de vigilancia para el control de infecciones nosocomiales en los hospitales se utilizan para estratificar por riesgo a los pacientes sometidos a cirugía, y de esta manera se han estructurado estrategias terapéuticas por grupo de riesgo para prevenir y controlar las infecciones. (5) El índice utilizado en The Study on the Efficacy of Nosocomial Infection Control (SENIC) ha demostrado a lo largo de los años bastante sensibilidad y especificidad en la predicción de ISO. Además, en la búsqueda de técnicas para la prevención de ISO ha surgido el método de cierre de la piel como un factor importante. El cierre primario diferido (CPD) y el cierre primario (CP) son comúnmente utilizados. El objetivo del CPD es reducir la tasa de ISO al suturar una herida más tarde después de un vendaje adecuado durante 3 a 5 días. (6) Se ha demostrado que el procedimiento disminuye la contaminación bacteriana y aumenta la resistencia local a las heridas a partir del aumento del suministro sanguíneo de oxigenación de la herida a partir del tejido de granulación en desarrollo. (7,8)

En este sentido, en esta investigación se evaluará si el cierre primario diferido en pacientes laparotomizados de emergencia que acuden al Servicio de Cirugía General del IAHULA, Mérida -Venezuela, con índice SENIC ≥ 3 puntos, pudiera disminuir la frecuencia de infección del sitio operatorio incisional superficial. Esta estrategia permitiría reafirmar al CPD como medida de contención ante el innegable deterioro actual del sistema de salud venezolano, relacionado con la carencia de medidas correctas de asepsia y antisepsia, antibiótico-terapia de elección o de amplio espectro, prolongados tiempo de espera preoperatorio, entre otros.

MÉTODOS

Diseño del estudio

Se realizó un estudio experimental prospectivo, de tipo ensayo clínico controlado aleatorizado.

Población y muestra

La población de estudio consistió en todos los pacientes mayores a 16 años, de cualquier sexo, ingresados por el Servicio de Cirugía General del IAHULA que fueron llevados a mesa operatoria y se les realizó laparotomía exploradora por cualquier causa que contara con ≥ 3 puntos en el índice SENIC. Se estableció una muestra de 160 pacientes, divididos en grupo control y experimental, con el objetivo de establecer los parámetros estadísticos y sus intervalos de confianza con un nivel de seguridad del 95%, potencia del 90%, y una expectativa de disminución de riesgo superior al 25%. El tamaño de la muestra fue determinado mediante el Software Epidat v3.1 (Xunta de Galicia/OPS 2006).

La inclusión de los pacientes en el estudio fue realizada previo consentimiento informado por escrito, según la normativa vigente para la realización de trabajos científicos en humanos de la Comisión de Ética de la División de Estudios de Postgrado de la Facultad de Medicina de la Universidad de los Andes, y de acuerdo con los principios establecidos de forma internacional en la Declaración de Helsinki.

Intervención

A los pacientes del grupo control se les realizo cierre primario de la herida durante el procedimiento de laparotomía exploradora. A los pacientes del grupo experimental se les realizo cierre primario diferido.

Desenlaces

Como desenlace primario se tuvo la presencia de infecciones. Se evaluaron además los días de estancia hospitalaria y la evolución temporal de las infecciones.

Análisis Estadístico

Los datos cuantitativos se presentaron con medidas de tendencia central y dispersión (media y desviación estándar); los datos cualitativos se presentaron con frecuencias absolutas y relativas (en porcentajes). La asociación estadística de datos cualitativos se evaluó aplicando la prueba chi cuadrado, la diferencia estadística de datos cuantitativos se evaluó a través de la prueba t de Student. La eficacia del tratamiento se evaluó determinando la variación absoluta de riesgo (ARR) y calculando el número necesario a tratar (NNT) para los desenlaces adversos. Igualmente se determinó el Riesgo Relativo para los diferentes factores condicionantes del desenlace de infección post quirúrgica. La significancia estadística se consideró para valores de p < 0,05. Los análisis estadísticos y los gráficos se realizaron con los programas SPSS versión 21 (IBM Corporation, New York, US), Excel 2010 (Microsoft Corporation, Redmond, US) y GraphPad Prism versión 5 (GraphPad Software Inc, La Jolla, USA).

