Servicios Personalizados
Revista
Articulo
Indicadores
-
Citado por SciELO -
Accesos
Links relacionados
-
Similares en
SciELO
Compartir
Archivos Venezolanos de Farmacología y Terapéutica
versión impresa ISSN 0798-0264
AVFT v.21 n.1 Caracas ene. 2002
Acciones de la Dopamina en las Vías Aéreas
GA Cabezas1 y M Velasco1 .
-
Cátedras de Fisiología y de Farmacología, Escuela de Medicina "José M. Vargas", Facultad de Medicina, Universidad Central de Venezuela, Caracas.
RESUMEN
Además de sus funciones en el Sistema Nervioso Central (SNC), la dopamina modula otros procesos en órganos periféricos. En el aparato respiratorio modula la ventilación a través de su acción sobre el cuerpo carotídeo, también modula el diámetro de los vasos sanguíneos pulmonares, el intercambio de líquidos en el epitelio alveolar y posiblemente participa en la regulación del diámetro de las vías aéreas. Examinamos el posible efecto modulador de la dopamina sobre el tono bronquial administrando dopamina por vía inhalatoria y metoclopramida (MTC) i.v., un bloqueador dopaminérgico DA2, en sujetos con varios grados de tono bronquial. Método: Examinamos 56 voluntarios. En todos ellos medimos, antes y después de cada procedimiento, la presión arterial, la frecuencia cardiaca, y por espirometría, la capacidad vital forzada (FVC), el volumen espiratorio forzado en el primer segundo (FEV1), el flujo espiratorio forzado máximo FEFmax y el flujo espiratorio forzado al 50% de la capacidad vital (FEF50). Administramos a) dopamina por vía inhalatoria (0.5 mg/kg/min) a 10 sujetos sanos, a 10 con antecedentes de asma sin crisis de broncoespasmo (ASCB) y a 16 pacientes con crisis de asma (CA). b) Administramos MTC, endovenosa (7 mg/kg/min) a 10 sujetos sanos y a 10 con ASCB. Por razones éticas no administramos MTC inhalada a sujetos con crisis de asma. Estadística: La prueba Wilcoxon para muestras dependientes, ANOVA y la prueba de Bonferroni para comparaciones múltiples. Resultados: La dopamina inhalada aumentó el FEV1, el FVC, el FEFmax y el FEF50, en el grupo con CA en relación con el control, pero no hubo modificaciones ni en el grupo de sujetos sanos, ni en el de ASCB. La MTC tampoco produjo cambios de los parámetros respiratorios en los individuos sanos, ni en aquellos con ASCB. Conclusiones: 1) La dopamina inhalada, produce inhibición del tono bronquial cuando el tono basal se encuentra aumentado durante las crisis de asma. 2) No modifica el tono basal en individuos sanos, ni con ASCB. 3) El bloqueo DA2 no modifica el tono bronquial basal en sanos ni en sujetos con ASCB. Sugerimos que en humanos la dopamina ejerce un papel modulador del tono bronquial dependiendo del grado de tono basal existente.
Palabras Clave: Tono bronquial humano, Vías aéreas, Dopamina, Asma aguda, Bloqueo D2.
ABSTRACT
Dopamine modulates other processes in peripheral organs in addition to its function on the central nervous system (CNS). In the respiratory system dopamine modulates ventilation through carotid body, and also modulates pulmonary blood vessels, alveolar liquids exchange and possibly participates in the regulation of airways diameter. We have examined the possible modulating effect of dopamine on bronchial diameter by administering inhaled dopamine and the DA2 dopaminergic blocker metoclopramide (MTC) to subjects with various degrees of bronchial tone. Methods: We examined 56 volunteers. Arterial blood pressure and heart rate were determined in every subject. By means of spirometry, we measured forced vital capacity (FVC), forced expiratory volume in the first second (FEV1), maximal forced expiratory flow (FEFmax) and forced expiratory flow at 50% of vital capacity (FEF50), before and after each treatment. By inhalation with a nebulizer we administered a) dopamine (0.5 mg/kg/min) to 10 healthy subjects, 10 subjects with asthma without acute bronchospasm (AWAB) and 16 subjects with acute asthma attack (AAA); b) Intravenous metoclopramide (7 mg/kg/min) was administered to 10 healthy subjects and 10 subjects with AWAB. For ethical reasons MTC was not used in subjects with acute asthma attack. Statistics: Non parametric Wilcoxons test for paired samples, ANOVA test and Bonferroni multiple comparison test were performed. Results: Inhaled dopamine increased FEV1 and FVC, FEFmax and FEF50 in the AAA group, but there were no modifications in the healthy group nor in the AWAB group. Metoclopramide did not induced changes on respiratory parameters in healthy individuals or those with AWAB. Conclusions: Inhaled dopamine was able to induce bronchodilatation when the bronchial tone is already increased by acute asthma attack but It did not modify the resting bronchial tone in normals or in asthmatics without acute bronchospasm. D2 blockade with metoclopramide did not modify resting bronchial tone either. We suggest dopamine exerts a modulatory effect on bronchial tone of human airways depending on the degree of existing basal tone.
Key Words: Human bronchial tone, Airways, Dopamine, Acute asthma, D2 blockade.
INTRODUCCIÓN
En el Sistema Nervioso Central (SNC) la Dopamina (DA) es la principal catecolamina neurotrasmisora. Las neuronas dopaminérgicas están muy bien diferenciadas de las otras neuronas adrenérgicas. Las neuronas dopaminérgicas se encuentran ubicadas en el hipotálamo, en la sustancia negra, en el campo retrorubral adyacente y en el área tegmental ventral. Estas neuronas participan en funciones locomotrices, procesos cognitivos, emociones, en la ingesta alimenticia, en el reforzamiento positivo de la conducta y en la regulación endocrina(1). La Esquizofrenia, el Parkinson, la Hiperprolactinemia y la Enfermedad de Tourettes, son enfermedades asociadas a un tipo de disfunción dopaminérgica central. En el tratamiento de estas patologías han sido utilizados diversos agonistas y antagonistas dopaminérgicos, algunos de ellos con buenos efectos terapéuticos pero con diversos efectos secundarios. Numerosos estudios farmacológicos han sido realizados en la últimas décadas, tratando de identificar drogas agonistas y antagonistas dopaminérgicas, cada vez mas selectivas y con el mínimo de efectos secundarios. Estos esfuerzos han sido favorecidos con la reciente aplicación de técnicas de clonación utilizadas para la identificación de receptores farmacológicos.
