Servicios Personalizados
Revista
Articulo
Indicadores
-
Citado por SciELO -
Accesos
Links relacionados
-
Similares en
SciELO
Compartir
Revista de la Facultad de Ingeniería Universidad Central de Venezuela
versión impresa ISSN 0798-4065
Rev. Fac. Ing. UCV v.21 n.1 Caracas mar. 2006
Transporte de sólidos en flujo anular vertical No-Newtoniano de soluciones de biopolímeros
M.R. ROJAS 1, C.E. MENDOZA 1, S. SIQUIER 2, N. RAMÍREZ 2, A.J. MÜLLER 1*, A.E. SÁEZ 3*
1 Grupo de Polímeros USB. Departamento de Ciencia de los Materiales, Universidad Simón Bolívar, Caracas 1080A, Venezuela.
2 Departamento de Termodinámica y Fenómenos de Transferencia, Universidad Simón Bolívar, Caracas 1080A, Venezuela
3 Department of Chemical and Environmental Engineering, University of Arizona, Tucson, AZ 85721, USA *e-mail: amuller@usb.ve (A.J. Müller), esaez@engr.Arizona.edu (A.E. Sáez).
RESUMEN
El siguiente trabajo presenta un estudio experimental de la suspensión de sólidos en flujo anular vertical, usando soluciones no-newtonianas de biopolímeros como fase líquida. Los biopolímeros empleados fueron goma xantano y goma guar, y la fase sólida consistió en arena de sílice con un diámetro promedio particular de 250 μm. El equipo experimental es un sistema de tubos concéntricos con 3 m de altura y un diámetro hidráulico de 0,15 m, que simulan el proceso de perforación de pozos a temperatura ambiente y sin el efecto de la rotación de la mecha. Las variables estudiadas más importantes fueron la velocidad anular, la concentración de carga y de polímero. Se obtuvo que la relación de transporte permite una cuantificación simple del efecto del polímero como un aditivo viscosificante en lodos de perforación, independientemente la concentración de carga utilizada. La goma xantano provee una mejor capacidad de suspensión que la goma guar a concentraciones similares, especialmente a bajas velocidades de flujo, mientras que a altas velocidades el transporte de solidos es similar para soluciones de ambos polímeros, debido a la pseudoplasticidad de las mismas.
Palabras claves: Fluido No-newtoniano, flujo líquido-sólido, flujo anular, goma guar, goma xantano.
TRANSPORT OF SOLIDS IN A NON-NEWTONIAN ANNULAR VERTICAL FLOW OF BIOPOLYMER SOLUTIONS
ABSTRACT
This work presents an experimental study of solids suspension in upward annular flow using non-Newtonian biopolymer solutions as liquid phases. The biopolymers employed were xanthan and guar gums, and the solid phase consisted of silica sand with a mean particle size of 250 μm. The experimental equipment is a vertical concentric pipe system, with 3 m of height and a hydraulic diameter of 0.15 m, simulating the drilling process at room temperature without the drill rotation effects. The annular velocity, concentration of load and polymer were the most important variables studied. It was found that the transport ratio allows a simple quantification of the effects of the polymer as a viscosifying additive in drilling muds, independently of the solids loading. xanthan gum provides a better suspension capacity than Guar gum at similar concentrations, especially at low flow velocities, while at high velocities the solids transport is similar for both polymeric solutions, due to their pseudoplasticity.
Keywords: Non-Newtonian fluid; liquidsolid flow; annular flow; guar gum; xanthan gum.
Recibido: enero de 2006 Revisado: abril de 2006
INTRODUCCIÓN
Durante las operaciones de perforación de pozos para la explotación de petróleo o gas, la limpieza del hoyo que se está formando es importante por la necesidad de remover los cortes generados por la mecha. Dicha limpieza se logra con la inyección de fluidos al espacio anular formado entre la formación rocosa y la tubería de perforación. Además de la función de limpieza, los fluidos utilizados cumplen con la función de lubricar la mecha y enfriar la superficie de la roca. La operación de limpieza debe ser simultánea a la perforación y de fallar la remoción continua de los cortes, es necesario detener la perforación. Varios autores han caracterizado las distintas variables que influyen en la limpieza de hoyos. Se ha estudiado la influencia de los diámetros de las tuberías, su inclinación y la excentricidad del espacio anular. También se han hecho estudios sobre la influencia del tamaño de partícula de los cortes y, desde el punto de vista del transporte de sólidos, la influencia del régimen de flujo, las velocidades anulares y las características reológicas del fluido.
