Services on Demand
Journal
Article
Indicators
-
Cited by SciELO -
Access statistics
Related links
-
Similars in
SciELO
Share
Anales Venezolanos de Nutrición
Print version ISSN 0798-0752
An Venez Nutr vol.24 no.2 Caracas Dec. 2011
Percentiles de circunferencia de cintura en niños de Caracas, Venezuela
Rosa Hernández Hernández1, Héctor Herrera Mogollón2, Analy Pérez Guillén3
1. Laboratorio de Evaluación Nutricional. Unidad de Laboratorio "B". Universidad Simón Bolívar. Caracas Venezuela.
2. División de Ciencias Biológicas. Departamento de Tecnología de Procesos Biológicos y Bioquímicos. Sección de Nutrición. Universidad Simón Bolívar. Caracas Venezuela.
3. Laboratorio de Evaluación Nutricional, Unidad de Nutrición y Alimentación. Universidad Simón Bolívar. Caracas Venezuela.
Solicitar copia a:
Rosa A. Hernández H. Universidad Simón Bolívar Edificio Básico 1, piso 2, Laboratorio Evaluación Nutricional, Ofic. 228, Valle de Sartenejas, Baruta, Edo Miranda. Apartado 8900, 1080-A Caracas, Venezuela. Correo electrónico: rahernan@usb.veResumen: La evaluación antropométrica analiza el comportamiento de factores de riesgo y su relación con la composición corporal y el ambiente. Este trabajo caracteriza la circunferencia de cintura (CC) y calcula los percentiles por edad, en niños de Caracas-Venezuela y compara con percentiles de CC de otras poblaciones. Estudio de corte transversal, se midieron 1300 niños, con edades entre 5 y 13 años. Se midió la circunferencia de cintura. La CC fue medida en el punto medio entre la décima costilla y el borde superior de la cresta ilíaca. Los percentiles fueron construidos utilizando el método LMS de Cole. Se compararon los valores de percentiles calculados para la muestra con los valores de referencia de CC para niños de otras poblaciones. Se aplicó Test de Wilconxon para verificar la significancia estadísticas entre pares de percentiles. Se evidenció diferencias significativas (p< 0.05) por sexo y grupos de edad para la circunferencia de cintura en el grupo estudiado. Para los percentiles calculados para el grupo de estudio y comparados con otras poblaciones, se observaron diferencias estadísticas (p<0.05) en todos los casos. Los valores para los niños Ingleses fueron menores que los de la muestra, mientras que para las otras poblaciones de referencias, todas estuvieron por encima de los valores para el grupo de niños venezolanos. Los resultados evidencian la necesidad de contar con valores de referencia propios separadas por sexo y edad para la circunferencia de cintura en niños, para así identificar los posibles riesgos por está variable.
Palabras clave
: Antropometría, niños, circunferencia de cintura.Percentiles of circumference of waist of children from the Caracas, Venezuela
Abstract:
Anthropometric evaluation analyzes the behavior of risk factors and its relationship with body composition and environment. This research characterizes the wait circumference (WC) and presents the percentile values by age in a group of children from Caracas-Venezuela. In a cross-sectional study, 1300 children aged 5 and 13 years old were studied. WC was measured in the middle point between the false rib and upper board of the iliac crest. Percentiles were calculated by Coles LMS method. Values obtained were compared with WC values from other populations. In order to establish significant differences between the percentile pairs, a Wilconxon Test was applied. Significant differences (P<0,05) in the comparison with other populations values were observed. British values were smaller than ours, while the rest of the population values reference were higher than Venezuelan children. Results expose the real need of a national waist reference by sex and age in children, in order to identify possible risk factors associate to this variable.Key words:
Anthropometry, children, waist circumference.Recibido:20-05-2011 Aceptado:03-02-2012
Introducción
Al evaluar el estado nutricional en los niños con frecuencia orientamos las investigaciones hacia el déficit nutricional, pero se olvida que existe el otro extremo que es igualmente preocupante, como es el incremento del sobrepeso y obesidad. Así mismo, se puede observar que este aumento en las prevalencias de la obesidad no ocurren únicamente en aquellas poblaciones con altos niveles de industrialización, si no que por el contrario, se está presentando en países en vías de desarrollo y poblaciones de estratos socioeconómicos deprimidos. Este aumento del sobrepeso y obesidad infantil ponen en evidencia los riesgos para la salud que está patología trae consigo, como son la posibilidad de desarrollar diabetes e hipertensión arterial, y por ende, un incremento en el riesgo de desarrollar enfermedades crónicas no transmisibles con sus consecuencias en la morbilidad y mortalidad en los adultos (1, 2).
