INTRODUCTION
Squamous cell carcinoma (SCC) of the larynx is the most common malignant tumor of the head and neck 1. It is estimated that in 2018, approximately 39,900 new cases of laryngeal cancer were diagnosed in Europe, to which 19,600 deaths were attributed 2,3. Approximately 50% of laryngeal cancer is located in the glottis4, where it causes early dysphonia. At diagnosis, the majority of patients with SCC of glottis are in the initial stages of the disease (TI or TII), without regional lymph node metastasis (N0) or distance (M0). In fact, the incidence of clinically positive lymph nodes was almost 0% for T1 tumors and less than 2% for T2 4. When diagnosed in the early stages and treated early, the prognosis is excellent 1 and complete healing can often be achieved 3.
Currently, the main treatment options for early glottic SCC (Stages I or II) are radiotherapy (RT) or surgical excision, both as a single treatment. Transoral laser microsurgery (TLM) is the most widely used surgical technique and has replaced the open techniques previously performed 5. It is currently accepted that both treatment modalities (RT and TLM) offer similar oncological results, as there is no evidence that one treatment is more effective than the other 6,7. In any case, no randomized clinical trials have been published to date, and there are retrospective studies with results in favor of one treatment or the other. Therefore, the choice of treatment remains a controversial topic, and the decision usually depends on the experience of the team and the patient's preferences. In our institution, each specific case is presented to the Head and Neck Tumors Committee, composed of specialists in otolaryngology, medical oncology, radiation oncology, pathology and radiology. Usually, the first treatment option for Stages I or II of patients with glottic SCC in our hospital is TLM. If the patient presents comorbidities that pose a high surgical risk that contraindicates general anesthetic, or presents an anatomy that makes it difficult to perform the surgical intervention (cervical stiffness or difficult access to the larynx), the treatment with RT is chosen. It must be considered that treatment with TLM is more cost-effective than RT and represents lower hospital care costs. 8
The objective of this study was to evaluate the recurrence-free survival of the disease after RT or TLM as a treatment of glottic cancer in early stages, to compare the effectiveness of both treatments.
METHODS
Patients
For this study, we identified patients diagnosed with glottic SCC in early Stages I and II (T1 and T2, N0 M0), who received treatment for the disease at the tertiary, "Lozano Blesa" Hospital (Zaragoza, Spain), either with TLM or RT, in the period between 2004 and 2016. Patients with laryngeal cancer at a location other than the glottis, or whose histological diagnosis was different from SCC, were excluded. Patients with other synchronous malignant tumors, patients treated by external partial surgery and those treated at other centers were also excluded. This study had been approved by the Ethic Committee of our hospital and was carried out in strict accordance with the Declaration of Helsinki9.
Data collection
Data were collected from hospital medical records. A total of 150 medical records of patients with larynx SCC located in the glottis were reviewed, of whom 30 subjects were rejected because they did not meet the inclusion criteria of the study, so that a sample of 120 patients was finally obtained. The collected variables included data on sociodemographic and behavioral factors, clinical findings, treatment, and the evolution of the disease.
Treatment
Patients who received radiotherapy were treated by a linear electron accelerator, externally, in three fields; with a radiation dose between 65 and 70 Gy, and a fraction of 180- 200 cGy/session, completing the treatment with about 30 sessions. The patients who received surgical treatment were operated by TLM with a CO2 laser, performing different types of CO2 laser cordectomy depending on the tumor size and extension.
Follow-up
Once the treatment was started, the patient was closely monitored in a multidisciplinary way, through clinical examination and radiological study, depending on the evolution of the disease. After completing the treatment, a monthly clinical examination was performed during the first year of follow-up. Subsequently, the reviews were distanced and an annual examination was performed with cervical computed tomography and chest radiography. If a possible tumor recurrence was suspected, specific radiological tests were requested, and biopsies of the lesion were performed if deemed necessary.
Statistical analysis
The statistical analysis and power calculation were carried out with IBM SPSS 22 and G*Power (http://www.psychologie.hhu.de/arbeitsgruppen/allgemeine-psychologie-undarbeitspsychologie/gpower.html), respectively. The differences according to the type of primary treatment in the variables of the baseline study were evaluated through the Chi-Square test for the categorical variables and the Student t-test for the continuous ones. The normality of the quantitative variables was previously assessed using the Kolmogorov-Smirnov test.