Zeidler (1972) realizó un análisis del transporte de sólidos en una geometría anular vertical, proponiendo un modelo para predecir la velocidad de sedimentación de las partículas, considerando el tamaño de las mismas, la rotación del tubo interno y la geometría. El mismo autor desarrolló posteriormente una correlación empírica para predecir la velocidad de transporte de sólidos en flujo anular en estado estacionario (Zeidler, 1974). Además propone que la velocidad de flujo anular promedio debe ser por lo menos el doble de la velocidad de sedimentación de las partículas para lograr una buena limpieza del hoyo:
Sifferman et al. (1974) establecieron una relación adimensional del transporte de sólidos para flujo anular vertical, tomando en cuenta el efecto dela velocidad de flujo y la velocidad de sedimentación:
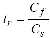
donde va y vs son las velocidades anular y de sedimentación, respectivamente, y vc la velocidad neta de las partículas. En términos experimentales, Sifferman estableció la relación de transporte como:
donde Cf es la concentración de sólidos en la alimentación del sistema anular y Cs, la concentración de sólidos en la región anular. Sifferman estudio el efecto de las propiedades reológicas del fluido, la rotación del tubo interno y la excentricidad de la tubería. Concluyó a través de este estudio, que los parámetros de mayor relevancia en el transporte de sólidos, lo representan la velocidad anular y la viscosidad del fluido. Los otros factores mencionados, tenían una influencia de poca importancia.
Thomas et al. (1982) obtuvieron resultados similares a los de Sifferman, en cuanto a suspensión e influencia de parámetros como la rotación del tubo interno. Estudiaron el flujo anular vertical en régimen laminar y estado estacionario. Así, pudieron corroborar que el efecto de la excentricidad y la velocidad de rotación del tubo interno eran factores despreciables y aplicando el modelo de Zeidler encontraron que obtenían una buena suspensión y un buen transporte si la velocidad de sedimentación era menor o igual a la mitad de la velocidad anular.
Chien (1994) propuso una relación semiempírica para la determinación de la velocidad de sedimentación de partículas en fluidos newtonianos y no-newtonianos. Dicha relación se puede usar para cualquier régimen de flujo, e incluye parámetros como la reología del fluido y el tamaño y forma de las partículas:
donde μe es la viscosidad efectiva del fluido, es decir la viscosidad a la tasa de corte dada por la velocidad de flujo experimentada, Cdt es el coeficiente de fricción en régimen turbulento, dp el diámetro promedio de las partículas, ρf y ρp las densidades del fluido y las partículas, respectivamente. El parámetro Cdt viene dado por la siguiente expresión empírica.
(5)
siendo Ψ la esfericidad de la partícula en suspensión, la cual es de aproximadamente 0,8 para formas irregulares. La ecuación 4 provee una forma sencilla para evaluar la velocidad de sedimentación, necesaria para el cálculo de la
relación de transporte de Sifferman.
El presente trabajo es una continuación de otro previo donde se utilizaron los modelos descritos antes para evaluar el transporte de sólidos de soluciones de goma guar y goma guar parcialmente entrecruzada (Pérez et al., 2004). Ahora se comparan la goma guar con la goma xantano en términos de eficiencia para la suspensión y transporte de sólidos y se presentan resultados que evidencian el efecto de la distribución de sólidos en la suspensión de los mismos y la importancia de la relación de transporte como herramienta para analizar la capacidad de transporte de diferentes fluidos.
PARTE EXPERIMENTAL
Los polímeros utilizados fueron: goma xantano, con un Mw=4-12×106 g/mol (RHODIGEL) y goma guar, con un w M =2×106 g/mol (HIGHGUM), ambos polímeros de grado alimenticio. El sólido empleado es arena de sílice con un tamaño promedio de partícula 250 μm (40-100 mesh).
Se utilizaron concentraciones de polímero entre 500 y 2000 ppm (500, 1000, 1500 y 2000 ppm para goma xantano, y 1000 y 2000 ppm para goma guar). Las concentraciones de sólidos utilizadas fueron de 18 y 27 % p/v.