Los receptores dopaminérgicos han sido tradicionalmente divididos en dos grandes subtipos(2,3) denominados receptores D1 y D2, los cuales difieren en 1) su acoplamiento a la proteína G, 2) su distribución dentro del SNC, y 3) su farmacología. Los receptores tipo D1 activan la enzima adenilciclasa (AC), y aumentan los niveles intracelulares de AMPc, mientras que los receptores tipo D2 ejercen una influencia inhibitoria sobre esta enzima; los receptores D2 pueden unirse a un segundo mensajero, incluyendo la activación de los canales de K+, inhibición de los canales de Ca++ y recambio del fosfatidil inositol. La clonación de estos receptores y sus genes han permitido identificar 5 receptores dopaminérgicos que pueden dividirse en dos familias: los receptores D1 y D5 que producen respuestas similares a las descritas para el subtipo D1 y los receptores D2, D3 y D4 que producen respuestas similares a las descritas para el subtipo D2.
En los tejidos periféricos la dopamina es el precursor metabólico inmediato de la noradrenalina. en las terminaciones nerviosas simpáticas postganglionares. La tirosina es transportada a la varicosidad noradrenérgica por un transportador(4), la tirosina se hidroxila a dopa y después se descarboxila para formar dopamina (DA) en el citoplasma. La dopamina penetra al interior de las vesículas mediante un mecanismo de transporte que puede ser bloqueado por reserpina. La dopamina se convierte en noradrenalina a través de la acción catalítica de la dopamina b hidroxilasa. Como consecuencia de la llegada de un potencial de acción a la terminación nerviosa se libera el contenido de las vesículas a la hendidura sináptica. Además del transmisor primario (noradrenalina) también se libera ATP, dopamina-b-hidroxilasa y posiblemente dopamina.
La función periférica de la dopamina como neurotramisor no ha sido bien establecida, pero los trabajos de Bell(5,6) sugieren que las terminaciones nerviosas adrenérgicas de los vasos renales en perros, liberan dopamina, produciendo vasodilatación. También Bakhle y col(7), observaron en pulmones de cobayo, que las determinaciones de dopamina eran 3 a 4 veces mas grandes que las que podrían ser atribuidas a la presencia de nervios noradrenérgicos. Estudios con el método de fluorescencia revelaron que los vasos sanguíneos pulmonares y bronquiales mostraban numerosas fibras nerviosas muy finas con inmunoreactividad por la inmunodecarboxilasa indicando su origen catecolaminérgico y un pequeño número de ellas era reactiva a la DOPA descarboxilasa indicando que parte de la inervación de los vasos sanguíneos pulmonares y bronquiales de resistencia eran de origen dopaminérgico. Kobayasi(8), encontró una elevada relación DA/NA en arterias pulmonares de varias especies. Las acciones periféricas de la dopamina son mediadas a través de la estimulación de receptores adrenérgicos, pero también a través de receptores tipo DA1 y DA2. Existen numerosas evidencias de la presencia de este tipo de receptores en varios sistemas periféricos, (Tabla 1), modificada de Missale(3). En el sistema cardiovascular y renal han sido reportados en individuos normales y en hipertensos(9,10,11,12,13,14). Producen vasodilatación en los vasos sanguíneos renales, mesentéricos y esplénicos, ejercen un papel modulador a nivel del sistema renina - angiotensina - aldosterona y en el balance de sodio renal(15,16,17), modulan la liberación de epinefrina en la médula adrenal y la liberación de norepinefrina en los ganglios simpáticos(18), modulan también la liberación de insulina en las células pancreáticas posiblemente a través de la estimulación de receptores DA2(19) También participa en la modulación de la presión intraocular(20,21,22), a través de la estimulación de receptores DA1 que aumentan la presión intraocular y a través de los receptores DA2 que disminuyen la presión. En sangre periférica la dopamina modula la liberación de trombina en las plaquetas(23) y en los linfocitos mononucleares han sido descritos receptores DA3 y DA5, cuya función no está bien identificada(24).
Distribución y función de los receptores dopaminérgicos periféricos
| Tejido | R D | Función |
| Vasos sanguíneos sistémicos | D2 | Inhibición de la liberación de NE |
|
| D1 | Vasodilatación |
| Glándula suprarrenal |
|
|
| Zona Glomerular | D1 | Desconocida |
|
| D2 | Inhibición de la secreción de aldosterona |
| Médula | D1 | Estimulación de la liberación de E/NE |
|
| D2 | Inhibición de la liberación de E/NE |
| Riñón |
|
|
| Glomérulo | D1 | Aumenta la tasa de filtración |
| Aparato Yuxtaglomerular | D1 | Estimula la secreción de renina |
| Túbulo proximal | D1 | Inhibe la reabsorción de Na+ |
| Asa ascendente de Henle | D1 | Inhibe la reabsorción de Na+ |
| Conducto colector cortical | D1 | Inhibe la reabsorción de Na* |
|
| D2 | Inhibe acción de vasopresina |
| Ganglio simpático | D2 | Inhibe la liberación de NE |
| Páncreas |
|
|
| Células b | D1 | Aumenta secreción de insulina |
| Pulmón |
|
|
| Vasos sanguíneos pulmonares | D1 | Vasodilatación |
|
| D2 | Vasodilatación |
| Epìtelio bronquial | D1 | Estimula reabsorción de Na+ |
| Bronquios | ? | Broncodilatación |
| Cuerpo carotídeo | D2 | Regula liberación de Dopamina |
| Corazón | D4 | Desconocida |
| Plaquetas | D5 | Modulan liberación de trombina |
| Linfocitos Mononucleares | D3 | Desconocida |
| Ojos | D1 | Aumentan presión intraocular |
|
| D2 | Disminuyen presión intraocular |
R D = receptores dopaminérgicos. NE = norepinefrina, E = epinefrina
La dopamina en el sistema respiratorio
En el sistema respiratorio la dopamina ejerce un papel modulador sobre varias funciones. Participa en el control periférico de la ventilación a través del cuerpo carotídeo; en este quimioreceptor, la dopamina es la principal catecolamina (en una proporción de 5/1 con la NE)(25) y se le atribuye un papel de neurotrasmisor en la quimiotraducción de la respuesta hipóxica. La dopamina no sólo actúa a nivel del cuerpo carotídeo sino también, a nivel de las neuronas del núcleo del tracto solitario (NTS), la sinápsis primaria de la neurona aferente del nervio del cuerpo carotídeo(26,27). La respuesta ventilatoria a la hipoxia es modulada por la dopamina a través de la estimulación de autoreceptores dopaminérgicos tipo DA2. Su efecto neto es de tipo inhibitorio y asociado a la edad(28,29).
