INTRODUCTION
Liver cirrhosis is a chronic progressive liver disease that involves histopathological changes such as hepatocyte necrosis, regenerative nodules, diffuse liver fibrosis and formation of pseudolobules due to multiple causes 1. Hepatitis B is one of the common causes of liver cirrhosis 2. The decompensated stage is the end stage of liver cirrhosis, manifested as portal hypertension and liver damage in clinical practice 3. Additionally, abdominal organ injury can induce various complications such as ascites, hemorrhages due to varicose vein rupture, hepatic encephalopathy and secondary infections, which seriously affect the prognosis of patients and cause a high mortality rate. The five-year mortality rate of patients with decompensated cirrhosis who have not undergone liver transplantation is up to 85%, of which the one-year mortality rate of those complicated with gastrointestinal bleeding and ascites as well as renal failure and infection is 57%, 20% and 67%, respectively 4. Hence, it is of great significance to understand comprehensively the causes of death and risk factors in patients with decompensated hepatitis B cirrhosis5.
In this study, the risk factors affecting the prognosis of patients with decompensated hepatitis B cirrhosis and the predictive value of these factors for the prognosis were analyzed, aiming to provide reliable bases for early clinical identification, disease judgment and prognostic evaluation.
MATERIALS AND METHODS
Subjects
The clinical data of 149 patients with decompensated hepatitis B cirrhosis treated in our hospital from August 2015 to June 2019 were collected and retrospectively analyzed. According to the Diagnostic Criteria for Chronic Hepatitis B in 2015 6, the diagnostic criteria included: a) clear evidence for etiology of hepatitis B virus (HBV) infection, and no other common causes of liver cirrhosis, b) confirmed evidence of liver cirrhosis through histology, clinical manifestations, and imaging: morphology showing liver fibrosis, regenerative nodules and pseudolobules, clinical manifestations exhibiting portal hypertension, liver insufficiency, and B-ultrasound, computed tomography, magnetic resonance, and radionuclide imaging indicating signs of liver cirrhosis; and c) complications such as hepatic encephalopathy, hemorrhages caused by rupture of esophageal and gastric varices, and ascites. The inclusion criteria were set as follows: a) patients who met the above diagnostic criteria, b) those with no recent active infection, c) those with complete clinical data, and d) those who and whose family members signed the informed consent and could cooperate to complete the follow-up. The exclusion criteria involved: a) patients with acute liver failure, b) those who were complicated with severe heart, lung, or kidney diseases, c) those who were complicated with primary liver cancer or other malignant tumors, d) those who were complicated with history of brain diseases, metabolic encephalopathy or toxic encephalopathy, e) those who received glucocorticoid or immunosuppressive therapy, or f) cases undergoing liver transplantation. This study was approved by the Medical Ethics Committee of our hospital. The number of samples included in factor analysis is about 5-10 times that of variable factors. There were 20 variable factors in this study, so the number of included samples should have been >100. Finally, 149 cases were included (Fig. 1).
Data collection and scoring
The medical records were reviewed to collect the gender, age and physical examination results of every patient. After admission, the patient’s first laboratory examination data were recorded, including routine blood tests, coagulation function, liver function, and kidney function. Child-Turcotte-Pugh (CTP) score 7: ascites, hepatic encephalopathy, serum total bilirubin (TBil), albumin (Alb), and prothrombin time (PT) were scored according to the severity of the disease, namely 1, 2 and 3 points, respectively. The score of 5 items was added, and 5-6 points were Grade A, indicating liver function compensation; 7-9 points were Grade B, indicating liver function decompensation; and 10-15 points were Grade C, indicating severe decompensation of liver function. The Model for end-stage liver disease (MELD) was utilized to assess the patients’ liver function 8. The MELD score was calculated with the formula: 3.8 × ln [bilirubin (mg/dL)] + 11.2 × ln [prothrombin international normalized ratio (INR)] + 9.6 × ln [creatinine (mg/dL)] + 6.4.