Las velocidades de flujo experimentadas estaban en un rango entre 2,6 a 15,7 cm/s. Todas las medidas reportadas fueron efectuadas en estado estacionario, una hora después de iniciado el experimento. El equipo utilizado, para hacer los ensayos de suspensión y transporte de sólidos en flujo anular vertical fue una columna conformada por dos tubos concéntricos con relación de diámetros Di / De, de 0,5 y una altura de 3 m (Figura 1). El tubo interno es de PVC de alta presión, con un espesor de pared de 0,25 cm y un diámetro nominal de 15 cm; mientras que el externo es plexiglas, con un espesor de 0,25 cm y un diámetro nominal de 30 cm. La región anular está conectada a un circuito de tuberías de alimentación y descarga. Las tuberías de alimentación conectan a una bomba de desplazamiento positivo (marca Netzsch, modelo Nemo 4NE80A,) con una capacidad máxima de bombeo de 37,5 m3/h, equipada con un convertidor de frecuencia que permite controlar el caudal de trabajo o la velocidad de flujo.
Figura 1. Representación Esquemática del equipo experimental.
La descarga del sistema desemboca a un tanque de recirculación de 600 L que sirve de alimentación a la bomba y cierra el circuito. El tanque está provisto de un agitador neumático que permite mantener la homogeneidad de la suspensión antes de reingresar a la bomba. La columna posee trece toma-muestras en el tubo externo a lo largo de toda la altura de la tubería, lo que permite tomar alícuotas del fluido que circula por el sistema para cuantificar la concentración de sólidos a lo largo de la región anular. Las muestras se tomaron en forma gravimétrica o por aplicación de vacío con una bomba de vacío, encontrándose resultados similares con ambos métodos.
Para determinar el comportamiento reológico de las soluciones estudiadas, se utilizó un reómetro marca RHEOMETRICS SCIENTIFIC, modelo Ares 902-300004, de tipo deformación controlada. Se utilizó una geometría doble pared tipo Couette y una temperatura de 25°C, requiriéndose muestras de 10 mL de solución para cada ensayo.
RESULTADOS Y DISCUSIONES
Caracterización reológica de las soluciones
En la figura 2 se presenta la viscosidad de corte de las diferentes soluciones utilizadas en este trabajo a 25ºC. Como se puede apreciar, las viscosidades que se obtienen con soluciones de goma xantano son superiores a las de goma guar para una misma concentración, especialmente a bajas tasas de corte. La pseudoplasticidad de las soluciones de goma xantano es superior a las de guar. De hecho, en todo el rango de concentraciones, dicha pseudoplasticidad es perceptible para ambos polímeros, pero las soluciones de goma guar a concentraciones menores a 1000 ppm se comportan prácticamente como un fluido newtoniano.
Figura 2. Viscosidad de corte para soluciones de goma xantno y goma guar en función de la tasa de corte para las concentraciones indicadas.
Las viscosidades de goma xantano son mayores debido al mayor peso molecular que presenta este polímero.La goma xantano comercial tiene un peso molecular promedio en peso en el rango de 4×106 g/mol a 12×106 g/mol (Milas y Rinaudo, 1990), mientras que la goma guar está en el orden de 2x106 g/mol (Kesavan y Prudhomme, 1992). Esta diferencia de pesos moleculares se traduce en cadenas mucho más largas para la Goma Xantano, lo que implica mayores interacciones intermoleculares y una mayor densidad de enredos, lo que ayuda a aumentar significativamente la viscosidad en solución.
La goma xantano es un polímero que presenta ramificaciones largas, las cuales poseen estructuras con grupos funcionales ,polares, que conforman una molécula semi-rígida, por lo que en solución presenta una conformación tipo ovillo expandido, que en términos de volumen o radio hidrodinámico, es mucho mayor a la de la goma guar. Aunado a esto, el carácter iónico de este polímero promueve las interacciones entre lasmoléculas por repulsión de cargas opuestas, lo que igualmente ayuda a promover una mayor expansión del ovillo en solución y por lo tanto una mayor viscosificación (Norton et al., 1984).