RESULTADOS

Un total de 159 pacientes que fueron sometidos a procedimientos quirúrgicos de emergencia tipo laparotomía exploradora con Índice de SENIC ≥ 3 puntos (Tabla 1) fueron estudiados en el Servicio de Cirugía General del IAHULA, Mérida, Venezuela. El grupo estuvo compuesto mayoritariamente por pacientes del sexo masculino con una edad promedio de 41 años y predominio en el grupo etario comprendido entre 15-29 años.

El diagnóstico de abdomen agudo quirúrgico más frecuente fue el infeccioso, que representó el 49,7% del total, seguido por el traumático con el 26,4%. El puntaje del Índice de SENIC de 3 se observó en la mayoría de los pacientes (89,9%) (Tabla 1). Con respecto a las comorbilidades, se encontró que el 59,7% de los pacientes eran sanos, mientras que la obesidad (IMC > 30) (11,3%), el tabaquismo (10,7%) y la diabetes mellitus tipo II (9,4%) se encontraban en orden de frecuencia. La homogeneidad de los grupos de estudio se demostró al no encontrarse diferencias significativas en características como edad, sexo y comorbilidades entre los grupos experimentales y de control.

Tabla 1 Características de los pacientes evaluados. 

Grupo
Control (n=69) Experimental (n=90) Total (n=159) Valor de p
Sexo 0,064
Femenino 28 (40,6) 24 (26,7) 52 (32,7)
Masculino 41 (59,4) 66 (73,3) 107 (67,3)
Edad (años) media ± desv. est. 45 ± 18 38 ± 17 41 ± 18 0,016
Diagnóstico 0,001
Infeccioso 24 (34,8) 55 (61,1) 79 (49,7)
Traumático 22 (31,9) 20 (22,2) 42 (26,4)
Obstructivo 17 (24,6) 5 (5,6) 22 (13,8)
Perforativo 5 (7,2) 10 (11,1) 15 (9,4)
Vascular 1 (1,4) - 1 (0,6)
Total 69 (100) 90 (100) 159 (100)
Índice SENIC 0,104
3 puntos 59 (85,5) 84 (93,3) 143 (89,9)
4 puntos 10 (14,5) 6 (6,7) 16 (10,1)
Comorbilidad 0,477
Ninguna 38 (55,1) 57 (63,3) 95 (59,7)
Obesidad 8 (11,6) 10 (11,1) 18 (11,3)
Tabaquismo 7 (10,1) 10 (11,1) 17 (10,7)
DMT2 10 (14,5) 5 (5,6) 15 (9,4)
DMT2 + obesidad 5 (7,2) 5 (5,6) 10 (6,3)
Obesidad + tabaquismo 1 (1,4) 3 (3,3) 4 (2,5)

Se muestran las frecuencias y los porcentajes (entre paréntesis) en los respectivos grupos.

En el grupo control, la presencia de infección se observó en el 65,2% de los casos (45), en comparación con el grupo experimental donde se encontraron 65 pacientes (72,2%) sin infección. Además, en relación al día de aparición de infección en el grupo control, se observó que la mayoría de los casos se presentaron en el quinto día, mientras que en aquellos que se les realizó cierre posterior de la herida se presentó en el cuarto día, lo cual es un dato importante a considerar para la recomendación del cierre en el grupo experimental (Tabla 2). En la misma tabla se puede observar que el 50% de los pacientes dentro del grupo experimental tuvieron una estancia máxima de 7 días, mientras que en el grupo control, el 80% osciló entre los 14 días o más.

Tabla 2 Prevalencia de infección y días de estancia hospitalaria. 

Control (n=69) Experimental (n=90) Total (n=159) Valor de p
Infección 0,001
Presente 45 (65,2) 25 (27,8) 70 (44)
Ausente 24 (34,8) 65 (72,2) 89 (56)
Día de infección 0,001
2do 2 (2,9) - 2 (1,3)
3er 13 (18,8) 1 (1,1) 14 (8,8)
4to 8 (11,6) 15 (16,7) 23 (14,5)
5to 16 (23,2) 8 (8,9) 24 (15,1)
6to 3 (4,3) 1 (1,1) 4 (2,5)
7mo 3 (4,3) - 3 (1,9)
Ninguno 24 (34,8) 65 (72,2) 89 (56)
Estancia hospitalaria (días) media ± desv. est. 12 ± 8 9 ± 5 11 ± 7 0,001
Menor o igual a 7 13 (18,8) 45 (50) 58 (36,5) 0,005
8 - 14 37 (53,6) 32 (35,6) 69 (43,4)
Mayor o igual a 15 19 (27,5) 13 (14,4) 32 (20,1)

Se muestran las frecuencias y los porcentajes (entre paréntesis) en los respectivos grupos.