En los vasos sanguíneos pulmonares la administración de dopamina produce vasodilatación y sus agonistas reducen la hipertensión pulmonar(30,31,32,33,34); también ha sido demostrada su efectividad para reducir la hipertensión arterial pulmonar en pacientes con enfermedad pulmonar obstructiva crónica(35). Utilizando técnicas histoquímicas(36,37,38,), ha sido demostrada la presencia de receptores DA1 en la túnica media e íntima de las arterias intrapulmonares grandes y medianas pero no han sido observadas en arterias menores de 300m de diámetro. También, han sido identificados receptores DA2 en la adventicia de las arterias extrapulmonares y en arterias grandes y medianas intrapulmonares. Esto ha sido confirmado mas recientemente, utilizando técnicas de hibridización in situ(39,40), habiéndose demostrado la presencia de receptores ARNm para receptores D1A en la capa media de la aorta y en la íntima de la arteria pulmonar. En los pequeños vasos pulmonares, se han encontrado receptores DA1 en la túnica media, intima y adventicia y receptores DA2 en la túnica adventicia. Por otra parte ha sido planteado(41) que el efecto vasodilatador de la dopamina en los vasos sanguíneos pulmonares podría estar mediado a través del endotelio y que los receptores DA1 están involucrados en la relajación dependiente e independiente del endotelio vascular pulmonar.
La dopamina participa en la modulación del transporte de líquidos a través del epitelio alveolar y bronquial(42). En el edema pulmonar, inducido por hipoxia la dopamina favorece la absorción de agua, posiblemente a través de un efecto estimulador sobre el transporte de sodio, mediante la activación de la sodio potasio ATPasa del epitelio alveolar. Resultados en la misma dirección, han sido observados en el edema inducido por la administración de oxígeno hiperbárico(43). Este efecto de la dopamina sobre el transporte de sodio es mediado por receptores DA1 en ratas(44), pero en cobayos este efecto es mediado por receptores DA2(45), indicando diferentes mecanismos de acción de la dopamina en distintas especies.
El control del diámetro de las vías aéreas es sumamente complejo(46), existen factores de tipo nervioso y humoral, El control nervioso es de tipo autónomo y participan, además del sistema colinérgico y el adrenérgico, (nervios inhibitorios y excitatorios no colinérgicos no adrenérgicos (i-NANC / e-NANC)(47), reflejos locales mediados por nervios aferentes que liberan neuropéptidos y diversas sustancias liberadas por células epiteliales e intersticiales(48,49), estas últimas de gran importancia durante los procesos inflamatorios. El control adrenérgico es realizado por la liberación de norepinefrina de las terminaciones nerviosas noradrenérgicas y por la liberación de epinefrina por las glándulas suparrenales. La epinefrina y la norepinefrina producen broncodilatación mediante la estimulación de adrenoreceptores b2(50), y pueden producir broncoconstricción a través de la estimulación de receptores a2 y a1 cuando existe alteración patológica de las vías aéreas(51).
Pocas observaciones han sido realizadas sobre el efecto de la dopamina en vías aéreas.En cobayos Michoud y col.(52), observaron que la dopamina inhibía la broncoconstricción inducida por la administración de dosis sucesivas de histamina administrada por vía i.v. y por vía inhalatoria en sujetos sanos y en sujetos con antecedentes de asma bronquial. Thompson(53) no observó ningún efecto cuando administró dopamina a sujetos sanos y a sujetos con antecedentes de asma pero sin broncoespasmo en el momento del examen. Estos resultados sugieren que la dopamina ejerce un papel modulador sobre las vías aéreas cuando estas presentan un tono bronquial aumentado. Kamikawa(54), ha reportado en cobayos, que la dopamina es capaz de inhibir la broncoconstricción colinérgica y no colinérgica inducida por estimulación de campo y que este efecto era bloqueado posiblemente, por receptores tipo DA1.
No han sido identificados aún, receptores dopaminérgicos en las vías aéreas. sin embargo, Bonnet y col(55), han reportado recientemente que un compuesto similar a la dopamina (AR-C68397AAA) produce un efecto broncodilatador a través de la estimulación de receptores DA2 en cobayos y perros. Los autores sugieren que este compuesto podría tener efecto terapéutico en el asma bronquial.
Estos antecedentes permiten afirmar que en el aparato respiratorio, la dopamina juega un papel modulador de la ventilación, del intercambio de líquidos alvéolo capilar, del diámetro de los vasos sanguíneos pulmonares. También es posible suponer que la dopamina ejerce un papel modulador sobre el diámetro de las vías aéreas y que este efecto es producido a través de la estimulación de receptores dopaminérgicos específicos tipo DA1 y DA2.