In a first step of the analysis of the follow-up study, the cumulative incidences of recurrence of glottis cancer were calculated according to the type of primary treatment, to subsequently calculate the absolute risk reduction and the number needed to treat (NNT). Next, the odds of recurrence of glottis cancer were calculated according to the type of primary treatment. Subsequently, Kaplan-Meier survival curves were performed according to the type of primary treatment. In addition, the risk of recurrence of glottis cancer during follow-up was calculated according to the type of primary treatment using multivariate Cox regression models 10. To explore the mechanisms of association between the type of primary treatment and recurrence of glottis cancer, a series of models were used in which models were gradually controlled by potential confounders. The univariate model includes the type of primary treatment. The multivariate model additionally includes socio-demographic variables (gender and age), behavioral variables (tobacco consumption and alcohol consumption) and clinical variables (tumor stage and location of the tumor lesion). To check the assumption of proportional risks, the Schoenfeld 11 residuals graph was used for the continuous variables and the log-log curves graph for the categorical variables. The effectiveness of the adjustments made using Cox regression models was evaluated with the Royston determination coefficient 12. Cohen's d was calculated to document differences in glottis cancer recurrence risk according to the type of primary treatment. This coefficient measures the effect size and may be especially relevant in cases of small samples, when the differences found do not reach statistical significance 13. The effect size for the hazard ratio (HR) was classified as small (~0.2), medium (~0.5), or large (~0.8) 14.
Finally, the calculation of the statistical power was performed to detect an HR (hazard ratio) of recurrence of glottis cancer associated with primary treatment in the population other than the unit.
RESULTS
Description of patients and tumor characteristics
After reviewing medical records, 150 patients were selected for the study. Of these, 12 patients were excluded because they had an advanced stage of cancer during diagnosis, 9 patients with laryngeal SCC located in a different place than the glottis, 3 patients with histological diagnosis other than SCC, 4 patients for being treated by external partial surgery and 3 patients for being treated at other institutions. Finally, a sample of 120 patients with laryngeal SCC located in the glottis in Stages I or II was obtained, of whom 91 (75.8%) received treatment with TLM and 29 (24.2%) with RT.
The comparative results of the sociodemographic, behavioral, and clinical variables according to the type of treatment are shown in Table I. For sociodemographic variables such as age and gender, there were no statistically significant differences between the treatment groups; the mean age was 63.9 years in the group of patients treated with RT, and 62.3 in the TLM group. The majority of patients included in the study were men (100% of patients in the RT group, and 90.1% in the TLM group). Nor were there significant differences between the two groups regarding the consumption of tobacco and alcohol. In both groups, the majority of patients were smokers (72.4% of patients in the RT group and 65.9% in the TLM group).
TABLE I COMPARISON OF SOCIODEMOGRAPHIC, BEHAVIORAL AND CLINICAL VARIABLES IN THE BASELINE STUDY ACCORDING TO THE TYPE OF TREATMENT.
| TYPE OF PRIMARY TREATMENT | |||||
|---|---|---|---|---|---|
| VARIABLES | RT (N = 29) | TLM (N = 91) | |||
| Age | Mean 63.9 | SD 10.8 | Mean 62.3 | SD 11.4 | p 0.512 |
| N | % | N | % | p | |
| Gender | 0.111 | ||||
| Male | 29 | 100 | 82 | 90.1 | |
| Female | 0 | 0 | 9 | 9.9 | |
| Smoking status | 0.448 | ||||
| Non-smoker | 8 | 27.6 | 31 | 34.1 | |
| <= 1 packet/day | 15 | 57.1 | 35 | 38.5 | |
| >1 packet/day | 6 | 20.7 | 25 | 27.5 | |
| Alcohol consumption | 0.381 | ||||
| Non consumer | 22 | 75.9 | 59 | 64.8 | |
| Consumer | 7 | 24.1 | 32 | 35.2 | |
| Tumoral stage | <0.001 | ||||
| I | 18 | 62.1 | 84 | 92.3 | |
| II | 11 | 37.9 | 7 | 7.7 | |
| Location of the tumor | <0.001 | ||||
| Only one vocal cord | 11 | 37.9 | 84 | 92.3 | |
| Both vocal cords | 5 | 17.2 | 3 | 3.3 | |
| Anterior commissure involvement | 13 | 44.8 | 4 | 4.4 | |
RT: radiotherapy; TLM: transoral laser microsurgery; SD: Standard deviation.
On the other hand, there were group differences in terms of tumor stage (p < 0.001). In the group of patients treated with RT, 18 patients (62.1%) were in Stage I, and 11 patients (37.9%) were in Stage II. However, the majority of patients treated with TLM (84 patients, 92.3%) were in Stage I, compared to seven patients (7.7%) who were in Stage II. Regarding the location of the tumor, in the RT group, 44.8% of the patients presented a lesion that affected the anterior commissure (p < 0.001). In the group of patients treated with TLM, the majority (92.3%) had a tumor confined to a single vocal cord, and only in 4.4% was the anterior commissure affected.