La limpieza trans-operatoria de la herida quirúrgica previa a su cierre se identificó como un factor protector contra la aparición de infección (Tabla 3). Se observó que el 85,4% de los pacientes a los que se les realizó dicha limpieza no presentaron infección, mientras que el 42,9% de aquellos a los que no se les aplicó desarrollaron infección. Además, en los casos de abdomen agudo quirúrgico infeccioso, el cierre primario diferido fue beneficioso en el 57,3% de los pacientes (51) ya que no presentaron infección.

Tabla 3 Relación entre limpieza trans-operatoria de la herida y diagnóstico pre-operatorio con la aparición de infección. 

No infectados (n= 89) Infectados (n= 70) Total (n= 159) Valor de p
Limpieza trans-operatoria de la herida 0,001
Si 76 (85,4) 40 (57,1) 116 (73,0)
No 13 (14,6) 30 (42,9) 43 (57,1)
Categoría de diagnóstico 0,007
Infeccioso 51 (57,3) 28 (40) 79 (49,7)
Traumático 26 (29,2) 16 (22,9) 42 (26,4)
Obstructivo 6 (6,7) 16 (22,9) 22 (13,8)
Perforativo 5 (5,6) 10 (14,3) 15 (9,4)
Vascular 1 (1,1) - 1 (0,6)
Antibioticoterapia recibida 0,019
Pre y post 14 (15,7) 22 (31,4) 36 (22,6)
Post 75 (84,3) 48 (68,6) 123 (77,4)

Se muestran las frecuencias y los porcentajes (entre paréntesis) en los respectivos grupos.

En nuestro grupo de estudio, se percibió que la antibioticoterapia continua en el postoperatorio resultó más beneficiosa en comparación con la antibioticoterapia de amplio espectro previa a la intervención. Al evaluar la relación entre el beneficio o no de la antibioticoterapia en relación a las comorbilidades del paciente, se observa en laTabla 4que el grupo de pacientes con comorbilidades asociadas como diabetes mellitus tipo II y obesidad, presentaron el mayor porcentaje de infección (31,8%) independientemente de si recibieron antibióticos pre y post-operatorios.

Tabla 4 Relación entre antibióticoterapia recibida de los pacientes evaluados discriminados por la presencia o no de infecciones y por comorbilidad. 

No infectados Infectados
Comorbilidad Ab. Ab. Total Ab. Ab. Total
post pre y post (n=89) post pre y post (n=70)
(n=75) (n=14) (n=48) (n=22)
Obesidad 9 2 11 4 3 7
-12 -14,3 -12,4 -8,3 -13,6 -10
Tabaquismo 3 2 5 12 0 12
-4 -14,3 -5,6 -25 0 -17,1
DMT2 4 1 5 8 2 10
-5,3 -7,1 -5,6 -16,7 -9,1 -14,3
DMT2+ obesidad 1 0 1 2 7 9
-1,3 0 -1,1 -4,2 -31,8 -12,9
Obesidad + tabaquismo 3 0 3 1 0 1
-4 0 -3,4 -2,1 0 -1,4
Ninguna 55 9 64 21 10 31
-73,3 -64,3 -71,9 -43,8 -45,5 -44,3

Se muestran las frecuencias y los porcentajes (entre paréntesis) en los respectivos grupos.

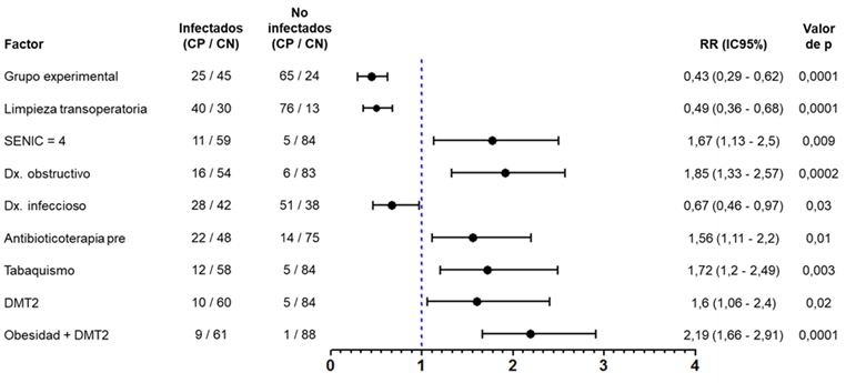
En laFigura 1, se evidencia que la aplicación de la técnica quirúrgica resulta un factor protector para la aparición de infección (encontrándose a la izquierda de la gráfica). Del mismo modo, la limpieza trans-operatoria y el grupo diagnóstico de abdomen agudo quirúrgico infeccioso fueron los más favorecidos. En nuestro grupo de estudio, se determinó el beneficio de la aplicación de la técnica y se observó que el número de pacientes que debían tratarse para observar un beneficio era bajo (NNT=3) con un intervalo de confianza del 95% entre 2 y 4. Esto se expresa en una disminución del riesgo de aparición de infección en los pacientes del grupo experimental en relación al control en un 37% (28 versus 65%).