MÉTODOS
En nuestro laboratorio hemos investigado el efecto que tiene la administración de dopamina inhalada, en tres diferentes grupos de sujetos: 1) sujetos normales, 2) sujetos con antecedentes de asma bronquial pero sin crisis de broncoespasmo y 3) en pacientes con asma bronquial en crisis. En los sujetos de los grupos 1 y 2, también hemos investigado el efecto que tiene la administración de dopamina inhalada después de administrar metoclopramida por vía i.v. (un bloqueante dopaminérgico D2). Por razones éticas no administramos metoclopramida a los sujetos del grupo 3.
Grupos estudiados
Estudiamos cincuenta y seis (56) personas: veinte (20) sanas; veinte (20) con antecedentes de asma sin crisis de broncoespasmo y diez y seis (16) asmáticos en crisis. Cuarenta y tres(43) eran del sexo femenino y trece (13) del sexo masculino. Los individuos sanos y con antecedentes de asma fueron voluntarios estudiantes de medicina y empleados universitarios. Los pacientes con crisis de asma fueron pacientes voluntarios que acudieron por tratamiento a la emergencia del Hospital Vargas. A todos las personas les fue solicitada una autorización por escrito y la investigación fue aprobada previamente, por el comité de ética de nuestra institución. Todos los pacientes firmaron un consentimiento escrito para participar en la investigación. A todos los sujetos estudiados se les practicó un interrogatorio de síntomas y signos y se les practicó examen físico. Fueron excluidos del estudio todas las personas que presentaron antecedentes de enfermedades nerviosas o mentales y cardiorrespiratorias diferentes al asma bronquial no complicada, en el grupo de asmáticos con y sin crisis. En el grupo de sanos fueron excluidas todas las patologías.
Administración de drogas
Metoclopramina por vía endovenosa: Para la administración de drogas por vía endovenosa se cumplió el siguiente protocolo: Placebo1 - Metoclopramida- Placebo 2. Las soluciones fueron administradas por medio de cateteres endovenosos yelco Nº20 y 22, colocados en la vena humeral. Como placebo se utilizó solución glucosada al 5% según el peso, por goteo continuo durante 20 minutos. La metoclopramida HCL (IRTOPAN®) fue diluida en 500cc de solución glucosada al 5% y administrada por goteo continuo a razón de 7 mg/kg/min (dosis reportada en la bibliografía(56) como capaz de bloquear los receptores dopaminérgicos DA2. El placebo 2 (5% de solución glucosada) fue administrado 5 minutos mas tarde durante un período de 20 min.
Inhalación de dopamina: Seguimos el mismo protocolo que para la administración endovenosa de droga. Se utilizaron nebulizadores marca Hudson RCI (Husaon RCI, Temecula, Tampa, FL, USA), con boquilla, conectados a flujómetros marca OHIO® (Air reduction Co., Madison, WI, USA), unidas a una toma de oxígeno de pared, con un flujo de 6 lts/min.. Como placebo se utilizó solución fisiológica al 0.9%. Una ampolla de Clorhidrato de dopamina (RASCORDIN® Fleming Drug Co.) de 250 mg fue diluida en solución fisiológica al 0.9% hasta obtener una concentración de 0.5 mg/kg/min y fue administrada por nebulización, durante 20 minutos, después de 5 minutos de haber finalizado el Placebo1. El Placebo 2 fue administrado 5 minutos mas tarde por un período de 20 minutos
Pruebas de función pulmonar: En un espirómetro marca Fukuda modelo Spirosift SP 5000 (Fukuda Denshi Co., Ltd., Tokio, Japan), se midieron curvas flujo/ volumen obtenidas mediante la realización de la Capacidad Vital Forzada, siguiendo las normas sugeridas por la American Thoracic Society(57) antes y después de la administración de placebos y drogas. Se analizaron las siguientes variables espirométricas: capacidad vital forzada en lts. (FVC), volumen espiratorio forzado en el primer segundo en lts. (FEV1), flujo espiratorio forzado máximo en lts/s. (FEFmax) o flujo pico (FP) y el flujo espiratorio forzado al 50% de la capacidad vital en lts/s (FEF50). Las pruebas fueron realizadas inmediatamente después de administrada la nebulización o la infusión i.v. correspondiente. Se utilizaron los valores de predicción de Knudson(58), para no caucásicos, cuando los resultados se expresaron en % del valor de predicción.
Presión arterial y frecuencia cardiaca: La presión arterial sistólica, media y diastólica y la frecuencia cardiaca fue medida en forma continua con un Dynamap marca CON/MED-SE 100 (Criticón, Inc.). Se consideró efecto de la dopamina sobre receptores dopaminérgicos la disminución de las presión arterial durante la administración de la droga.
Método estadístico: La prueba de Wilcoxon para muestras dependientes fue utilizada para analizar los cambios de los parámetros espirométricos observados antes (control) y después del Placebo 1, después de inhalar dopamina, y después del Placebo 2. El análisis de varianza (ANOVA), fue utilizado para examinar las diferencias estadísticas entre grupos, y la prueba de Bonferroni para comparaciones múltiples fue utilizado para comparar todos los pares de grupos entre sí.
RESULTADOS
Dopamina inhalada
La dopamina inhalada produjo una disminución de 18 mm Hg de la presión sistólica y 11 mm Hg de la presión diastólica en comparación con la presión control medida antes del Placebo 1.
En sujetos sanos. Se estudiaron diez (10) personas, cinco (5) del sexo masculino entre 15 y 33 años con una media de 31 años y cinco (5) del sexo femenino entre 23 y 40 años con una media de 32 años. La administración de dopamina, no mostró diferencias significativas en ninguna de las variables espirométricas estudiadas con respecto al control. Al aplicar la prueba de Wilcoxon se obtuvo para el FEV1 una p>0.1; para el FEFmax y el FEF50 una p>0.5 con FVC, una p >0.01. Estos resultados indican que la dopamina inhalada no produce alteración del diámetro basal de las vía aéreas en sujetos sanos.