La obesidad es definida como el exceso en la grasa corporal total, pero su asociación con el desarrollo de enfermedades degenerativas crónicas está estrechamente vinculada al lugar donde esa grasa corporal se acumula.
Muchos estudios revelan que las complicaciones metabólicas y riesgo cardiovascular de la obesidad están asociadas al porcentaje de grasa visceral, que se manifiesta clínicamente como obesidad central o abdominal (3).
Para medir está grasa abdominal como factor de riesgo en los adultos, se ha utilizado la circunferencia de cintura (2, 4, 5) y se ha establecido que en sujetos que tienen una mayor circunferencia de cintura existe una mayor resistencia a la insulina y a la presencia del síndrome metabólico. En los niños algunos estudios han revelado que una distribución de grasa abdominal determinada por la circunferencia de cintura se asoció con concentraciones anormales de triglicéridos, LDL, HDL e insulina (1, 6,7), lo que sugiere por estás asociaciones, que la circunferencia de cintura en los niños pudiera ser un factor de predicción de las complicaciones metabólicas y de riesgo cardiovascular en el adulto. Sin embargo, para utilizar adecuadamente a la circunferencia de cintura como un indicador de riesgo, es necesario conocer los valores limites de la misma para ser utilizados en niños.
Diferentes investigadores han publicado valores límites y valores de percentiles de la circunferencia de cintura para niños y adolescentes en otros países, como es el caso de Argentina (1), Inglaterra (5), Estados Unidos (4), México (9), Australia (8), Japón (10) y España (11).
En Venezuela es poca la información en cuanto a la caracterización de esta variable en los niños, sin embargo existen algunas investigaciones en las cuales ha sido utilizada como es el caso de Paoli et al (12) para valorar el riesgo cardiovascular en niños del Estado Mérida, en el cual identifican como riesgo a los niños con CC >p90 de valores propios de su estudio pero no reportan se si ese valor de p90 es para niños o niñas y a que edad. Pires et al (13) por su parte estudiaron en niños del Estado Falcón, la prevalencia de síndrome metabólico (SM), en la cual utilizaron los valores de referencia de "Third National Health and Nutrition Examination Survey" de la población Norteamericana, para valorar la CC como factor para el SM. Por otra parte Pérez et al (14) utilizan la circunferencia de cintura, en un estudio sobre del patrón de distribución de la grasa corporal en niños y adolescentes Venezolanos. Pero ninguno estos trabajos han propuesto percentiles de la circunferencia de cintura para los niños de acuerdo al sexo y edad. Por lo que este trabajo pretende caracterizar la circunferencia de cintura, y calcular percentiles de está variable en niños y adolescentes venezolanos y compararlos con los valores de referencia de otras poblaciones.
Metodología
Muestra. En un estudio de corte transversal, se evaluaron 1300 niños (680 varones y 620 niñas) con edades comprendidas entre los 5 y 13 años, entre los años 2004 y 2007. Previo al estudio, los padres fueron informados de los objetivos, procedimientos, beneficios y manifestaron por escrito su conformidad que sus representados participaran.
Variables antropométricas. Se midió la variable circunferencia de cintura siguiendo la técnica recomendada por Lohman et al. (15), es decir cintura punto medio, tomando como referencia anatómica el punto marcado entre el borde inferior de la décima costilla (costilla flotante) y el borde superior de la cresta ilíaca. Para su medición se utilizó una cinta métrica metálica Holtain y los valores fueron reportados en centímetros. La medición antropométrica se realizó por especialistas debidamente entrenados y estandarizados del Laboratorio de Evaluación Nutricional de la Universidad Simón Bolívar.