Figura 1 Riesgo de infección post quirúrgica condicionado por el procedimiento experimental y por algunos factores de riesgo. Se muestran las frecuencias de los casos positivos y negativos (CP / CN) para el factor en los respectivos grupos. El forest plot ilustra los valores de RR (riesgo relativo) y sus respectivos intervalos de confianza (IC95%) según la aproximación de Woolf. La relación entre los diferentes factores con los grupos evaluados se midió con la prueba chi cuadrado con corrección de Yates. 

DISCUSIÓN

El presente estudio examinó los resultados de pacientes sometidos a procedimientos quirúrgicos de emergencia tipo laparotomía exploradora con un Índice de SENIC ≥ 3 puntos. Se observó que el diagnóstico más frecuente de abdomen agudo quirúrgico fue de origen infeccioso, seguido por el traumático. Estos resultados resaltan la importancia de considerar las infecciones como una causa común de abdomen agudo quirúrgico y destacan la necesidad de medidas preventivas adecuadas.

El análisis de las comorbilidades reveló que la mayoría de los pacientes eran sanos, pero se observó una prevalencia significativa de obesidad, tabaquismo y diabetes mellitus tipo II en orden de frecuencia. Estos hallazgos indican que estas condiciones pueden contribuir al riesgo de infección en pacientes sometidos a cirugía de emergencia.

El grupo control presentó una mayor incidencia de infecciones en comparación con el grupo experimental, donde se aplicó el cierre posterior de la herida. Además, la aparición de infecciones se observó principalmente en el quinto día en el grupo control, mientras que, en el grupo experimental, donde se realizó el cierre posterior de la herida, ocurrió en el cuarto día. Estos resultados sugieren que el cierre posterior de la herida puede tener un impacto positivo en la prevención de infecciones, lo cual respalda su recomendación en el grupo experimental. La limpieza trans-operatoria de la herida quirúrgica se identificó como un factor protector contra la aparición de infecciones. Los pacientes a los que se les realizó esta limpieza presentaron una menor incidencia de infecciones en comparación con aquellos a los que no se les aplicó.

En cuanto a la antibioticoterapia, se observó que la antibioticoterapia continua en el postoperatorio fue más beneficiosa en comparación con la administración de antibióticos de amplio espectro previa a la intervención. Además, se encontró que los pacientes con comorbilidades como diabetes mellitus tipo II y obesidad presentaron un mayor riesgo de infección, independientemente de si recibieron antibióticos pre y post-operatorios. Estos resultados sugieren la importancia de una terapia antibiótica adecuada y personalizada, considerando las comorbilidades individuales de los pacientes.

La infección del sitio operatorio (ISO) es la complicación más frecuente de la cirugía y una fuente importante de problemas clínicos y económicos para los sistemas de salud y el paciente. La reducción de su incidencia es importante por su impacto en el confort de los pacientes y en los recursos sanitarios utilizados. (9)

En la actualidad, tanto en los Estados Unidos como en España, la ISO es la primera infección nosocomial, alcanzando el 30% de las infecciones. En el estudio de prevalencia infección nosocomial en España de 2013 (EPINE) se muestran, en las especialidades quirúrgicas, predominio de infección comunitaria del 11,61% y nosocomial en 9,60%, con una prevalencia de ISO del 4,27%.

Estudios de la globalidad de los pacientes quirúrgicos hallan prevalencias del 2-7% de las ISO, mientras que en cirugía abdominal puede elevarse hasta el 20% (9) apareciendo en un rango de 6-41 días. (4).

