Services on Demand
Journal
Article
Indicators
-
Cited by SciELO -
Access statistics
Related links
-
Similars in
SciELO
Share
Archivos Venezolanos de Farmacología y Terapéutica
Print version ISSN 0798-0264
AVFT vol.21 no.1 Caracas Jan. 2002
Hiperinsulinemia y sensibilidad a la Sal
I Hoffmann1, R Baldonedo1, M Roa1, G Leandro1, L Aponte1, M Franklin1, C Palermo1, R Cubeddu1, E Jiménez1 y L Cubeddu X1.
-
Centro para la Detección y Tratamiento de Factores Silentes de Riesgo Cardiovascular y Metabólico (Sil-Detect). Unidad de Farmacología Clínica. Cátedra de Farmacología. Facultad de Farmacia. Universidad Central de Venezuela.
Resumen
La enfermedad coronaria es una de las primeras causas de morbilidad y mortalidad cardiovascular. Para su prevención es necesario diagnosticar y corregir con medidas farmacológicas y no farmacológicas los factores de riesgo cardiovascular modificables. Nosotros hemos desarrollado un programa de diagnostico precoz y tratamiento de factores que incrementan el riesgo a desarrollar enfermedades cardiovasculares y metabólicas, en sujetos "sanos", asintomáticos. Hasta el presente hemos evaluado 153 sujetos. En este trabajo evaluamos la asociación de la sensibilidad a la sal con otros factores de riesgo cardiovascular silente e investigamos los posibles factores predictores de sensibilidad a la sal. La comparación de los sujetos sensibles a la sal (SS), con los sujetos sal resistentes (SR) demostró que los sujetos SS tienen mayor edad, peso corporal, cifras tensionales, niveles elevados de triglicéridos, niveles bajos de HDL-colesterol y de actividad física. Adicionalmente estudiamos el papel de la hiperinsulinemia y de la hiperglicemia en la sensibilidad a la sal, a través de la medición de la incidencia (porcentaje de individuos SS y SR) y severidad de la sensibilidad a la sal en sujetos hiperinsulinémicos e intolerantes glucosados y/o diabéticos comparándolos con sus respectivos controles. No hubo diferencias en la distribución de sensibilidad a la sal entre los diferentes grupos (hiper y normo insulinemicos (insulina en ayunas < 15 uUI/ml), glucotolerantes (glicemia en ayunas <110; 2 horas post carga <140 mg/d) y en los intolerantes glucosados y/o diabéticos. La severidad de la sensibilidad a la sal también fue similar entre los grupos, de hecho, la reducción de la ingesta de sal de 316 ± 13 a 26 ± 3 mmol/día, produjo cambios similares en la presión arterial en sujetos hiperinsulinémicos o en sujetos con niveles normoinsulinémicos y en sujetos tolerantes e intolerantes glucosados y/o diabéticos. Adicionalmente no se encontró correlación entre la magnitud de los cambios de la presión arterial inducidos por la sal y los niveles de insulina y glucosa en ayunas, 2 horas después de la carga oral de glucosa o el área bajo la curva de insulina. En conclusión, nuestros resultados sugieren los niveles de glicemia y de insulina del paciente, no determinan su reactividad vascular a los cambios en ingesta de sal.
Palabras Clave: Hiperinsulinemia, Sensibilidad a la sal, Factores de riesgo cardiovasculares.
Abstract
Coronary artery disease is one of the leading causes of cardiovascular morbidity and mortality. Early detection and correction of modifiable cardiovascular risk factors is mandatory for disease prevention. A program was develop for the early diagnosis and treatment of factors known to increment the risk of developing cardiovascular and metabolic disease in apparently healthy subjects. Ion this report, we present data for the first 153 individuals evaluated. We investigated the association of salt sensitivity with other cardiovascular risk factors, and in addition, determined which factors predicted salt sensitivity. The comparison of salt sensitive subjects (SS) with salt resistant subjects (SR) demonstrated that SS are older, heavier, have higher blood pressure and triglyceride levels and lower HDL-cholesterol, as well as a lesser level of physical activity. The prevalence and severity of salt sensitivity in hyperinsulinaemic and in glucose intolerant individuals was also investigated. There was no difference in the distribution of salt sensitivity among groups (hyper and normo insulinaemic), glucose tolerant (fasting glucose < 110 mg/dl; 2 hours post oral load < 140 mg/dl) and glucose intolerant and/or diabetic subjects. Reducing salt intake from 316 ± 13 to 26 ± 3 mmol/day, produced similar decreases in blood pressure in hyper- and normoinsulinaemic and in glucose tolerant and glucose intolerant and/or diabetic subjects. In addition, no correlation was found between the magnitude of blood pressure increase induced by high salt and insulin or glucose levels, either fasting, 2 hours post glucose load or calculated as the area under the curve following a 75 gr. glucose load. In conclusion, our results suggest that insulin and glucose levels do not determine the increase in vascular reactivity induced by increases in salt intake.
Key Words: Hyperinsulinaemia, Salt sensitivity, Cardiovascular risk factors.