Tratamiento Estadístico. Se calculó la estadística descriptiva de la circunferencia de cintura por sexo y grupos de edad. Para verificar las diferencias de las variables por edad y sexo del grupo de estudio, se aplicó un análisis de varianza (ANOVA) significancia (P ≤ 0.05) y comparaciones múltiples de Scheffé. Los percentiles de circunferencia de cintura para cada sexo y grupo de edad fueron calculados utilizando el método LMS de Cole (16). Se compararon los valores de percentiles calculados para la muestra, con los valores de referencia para niños y adolescentes de otras poblaciones (Argentina (1), Inglaterra (5), Estados Unidos (4), México (9) y Australia (8). Se aplicó el test de Wilconxon para verificar la significancia estadística entre pares percentilares. Los análisis se realizaron con el paquete estadístico SPSS para Windows, versión 13.0.
Resultados
Del total de la muestra estudiada, el 52.3% pertenecen al sexo masculino y el 47.7% al sexo femenino. La edad promedio se ubicó en 8.5 ± 2.25 años para los varones y en 8.6 ± 2.32 para las niñas. El peso y talla, fueron significativamente diferentes (p< 0.05) por sexo y grupo de edad.
En el Cuadro 1 se muestran los valores promedio y la desviación estándar para circunferencia de cintura del grupo de estudio de acuerdo al genero y la edad. No se observaron diferencias estadísticamente significativas entre varones y hembras en los valores de la circunferencia de cintura a excepción de los grupos de 6 y 7 años, en la que los varones presentan una circunferencia de cintura mas alta que las niñas (p<0.05) con una diferencia de 1.6 cm a los 6 años y de 2.1 cm a los 7 años. Por grupos de edad, se apreció que los valores de la circunferencia de cintura se incrementaron con la edad, con diferencias significativas (p<0.001) que van desde aproximadamente 1,5 cm en edades cercanas como por ejemplo entre los 5 y 6 años y más marcadas entre los 5 y 13 años con 13,6 cm de diferencia en los varones y de 13,7 cm en las niñas.
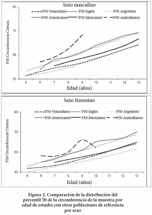
En el Cuadro 2 se muestran los valores calculados de los percentiles de la circunferencia de cintura para el grupo de estudio, de acuerdo a la edad y sexo. La Figura 1 muestra la comparación entre las medianas de percentiles para la circunferencia de cintura obtenida en niños de cinco países (Ingleses, Norte Americanos, Argentinos, Mexicanos y Australianos) y los valores obtenidos en el grupo de estudio por sexo. Se observó que existen diferencias entre los valores percentilares para la circunferencia de cintura entre el grupo de niños venezolanos estudiados y las poblaciones de referencia. Los valores de percentil para la circunferencia de cintura de los ingleses fueron menores que los de la muestra de estudio a todas las edades, en los dos sexos. Para las otras poblaciones de referencia (norteamericanos, argentinos, mexicanos y australianos) todos los valores superaron los valores de percentil de los venezolanos. Todas estás diferencias fueron estadísticamente significativas (p<0.05).
En la Figura 2 se presentó el valor p50 para la circunferencia de cintura de los niños y niñas del estudio y el de los norteamericanos argentinos, mexicanos y australianos. El valor p50 de la circunferencia de cintura por edad de los niños venezolanos es menor que el p50 de la mayoría de los grupos de comparación, a excepción de los niños ingleses que muestran valores de p50 para la circunferencia de cintura más bajo.
Por otra parte se pudo observar diferencias en el valor del p90 de la CC con todos los valores de referencia estudiados. Esto tendría una implicación en el diagnóstico de acuerdo a la referencia que se utilice para evaluar a un niño como se describe a continuación: Si por ejemplo el valor de p90 para varones de cinco años estadounidenses (4) es de 61.0 cm y el valor para los venezolanos es de 56.2 cm, siendo la diferencia estadísticamente significativa. Si se evaluara a un niño de 5 años con un valor de circunferencia de cintura de 58 cm por dos evaluadores diferentes, y uno utilizara la referencia para niños estadounidenses (4) y otro usara los valores de este estudio, ese niño sería considerado como normal según los valores estadounidenses, mientras que con los valores obtenidos del estudio se ubicaría por encima del p90, presentando una obesidad central, lo cual representa un riesgo de sufrir síndrome metabólico.