El marcado carácter pseudoplástico de la goma xantano, tiene que ver con la formación de las interacciones antes mencionadas. Estos procesos intermoleculares se establecen por encima de la concentración de solapamiento ovillo ovillo (C*) y son estables en cierto rango de velocidades de deformación. Cuando la tasa de corte aumenta, por encima de un valor crítico, las redes que forman los enredos moleculares se desagregan, alineando las cadenas en la dirección de la tasa de corte, produciendo la caída en la viscosidad que caracteriza el comportamiento pseudoplástico de las soluciones. Cuando se reduce el esfuerzo de corte aplicado, los enredos se forman de nuevo, aumentando la viscosidad de la solución (Macosko, 1993).La concentración C* de la goma guar, determinada reológicamente en este trabajo, es de aproximadamente 1000 ppm, mientras que en el caso de goma xantano, es de 100 ppm. Esto significa que la goma xantano presenta interacciones intermoleculares a concentraciones muy inferiores respecto a goma guar y por ende, un comportamiento de mayor carácter pseudoplástico a menores concentraciones.
Según los resultados presentados, se esperaría obtener una capacidad de suspensión superior para goma xantano en comparación a la goma guar, salvo a altas tasas de corte o velocidades de flujo, en donde ambos polímeros en solución
presentan viscosidades similares.
Una forma efectiva de medir la capacidad de un fluido de suspender sólidos es evaluar la relajación de esfuerzos, luego de aplicar una deformación constante. Se ha reportado que la velocidad de relajación de esfuerzos de un fluido está relacionada al esfuerzo de cedencia real de la solución, el cual está a su vez relacionado con la capacidad de suspensión de sólidos (Bloodworth, 1992).
En la figura 3 se muestran los resultados de los experimentos de relajación de esfuerzos para diferentes soluciones de goma xantano y goma guar, luego de aplicar una deformación constante de 0,06 s-1. Se puede ver claramente que la relajación de las soluciones de goma guar ocurre casi instantáneamente, como ha sido reportado antes (Pérez, 2004). Además, el esfuerzo residual es prácticamente nulo, lo que podría indicar que estas soluciones tienen una capacidad de suspensión deficiente en comparación a las soluciones de goma xantano que presentan a concentraciones equivalentes un comportamiento contrastante, ya que las velocidades de relajación de esfuerzos son bastante pequeñas, teniéndose esfuerzos residuales mayores a 0,01Pa para todos los casos.
Figura 3. Relajación de esfuerzos para soluciones de goma xantano y goma guar con una deformación constante de 0,06 s-1 por 120 s.
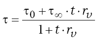
La velocidad de relajación puede cuantificarse si se hace un ajuste racional a las curvas, con el modelo que se describe a continuación (Pérez, 2004):
donde τ0 y τ∞ son los esfuerzos inicial y residual, respectivamente; rv es la velocidad de relajación de esfuerzos y t es el tiempo que dura la prueba. En la tabla 1 se muestran los resultados de este ajuste a las curvas presentadas en la figura 3. Se puede apreciar el cambio en la velocidad de relajación de esfuerzos al disminuir la concentración de polímero y las diferencias entre los comportamientos de goma xantano y goma guar. En este caso, el comportamiento es el esperado, dado que al aumentar las viscosidades de las soluciones disminuye rv, presentándose igualmente mayores esfuerzos residuales.
Tabla 1. Parámetros de ajuste de la ecuación 6.

Estos resultados indican que los mejores fluidos para suspender sólidos serán, en este caso, las soluciones de goma xantano ya que presentan una menor velocidad de relajación y un mayor esfuerzo de cedencia en comparación a soluciones de goma guar a concentraciones equivalentes. Sin embargo, esto es válido solo cuando se trata de fluidos estáticos; es decir, en ausencia de flujo, ya que los factores o variables que regulan el transporte de sólidos son mucho complejos y no están regulados sólo por la viscosidad o la relajación de esfuerzos.
La relajación de esfuerzos es una prueba útil para comparar fluidos y evaluar la habilidad de éstos para evitar la sedimentación de las partículas (Bloodworth, 1992). Por ejemplo, cuando se está perforando un pozo y se utiliza un fluido de limpieza es necesario, si por alguna razón la operación inyección del fluido se detiene por instantes, que el fluido tenga la capacidad aún en estado estático de mantener suspendidos los cortes para que no se tapone el hoyo por la sedimentación de los mismos y así hacer más fácil el proceso de reinicio de la operación.
