Servicios Personalizados
Revista
Articulo
Indicadores
-
Citado por SciELO -
Accesos
Links relacionados
-
Similares en
SciELO
Compartir
Archivos Venezolanos de Farmacología y Terapéutica
versión impresa ISSN 0798-0264
AVFT v.27 n.1 Caracas jun. 2008
Modelo biomecánico de la generación de fuerza muscular en condiciones isométrica y tetánica
Freddy Antonio Pérez1, Antonio José DAlessandro Martínez2 y José del C. Azuaje3
1Profesor del Departamento de Física Aplicada, Ciclo Básico, Facultad de Ingeniería. UCV, Caracas 1040, Venezuela,Tlf. (0212)6051730, perezfr@ucv.ve.-
2Jefe de la Cátedra de Fisiología, Escuela de Medicina Luis Razetti, Facultad de Medicina, UCV, Apdo. 50587, Caracas 1051, Venezuela, adaless@gmail.com. Universidad Simón Bolívar. Sección de Biofísica y Bioingeniería.-
3Profesor del Departamento de Matemática y Física. Instituto Pedagógico de Caracas. Universidad Pedagógica Experimental Libertador. Caracas 1020, Venezuela, jazuaje1130@gmail.com.
Resumen
El objetivo de este trabajo consiste en elaborar un modelo estructural y matemático de la generación de fuerza del músculo esquelético en condiciones isométricas, y tetánica, que permita explicar las curvas Fuerza - tiempo (F - t) y Fuerza - longitud (F - l) obtenidas experimentalmente. Se propone un modelo macroscópico empaquetado que consta de un conjunto formado por un elemento contráctil, uno elástico y otro viscoso organizados en paralelo, y un elemento elástico en serie con el conjunto anterior. A este modelo se le aplican las leyes de Newton, para obtener la ecuación diferencial de movimiento del sistema. La solución de esta ecuación se está en un buen acuerdo con los resultados experimentales.
Palabras clave: Contracción muscular, Contracción isométrica, Contracción tetánica, Modelo newtoniano del músculo.
Abstract
Our aim was to develop a lumped structural model of muscle under isometric and tetanic conditions to explain the experimental curves: Force-time (F- t), and Force-length (F- l). The model consists of three elements connected in parallel: a contractile, a viscous one, and elastic, and other elastic element, in tandem with the former ensemble. Application of Newtons second law leads to the differential equation of motion of the system. The solution of this equation is in good agreement with the experimental results.
Key words: Muscular contraction, Isometric contraction, Tetanic contraction, Newtonian model of muscle contraction.
Recibido: 21/09/2007 Aceptado: 21/10/2007
Introducción
Los músculos constituyen en el organismo los mecanismos de generación de fuerza y movimiento para los seres vivos1. Existe evidencia histológica de los siguientes elementos estructurales presentes en su constitución: elementos contráctiles que son generadores activos de fuerza (EC), elementos elásticos en serie (EES) y en paralelo (EEP), elementos viscosos (EV) y naturalmente elementos inerciales (masa muscular), cada uno de los cuales produce una respuesta fisiológica que en conjunto generan fuerza y/o movimiento.
La unidad contráctil funcional en el músculo es el sarcómero, unidad microscópica de 1µm a 3 µm de longitud, formado por filamentos gruesos, constituidos principalmente de moléculas de la proteína llamada miosina, filamentos delgados de otra proteína (fundamentalmente actina) y elementos estructurales de tejido conectivo. En el EC los llamados puentes cruzados constituyen el mecanismo de generación de fuerza (teoría de los filamentos deslizantes)2. La elasticidad natural de los materiales orgánicos, desde proteínas tales como elastina y titina hasta una estructura macroscópica como los tendones, permite considerar la presencia de elementos elásticos en cualquier modelo de la contracción muscular. La viscosidad surge del movimiento de las estructuras musculares en matrices de líquidos intra y extracelulares. La presencia de masa en esos componentes da origen a los elementos inerciales.
Diversos modelos microscópicos y macroscópicos, con y sin empaquetamiento, han sido propuestos para tratar de explicar el comportamiento de la contracción muscular que se observa en el laboratorio3,4, (Ver la Fig. 1). Sin embargo, estos modelos no presentan un buen acuerdo con algunos resultados experimentales.
El objetivo de este trabajo consiste en elaborar un modelo estructural y matemático de la generación de fuerza del músculo esquelético en condiciones isométricas, donde no hay modificación de la longitud macroscópica del músculo, y tetánica, donde ocurre una contracción sostenida, que permita explicar las curvas Fuerza - tiempo (F - t) y Fuerza - longitud (F - l) obtenidas experimentalmente4,5. Estas curvas se obtienen al aplicar al músculo una estimulación repetida (hasta alcanzar el estado tetánico), manteniendo su longitud fija (estado isométrico) y midiendo, mediante un transductor, la fuerza generada en su extremo (ver lado derecho de la Fig.2).
Métodos y resultados
Se propone un modelo macroscópico empaquetado que consta de conjunto de tres elementos organizados en paralelo: un elemento contráctil, uno viscoso y otro elástico (EEP). El elemento elástico en serie (EES) consta de un conjunto de resortes en paralelo entre si, conjunto que a su vez está en serie con el conjunto anterior. Estos resortes pasan a un estado de tensión de manera progresiva, a medida que se incrementa la longitud del músculo, de manera tal que la rigidez del EES también se incrementa con el estiramiento de éste (ver lado izquierdo de la Fig. 2).