Discusión
Diversos estudios han puesto de manifiesto la importancia de la circunferencia de cintura (CC) como una medida útil y de fácil obtención para medir la obesidad abdominal y su estrecha relación con los factores de riesgo, asociados al desarrollo de enfermedades crónica degenerativas.
En los adultos existe el consenso, que la circunferencia de cintura es un indicador de la masa grasa visceral, cuando el valor supera a la referencia de acuerdo a cada sexo y se asocia al riesgo de padecer enfermedades crónicas degenerativas del adulto (2, 4, 5, 17). Por otro lado, en los niños el incremento en las prevalencias de obesidad, entendida como el incremento en la cantidad de grasa corporal, evidencia la necesidad de encontrar indicadores tanto de cantidad como de distribución de la grasa corporal, rápidos y de bajo costo, que facilite el diagnóstico y la prevención del desarrollo de estas enfermedades en los niños. Recientemente se ha comenzado el estudio de la medición de la circunferencia de cintura y su asociación con el síndrome metabólico (1,13,18)
Hirschler et al (1) encontraron la asociación entre la resistencia a la insulina y la circunferencia de cintura en un grupo de niños entre 6 y 13 años. Por su parte Cuestas et al (7) estudiaron la asociación de la circunferencia de cintura con lípidos plasmáticos y la presión arterial en niños entre 2 y 9 años, seleccionados al azar de una población del sistema de salud privado y encontraron una asociación positiva y significativa de la circunferencia de cintura con la lipoproteínas de alta densidad, la presión sistólica y diastólica, además identificaron a sujetos con un mayor riesgo de tener valores altos de colesterol total, triglicéridos e hipertensión arterial.Si bien ha quedado demostrado la utilidad de medir está variable en los niños como una herramienta en la prevención del desarrollo de enfermedades crónicas del adulto, existen diferencias entre cual es el valor de referencia que se debe utilizar para este grupo. En los adultos usualmente se utiliza un valor puntual de acuerdo al sexo, pero en los niños se requieren de tablas específicas separadas por edad y sexo, ya que la circunferencia de cintura normalmente aumenta con la edad a lo largo de la infancia.
En este trabajo se determinaron valores de percentiles para la circunferencia de cintura en un grupo de niños venezolanos entre los 5 y 13 años como una necesidad de observar el comportamiento de está variable en los niños de nuestro país y hacer comparaciones con valores de circunferencias de cintura de niños de otras poblaciones, con la finalidad de determinar si realmente se hace
necesario contar con valores propios o por el contrario, se pueden utilizar esos otros valores para identificar el riesgo en nuestros niños.El estudio demuestra que existen diferencias de acuerdo a la edad y sexo y que estos valores se incrementan con la edad, y en algunas edades se observan diferencias entre niños y niñas. Diversos investigadores han reportado valores de percentiles de la circunferencia de cintura para niños y adolescentes (1, 4, 5, 8-11). Al hacer una simple observación de esos valores de referencia, se puede ver que éstos son diferentes de acuerdo a la población y grupo estudiado inglés, americano, argentino, entre otras.
El valor del P50 de los niños de este estudio fue mas bajo que la mayoría de los grupos de comparación, a excepción del grupo de niños ingleses (5), que presentó valores de P50 más bajos por sexo en todas las edades.
Estas diferencias son más evidentes en el percentil 90, el cual frecuentemente se utiliza como valor límite para la circunferencia de cintura en los niños; es decir que valores superiores a p90 se considera obesidad central (6,7,11,14,15) y representa uno de los factores de riesgo para desarrollar síndrome metabólico (1,13,18). Si partimos de ese supuesto y analizamos el valor de P90 para diferentes grupos de niños (diferentes países), se puede ver que existe un riesgo de incurrir en un diagnóstico inadecuado.
La importancia de estudiar el comportamiento de las variables antropométricas de acuerdo a cada población, se basa en la variabilidad biológica y la necesidad de que cada grupo cuente con sus propios valores de referencia para la circunferencia de cintura. Se sugiere continuar con investigaciones en nuestro país en está área, a fin de obtener valores de referencia para nuestra población infantil, así como establecer cuál sería el valor límite adecuado (sensible y específico) de está variable para mejorar el diagnóstico y hacer una mejor prevención en nuestros niños.