Follow-up and grouping
The date of patients admitted to the hospital with a confirmed diagnosis of decompensated hepatitis B cirrhosis for the first time was regarded as the start of follow- up. The last follow-up or death was set as the end event. The follow-up period was not less than one year. During the one-year follow-up period, the dead patients were selected as the death group, while the surviving patients were enrolled as the survival group.
Statistical analysis
The SPSS 16.0 software was used for statistical analysis. The measurement data conforming to normal distribution were expressed as means ± standard deviations, and the independent t-test was used for comparison between groups. If the data did not conform to the normal distribution, they were expressed as medians (lower quartiles and higher quartiles) [M (P25, P75)], and the rank sum test was used for comparison between the groups. The numerical data were expressed as percentages (%), and the χ2 test was used for comparison between groups. The Multivariate COX regression analysis was utilized to explore the risk factors for the death of patients with decompensated hepatitis B cirrhosis, and the correlations among indices were analyzed by the Spearman correlation test. The Long-rank χ2 test was used to analyze the death of patients, and the Kaplan-Meier method was adopted to draw the survival curve. The positive and negative predictive values of these factors for the death of patients were analyzed by the receiver operating characteristic (ROC) curve, and the area under the curve (AUC) was calculated. The inspection level was α=0.05. p<0.05 indicated that the difference was statistically significant.
RESULTS
Among the 149 patients with decompensated hepatitis B cirrhosis, there were 86 males and 63 females, aged 46-70 years old, with an average of 56.42 ± 6.45. During the one-year follow-up, 103 patients survived (69.13%), and 46 died (30.87%).
No statistically significant differences were found in gender, aspartate aminotransferase (AST), alanine aminotransferase (ALT), alkaline phosphatase (ALP) and platelet (PLT) between the two groups (p>0.05). The age, total bilirubin (TBil), white blood cell count (WBC), neutrophils (N), neutrophil-lymphocyte ratio (NLR), red cell distribution width (RDW), serum creatinine (Scr), PT, INR, CTP score, and MELD score were higher. Body mass index (BMI), Alb, lymphocyte (L), and serum sodium were lower in the death group than those in the survival group, suggesting statistically significant differences (p<0.05) (Table 1).
Table 1 Baseline data of survival and death groups.
| Index | Survival group (n=103) | Death group (n=46) | χ2/Z/t | p |
|---|---|---|---|---|
| Gender (male/female, case) | 69/34 | 28/18 | 0.524 | 0.469 |
| Age (year, x̅ ±SD) | 54.06 ± 5.40 | 61.72± 5.41 | 7.995 | 0.0001 |
| BMI (kg/m2, x̅ ±SD) | 22.03±1.09 | 19.44±1.00 | 13.736 | 0.0001 |
| AST (U/L, x̅ ±SD) | 47.86±5.42 | 49.23±5.51 | 1.418 | 0.158 |
| ALT (U/L, x̅ ±SD) | 52.45±7.39 | 53.82±7.44 | 1.043 | 0.299 |
| ALP (U/L, x̅ ±SD) | 146.72±15.83 | 147.61±16.09 | 0.315 | 0.753 |
| TBil (μmol/L, [M(P25,P75)]) | 28.95(21.36~42.07) | 64.52(25.48~113.65) | 26.596 | 0.0001 |
| Alb (g/L, x̅ ±SD) | 32.75±4.61 | 25.13±3.48 | 10.003 | 0.0001 |