Suspensión de sólidos en la región anular
Los resultados obtenidos, a partir de la medición de concentración de sólidos, permiten construir los perfiles de concentración de sólidos a lo largo de la altura de la columna. la figura 4 se presentan estos perfiles de suspensión de sólidos en función de la altura para agua y soluciones de goma xantano de 1000 ppm a tres velocidades de flujo. Lo primero que se puede observar es la uniformidad de suspensión que provee el polímero en comparación al agua pura a bajas velocidades. A 5,2 cm/s se observa que para bajas alturas de la columna, utilizando agua, la concentración de sólidos es muy alta, incluso por encima de la que se logra con goma xantano, lo cual se debe a la formación de un lecho de arena en el fondo de la columna, dada la imposibilidad del agua de suspender los sólidos.
Figura 4. Perfiles de concentración axial de sólidos en la región anular para agua y goma xantano 1000 ppm con 18% de carga.
Utilizando el criterio de Zeidler de la ecuación 1, las velocidades de flujo, en el caso del agua, deben ser de por lo menos 6,0 cm/s en este sistema, debido a que la velocidad de sedimentación es de 3,15 cm/s. Por lo tanto una velocidad de 5,20 cm/s no es suficiente para garantizar un buen transporte de sólidos.
La uniformidad de suspensión aportada por el polímero es de gran importancia en el transporte, ya que garantiza que los sólidos no recirculen mdentro del espacio anular, sino que sean suspendidos y arrastrados fuera de éste. El aumento de viscosidad produce que la velocidad de sedimentación de las partículas sea mucho menor, promoviendo los procesos de suspensión en toda la columna. A altas velocidades de flujo, se puede observar una gran diferencia entre los niveles de suspensión de la solución de goma xantano en comparación al agua. Para determinar el régimen de flujo en el sistema, se utilizan las viscosidades efectivas calculadas por el modelo de sedimentación de Chien para obtener el número de Reynolds de acuerdo a la siguiente expresión:
(7)
donde Dhy es el diámetro hidráulico. De esta forma se obtuvieron los resultados presentados en la tabla 2. Como se puede observar, a las velocidades de flujo experimentadas, el sistema se encuentra en régimen turbulento dependiendo de la concentración de polímero utilizada. Por ejemplo, para goma xantano 1000 ppm a una velocidad de 7,9 cm/s ya se está en régimen turbulento, mientras que para goma guar a la misma concentración se requiere 10,5 cm/s para asegurar la turbulencia (ver tabla 2). En régimen turbulento, un aumento de viscosidad no implica necesariamente cambios en la suspensión de sólidos. El aumento innecesario de la viscosidad puede traer como consecuencia la aparición de
fenómenos como la floculación, lo que perjudica el proceso de suspensión y arrastre de sólidos. Sin embargo, los resultados muestran una mayor capacidad de transporte de sólidos de las soluciones de goma xantano, incluso en régimen turbulento.
Tabla 2. Número de Reynolds para los fluidos estudiados (Régimen Turbulento: Re>2300)

En la figura 5 se presentan los perfiles de concentración de sólidos para soluciones de goma guar en comparación a los de agua. Al igual que en la figura anterior se evidencia el efecto del polímero al aplanar o homogeneizar los perfiles, así como el aumento sustancial en los porcentajes de
concentración de sólidos suspendidos.
Figura 5. Perfiles de concentración axial de sólidos en la región anular para agua y goma guar 1000 ppm con 18% de carga.
Otro detalle interesante se puede ver al comparar ambas figuras (4 y 5), donde se aprecia que la suspensión máxima lograda por ambos fluidos a la velocidad tope de 15,7 cm/s es muy similar (14 % aproximadamente). Tomando en cuenta que el porcentaje de sólidos máximo del sistema para este caso es del 18%, este resultado implica una eficiencia en la suspensión del 77,8%. Debido a que la viscosidad de las soluciones de goma guar es mucho menor a la de goma xantano, especialmente a bajas tasas de corte, es lógico observar que no exista un efecto considerable en la de sólidos a bajas velocidades de flujo. De hecho se puede apreciar que a 5,2 cm/s la concentración de sólidos para goma guar se homogeneiza, pero comparación al agua el promedio de la concentración de sólidos es la misma (entre 3-4%).