Introducción
La asociación que existe entre la cantidad de sal consumida, los niveles de presión arterial y el riesgo de enfermedad cardiovascular y otras enfermedades se conoce desde hace mas de 50 años. De hecho los primeros estudios en animales de experimentación realizados por Dahl en 1960(1) y Mennely en 1967(2) demostraron que en la rata, el aumento en el consumo de sal producía un aumento en la presión arterial. En el hombre, la evidencia de que la alta ingesta de sal juega un papel fundamental en los niveles de la presión arterial, proviene de estudios epidemiológicos, de migración, de intervención, o de restricción de sal.
Entre los estudios epidemiológicos se destacan los de Page y col. (1974)(3), quienes compararon los niveles de presión arterial sistólica en dos poblaciones, blancos ingleses e indígenas de las islas Solomon, comunidades de alta y baja ingesta de sal, respectivamente, encontrando una mayor prevalencia de hipertensión arterial, así como un mayor aumento de presión arterial con la edad, en la población de alta ingesta de sal. Los trabajos de Stamler y col. (1976)(4) demostraron una relación directa entre el elevado consumo de sal en la población y los niveles de presión arterial y más recientemente, MacMahon y col., (1990), Elliott (1991) y Sasaki y col. (1995)(5-7), demostraron la asociación entre el consumo de sal, la presión arterial y la morbilidad y mortalidad cardiovascular. De hecho, estos autores reportan, que el riesgo de enfermedad isquémica cardiovascular es directamente proporcional a los niveles de presión arterial, que a su vez es función de la ingesta de sal.
Los estudios de migración apoyan los resultados obtenidos en los estudios epidemiológicos. Así Poulter y col. (1990)(8) demostraron que los niveles de presión arterial de una población de granjeros de Kenya que consumían una dieta de muy bajo contenido de sal, aumentaron significativamente luego que migraron a zonas urbanas en donde su ingesta de sal fue comparable a la de los países occidentales. Otro estudio que demuestra la importancia del consumo de sal fue el realizado por Forte y col., 1989(9), quienes estudiaron en una villa de Portugal, los efectos de la reducción de la cantidad de sal utilizada en la elaboración de los alimentos caseros e incluso en la de los alimentos procesados, observando una reducción significativa en la presión arterial cuando se le comparó con la villa control.
Estudios de restricción de sal a corto plazo, han demostrado una reducción en la presión arterial en pacientes hipertensos similar en magnitud a la producida por la administración de diuréticos(10-11).
En conclusión estos estudios demuestran que la ingesta de sal es un factor determinante en las diferencias de presión arterial entre las poblaciones, en el incremento en la presión arterial con la edad y en la morbilidad y mortalidad cardiovascular.
Sin embargo, una ingesta de sal aumentada, no necesariamente conlleva a incrementos en la presión arterial en todos los sujetos. Existen individuos en quienes una alta ingesta de sal no eleva sus presiones arteriales; estos sujetos han sido clasificados como resistentes a la sal o sal resistentes(12). Aquellos individuos en quienes la ingesta de un alto contenido de sal incrementa su presión arterial (10% de su PA media), se clasifican como sensibles a la sal(12). Existen varios métodos para determinar la respuesta de la presión arterial inducida por alteraciones en el balance de sodio. Uno de los métodos empleados consiste en evaluar los cambios en la presión arterial del paciente inducidos por la expansión de volumen, a través de la administración intravenosa de solución salina (2 litros en 4 horas) y por la reducción de sodio y de volumen, a través de una dieta de 10 mmoles de sodio y la administración de tres dosis furosemida. Esta técnica requiere la hospitalización del paciente dos días. La otra metodología consiste en la administración de una dieta alta en sodio (300 meq/día) por una semana seguida de una dieta baja en sal (10-20 meq/día) por otra semana. La presión arterial es cuantificada al finalizar la semana alta y baja en sal. Esta técnica se realiza de manera ambulatoria. Ambas han demostrado ser seguras para los pacientes, confiables y reproducibles(13).
Aproximadamente un 40 a un 50% de los pacientes con hipertensión arterial y un 30 a un 40% de los sujetos normotensos, parecen ser sal sensibles, definido por aumentos de al menos 10 mmHg durante una dieta de sal de 200 meq/d cuando se le compara con la presión arterial obtenida durante dietas que contienen solamente de 10-20 meq/d de sal(12,14).
Los pacientes sensibles a la sal tienen un mayor riesgo de sufrir enfermedades cardiovasculares. De hecho, existen evidencias de que los sujetos hipertensos sal sensibles tienen mayores incrementos de presión arterial con la edad, mientras que los sujetos normotensos sal sensibles, tienen mayor chance que los sujetos sal resistentes, de desarrollar hipertensión arterial con la edad(15). Los sujetos sal sensibles tienen mayor incidencia de hipertrofia ventricular izquierda y de microalbuminuria(14,16-18), mayores niveles de marcadores de lesión endotelial(19) y el doble de eventos cardiovasculares fatales y no fatales(14) que los sujetos sal resistentes.