La vigilancia de la infección postoperatoria permite detectar los factores de riesgo y elaborar estrategias para minimizarla. El primer intento para establecer una predicción de riesgo de ISO fue la clasificación delNational Research Council siendo seguida por el índice del Study on the Efficacy of Nosocomial Infection Control (SENIC) que, además de ser mejor predictor de ISO, demostró que los programas de análisis y feed-back de datos a los cirujanos se asociaban a reducciones importantes de las mismas. (8)

Evitar la infección del sitio operatorio ha sido preocupación permanente del personal de salud. A pesar de los conocimientos sobre la técnica quirúrgica, la patogénesis de la infección del sitio operatorio y el uso de antibióticos profilácticos, la infección quirúrgica constituye una causa importante de la morbimortalidad, aumento de la estancia hospitalaria y de los costos de atención a los pacientes sometidos a procedimientos quirúrgicos. Para reducir su incidencia, el cirujano debe conocer los factores que contribuyen a la aparición de las infecciones, así como los métodos para evitarlas, los sistemas para predecirlas y las estrategias para controlarlas. (10)

En nuestro estudio encontramos una reducción de la incidencia de ISO en los pacientes sometidos a cierre primario diferido en un 37%, expresados en un mayor beneficio a los pacientes con patología infecciosa resultando sin ISO un 57% y en general, reduciendo de manera importante en un 50% la estancia hospitalaria del grupo al que se le aplica la técnica. Además de que al aplicar el índice de SENIC podemos predecir la aparición de la infección de los pacientes observando como en el grupo casos sobre el control una presencia de ISO de 25/45 con un Riesgo Relativo del 0,43 resultando estadísticamente significativo.

Nuestros hallazgos indican que el cierre primario diferido surge como una alternativa eficaz, sencilla y económica para la prevención de las ISO, al generar un ambiente aerobio de la herida operatoria evita la proliferación bacteriana y nos permite una mejor limpieza de la misma.

REFERENCIAS

1. Margalejo Raffín S, Acosta de Gnass S, Llerena C, Carbonaro M. Infección del Sitio Quirúrgico. Guías para la prevención. Buenos Aires: Sociedad Argentina de Infectología; 2008. [ Links ]

2. Jiménez M, Moore J, Quintero G, Lerma C, Nieto J, Fajardo R. Guía para la prevención de la infección del sitio operatorio (ISO). Bogota: Asociación Colombiana de Cirugía; 2008. [ Links ]

3. Centers for Disease Control and Prevention. Surgical Site Infection 2010. Available from: https://www.cdc.gov/hai/ssi/ssi.html. [ Links ]

4. World Health Organizations. Global guidelines for the prevention of surgical site infection. 2nd ed. Geneva: WHO; 2018. [ Links ]

5. Yomayusa N, Gaitán H, Suárez I, Ibáñez M, Hernandez P, Álvarez C, et al. Validación de índices pronósticos e infección del sitio quirúrgico en hospitales de Colombia. Revista de Salud Pública. 2008;10(5):744-55. [ Links ]

6. Singh PK, Saxena N, Poddar D, Gohil RK, Patel G. Comparative study of wound healing in primary versus delayed primary closure in contaminated abdominal surgery. Hellenic Journal of Surgery. 2016;88(5):314-20. doi: 10.1007/s13126-016-0340-8. [ Links ]

7. Garibaldi RA, Cushing D, Lerer T. Risk factors for postoperative infection. The American journal of medicine. 1991;91(3b):158s-63s. Epub 1991/09/16. doi: 10.1016/0002-9343(91)90362-2. PubMed PMID: 1928157. [ Links ]

8. Chiang RA, Chen SL, Tsai YC, Bair MJ. Comparison of primary wound closure versus open wound management in perforated appendicitis. Journal of the Formosan Medical Association = Taiwan yi zhi. 2006;105(10):791-5. Epub 2006/09/27. doi: 10.1016/s0929-6646(09)60265-5. PubMed PMID: 17000451. [ Links ]

Financiamiento Esta investigación no recibió financiamiento de ningún ente público o privado.

Recibido: 15 de Mayo de 2023; Aprobado: 05 de Junio de 2023; Publicado: 17 de Julio de 2023

*Autor para correspondencia: Susan Rojas-Rivas, e-mail: rojas7susan@gmail.com

Contribución de los Autores

RRS: Manejo clínico quirúrgico, concepción del estudio y elaboración del manuscrito.AJR: Concepción y supervisión del estudio. Todos los autores participaron en la revisión crítica del artículo y en la aprobación de la versión final del manuscrito.

Conflicto de Intereses

Los autores de esta investigación no tienen ningún conflicto de interés o competencias

Creative Commons License Este es un artículo publicado en acceso abierto bajo una licencia Creative Commons