| WBC (109/L, x̅ ±SD) | 6.34±0.75 | 7.49±0.94 | 7.978 | 0.0001 |
| N (109/L, [M(P25,P75)]) | 6.27(3.65~8.49) | 8.13(5.08~10.97) | 7.328 | 0.0001 |
| L (109/L, x̅ ±SD) | 1.48(0.72~2.13) | 0.75(0.49~1.06) | 5.267 | 0.0001 |
| NLR (x̅ ±SD) | 5.78(1.71~11.79) | 11.38(4.79~14.63) | 13.586 | 0.0001 |
| RDW (%, [M(P25,P75)]) | 15.68(14.05~17.26) | 17.29(14.97~19.38) | 6.419 | 0.0001 |
| PLT (109/L, x̅ ±SD) | 76.85±23.19 | 75.37±22.68 | 0.362 | 0.718 |
| Scr (mg/L, x̅ ±SD) | 0.76±0.25 | 1.64±0.82 | 9.941 | 0.0001 |
| Serum sodium (mmol/L, x̅ ±SD) | 139.29±7.79 | 126.27±7.35 | 9.587 | 0.0001 |
| PT (s, [M(P25,P75)]) | 15.14(12.96~17.03) | 18.73(15.42~20.91) | 8.693 | 0.0001 |
| INR (x̅ ±SD) | 1.41±0.35 | 1.98±0.62 | 7.140 | 0.0001 |
| CTP score (point, x̅ ±SD) | 9.53±0.85 | 12.54±0.97 | 19.104 | 0.0001 |
| MELD score (point, x̅ ±SD) | 9.34±2.51 | 17.54±3.31 | 16.636 | 0.0001 |
Body mass index (BMI), aspartate aminotransferase (AST), alanine aminotransferase (ALT), alkaline phosphatase (ALP), serum total bilirubin (TBil), albumin (Alb), white blood cell count (WBC), neutrophils (N), lymphocyte (L), neutrophil-lymphocyte ratio (NLR), red cell distribution width (RDW), platelet (PLT), serum creatinine (Scr), prothrombin time (PT) international standard ratio (INR).
Among the variables with statistically significant differences between the survival and death groups, TBil, Alb, PT, INR, Scr, N, and L displayed multiple linear relationships with the CTP, MELD, and NLR scores, so they were excluded from the multivariate COX regression analysis. Finally, the multivariate COX regression analysis included age, BMI, WBC, NLR, RDW, serum sodium, MELD, and CTP scores. The results exhibited that high NLR, RDW, MELD score and CTP score, and low serum sodium were independent risk factors for death in patients with decompensated hepatitis B cirrhosis (Table 2).
Table 2 Risk factors for death in patients with decompensated hepatitis B cirrhosis.
| Factor | β | SE | Wald | p | OR | 95%CI |
|---|---|---|---|---|---|---|
| Age | 0.975 | 0.826 | 1.257 | 0.482 | 0.893 | 0.568~1.347 |
| BMI | -0.824 | 0.672 | 1.438 | 0.519 | 1.275 | 0.641~1.852 |
| WBC | 1.356 | 1.198 | 2.065 | 0.237 | 1.684 | 0.753~2.469 |
| NLR | 2.249 | 1.863 | 3.521 | 0.0001 | 3.536 | 2.384~4.728 |
| RDW | 0.832 | 0.754 | 1.849 | 0.021 | 2.048 | 1.276~3.514 |
| Serum sodium | -0.765 | 0.627 | 1.232 | 0.035 | 1.952 | 1.597~3.863 |
| CTP score | 2.493 | 2.182 | 4.574 | 0.009 | 4.376 | 3.458~5.692 |
| MELD score | 2.608 | 2.379 | 4.683 | 0.004 | 4.715 | 3.629~5.847 |
The independent variables were assigned values with the median as the cut-off point: age: >57 years old=1, <57 years old=0, BMI: >21.2 kg/m2=1, <21.2 kg/m2=0, WBC: >6.65×109/L=1, <6.65×109/L=0, NLR: >7.38=1, <7.38=0, RDW: >16.15%=1, <16.15%=0, serum sodium: >135.39 mmol/L=1, <135.39 mmol/L=0, CTP score: >10.26 points=1, <10.26 points=0, MELD score: >11.31 points=1, <11.31 points=0.
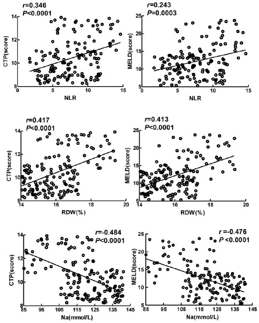
NLR had positive correlations with the CTP score and MELD score (r=0.346, p=0.0001, r=0.243, p=0.0003). RDW had positive relations to CTP score and MELD score (r=0.417, p=0.0001, r=0.413, p=0.0003). Serum sodium was negatively associated with CTP score and MELD score (r=-0.484, p=0.0001, r=-0.476, p=0.0001) (Fig. 2).