Survival analysis
The 120 patients included in the study were monitored for a maximum of five years, and cancer recurrence was analyzed in the patients of each treatment group (Tables II and III). The cumulative incidence of recurrence of glottis cancer at the end of the follow-up was 62.6% in those treated with TLM and 65.5% of those treated with RT, resulting in an absolute risk reduction of 2.9% (95% CI -17.1 to 22.8) and a number needed to treat (NNT) of 35 patients (data not shown). The odds of recurrence of glottis cancer was 12% lower in the group of patients treated with TLM (Odds ratio = 0.88; 95% CI 0.35 to 2.11) compared to the group of patients treated with RT (Table II). Given that the 95% CI for the Odds ratio contains the null value (OR = 1), the differences in the probability of recurrence of glottis cancer between the two treatments did not reach statistical significance (p = 0.792).
TABLE II INCIDENCE RATE (PER 1.000 PERSON PER YEAR) AND INCIDENCE RATE RATIO OF RECURRENCE OF GLOTTIS CANCER ACCORDING TO THE TYPE OF PRIMARY TREATMENT.
| Primary treatment | Incident cases, n (%) | OR | 95% CI |
|---|---|---|---|
| RT (n=29) | 19 (65.5) | 1 | - |
| TLM (n=91) | 57 (62.6) | 0.88 | (0.35 - 2.11) |
RT: radiotherapy; TLM: transoral laser microsurgery; OR: Odds ratio; CI: confidence interval.
TABLE III COX REGRESSION OF RECURRENCE OF GLOTTIS CANCER ACCORDING TO THE TYPE OF PRIMARY TREATMENT.
| Disease recurrence | ||||
|---|---|---|---|---|
| Primary treatment | Univariate Model | Multivariate Model | ||
| HR (95% CI) | p | HR (95% CI) | p | |
| RT | 1 | 0.397 | 1 | 0.586 |
| TLM | 0.80 (0.47-1.34) | 0.83 (0.42-1.64) | ||
RT: radiotherapy; TLM: transoral laser microsurgery; CI: confidence interval; HR: Hazard ratio. Multivariate Model included terms for sociodemographic variables (gender and age), behavioral variables (tobacco consumption and alcohol consumption) and clinical variables (tumor stage and location of the tumor lesion).
The mean survival time for recurrence of glottis cancer of the patients in the study was 37.2 months (95% CI: 33.4 to 41.2). Specifically, in the group of patients treated with TLM, it was 38.8 months (95% CI: 34.5 to 43.1) versus 32.5 months (95% CI: 23.9 to 41.1) of those patients treated with RT (Fig. 1). The comparison of survival curves according to the type of treatment shows that, after five years of follow-up, the probability of surviving recurrence of glottis cancer is higher in patients who received TLM (Tarone-Ware test: p = 0.265), although it did not reach statistical significance.
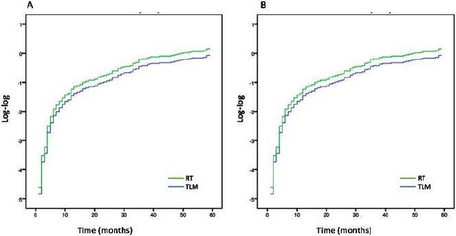
Univariate and multivariate Cox regression analysis were performed for recurrence of glottis cancer as shown in Table III. In the unadjusted (univariate) model, those patients treated with TLM had a 20% lower risk of recurrence of glottis cancer than those treated with RT (hazard ratio, HR = 0.80; 95% CI 0.47 to 1.34). The risk found did not reach statistical significance (p =0.397). The assumption of proportional hazards over the follow-up time of the categorical variable "type of primary treatment" was verified by visual inspection of the log-log curves of the univariate model (Fig. 2). As both curves are approximately parallel, we conclude that the HR of the variable "type of primary treatment" remained constant throughout the follow-up time.

Fig. 2 Log-log survival curves according to the type of treatment. A: Univariate model; B: multivariate model, adjusted by sociodemographic, behavioral, and clinical variables.
When adjusting the model for the rest of the sociodemographic characteristics (gender and age), behavioral variables (tobacco and alcohol consumption), and clinical variables (tumor stage and location of the tumor lesion), those patients treated with TLM had a 17% lower risk of cancer recurrence of glottis than those treated with RT (hazard ratio, HR = 0.83; 95% CI 0.42 to 1.64), once the effect of potential confounders and/or modifiers of the effect was controlled (p = 0.586). This effect did not reach statistical significance in the multivariate model (power = 0.173), but its magnitude was considered medium (Cohen's d = 0.65).
By visual inspection of the log-log curves of the fully adjusted model (Fig. 2B), the assumption of proportional hazards over the follow-up time of the categorical variable "type of primary treatment" was verified. Given that both curves are approximately parallel, we conclude that, once the effect of the rest of the covariates of the multivariate model on the risk of recurrence of glottis cancer was controlled, the HR of the variable "type of primary treatment" remained constant throughout the follow-up period.