La incidencia de sensibilidad a la sal en nuestro medio se desconoce y menos aun se conoce su asociación con otros factores de riesgo y si la misma cursa con anormalidades en el metabolismo de la glucosa e insulina. Por tal motivo, en el presente trabajo investigamos en la población de sujetos asintomáticos "aparentemente sanos", que acude a nuestro Centro para el Diagnóstico de Factores Silentes de Riesgo Cardiovascular y Metabólico, la incidencia de sensibilidad a la sal y su relación con la obesidad, los lípidos plasmáticos, la presión arterial, la insulinemia y la glicemia basal y postprandial.
La hiperinsulinemia parece ser una respuesta compensatoria a un estado de insensibilidad o resistencia de los tejidos periféricos a los efectos de la insulina, principalmente el músculo esquelético(20). Debido a que la hiperinsulinemia compensatoria es comúnmente observada en la obesidad y en los estadios tempranos de la diabetes tipo 2, se ha propuesto que la insulina pudiera jugar algún papel en la etiología de la hipertensión asociada con esas condiciones(21-26). La administración aguda de insulina aumenta la actividad de los nervios simpáticos e induce retención de sodio(12,27-28). Interesantemente, sujetos no obesos con hipertensión arterial pueden también presentar un estado de resistencia a la insulina con la consecuente hiperinsulinemia compensatoria(29). Estos hallazgos indican que la resistencia insulina esta presente en la hipertensión, la obesidad y la diabetes tipo 2 y que la hiperinsulinemia es agravada por la coexistencia de dos o más de estas tres condiciones en un individuo(25). Estudios recientes también han mostrado una relación entre la sensibilidad a la sal y la resistencia insulínica tanto en individuos hipertensos como en individuos normotensos(19,30-33). De hecho, Sharma y col. (1991,1993)(30-31) han demostrado que los sujetos jóvenes normotensos con sensibilidad a la sal responden con hiperinsulinemia cuando se exponen a una carga oral de glucosa, a pesar de tener valores normales de glucosa e insulina en ayunas. Esta anormalidad en el metabolismo de la glucosa se agrava cuando aumenta la ingesta de sal, lo que conlleva un grado de hiperinsulinemia mayor y glicemias francamente aumentadas (curva de tipo diabética). Los sujetos hipertensos sensibles a la sal comparados con sujetos resistentes a la sal reaccionan con hiperinsulinemia al recibir una carga oral de glucosa(32). Finalmente también se ha demostrado que la alta ingesta de sal puede agravar la resistencia insulínica en sujetos hipertensos induciendo hiperinsulinemia en los sujetos sal sensibles pero no en los sujetos sal resistentes(19,33). Llama la atención el hecho de que en los sujetos sal sensibles la alta ingesta de sal produce hiperinsulinemia en ayunas que no se observa cuando la ingesta de sal es baja, sugiriendo que la alta ingesta de sal empeora la resistencia insulínica en pacientes hipertensos sensibles a la sal(33). Todas estas evidencias han llevado a sugerir que existe una importante relación entre el metabolismo de la glucosa y la sensibilidad a la sal. En el presente trabajo investigamos la posible participación de la insulina y la glucosa en la sensibilidad a la sal evaluando la incidencia y la severidad de la sensibilidad a la sal en sujetos hiperinsulinémicos y en intolerantes glucosados y/o diabéticos comparándolo con sus respectivos controles y la relación entre la insulina y la glicemia con la reducción de la presión arterial inducida por la restricción de sal.
Métodos
Este estudio fue aprobado por el Comité de Etica del Hospital Universitario de Caracas y se obtuvo el consentimiento firmado de todos los sujetos estudiados. Los resultados que se van a describir en el presente trabajo corresponden a una población de 153 individuos sanos, asintomáticos (55 de sexo masculino, 98 de sexo femenino), de edades comprendidas entre los 15 y 66 años, que acudieron a nuestro centro para su evaluación y control. Ninguno de los sujetos estudiados tenia evidencia clínica ni paraclínica de enfermedad cardiovascular, cerebral, renal, hepática o pulmonar, ni estaban recibiendo medicación. A todos los sujetos se les practicó un interrogatorio, en el que se obtuvo la información acerca de sus antecedentes personales y familiares así como de sus hábitos psicobiológicos. El nivel de actividad física se cuantificó de acuerdo a la siguiente escala 0 = sedentario, 1 = inactivo, no tiene actividad física regular, 2 = actividad física leve, 3 = actividad física moderada, 4 = deportista, actividad física intensa. Adicionalmente, se