Referencias
1. Hirschler V, Delfino AM, Clemente G, Aranda C, de Lujan M, Pettinicchio H, Jadzinsky M. ¿Es La circunferencias de cintura un componente del síndrome metabólico en la infancia?. Arch Argent Pediatr 2005; 103 (1): 7-13. [ Links ]
2. Taylor RW, Jones IE, Williams SM, Goulding A. Evaluation of waist circumference, waist-to-hip ratio, and the conicity index as screening tools for high trunk fat mass, as measured by dual-energy X ray absorptiometry, in children aged 3-19 y. Am J Clin Nutr 2000;72:490-5.
3. Piazza N. La circunferencia de cintura en los niños y adolescents. Arch Argent Pediatr 2005; 103 (1): 5-6.
4. Fernández JR, Redden DT, Pietrobellu A, Allison DB. Waist circunference percentiles in nationally representative samples of African-American, European-American, and Mexican-American children and adolescents. J Pediatr 2004; 145: 439-444.
5. McCarthy HD, Jarrett KV, Crawley HF. The development of waist circumference percentiles in British children aged 5.0-16.9y. Eur J Clin Nutr 2001; 55: 902-907.
6. Pajuelo J, Cancharf E, Carrera J, Leguía D. La circunferencia en niños con sobre peso y obesidad. An Fac Med 2004; 65(3:) 167-171.
7. Cuestas ME, Acharval GA, Garcés SN, Larraya BC. Circunferencia de cintura, dislipidemia e hipertensión arterial en prepúberes de ambos sexos. An Pediatr Barc 2007; 67(1): 44-50.
8. Eisenmann JC. Waist circumference percentiles for 7 to 15- years-old Australian children. Act Pediatr 2005; 94:1182-1185.
9. Gómez DR, Martínez HA, Aguilar SC, Violante R, López AM, Jiménez VM, Wacher RN, Solórzano SF. Percentil distribution of the waist cincumference among Mexican pre-adolescents of primary school in Mexico City. Diabetes, Obesity and Metabolism 2005; 7: 716-721.
10. Morimoto A, Nishimura R, Kanda A, Sano H, Matsudaira T, Miyashita Y, Shirasawa T, Takahashi E, Kawaguchi T, Tajima N. Waist cincumference from BMI in Japanese children. Diab Res Clin Pract 2006; 75:96-98.
11. Moreno LA, Fleta J, Mur L, Sarría A, Bueno M. Waist cincumference values in Spanish children-Gender related differences. Eur J Clin Nutr 1998; 53:429-433.
12. Paoli M, Uzcategui L, Zerpa Y, Gómez R, Camacho N, Molina Z, Fargier A, Arata G. Obesidad em escolares de Mérida, Venezuela: Asociación com factores de riesgo cardiovascular. Endocrinol Nutr 2009; 56(5):218-226.
13. Pires MC, Navas A, Lanzilli P. Síndrome Metabólico: Prevalencia y factores de riesgo en escolares. Arch Venez Puer Ped 2009; 72(2): 47-52.
14. Pérez B, Landaeta M, Amador J, Vásquez M, Marrodan M. Sensibilidad y especificidad de indicadores antropométricos de adiposidad y distribución de grasa en niños y adolescentes venezolanos. Interciencia 2009; 34(2): 84-90.
15. Lohman TG, Roche F, Martorell R. Anthropometric Standardization Manual Kinecties Books: Champagne, Illinois. 1988.
16. Cole TJ, Green PJ. Smoothing reference centiles curves: The LMS methodo and penalized likelihood. Stat Med. 1992; 11: 1305-1319.
17. Benjumea MV, Molina DI, Arbeláez PE, Agudelo LM. Circunferencia de la cintura en niños y escolares manizaleños de 1 a 6 años. Rev Colomb Cardiol 2008; 15 (1): 23-33.
18. Krochik A, Chaler E, Maceiras, Aspres N, Mazza C. Marcadores tempranos de riesgo de síndrome metabólico em niños prepúberes com y sin antecedentes de restricción de crecimiento intrauterino. Arch Argent Pediatr 20100; 108(1): 10-16.
