En sujetos con antecedentes de asma sin crisis de broncoespasmo: Se estudiaron diez (10) personas, siete (7) del sexo femenino entre 18 y 34 años con una media de 29 años y tres (3) del sexo masculino entre 22 y 26 años de edad con una media de 24 años. La dopamina tampoco produjo cambios significativos en todas las variables espirométricas obtenidas. Utilizando la prueba de Wilcoxon se obtuvo una p>0.5 para FEV1, FEFmax, FEF50 y FVC y por lo tanto, podemos afirmar que la dopamina inhalada no modifica el tono basal bronquial de las vías aéreas en las personas con antecedentes de asma o sea, con hiperreactividad bronquial.
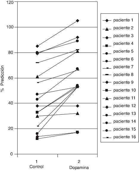
En pacientes con crisis de asma bronquial: Se estudiaron diez y seis (16) pacientes, doce (12) del sexo femenino entre 14 y 32 años de edad con una media de 21años y cuatro (4) del sexo masculino con edades entre 17 y 48 años con una media de 22 años. Cuando se compararon los resultados de FEV1, FVC, FEF50 y FEFmax obtenidos en el control y los obtenidos con el placebo -1 y entre el control y el placebo - 2, no hubo diferencias significativas en ninguna de las variables.(p>0.01). La dopamina inhalada produjo, en relación con el control, un aumento estadísticamente significativo de los valores de FEV1 (p<0.0001), de FVC (p<0.001), FEFmax <0.001 y de FEF50 (p<0.001) analizados por la prueba de Wilcoxon para muestras dependientes (Tabla 2). Todas la variables aumentaron por encima del 20% del valor control. El máximo aumento observado fue del FEV1 (39% de su valor control). La figura 1. ilustra los cambios en el FEV1, expresados en porcentaje del valor de predicción de Knudson, entre el control y después de inhalar dopamina, en cada uno de los 16 sujetos con crisis de asma.
Efecto de la inhalación de dopamina en 16 pacientes con crisis de asma. Comparación entre los parámetros espirométricos, expresados en % del valor de predicción de Knudson, antes (control) y después de la dopamina
| Parámetros Espirométricos (%) | Control | Dopamina | Prueba de Wilcoxon | ||||
| n=16 | X |
| SE | X |
| SE | p |
| FEV1 | 54.5 | ± | 7.95 | 67.5 | ± | 7.42 | .0004 |
| FVC | 54.3 | ± | 7.43 | 67.1 | ± | 7 .48 | .0048 |
| FEFmax | 41.3 | ± | 4.58 | 54.4 | ± | 5.35 | .0010 |
| FEF50 | 55.5 | ± | 10.2 | 73.4 | ± | 11.1 | .0042 |
Prueba estadística de Wilcoxon para muestras dependientes. Los resultados son expresados como medias ( X ) ± error estándar (ES). Abreviaturas: FEV1 = volumen espiratorio forzado en el primer segundo, FVC = capacidad vital forzada, FEFmax = flujo espiratorio forzado máximo, FEF50 = flujo espiratorio forzado al 50% de la capacidad vital.
Figura 1: FEV1. Efecto de la dopamina inhalada en pacientes con crisis de asma
Volumen espiratorio forzado en el primer segundo (FEV1). Diferencias entre el control y después de inhalar dopamina en cada sujeto con crisis de asma bronquial. Los resultados son expresados en porcentaje del valor de predicción de Knudson para individuos no Caucásicos.
Comparación entre los grupos que recibieron dopamina inhalada
La figura 2, muestra los cambios del FEV1, observados en los tres grupos: sanos, con antecedentes de asma sin crisis de broncoespasmo y los que presentaban crisis de asma, antes y después de inhalar dopamina. Los resultados son expresados en porcentaje del valor de predicción de Knudson, para homogenizar los datos. Los sujetos sanos y los que tenían antecedentes de asma pero no presentaban broncoespasmo en el momento del estudio, no muestran diferencias significativas entre el control y después de inhalar dopamina, aplicando la prueba de Wilcoxon (p>0.5 respectivamente). Pero los sujetos con ataque agudo de asma sí, muestran diferencias significativas antes y después de la inhalación de dopamina (p =0.0004). La prueba ANOVA, mostró diferencias significativas entre los grupos (p<0.0001) y la prueba de Bonferroni para comparaciones múltiples mostró que entre el grupo de sanos y el que tenía crisis de asma había diferencias significativas (p <0.001) y entre el grupo con antecedentes de asma pero sin crisis de asma la diferencia fue también significativa (p <0.001) No hubo diferencias significativas entre el grupo de sanos y el que tenía antecedentes de asma pero sin broncoespasmo.
Figura 2: FEV1. Efecto de la dopamina inhalada
Volumen espiratorio forzado en el primer segundo (FEV1), antes y después de inhalar dopamina, en sujetos sanos, en sujetos con antecedentes de asma bronquial pero sin crisis de broncoespasmo y en sujetos con crisis aguda de asma. Los resultados son expresados como medias ± SE de los porcentaje del valor de predicción de Knudson para individuos no Caucásicos. Los sujetos sanos y los sujetos con antecedentes de asma pero sin crisis de broncoespasmo no mostraron diferencias significativas (p = 0.9219 y 0.9102 respectivamente, según prueba de Wilcoxon). Pero los sujetos con crisis aguda de asma mostraron diferencias significativas antes y después de la inhalación de dopamina (p = 0.0004). La prueba ANOVA mostró diferencias significativas entre los grupos (p < 0.0001). La prueba Bonferroni para comparaciones múltiples, mostró un valor de p < 0.001 al comparar el grupo con crisis aguda de asma con el de sanos y al compararlo con el grupo con antecedentes de asma pero sin broncoespasmo se obtuvo una p< 0.001. No hubo diferencias significativas entre los sanos y el grupo con antecedentes de asma sin crisis de broncoespasmo.