realizó un examen físico completo. El índice de masa corporal (IMC) fue calculado como la relación entre el peso en Kg y la talla en metros cuadrados (Kg/m2). La circunferencia de la cintura y la cadera fue medida en centímetros a nivel del ombligo y en el nivel más ancho de la región trocantérica, respectivamente. La relación cintura cadera (RCC) se calculó dividiendo la circunferencia de la cintura por la circunferencia de la cadera. A todos los sujetos se les determino el perfil lipídico y se les realizó una curva de tolerancia glucosada con niveles de insulina de 6 puntos, es decir en ayunas de 12 horas y 30, 60, 90, 120 y 180 minutos después de una carga oral de glucosa de 75 gr, La glucosa fue cuantificada con un analizador automático (Beckman Instruments, Palo Alto, CA), empleando la técnica de la glucosa oxidasa. La insulina plasmática fue cuantificada por radioinmunoensayo de fase sólida (Diagnostic Products Corporation, Los Angeles, CA). Los lípidos plasmáticos fueron medidos por una técnica espectrofotométrica (Express 550). Adicionalmente, a todos los sujetos se les determinó su sensibilidad a la sal. Para esto último los sujetos fueron sometidos a un periodo de alta sal (300meq/día) seguido de un periodo de baja sal (20-40 meq/día), de una semana cada uno. Antes de comenzar con las dietas altas y bajas en sal y al finalizar cada periodo se les cuantifico por esfigmomanometría la presión arterial sistólica, diastólica y media en posición supina, luego de 15 minutos de reposo. Los sonidos de Korotkoff 1 y 5 fueron utilizados para registrar la presión sistólica y diastólica, respectivamente. Se practicaron al menos tres lecturas consecutivas de la presión arterial y el promedio de las mismas fue utilizado en los cálculos y análisis estadísticos. La excreción diaria de sodio basal y al finalizar las dietas altas y bajas en sal se determino por la técnica del ion selectivo con un analizador de electrolitos Easy Lite. Solo se analizaron los datos provenientes de sujetos que tuvieron una excreción de sodio superior a 270 meq/día y menor de 60 meq/día al finalizar la semana alta y baja en sal, respectivamente. Para cuantificar la sensibilidad a la sal, se resto el valor promedio de la presión arterial media al finalizar la semana baja de sal, del valor obtenido al finalizar la semana alta en sal. Se consideraron sal resistentes aquellos sujetos que mostraron diferencias menores a 3 mmHg; sal sensibles a aquellos que tuvieron disminuciones mayores de 10 mmHg y con sensibilidad intermedia a la sal cuando el descenso en presión arterial media fue mayor de 3 pero menor de 10 mmHg.
Estadística
Se muestran las medias ± ESM de los valores. Las variables fueron analizadas por la prueba de regresión lineal. Las variables independientes fueron comparadas por la prueba del t de Student y las variables dependientes por la prueba del t pareado. Las diferencias se consideraron significativas a valores de p<0,05.
Resultados
Las características de los sujetos estudiados se resumen en la Tabla 1. La población estudiada (n=153) consistió de 55 hombres y 98 mujeres, con una edad promedio de 44 ± 1 años, y un peso promedio de 78 ± 1 Kg.
Tabla 1: Características de la población estudiada
| Edad (años) | 41 | ± | 1 |
| Peso (Kg) | 78 | ± | 1 |
| Indice de masa corporal (Kg/m2) | 29,5 | ± | 0,4 |
| Relación cintura/cadera | 0,89 | ± | 0,07 |
| Presión arterial sistólica (mmHg) | 119 | ± | 1,4 |
| Presión arterial diastólica (mmHg) | 79 | ± | 0,9 |
| Presión arterial media (mmHg) | 92 | ± | 1 |
| Frecuencia cardiaca (latidos/minutos) | 66 | ± | 0,7 |
| Glucosa en ayunas (mg/dl) | 92 | ± | 1,3 |
| Glucosa 2 horas (mg/ml) | 113 | ± | 3 |
| Insulina ayunas (uUI/ml) | 19 | ± | 1 |
| Insulina 2 horas (uUI/ml) | 104 | ± | 7 |
| Colesterol total (mg/dl) | 217 | ± | 3,8 |
| HDL-colesterol (mg/dl) | 49 | ± | 4 |
| LDL-colesterol (mg/dl) | 133 | ± | 5 |
| Triglicéridos (mg/dl) | 150 | ± | 8 |
Un 44% y un 29% de los pacientes presentaron cambios menores a 3 mmHg y superiores a los 10 mmHg, respectivamente, cuando se comparan las presiones arteriales medias obtenidas durante las dietas altas y bajas en sal. Estos resultados indican que aproximadamente un tercio de los sujetos asintomáticos, «sanos», estudiados presentan aumentos marcados en sus presiones arteriales cuando incrementan la ingesta de sal. Dichos aumentos tensionales se revierten al reducir la ingesta de sal. Así mismo, un 27% de los sujetos evaluados tuvieron incrementos entre 3 y 10 mmHg al elevar su ingesta de sal (sujetos con sensibilidad intermedia a la sal).