En la figura 6 se muestra el comportamiento de la suspensión de partículas en función de la concentración de goma xantano, para las diferentes velocidades de flujo, manteniendo una altura de medición constante (150 cm). Es evidente la existencia de una concentración crítica de polímero a la cual se logra la mayor capacidad de suspensión para velocidades iguales o mayores a 7,9 cm/s.
Figura 6. Concentración axial de sólidos en función de la concentración de goma xantano con una carga de arena de 18%.
En el caso de goma xantano, dicho máximo se observa a 1000 ppm, lo que implica que a concentraciones mayores, está ocurriendo una disminución del transporte. A velocidades de flujo menores a 7,9 cm/s, las soluciones de goma xantano se encuentran en régimen laminar o de transición, por cuanto un aumento en la concentración de polímero involucra un aumento en las fuerzas viscosas, lo cual contribuye a mejorar el transporte de sólidos (Walker y Mayes, 1975). Esto explica el comportamiento de la curva a 5,2 cm/s. A velocidades mayores, en régimen turbulento, se debe arrastrar mayor cantidad de sólidos y un aumento en la viscosidad del fluido, provoca una disminución del arrastre o fricción, debido a la depresión número de Reynolds y por ende de la turbulencia del sistema, lo que se traduce en una disminución en el transporte de sólidos.
En otras palabras, cuando el sistema está en régimen turbulento, donde se promueve el transporte y se asegura una buena remoción de los sólidos (Thomas et al., 1982), un aumento en viscosidad no implica beneficios, ya que precisamente disminuye la turbulencia del sistema y reduce el arrastre de sólidos hacia arriba, aun cuando los perfiles de suspensión sigan siendo planos, dada la enorme contribución cinética del flujo anular, producto de las altas velocidades de flujo.
Hasta ahora se ha descrito el comportamiento de diferentes variables en función de la velocidad de flujo o anular. Sin embargo no se ha enfatizado en el efecto de ésta en los procesos de suspensión de sólidos. Como una primera aproximación, se espera que al aumentar la velocidad de flujo, aumente el grado de suspensión y el arrastre de sólidos en el espacio anular.
En la figura 7 se puede apreciar el efecto de la velocidad de flujo en la suspensión de sólidos para soluciones de Goma Xantano, en comparación al agua. Se observa que la suspensión en agua se estabiliza para 10,5 cm/s y sufre muy poca variación para velocidades de flujo mayores. Esto refleja que existe un estado de saturación que sufre el sistema cuando se trabaja con agua, dado que no es posible arrastrar más los sólidos acumulados en zonas de estancamiento como la cámara de la bomba o el tanque de alimentación. Para las soluciones de goma xantano esto no se observa, ya que elpolímero ayuda a que el proceso de sedimentación disminuya.
Figura 7. Concentración axial de sólidos en función de la velocidad anular para diferentes soluciones de goma xantano con una carga de arena de 18%.
El fenómeno de saturación del sistema y la acumulación de arena en ciertas partes del equipo influyen directamente en los resultados de suspensión presentados hasta este momento, ya que dependen de alguna manera de cómo se distribuyen los sólidos en el sistema, incluyendo las tuberías de alimentación y descarga, el tanque de recirculación y la bomba. El efecto de acumulación de sólidos observad experimentalmente no es tomado en cuenta en los gráficos anteriores, lo que implica que es imposible hacer una comparación clara de los fluidos utilizados, independientemente de la cantidad de sólidos que llega a la columna, la cual depende fundamentalmente de la viscosidad del fluido. Es necesario entonces, buscar una forma de evaluar la efectividad del fluido para suspender y arrastrar los sólidos independientemente de estos fenómenos propios del sistema utilizado.
Transporte de Sólidos
Una buena metodología para analizar el problema de cuantificar el transporte de sólidos es asociar el modelo de transporte de Sifferman con el modelo de velocidad de sedimentación de Chien, tal como ha sido aplicado en otros estudios (Pérez et al., 2004). Los resultados que se obtienen permiten no sólo comparar los fluidos y determinar cuál es el efecto de la adición de polímero, sino además predecir de manera cuantitativa el transporte de sólidos dentro de la región anular, al relacionar de una manera sencilla la cantidad de sólidos que entran a ésta en términos reales (la cantidad de cortes producidos durante la perforación) y la cantidad de sólidos suspendidos y arrastrados fuera del ánulo.