According to the independent risk factors obtained in the multivariate COX regression analysis, the indices were categorized into more than the median group and less than the median group. The survival rate was 89.47% in NLR<7.38 group and 47.95% in NLR>7.38 group, suggesting a statistically significant difference (χ2=30.090, p=0.0001). It was 82.89% in the RDW<16.15% group and 54.79% in the RDW>16.15% group, suggesting a statistically significant difference (χ2=13.777, p=0.0001). It was 94.59% in the serum sodium>146.31 mmol/L group and 44.00% in the serum sodium<146.31 mmol/L group, suggesting a statistically significant difference (χ2=44.678, p=0.0001). Besides, the survival rate was 86.67% in the CTP score <10.26 points group and 51.35% in the CTP score >10.26 points group, suggesting a statistically significant difference (χ2=21.768, p=0.0001). It was 90.67% in the MELD score<11.31 points group and 47.30% in the MELD score>11.31 points group, suggesting a statistically significant difference (χ2=32.829, p=0.0001) (Fig. 3).
In predicting the death of patients with decompensated hepatitis B cirrhosis, the area under the NLR curve was 0.836, the 95% confidence interval (CI) was 0.770-0.903, the optimal cut-off value was 7.49, the sensitivity was 81.1%, the specificity was 86.7%, and the Youden’s index was 0.678. The area under the RDW curve was 0.752, the 95% CI was 0.670- 0.834, the optimal cut-off value was 16.22%, the sensitivity was 78.4%, the specificity was 78.7%, and the Youden’s index was 0.571. The area under the serum sodium curve was 0.774, 95% CI was 0.695-0.853, the optimal cut-off value was 120.95 mmol/L, the sensitivity was 75.7%, the specificity was 85.3%, and the Youden index was 0.610. Besides, the area under the CTP score curve was 0.883, 95% CI was 0.823-0.942, the optimal cut-off value was 10.34 points, the sensitivity was 86.5%, the specificity was 90.7%, and the Youden’s index was 0.772. The area under the MELD score curve was 0.894, the 95% CI was 0.839-0.948, the optimal cut-off value was 11.35 points, the sensitivity was 87.8%, the specificity was 88.0%, and the Youden’s index was 0.758 (Fig. 4 and Table 3).

Fig. 4 Predictive values of independent risk factors for death of patients with decompensated hepatitis B cirrhosis.
Table 3 Parameters of predictive efficiency.
| Parameter | NLR | RDW | Serum sodium | CTP score | MELD score |
|---|---|---|---|---|---|
| Sensitivity | 81.1% | 78.4% | 75.7% | 86.5% | 87.8% |
| Specificity | 86.7% | 78.7% | 85.3% | 90.7% | 88.0% |
| Positive predictive value | 0.801 | 0.725 | 0.773 | 0.826 | 0.891 |
| Negative predictive value | 0.592 | 0.556 | 0.557 | 0.613 | 0.650 |
| Youden’s index | 0.678 | 0.571 | 0.610 | 0.772 | 0.758 |
| AUC | 0.836 | 0.752 | 0.774 | 0.883 | 0.894 |
| 95%CI | 0.770~0.903 | 0.670~0.834 | 0.695~0.853 | 0.823~0.942 | 0.839~0.948 |
| Optimal cut-off value | 7.49 | 16.22% | 120.95 mmol/L | 10.34 points | 11.35 points |
DISCUSSION
Patients with decompensated cirrhosis are prone to malnutrition, with an incidence rate of up to 60-100% in the advanced stage 9. Verma et al. reported that the nutritional indices, BMI and Alb, significantly declined in the patients with poor prognosis, so both of them can be used to predict the prognosis of patients with decompensated cirrhosis 10. Likewise, we herein found that the BMI and Alb of the death group were significantly lower than those of the survival group. Probably, lipids and proteins are abnormally synthesized due to liver damage, which induces malnutrition, especially in patients with decompensated cirrhosis. As a result, the synthesis and decomposition of apolipoproteins and blood lipids are affected 11.