Metoclopramida por vía endovenosa
En sujetos sanos: Se estudiaron diez (10) personas sanas, siete (7) del sexo femenino con edades entre 19 y 22 años con una media de 20 años y tres (3) del sexo masculino con edades de 18, 24 y 29 años. La administración de MTC no produjo cambios significativos en las variables espirométricas estudiadas. Para el FEV1, FEFmax, FEF50, se obtuvo una p>0.8 y para el FVC p>0.1 al aplicar la prueba de Wilcoxon, indicando que la MTC no modifica el diámetro basal de las vías aéreas en sujetos sanos.
En sujetos con antecedentes de asma sin crisis de broncoespasmo: Se estudiaron diez (10) sujetos del sexo femenino con edades entre 20 y 40 años con una media de 23 años.
En este grupo la administración de MTC tampoco produjo cambios significativos en las variables estudiadas. Aplicando la prueba de Wilcoxon se obtuvo para el FEV1 y para el FEFmax la p> 0.1; FVC >0.5 y el FEF50 mostró una p>0.01. Esto indica que la MTC tampoco modifica el diámetro basal de las vías aéreas, en las personas con antecedentes de asma sin crisis de broncoespasmo
DISCUSIÓN
Hay pruebas suficientes de que la dopamina es capaz de ejercer una función moduladora directa sobre diversos tejidos periféricos mediante la activación de receptores dopaminérgicos tipo D1 y D2 independientemente de su actividad adrenérgica. En el aparato respiratorio la dopamina actúa modulando la ventilación, el tono de los vasos sanguíneos pulmonares y la reabsorción de líquidos alveolares, por lo tanto, es posible que en las vías aéreas actúe también ejerciendo una función moduladora sobre el tono bronquial ya sea en forma directa sobre el músculo liso bronquial o bien en forma indirecta, modulando la liberación de sustancias que actúan sobre el músculo liso, o sobre la secreción de moco bronquial, o sobre el epitelio o los vasos sanguíneos bronquiales, o bien actuando sobre células involucradas en los procesos alérgicos e inflamatorios.
Nuestros resultados demuestran que la dopamina administrada por vía inhalatoria produjo broncodilatación en pacientes que sufrían crisis de asma y esta broncodilatación tiene importancia desde el punto de vista terapéutica, dado que el FEV1 aumentó con la dopamina hasta un 39% del valor control y todas las otras variables que indican aumento de los flujos espiratorios, alcanzaron un incremento mayor del 20%. Estos resultados son consistentes con lo observado por Michoud y col(52), en personas con antecedentes de asma a quienes produjeron constricción administrando histamina.
No observamos modificaciones del tono bronquial en personas sanas, ni tampoco en pacientes con antecedentes de asma pero sin crisis en el momento del estudio por lo tanto, podemos afirmar que la dopamina ejerce su efecto inhibitorio únicamente cuando el tono bronquial está aumentado, esto podría explicar la falta de respuesta que observó Thompson(53) y Michoud(52) en sujetos sanos y con antecedentes de asma cuando administraron dopamina por vía inhalatoria y endovenosa sin incrementar previamente el tono bronquial. No podemos descartar un efecto inhibitorio indirecto de la dopamina sobre algún mecanismo de tipo alérgico o inflamatorio que culmine con la liberación de mediadores químicos en el asma bronquial.
No hubo diferencias significativas entre el control y el placebo-2, administrado 30 minutos después de la dopamina, indicando que el efecto inhibidor de la dopamina es de corta duración. Esta corta duración del efecto dopaminérgico, podría ser debido a las bajas dosis administradas o bien a un rápido metabolismo de la dopamina realizado en el pulmón. Sumikawa y colaboradores en 1991(59), administrando distintas dosis de dopamina en humanos y midiendo la concentración plasmática pulmonar y la concentración plasmática total de dopamina, encontraron que la dopamina era depurada hasta en un 21% en el pulmón humano.
Las dosis de dopamina administradas, por vía inhalatoria produjeron hipotensión arterial indicando que el nivel alcanzado en sangre, es el de activación de receptores dopaminérgicos inhibitorios de la presión arterial (dosis dopa) reportados por Goldberg y Rajfer(9) en 1985 y por Martin y col.(19) en 1993, y mediados por receptores DA1.
La dopamina administrada por vía inhalatoria podría ejercer su acción inhibitoria sobre el tono muscular bronquial estimulando receptores tipo DA2, por lo tanto, el bloqueo de estos receptores produciría aumento del tono bronquial en las personas sanas y en las que presentan hiperreactividad bronquial, característica ésta, de los pacientes con antecedentes de asma. En el presente trabajo, no obtuvimos evidencias de modificaciones en el tono basal bronquial, de los sujetos pertenecientes a ambos grupos, después de administrar MTC por vía endovenosa. Por razones éticas no utilizamos MTC en el grupo de pacientes con crisis de asma. Estos resultados sugieren que el efecto broncodilatador de la dopamina no sería mediado por receptores tipo DA2, pero no descarta la posibilidad de que pudieran estar involucrados, receptores dopaminérgicos tipo DA1 o receptores adrenérgicos b.
AGRADECIMIENTO
Este proyecto fue realizado con subvención del Proyecto CDCH-UCV Nº-09-11-4397.99.