La relación de transporte se define como el cociente de la concentración de sólidos en la entrada de la columna y la concentración de sólidos promedio en la región anular (ecuación 3). La concentración en la entrada de la columna o en la alimentación, representa en términos experimentales la velocidad de producción de cortes de un pozo real. Una relación de transporte igual a la unidad significa que todos
los sólidos que están entrando a la columna (en términos reales los cortes que se producen al taladrar), son suspendidos y arrastrados en condiciones de máxima eficiencia. En la realidad, existen procesos de recirculación de sólidos en la región anular, que conllevan a que el factor de transporte sea menor a uno.
En la figura 8 se muestra la relación de transporte teórica para diferentes soluciones de goma xantano y goma guar en función del inverso de la velocidad de flujo, obtenidos aplicando los modelos antes descritos. Es clara la correspondencia lineal entre la relación de transporte con el inverso de la velocidad de flujo, como lo describe el modelo de Sifferman (ecuación 2).
Figura 8. Relación de Transporte teórica en función del inverso de la velocidad anular para diferentes soluciones de goma xantano y goma guar con una carga de arena de 18%.
A medida que la viscosidad del fluido aumenta, el transporte se hace más efectivo por lo que para las soluciones de un mismo polímero al aumentar la concentración, aumenta también su capacidad de transporte de sólidos. Se puede apreciar que a una velocidad de flujo determinada, las curvas de soluciones de goma xantano 1000 ppm y goma guar 2000 ppm se cruzan. Esto significa que a esa velocidad de flujo o tasa de corte, las viscosidades efectivas de ambas soluciones se igualan, siendo su capacidad de transporte idéntica.
El hecho de que a velocidades de flujo menores a 5,71 cm/ s (1/va=0,175 s/cm) una solución de goma xantano a 1000 ppm sea mejor que una de goma guar 2000 ppm, se debe a su alto poder viscosificante a bajas tasas de corte, sin embargo, el mayor carácter pseudoplástico de las soluciones de goma xantano hace que a tasas de flujo mayores a la señalada empiece a ser mejor el transporte con soluciones de goma guar a 2000 ppm. Se evidencia de la figura 8 que a altas velocidades de flujo, la relación de transporte se hace prácticamente la misma para todas las soluciones dado el carácter altamente pseudoplástico de las mismas y la presencia de flujo turbulento.
Experimentalmente se observa que el modelo propuesto para el análisis de transporte de sólidos se cumple no sólo en términos cualitativos sino también cuantitativos.
En las figuras 9 y 10, se observa el comportamiento del transporte de sólidos para soluciones de Goma Xantano y Goma Guar en comparación al agua, a diferentes concentraciones de polímero y carga.
Figura 9. Relación de transporte experimental (puntos) y teórica (líneas) en función del inverso de la velocidad anular para agua y soluciones de goma xantano a diferentes concentraciones de carga (18% y 27%)
Figura 10. Relación de transporte experimental (puntos) y teórica (líneas) en función del inverso de la velocidad anular para agua y soluciones de goma guar a diferentes concentraciones de carga (18% y 27%).
En términos de las características reológicas del fluido, los resultados confirman que el transporte mejora a medida que la viscosidad del fluido aumenta. Es interesante observar el hecho de que al agregar polímero al sistema y aumentar la viscosidad efectiva del fluido, las curvas se hacen más horizontales, siendo el transporte de sólidos más homogéneo, independientemente de la velocidad anular.
Independientemente de la concentración de sólidos que se logre en la columna (que es una función de la velocidad de flujo y la concentración de carga), la relación entre lo que entra a la región anular y lo que se logra transportar, no varía con dicha velocidad y por lo tanto el arrastre de sólidos es efectivo en todo el rango de velocidades estudiado.
En un pozo real, las velocidades de flujo que se manejan están en el rango de 50,8 a 203,2 cm/s (Baker Hughes, 1999). Si a velocidades de flujo muy inferiores (como las experimentadas en este trabajo), se logra un transporte eficiente de los sólidos que entran a la región anular, a velocidades como las reportadas, se espera que sea aún mayor, dado el comportamiento y la homogeneidad de la relación de transporte con la velocidad de flujo.