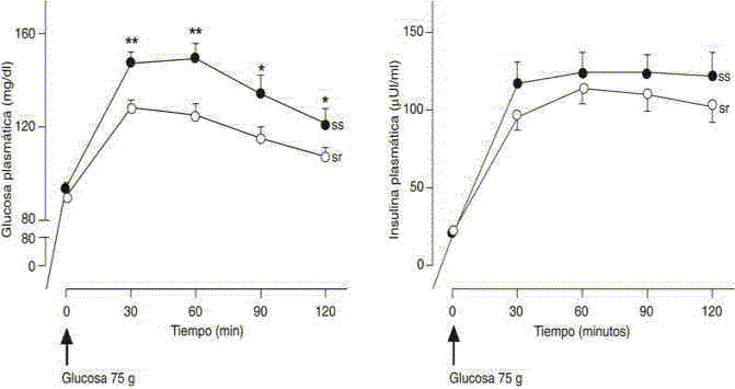
La comparación de los sujetos sensibles a la sal, con los sujetos sal resistentes demostró que los sujetos sal sensibles tienen mayor edad, mayor IMC, mayores niveles de triglicéridos y de presión arterial sistólica, diastólica y media, y un grado de actividad física significativamente menor (Tabla 2). Finalmente, los sujetos sal sensibles tuvieron niveles de glucosa plasmática después de la carga oral de glucosa significativamente mayores que los sujetos sal resistentes (Figura 1).
Tabla 2: Características de los pacientes en base a su sensibilidad a la sal
|
| Sal sensibles |
| Sal resistentes | ||||
| N | 43 |
| 68 | ||||
| Sexo | 20 M / 26 F |
| 23 M / 45 F | ||||
| Edad (años) | 46,8 | ± | 1,7** |
| 37,7 | ± | 1,4 |
| Peso (Kg) | 81,2 | ± | 2,5 |
| 75,8 | ± | 2,1 |
| IMC (Kg/m2) | 30,8 | ± | 0,7* |
| 28,2 | ± | 0,7 |
| RCC | 0,93 | ± | 0,01 |
| 0,88 | ± | 0,1 |
| PAS (mmHg) | 128 | ± | 3** |
| 114 | ± | 1,7 |
| PAD (mmHg) | 84 | ± | 2** |
| 76 | ± | 1 |
| PAM (mmHg) | 99 | ± | 2** |
| 88 | ± | 1 |
| Frecuencia cardiaca (latidos/min) | 66 | ± | 1 |
| 65 | ± | 1 |
| Delta PAS (mmHg) | 16,5 | ± | 1,1** |
| 0,2 | ± | 0,6 |
| Delta PAM (mmHg) | 11,5 | ± | 0,5** |
| -0,8 | ± | 0,4 |
| Insulina ayunas (uUI/ml) | 19 | ± | 2 |
| 20 | ± | 2 |
| Insulina 2 hrs (uUI/ml) | 116 | ± | 13 |
| 101 | ± | 10 |
| Glucosa ayunas (mg/dl) | 96 | ± | 3 |
| 90 | ± | 2 |
| Glucosa 2 hrs (mg/dl) | 125 | ± | 8* |
| 106 | ± | 4 |
| Colesterol total (mg/dl) | 222 | ± | 7 |
| 215 | ± | 6 |
| HDL-colesterol (mg/dl) | 52 | ± | 11 |
| 50 | ± | 7 |
| LDL-colesterol (mg/dl) | 146 | ± | 12 |
| 130 | ± | 7 |
| Triglicéridos (mg/dl) | 75 | ± | 18* |
| 135 | ± | 11 |
| Actividad Física | 0,6 | ± | 0,1** |
| 1,3 | ± | 0,2 |
Figura 1: Curva de tolerancia glucosada en sujetos sal sensibles y sal resistentes

Se muestran los niveles de glucosa y de insulina plasmáticos en ayunas y luego de la carga oral de 75 g de glucosa en sujetos sal sensibles (círculos llenos) y sal resistentes (círculos vacíos). Ordenada: Insulina (uUI/ml); glucosa (mg/dl). Abscisa: Tiempo (minutos). Se muestra la media ± ESM. * p < 0,05; ** p < 0,01
Con el fin de investigar la posible participación de la insulina y la glucosa en la sensibilidad a la sal, se estudio la relación entre los niveles de insulina y de glucosa en ayunas y post carga oral de glucosa y los cambios en los niveles de presión arterial inducidos por cambios en la ingesta de sal. En relación a la insulina no se encontró correlación entre sus niveles en ayunas o 2 horas después de la carga oral de glucosa con los cambios en la PAS, PAD o PAM inducidos por la restricción de sal. En relación a la glucosa solo los niveles 2 horas después de la carga oral de glucosa y el área bajo la curva de glucosa mostraron una correlación positiva y significativa con la sensibilidad a la sal, aunque la fuerza de dicha correlación fue débil (Tabla 3). Ni la insulina ni la glucosa, bien sea en ayunas o 2 horas post carga, predijeron la respuesta de presión arterial inducidas por los cambios en ingesta de sal. La distribución de sensibilidad a la sal fue similar en sujetos con insulina en ayunas > 15 uUI/ml (hiperinsulinémicos) o en sujetos con niveles de insulina en ayunas < 15 uUI/ml (normoinsulinémicos) y en sujetos tolerantes (glicemia en ayunas < 110; 2 horas post carga < 140 mg/dl) e intolerantes glucosados y/o diabéticos (Figura 2). La magnitud de los cambios de PAM inducidos por la restricción de sal (reducción de la ingesta de sal de 316 ± 13 a 26 ± 3 mmol/día) fue de igual magnitud en la población normo e hiperinsulinémica y en los sujetos tolerantes e intolerantes glucosados y/o diabéticos (Figura 3).Tabla 3:Relación entre los niveles de insulina y glucosa y la sensibilidad a la sal
|
| r | p |
| Insulina en ayunas | 0,04 | 0,6 |
| Insulina 2 hr | 0,10 | 0,23 |
| Area bajo la curva de insulina | 0,10 | 0,12 |
| Glucosa en ayunas | 0,09 | 0,25 |
| Glucosa 2 hr | 0,17 | 0,04 |
| Area bajo la curva de glucosa | 0,26 | 0,001 |
Se evaluó la relación entre los niveles de insulina (uUI/ml) o glucosa (mg/dl) en ayunas, a las 2 horas postcarga oral de glucosa o el área bajo la curva con la disminución de presión arterial inducida por la restricción de sal. Se muestran los valores de r y p obtenidos.