WBC count is usually employed to evaluate the inflammatory response. Generally, the count increases when the inflammatory response is enhanced 12. Consistently, this study exhibited that the count of WBC was significantly higher in the death group. Zhang et al. reported that NLR had a high predictive value for the occurrence of hepatitis B-related liver failure 13. Additionally, Kalra et al. reported that NLR was an independent predictor for the 30-day death of patients with decompensated hepatitis B cirrhosis 14. The above conclusions are consistent with the results of this study. During the progression of chronic liver disease into the end stage, the excessive immune response stimulates the activation of T and B-lymphocytes to release a large number of inflammatory mediators to induce inflammation, oxidative stress, and chemotaxis. As a result, neutrophils stored in the liver sinusoids are largely released into the blood, then increasing the neutrophil count in the peripheral blood 15. In addition, the long-term malnutrition of patients with chronic liver disease not only hinders lymphocyte synthesis but also promotes lymphocyte apoptosis, thus reducing the lymphocyte count and ultimately increasing NLR 16.
Zhang et al. reported that RDW was positively associated with decompensated hepatitis B cirrhosis and gastrointestinal bleeding as an independent factor 17. Besides, Ferdous et al. reported that RDW was significantly increased in patients with hepatitis B and positively related to the disease severity 18. Moreover, Wang et al. reported that RDW was closely correlated with the mortality rate of patients with hepatitis C cirrhosis 19, which is consistent with the results of this study. RDW increases due to nutrient (such as folic acid, vitamin B12, and iron) deficiencies, aggravated erythrocyte destruction, inflammation, and bone marrow suppression. These conditions usually exist in patients with chronic liver disease, especially in those with decompensated hepatitis B cirrhosis 20. The incidence rate of complications increases in patients with decompensated hepatitis B cirrhosis complicated by hyponatremia. Decreased serum sodium levels shorten the average survival time, and the mortality rate is elevated 21. The decreased level of serum sodium is an independent risk factor leading to poor prognosis of patients with decompensated hepatitis B cirrhosis 22. This study further confirmed the above results. On the one hand, the damaged liver attenuates the inactivation of antidiuretic hormone, which facilitates the reabsorption of water by renal tubules, leading to water retention. On the other hand, the energy-rich phosphate linkage is reduced due to liver function decline. The sodium pump activity decreases, thereby inhibiting the activity of Na+-K+-ATPase, and resulting in the difficulties of K+ entering cells and Na+ releasing from cells. Additionally, plasma colloid osmotic pressure is reduced by hypoproteinemia, which causes fluid extravasation and dilutional hyponatremia 23.
CTP and MELD scores are commonly utilized to evaluate the liver reserve function, disease severity, and prognosis of patients with cirrhosis in clinical practice. Fernández Carrillo et al. found that the CTP and MELD scores of patients with decompensated cirrhosis were significantly higher in the death group than those in the survival group and could be considered as independent risk factors for death and predictors for prognosis 24. Similar to our study, Qiang et al. reported that CTP and MELD scores were positively related to NLR and RDW and negatively associated with serum sodium 25. Notably, there are also differences between the results of this study and those mentioned above, which may be ascribed to the differences between individuals, detection reagents, determination criteria, and sample size.
Regardless, this study has some limitations. This is a retrospective single-center study with a small sample size, and the indicator levels of patients with different complications were not analyzed. Further prospective multicenter studies with larger sample sizes are ongoing in our group. More detailed data can be obtained through grouping based on different complications of patients to provide reliable guidance for clinical practice.
In conclusion, NLR, RDW, serum sodium, CTP score, and MELD score can be considered as critical indices to evaluate and predict the prognosis of patients with decompensated hepatitis B cirrhosis.











uBio 