Del diagrama de cuerpo libre parte central de la fig. 2, y aplicando la segunda ley de Newton se obtiene la siguiente ecuación de movimiento:
FC + FKP - FKS - Fv = m, (1)
donde FC, FKP, FKS, Fv son las fuerzas, contractil, elástica en paralelo, elástica en serie y viscosa, respectivamente, m representa a la masa, e es la aceleración, en el eje vertical, del elemento inercial del músculo.
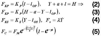
Las expresiones matemáticas de cada una de las fuerzas son:

donde KP y KS son las constantes de los elementos elásticos en paralelo y en serie, respectivamente, ( l-lOP ) representa la variación de la longitud del EEP con respecto a su longitud natural lOP, (Y-lOS ) es la variación de longitud del EES con respecto a su longitud natural lOS, Y es la posición del elemento inercial del modelo. El parámetro λ establece la proporcionalidad entre la fuerza viscosa y la velocidad
del mismo elemento inercial. FM es la amplitud de la fuerza del elemento contractil, el primer factor que acompaña a FM representa el empaquetamiento estadístico de los sarcómeros, generadores elementales de la fuerza del elemento contractil empaquetado, y el segundo factor da cuenta de su evolución temporal con una constante de atenuación γ. Por último, H es la distancia entre los extremos donde se fija el músculo, a es la distancia entre el elemento inercial y el nodo inferior de conexión de los elementos en paralelo y t es el tiempo.
Adicionalmente se establecen las condiciones siguientes, de equlibrio: = 0,y las condiciones adicionales:
= 0, FC( = 0) = 0, con éstas se hace un traslado del origen de coordenadas inicial ubicado en el extremo inferior del arreglo experimental a un nuevo origen, ubicado en la posición de equilibrio Yeq del elemento inercial, tal que:
Z= Y - Yeq, (6)
donde Z es la nueva coordenada del elemento inercial, medida ahora desde la posición de equilibrio. Todas estas consideraciones conducen a la expresión final de la solución de la ecuación de movimiento para la coordenada Y del elemento inercial en función del tiempo. Así:

La fuerza en el transductor FT se consigue mediante la expresión:
FT = KS (Y - lOS) (8)
Discusión
Sustituyendo la ecuación (7) en la (8) se obtiene la expresión analítica de la fuerza en el transductor. Se observa que la expresión entre paréntesis crece hasta alcanzar una meseta, lo que se corresponde con el comportamiento experimental temporal observado en el músculo tetanizado: su fuerza se incrementa con el tiempo hasta alcanzar un máximo (ver Fig. 3, Fuerza vs tiempo). El factor previo al paréntesis de la ecuación (7), tiene un factor exponencial de tipo gaussiano que, como ya dijimos, representa el empaquetamiento de los elementos contráctiles elementales, él da cuenta de la curva b de la Fig. 4, ya que al transcurrir un tiempo muy largo (músculo tetanizado), el factor exponencial dentro del paréntesis se hace nulo y la ecuación resultante se ajusta a esa curva. La curva a de la Fig. 4 expresa el comportamiento pasivo, que está siempre presente en cualquier tipo de experimento de contracción muscular, y proviene de la naturaleza elástica de los componentes musculares. En un músculo en reposo (en ausencia de estimulación) estirado, la única fuerza desarrollada por el músculo es de este tipo. En el modelo propuesto, con resortes que se enganchan sucesivamente al aumentar progresivamente la longitud de estiramiento del músculo en el experimento, la constante elástica del elemento en serie del músculo crece, esto corresponde a una sucesión de curvas de tipo Hooke, con pendientes progresivamente mayores, lo cual corresponde con la curva a de la Fig. 4. Este mecanismo es análogo al incremento de la rigidez de la pared arterial que se observa al aumentar su diámetro, debido por ejemplo, al aumento de la presión arterial, rigidez que se hace progresivamente mayor porque se incorporan sucesivamente elementos elásticos de diferente naturaleza6 (ver Fig. 5). Algo similar ocurre en el estiramiento pasivo de la molécula de titina7 (ver Fig. 6).
Referencias
1. Vogel, S. Prime mover. A natural history of muscle. USA, W.W. Norton & Company; 2001. [ Links ]
2. Huxley, A.F. Muscle Structure and Theories of Contraction. Prog. Biophys. Biophys. Chem. 1957; 7: 255 - 318. [ Links ]
3. Fung, Y. Biomechanics. Mechanical Properties of Living Tissues. USA, Springer; 1993. [ Links ]
4. Cingolani, H y Houssay, A. Fisiología Humana de Bernardo Houssay. Buenos Aires: El Ateneo; 2000. [ Links ]
5. Frumento, A. Biofísica. España, Mosby/Doyma Libros; 1985. [ Links ]
6. DAlessandro, A. Biofísica y Fisiología de la circulación periférica. Caracas: EBUC; 2007. [ Links ]
7. Helmes, M., Trombitás, K., Center, T., Kellermayer, M., Labeit, S., Linke, W.A., Granzier, H. Mechanically driven contour-Length adjustmentin rat cardiac titin´s unique N2B Sequence. Circ Res. 1999;84:1339-1352. [ Links ]


