Figura 2: Incidencia de sensibilidad a la sal en sujetos normo e hiperinsulinémicos, tolerantes e intolerantes glucosados y/o diabéticos

Ordenada: Se muestra la distribución porcentual de SR (barras vacías) y SS (barras llenas) en sujetos normoinsulinémicos (insulina plasmática en ayunas < 15 uUI/ml) e hiperinsulinémicos (panel superior) y en sujetos glucotolerantes (glucosa plasmática en ayunas < 116 y/o a las 2 horas <140 mg/dl) y en intolerantes glucosados y/o diabéticos (panel inferior).
Figura 3: Cambios en la Presión arterial inducido por la restricción de sal en sujetos normo e hiperinsulinémicos, tolerantes e intolerantes glucosados y/o diabéticos

Ordenada: Media ± ESM de la disminución de la presión arterial media producido por la reducción de la ingesta de sal de 300 a 20 mmoles/día en sujetos con niveles de insulina plasmática en ayunas mayores de 15 uUI/ml (HI) o menores o iguales a 15 uUI/ml (NI), con niveles de glucosa plasmática en ayunas < 116 y/o a las 2 horas <140 mg/dl tolerantes (T) e intolerantes glucosados y/o diabéticos (I).
Discusión
La sensibilidad o la resistencia a la sal se caracteriza por la presencia o ausencia de cambios en la presión arterial cuando se restringe la ingesta de sal. Aproximadamente un 40 a un 50% de los pacientes hipertensos son sal sensibles, es decir tienen descensos de al menos 10 mmHg de la PAM, cuando pasan de una dieta de 200 meq/día a una dieta de 10 a 20 meq/día(12,14).
Con el fin de investigar los posibles predictores de sensibilidad a la sal, en el presente estudio comparamos las características de los sujetos sensibles a la sal, con la de los sujetos que no muestran cambios en la presión arterial cuando se reduce la ingesta de sal (sal resistentes). Nuestros resultados sugieren que los sujetos de mayor edad, con sobrepeso, con niveles elevados de triglicéridos y de presión arterial sistólica, diastólica y media, tienen mayores posibilidades de tener reducciones marcadas en la presión arterial cuando se reduce la ingesta de sal. Este acumulo de factores de riesgo en los sujetos sal sensibles puede explicar la mayor morbilidad y mortalidad cardiovascular encontrada en individuos sal sensibles si se los compara con los sal resistentes(14).
Debido a que la insulina tiene la capacidad de retener sal y de estimular al sistema nervioso simpático, se ha estudiado su posible papel en la hipertensión asociada a sensibilidad a la sal. Varios estudios han demostrado que los sujetos sal sensibles, tienen mas frecuentemente resistencia insulínica, que los sujetos sal resistentes. De hecho, se ha reportado una reducción en la disposición de glucosa estimulada por insulina en los sujetos sal sensibles comparado con los sujetos sal resistentes(32-35). Un estudio previo, realizado por Cubeddu y colaboradores en sujetos hipertensos delgados, demostró, que no había diferencias en los niveles de insulina en ayunas entre los sujetos sal sensibles y sal resistentes(33). Sin embargo, en los sujetos sal sensibles, pero no en los sujetos sal resistentes, los niveles de insulina en ayunas y la severidad de la resistencia insulínica se agravaba durante los períodos de alta ingesta de sal(33). Debido a que solo los pacientes sal sensibles experimentaron grandes incrementos en presión arterial cuando se aumentaba la ingesta de sal, sugirieron la posibilidad de que el agravamiento de la hipertensión arterial fuese debido al deterioro de la resistencia insulínica.