REFERENCIAS BIBLIOGRAFICAS
1. Kandel ER, Shwartz JH, Jessel TM. Principios de neurociencia. McGraw-Hill. Interamericana. Madrid. 2001 [ Links ]
2. Palermo J. Dopaminergic system. Dopaminérgic Receptors. Psychiatric Clinics of North America, 1997; 20(4):705-712. [ Links ]
3. Missale C, Russel Nash S, Robinson SW, Mohamed J, Caron MG.Dopamine receptors: From structure to function. Physiol Rev 1998; 78:189-225. [ Links ]
4. Lefkowitz R, Hoffman B y Taylor P: Neurotransmission. En Goodman & Gilman s. The pharmacological basis of therapeutics. Cápitulo 6: Editores Hardman J y Limbird L, 9th Ed. McGraw-Hill, New York, 1996. [ Links ]
5. Bell CL Dopamine containing vasomotor nerve in dog kidney. Neurochemistry. 1978; 31: 77-83. [ Links ]
6. Bell CL. Neural dopaminergic vasodilator in the kidney. Nature.1973;246:27-29 [ Links ]
7. Bakhle YS, Mann R, Bell C. Evidence that blood vessels in guinea-pig lung are supplied by both noradrenergic and dopaminergic axons. J Auton Nerv Syst 1989 26(2):169-75. [ Links ]
8. Kobayashi Y, Yamauchi M, Matsubara K, Hattori K. Comparison of dopamine contents in lung vasculature of several species. Hypertens Res 1995 ;18(Suppl 1):151-2. [ Links ]
9. Goldberg LI, Rajfer EI. Dopamine receptors: aplications in clinical cardiology. Circulation 1985; 72:245-248. [ Links ]
10. Missale C, Castelletti L, Memo M, Carruba O, Spano PF. Identification of postsynaptic D1 and D2 dopamine receptors in the cardiovascular system. J Cardiovasc Pharmacol 1988;11:643-650. [ Links ]
11. Amenta F, Collier WL; Ricci A. Autoradiographic localization of vascular dopamine receptors. Am J Hypertens1990; (Suppl 3): 34S-36S. [ Links ]
12. Luchsinger A, Grilli M, Velasco M. Metoclopramide and domperidone block the antihypertensive effect of bromocriptine in hypertensive patientes. Am J Therap 1998; 5:81-88. [ Links ]
13. Murphy MB. Dopamine: a role in the pathogenesis and treatment of hypertension. Journal of Human Hypertension 2000;14 Suppl1, S47-S50. [ Links ]
14. Velasco M, Luchsinger A. Dopamine: Pharmacologic and therapeutic aspects. Am J Ther 1998;5:37-43. [ Links ]
15. Luchsinger A. Velasco M, Urbina A, Morillo J, Romero E, Alvarez R, Hernández Pieretti O. Comparative effects of dopaminergic agonists on cardiovascular, renal and renin-angiotensin systems in hypertensive patients.J Clin Pharmacol 1992; 32(1):55-60. [ Links ]
16. Amenta F, Ricci A, Autoradiographic localization of dopamine receptors in the humans adrenal cortex. Eur J Endocrinol 1994; 131: 91-96. [ Links ]
17. Missale C, Lombardi C, De Cortis R, Memo M, Caruba MO, and Spano PF, Dopaminergic mechanism modulating the renin-angiotensine system and aldosterone secretion. An overview. J Cardiovasc Pharmacol. 1989; 14 (Suppl 1):S29-S39. [ Links ]
18. Velasco M, Tjandramaga TB, McNay JI. Differential dose related effects of dopamine on systemic and renal hemodynamics in hypertensive patients. Clin Res 1974; 22:308A. [ Links ]
19. Martín G, Forte P, Luchsinger A, Mendoza E, Urbina-Quintana A, Hernández Pieretti O, Romero E, Velasco M. Effect of intravenous dopamine on blood pressure and plasma insulin in hypertensive patients. Eur J Clin Pharmac 1993; 45: 503-505. [ Links ]
20. Mekki QA, Turner P. Stimulation of dopamine receptors (type 2) lowers human intraocular pressure. Br J Ophtalmol 1985; 69:909-910. (abstract). [ Links ]
21. Prune C, Nuttli I, Markstein R, Kohler C. Effects of dopamine D-1 and D-2 receptors on intraocular pressure in conscious rabbits. J Neural Transm. 1997; 104:111-123. [ Links ]
22. Brath PC, McGregor DA, Fors JG, Prielipp RC. Dopamine and intraocular pressure in critically ill patients. Anesthesiology. 2000; 93(6):1-7. [ Links ]
23. Emerson M, Paul W, Ferlena P, Semeraro C, Page C. Effects of dopamine and selective dopamine agonists upon platelets accumulation in the cerebral and pulmonary vasculature of the rabbit. Br J Pharmacol 1997;122(4):682-686. [ Links ]
24. Ricci A, Bronzetti E, Mulatero P, Schena M, Veglio F, Amenta F. Dopamine D3 receptors in peripheral mononuclear cells of essential hypertensives. Hypertension 1997; 30(6):1566-1571. [ Links ]
25. VicarioI, Rigual R, Obeso A, Gonzalez C. Characterization of the synthesis and release of catecholamines in the carotid body in vitro. Am J Physiol Cell Physiol 2000;278(3):C490- C 499. [ Links ]
26. Bisgard GE. Carotid Body mechanism in acclimatization to hypoxia. Respir Physiol 2000; 121(2-3):237-246. [ Links ]
27. Bairam A, Neji H, De-Grandpre P, Crroll JL. Autoreceptor mechanism regulating carotid body dopamine release from adult and 10-day-old rabbits. Respir Physiol 2000; 120(1): 27-34. [ Links ]
28. Huey KA, Bown IP, Jordan MC, Powel FL. Changes in dopamine D(2)- receptor modulation of the hypoxic ventilatory responses with chronic hypoxia. Respir Physiol 2000;123(3)177-187. [ Links ]
29. Gauda EB, Northington FJ, Linden J, Rosin DL. Differential expression of a (2a), A(1)-adnosine and D(2)-dopamine receptor genes in rat peripheral arterial chemoreceptors during postnatal development genes in rat peripheral arterial chemorecptors during postnatal development. Brain Res 2000; 872(1-2):1-10. [ Links ]