To quantify the goodness of fit of the multivariate model, the Royston determination coefficient was calculated, obtaining a value of 0.15. That is to say, 15% of the variability of the survival time to recurrence of glottis cancer of the patients under study is explained by the variable "type of primary treatment" and by the rest of the adjustment variables.
DISCUSSION
The sociodemographic characteristics of the patients in our study are consistent with the published literature on laryngeal SCC. The mean age at the time of diagnosis was 63 years, and a male predominance was observed, with a male: female ratio of 12.3: 1. Likewise, we observed the relationship between the appearance of laryngeal cancer and tobacco consumption, as 67.5% of the patients included in the study were smokers, or had been smoking in the 10 years prior to diagnosis 15-17.
There are no randomized controlled clinical trials to verify possible differences in the survival of glottis cancer in early stages between the two primary treatment alternatives. As different published systematic reviews and meta-analyses reflect, the majority are case series and comparative retrospective studies. This work is retrospective, and it compares recurrence-free survival of glottis cancer in early stages based on the type of treatment patients receive to determine treatment effectiveness, as in similar reviewed studies.
This study presents the limitations typical of retrospective studies. The patients were not assigned randomly to the treatment groups but were given the treatment that the clinical team considered most appropriate for each case, which is why the group of patients treated with TLM is larger than those treated with RT (75.8% vs. 24.2%). This might have influenced the results and, therefore, the generalization of our findings. However, this imbalance between the number of patients in the treatment groups have occured in previous retrospective studies. Currently, most of the early-stage squamous cell carcinomas of glottic area are treated with TLM. To avoid this limitation, future studies should use propensity score matching.
The greater the extent of the tumor, the greater the difficulty presented for its surgical resection. Some patients have an exposure of the glottis area that is very difficult to access with the laryngoscope; in these cases, the best treatment option is RT because, with TLM, there could be near or positive margins 18. For this reason, the study shows that patients treated with RT were at a higher stage of cancer. Of the 18 patients in Stage II, 11 patients (61.1%) were treated with RT, compared with the remaining seven patients (38.8%), who were treated with TLM. However, most of the patients in Stage I (84 patients out of 102, that is, 82.3%) were treated with TLM, compared with 17.6% of patients in Stage I, who were treated with RT.
Something similar occurs concerning the tumor location, as tumors located in the anterior commissure offer an added difficulty to resection, because this area is sometimes difficult to access with the laryn goscope and, therefore, to influence with the laser and perform a resection with safety margins. In addition, it is recently accepted that tumors that affect the anterior commissure are more likely to progress or recur due to the characteristics of this area 19,20, which facilitate the spread of cancer cells because the cartilaginous barrier is weaker at this location. This is why, in patients whose tumor originates at the anterior commissure, we favor treatment with RT, as can be seen in our work, given that of the 17 patients who had affectation in the anterior commissure, 13 (76.4%) received RT, compared to the 4 patients (23.5%) who were treated with TLM.
According to the results of our study, after five years of follow-up, the probability of surviving the recurrence of glottis cancer is higher in patients treated with TLM than in those treated with RT. Although this did not reach statistical significance in the multivariate model, the effect size could be considered medium. Specifically, the mean survival time for glottis cancer to recur in patients treated with TLM was 38.8 months versus 32.5 months of those patients treated with RT. In the multivariate Cox regression model, once the confounding effect of the sociodemographic, behavioral, and clinical variables was eliminated, those patients who received TLM had a 17% lower risk of recurrence of glottis cancer than those treated with RT. The sensitivity analysis support this finding. In the literature published on this subject, there are different results in favor of one type of treatment to another. The results of this work coincide with those obtained in a study of a similar methodology by De Santis et al.21, in which no difference in disease-free survival was demonstrated between the two treatment groups after stratification by confounding variables.
However, other retrospective studies such as the recent publications of Chung et al.22 and Shelan et al.23 obtained better oncological results with RT compared to TLM. A meta-analysis published in 2018 by Guimarães et al.24 on the treatment in T1 of glottis concludes that patients initially treated with TLM have a longer general and specific survival than those treated with RT. However, in the majority of systematic reviews 25-27 and meta-analyses 28-32 published to date, there are no statistically significant differences in terms of overall and specific disease survival between the two treatment modalities.
One of the future lines of research of this workgroup is to collect information on the quality of life and voice quality of patients after RT or TLM, as well as to assess the economic cost of each treatment 8. Both aspects are important, considering that most of the previous publications agree that neither of the therapeutic options obtained better oncological results, and can guide the choice of treatment.
As a conclusion, TLM in the early stages (I or II) of treatment of patients with glottic SSC, offers greater survival to the recurrence of the disease compared to the treatment with radical RT. However, this finding did not reach statistical significance. Both treatments obtained good oncological results, so multicenter studies and meta-analyses are needed to reach stronger conclusions that facilitate the choice of one treatment or the other.











uBio 