En este estudio observamos, niveles comparables de insulina en ayunas o post carga oral de glucosa en los sujetos sal sensibles y sal resistentes. Estos hallazgos están a favor de lo reportado en la literatura por otros investigadores(30-33,35). Sin embargo, cabe señalar, que nuestros sujetos son básicamente normotensos, mientras que los individuos estudiados por Fuenmayor y col., (1988)(33) eran hipertensos con hipertensión moderada. Adicionalmente, en nuestro estudio no encontramos relación entre los niveles de insulina en ayunas o 2 horas post carga oral de glucosa y la magnitud de los cambios de presión arterial inducidos por la restricción de la ingesta de sal. Disminuciones similares de presión arterial se observaron en sujetos normo e hiperinsulinémicos, cuando la ingesta de sal se redujo de 300 a 30 mmoles/día. Estas observaciones indican que los niveles de insulina de los pacientes no predicen (determinan) su reactividad vascular a los cambios en la ingesta de sal.
En relación a la glucosa plasmática, se observaron niveles de glicemia significativamente mayores, luego de la carga oral de glucosa, en los sujetos sensibles a la sal que en los sujetos resistentes a la sal. Adicionalmente se encontró una correlación significativa entre los niveles de glucosa 2 horas postcarga oral de glucosa y del área bajo la curva de glucosa con la reducción de presión arterial sistólica, diastólica y media inducida por la restricción de sal. Sin embargo a pesar de que los sujetos sensibles a la sal tienen mayores niveles de glicemia luego de la carga oral de glucosa y de que existe una asociación entre los niveles de glucosa y el descenso de presión arterial inducidos por la restricción de la ingesta de sal, no se observaron diferencias en la frecuencia y severidad de la sensibilidad a la sal en sujetos tolerantes e intolerantes glucosados y/o diabéticos. Estas observaciones indican que los niveles de glucosa de los pacientes no predicen (determinan) su reactividad vascular a los cambios en la ingesta de sal.
En conclusión, un 30% de los sujetos sanos estudiados son sal sensibles, y otros tantos tienen reactividad intermedia a la ingesta elevada de sal. Es pues evidente que un mayor consumo de sal produce en nuestro medio, incrementos significativos en la presión arterial, aun en sujetos sanos, normotensos. Debido a que aun en sujetos sanos, la sensibilidad a la sal se le asocia sobrepeso, sedentarismo, hipertrigliceridemia, y presiones arteriales de base mas elevadas y tendencia a la hiperglicemia, la sensibilidad a la sal amerita su detección temprana y su corrección con modificaciones en la ingesta. Esta asociación de factores de riesgo podría explicar la mayor incidencia de morbilidad y mortalidad cardiovascular reportada en sujetos sal sensibles(14). No conocemos si el estado de sensibilidad esta genéticamente determinado o se debe a factores asociados, tales y como el sobrepeso y el sedentarismo. Estudios actualmente en curso en nuestro laboratorio evalúan estas posibilidades.
Referencias Bibliográficas
1. Dahl L: Possible role of salt intake in the development of hypertension En: Essential Hypertension: An International Symposium, Ed. Cottier P y Bock KD, Berlin: Springer-Verlag. 1960; pp 53-65. [ Links ]
2. Meneely GR: The experimental epidemiology of sodium chloride toxicity in the rat. En: The Epidemiology of Hypertension, Ed. Stamler, J, Stamler R y Pullman T. New York: Grune and Stratton. 1967; pp 240-246. [ Links ]
3. Page LB, Damon A y Moellering RC: Antecedents of cardiovascular disease in six Solomon Islands societies Circulation 1974; 49: 1132-1146. [ Links ]
4. Stamler J, Stamler R y Riedlinger WF: Hypertension screening of one million americans JAMA 1976; 235: 2299-2306. [ Links ]
5. MacMahon S, Peto R y Cutler J: Blood pressure, stroke, and coronary heart disease. Part 1, prolonged differences in blood pressue: prospective observational studies corrected for the regression dilution bias. Lancet 1990; 335: 765-764. [ Links ]
6. Elliott P: Observational atudies of salt and blood pressure. Hypertension 1991; 17: 13-18. [ Links ]
7. Sasaki S, Zhang XH y Kesteloot H: Dietary sodium, potassium, saturated fat, alcohol and stroke mortality. Stroke 1995; 26: 783-789. [ Links ]
8. Poulter NK, Khaw KT y Hopwood BEC: The Kenyan Luo migration study: observations on the initiation of a rise in blood pressure, Br. Med J. 1990; 300: 967-972. [ Links ]
9. Forte JG, Pereira JM, Pereira MJ, de Padua F, Rose G: Salt and blood pressure: a community trial. J. Human Hypertension 1989; 3: 179-184. [ Links ]
10. MacGregor GA, Sagnella GA y Markandu ND: Double-blind study of three sodiumintakes and long-term effects of sodium restriction in essential hypertension. Lancet 1989; 1244-1247. [ Links ]