30. Gorman P. Vasodilator response to dopamine in the ferret pulmonary circulation. Br J Pharmacol 1988; 94(1): 212-8. [ Links ]
31. McCormack DG, Barnes PJ, Evans TW. Effect of dopexamine hydrochloride on hypoxic pulmonary vasoconstriction in isolated rat lung. Crit Care Med 1990, 18(5):520-3. [ Links ]
32. Loick HM, Traber LD, Tokyay R, Theisen JL, Linares Ha, Traber DL. The effect of dopamine on pulmonary hemodynamic and tissue damage after inhalation injury in ovine model. J Burn Care Rehabil 1992; 13(3):305-15. [ Links ]
33. Polak MJ, Knight ME, Gause GE, Bucciarelli RL, Drummond W. Effect of fenoldopam on preconstricted isolate salt-perfused rat lungs. J Appl Physiol 1989, 67(3):1076-80. [ Links ]
34. Polak MJ, Kennedy LA, Drummond WH. Manipulation of dopamine receptores alters hypoxic pulmonary vasoconstriction in isolated perfused rat lungs. Life Sci 1992; 51(17):1317-23. [ Links ]
35. Philip-Joet F, Saadjian A, Vestri R, Tran Guyen A, Arnaud A.Hemodynamic effects of a single dose of dopamine and L-dopa in pulmonar hypertension secondary to chronic obstructive lung disease.Respiration 1988, 53(3): 146-52 [ Links ]
36. Kobayashi Y, Ricci A, Amenta F. Autoradiographic localization of dopamine D1-like receptors in the rabbit pulmonary circulation. Eur J Pharmacol 1994; 253(3):201-6. [ Links ]
37. Kobayashi Y, Ricci A, Rossodivita I, Amenta F. Autoradiographic localization of dopamine D2-like receptors in the rabbit pulmonary vascular tree. Naunyn Schmiedebergs Arch Pharmacol 1994; 349(6): 559-64. [ Links ]
38. Kobayashi Y, Amenta F, Ficci A, Hattori K. Localization of dopamine D1-like and D2-like receptors in the pulmonary vaculature. Hypertens Res 1995; 18(Suppl 1):S153-6. [ Links ]
39. Kim MO, Koh PO, Kim JH, Kim JS, Kang SS, Cho GJ, Kim K, Choi WS. Localization of dopamine D1 and D2 receptor mRNAs in the rat sytemic and pulmonary vasculatures. Mol Cells 1999; 9(4): 417-421. [ Links ]
40. Jin XH, Zhang JZ, Zhao YJ, Zhao RR. Localization of dopamine 1A receptor mRNA in different vascular beds in rat:a nonradioactive in situ hybrization study. Methods Find Exp Clin Pharmacol 1997;19(19):657-663. [ Links ]
41. Yamahuchi M, Kobayashi Y, Shimoura K, Hattori K, Nakase A. Endothelium- dependent relaxation by dopamine in the rabbit pulmonary artery. Clin Exp Pharmacol Physiol 1992; 19(6): 401-410. [ Links ]
42. Barnard ML, Olivera WG, Rutschman DM, Bertorello AM, Katz AJ, SznajderJI. Dopamine stimulates Sodium transport and liquid clearence in rat lung epithelium Am J Respir Crit Care Med 1997; 156:709 -714. [ Links ]
43. Saldías FJ, Lecuona E, Comellas AP, Ridge KM, Sznajder JI, Dopamine restores lung ability to clear edema in rats exposed to hyperoxia. Am J Respir Crit Care Med 1999; 159: 626-633. [ Links ]
44. Barnard ML, Friedman E, Saldías F, Bertorello AM, Katz AI, Sznajder JI. Dopamine-1 receptor activation increases lung liquid clearence (abstract) Am J Respir Crit Care Med 1977;155:A16. [ Links ]
45. Chua BA, Perks AM. The effect of dopamine on lung liquid production by in vitro lungs from fetal guinea-pigs. J Physiol (Lond) 1998; 513 (Pt 1):283-94. [ Links ]
46. Barnes PJ. Neural Control of human airways in health and disease. Am Rev Respir Dis 1986; 134:1289-1314. [ Links ]
47. Widdicombe JG, Autonomic regulation i-NANC/e-NANC. Am J Respir Crit Care Med 1998; 158:S171-S175. [ Links ]
48. Spina D. Epitelium smooth muscle regulation and interactions Am J Respir Crit Care Med 1998; 158: S141-S145. [ Links ]
49. Barnes PJ, Pharmacology of airways smooth muscle. Am Rev Respir Crit Care Med. 158: S123-S132. [ Links ]
50. Johnson M. The ? adrenoreceptor. Am J Respir Crit Care Med. 1999; 158:S146-S153. [ Links ]
51. Barnes PJ, Pharmacology of airways smooth muscle. Am Rev Respir Crit Care Med. 158: S123-S132. [ Links ]
52. Michoud MC, Amyot R, Jeanneret- Grosjean A. Dopamine effect on bronchomotor tone in vivo. Am Rev Respir Dis 1984; 130:755-758. [ Links ]
53. Thomson NC, Patel KR. Effect of dopamine on airways conductance in normal and extrinsic asthmatics Br J Pharmacol. 1978; 5:421 424. [ Links ]
54. Kamikawa Y, Shimo Y. Inhibitory effects of catecholamines on cholinergically and non cholinergically mediated contractions of guinea-pig J Pharm Pharmacol. 1990; 41:131-134. [ Links ]
55. Bonnert RV, Brown RC, Chapman D, et al. Dual D2 receptor and beta 2 adrenoreceptor agonists for treatment of airway diseases. 1. Discovery and biological evaluation of some 7-(2-aminoethyl)-4-hydroxybenzothiazol-2(3H)-one analogues. J Med Chem 1998; 41(25):4915 -4917. [ Links ]
56. Blanco M, Jelambi I, Pérez G, Gómez J, FrancoT, HurtadoN, Velasco M. The effect of intravenous metoclopramide on blood pressure in normotensive and hypertensive subjects. J Clin Pharmacol Ther 1996; 34:390-392. [ Links ]
57. American Thoracic Society. Standarization of spirometry : 1987 update Am Rev Respir Dis. 1987; 136: 1285 - 1298. [ Links ]
58. Knudson RJ, Lebowitz MD, Holberg CJ, Burrows. Changes in the normal maximal expiratory flow-volume curve with grow and aging Am Rev Respir Dis 1983;127:725-34. [ Links ]
59. Sumikawa K, Hayashi Y, Yamatodani A, Yoshiva I: Contribution of the lungs to the clearence of exogenous dopamine in humans. Anest Analg. 1991;72:622-626. [ Links ]