11. Mascioli S, Grimm R y Launer C: Sodium chloride raises blood pressure in normotensive subjects: the study of sodium and blood pressure. Hypertension 1991, 17: I21-I26. [ Links ]
12. Campese VM: Salt sensitivity in hypertension, renal and cardiovascular implications. Hypertension 1994: 23: 531-550. [ Links ]
13. Weinberger MH, Stegner JE y Fineberg NS: A comparison of two test for the assessment of blood pressure responses to sodium. American J. Hypertension 1993; 6: 179-184. [ Links ]
14. Morimoto A, Uzu T, Nishimura M, Kuroda S, Nakamura S, Inenaga T and Kimura G. Sodium sensitivity and cardiovascular events in patients with essential hypertension Lancet 1997; 350: 1734-1737. [ Links ]
15. Weinberger MH y Fineberg NS: Sodium and volume sensitivity of blood pressure: age and pressure change over time. Hypertension 1991; 18: 67-71. [ Links ]
16. Bigazzi R, Bianchi S, Baldari G, Sgherri G y Campese VM: Microalbuminuria in salt-sensitive patients. Hypertension 1994: 23: 195-199. [ Links ]
17. Agewall S, Wilstrand J, Ljungman S, Herlitz H y Faberger B: Does microalbuminuria predict cardiovascular eventes in nondiabetic men with treated hypertension? American J. Hypertension 1995; 8: 337-42. [ Links ]
18. Sanai T y Kimura G: Renal function reserve and sodium sensitivity in essential hypertension. J. Lab Clin Med 1996; 128: 89-97. [ Links ]
19. Ferri C, Bellini C, Desideri G, Giuliani E, De Siati L, Cicogna S y Santucci A: Clustering of endothelial markers of vascular damage in human salt-sensitive hypertension: influence of dietary sodium load and depletion. Hypertension 1998: 32: 862-868. [ Links ]
20. Natali A, Santoro D, Palombo C, Cerri M, Ghione S y Ferrannini E: Impaired insulin action on skeletal muscle metabolism in essential hypertension. Hypertension 1991; 17: 170-178. [ Links ]
21. Swislocki AL, Hoffman BB y Reaven GM: Insulin resistance, glucose intolerance and hyperinsulinemia in patients with essential hypertension. Am J Hyperten 1989; 2: 419-423. [ Links ]
22. DeFronzo RA y Ferrannini E. Insulin resistance: a multifaceted syndrome responsible for NIDDM, obesity, hypertension, dyslipidemia and atherosclerotic cardiovascular disease. Diabetes care. 1991; 14: 173-194. [ Links ]
23. Reaven GM, Lerner RL, Stern MP y Farquhar JW: Role of insulin in endogenous hypertriglyceridemia. J Clin Invest 1967; 46(1) 756-67. [ Links ]
24. Lind L, Lithell H y Pollare T. Is it hyperinsulinemia or insulin resistance that is related to hypertension and other metabolic ccardiovascular risk factors? J Hyperten, 1993; 11(suppl 4): S11-S16. [ Links ]
25. Maheux P, Jeppesen J, Sheu W H-H, Hollenbeck CB, Clinkingbeard C, Greenfield MS, Chen Y-D I y Reaven GM. Additive effects of obesity, hypertension and type-2 diabetes on insulin resistance. Hypertension. 1994; 24: 695-698. [ Links ]
26. Haffner SM y Heikki M. Insulin resistance implications for type II Diabetes Mellitus and Coronary heart Disease. Am J Med. 1997; 103: 152-162. [ Links ]
27. Nizet A, Lefebvre P y Crabbe J: Control by insulin of sodium, potassium, and water excretion by the isolated dog kidney. Pflugers Archials 1971; 323: 11-20. [ Links ]
28. DeFronzo RA, Goldberg M y Agus ZS: The effects of glucose and insulin on renal electrolyte transport. J Clin Invest 1976; 58: 85-90. [ Links ]
29. Ferrannini E, Buzzicoli G, Bonadonna R, Giorico MA, Oleggini M, Graziadei L, Pedrinelli R, Brandi L y Bevilacqua S: Insulin resistance in essential hypertension. N Engl J Med 1987; 317: 350-357. [ Links ]
30. Sharma M, Ruland K, Spies KP y Distler A: Salt sensitivity in young normotensive subjects is associated with a hyperinsulinemic response to oral glucose. J. Hypertenson 1991; 9: 329-335. [ Links ]
31. Sharma M, Schoor U y Distler A: Insulin resistance in young salt-sensitive normotensive subjects. Hypertension 1993; 21: 273-279. [ Links ]
32. Bigazzi R, Bianchi S, Baldari G y Campese VM: Clustering of cardiovascular risk factors in salt-sensitive patients with essential hypertension: Role of insulin. Am J Hyperten 1996; 9: 24-32. [ Links ]
33. Fuenmayor N, Moreira E and Cubeddu LX: Salt sensitivity is associated with insulin resistance in essential hypertension. Am J Hypert 1998; 11: 397-402. [ Links ]
34. Rocchini AP, Key J, Bondie D, Chico R, Moorehead C, Katch V y Martin M: The effect of weight loss on the sensitivity of blood pressure to sodium in obese adolescents. The N Engl J Med 1989; 321: 580-585. [ Links ]
35. Zavaroni I, Coruzzi P, Bonini L, Mossini GL, Musiarri L, Gasparini P, Fantuzzi M y Reaven GM: Association between salt sensitivity and insulin concentrations in patients with hypertension. Am J Hyperten 1995; 8: 855-858. [ Links ]