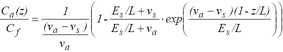
Al aplicar el modelo de Sifferman para el agua no se obtiene, la esperada tendencia lineal debido a que este modelo es válido si el perfil de suspensión en la columna es homogéneo, lo cual se logra sólo cuando hay polímero en el sistema.
En el caso de agua pura, el perfil es irregular a lo largo de la columna, siendo la concentración anular una función de la altura. Pérez et al., analizaron esto previamente aplicando el modelo de corrección de Smith et al., (1986) que toma en cuenta el efecto de la sedimentación o formación de lecho sólido y la dispersión longitudinal del sólido. El modelo predice que el perfil de concentraciones de sólido obedece la distribución
(8)
donde Es es el coeficiente de dispersión de sólidos y L es la longitud de dispersión. Tomando Es=30 cm2/s y L=200 cm para z=150 cm, como datos utilizados en trabajos previos (Pérez, 2004), al aplicar este modelo, se logran ajustar los valores experimentales expuestos en las figuras 9 y 10, quedando claro que para este caso, la relación entre la relación de transporte y la velocidad anular no es lineal, observándose desviaciones especialmente a bajas velocidades de flujo, que es precisamente la zona de mayor heterogeneidad en la distribución de sólidos para fluidos de baja viscosidad como es el caso del agua.
Con respecto al porcentaje de carga del sistema, se puede observar que tanto para 18%, como para 27%, la relación de transporte es prácticamente igual en todo el rango de velocidades estudiado. Esto, además de validar el modelo teórico, que no depende del porcentaje de carga del sistema, evidencia que la capacidad de transporte del fluido no se ve afectada por una mayor presencia de sólidos. Así, aún aumentando la carga del sistema, la proporción de sólidos transportados se mantiene. En términos prácticos, esto implica que se puede aumentar la tasa de penetración de la mecha o rop, (de sus siglas en ingles: rate of penetration), sin necesidad de aumentar la velocidad de inyección del fluido, manteniéndose la proporción de sólidos arrastrados de la región anular. Sin embargo, hay que acotar que, así como aumenta la cantidad de sólidos arrastrados, también aumentan los sólidos que permanecen en la región anular, por lo que no se puede aumentar la producción de cortes exageradamente sin aumentar la velocidad del flujo ya que esto puede involucrar un taponamiento del hoyo (Baker Hughes, 1999; M-I, 1998). Esto se puede ver al aplicar el modelo propuesto por la compañía Baker Hughes para el cálculo de la rop (m/hr), descrito a continuación:
(9)
donde Q es el caudal (gal/min). Nótese que la relación establece que para aumentar la tasa de penetración de una perforación debe aumentar igualmente el caudal de flujo, una concentración de sólidos constante. En la tabla 3 se presentan los resultados de las rop calculadas que se necesitarían para las condiciones de concentración de sólidos y relación de transporte para soluciones de goma xantano 1000 ppm.
Tabla 3. Tasas de penetración (rop) para soluciones de goma xantano 1000 ppm

A medida que aumenta la relación de transporte es posible perforar con una tasa de penetración mayor, lo que implica mayor rapidez de la operación. Comúnmente se recomienda, para evitar problemas en la limpieza del hoyo, que las concentraciones de sólidos en la región anular no superen el 8%, sin tomar en cuenta los otros aditivos sólidos agregados al lodo de perforación (Baker Hughes, 1999).
Hasta ahora se ha comentado la importancia de la presencia de polímero en los procesos de transporte y arrastre de sólidos, dada su influencia, entre otros aspectos, en los mecanismos de sedimentación de las partículas. El modelo de sedimentación de Chien en combinación al modelo de transporte de Sifferman, como se ha visto, son bastante concordantes con los resultados experimentales, lo que indica que la caracterización de los procesos físicos que ocurren en el flujo anular vertical, puede realizarse bajo esta metodología, teniéndose así la posibilidad de hacer predicciones acerca del comportamiento de los fluidos estudiados para aplicaciones de inyección en hoyos de perforación. En resumen, la idea de agregar polímero al sistema es mantener la velocidad de sedimentación de las partículas lo más baja posible.
En la figura 11 se puede apreciar como varía la velocidad de sedimentación de la arena en el sistema, con el número de Reynolds, utilizando diferentes soluciones de goma xantano y goma guar. En primer lugar, destaca el hecho de que a Reynolds mayores a 2300, es decir, en régimen turbulento, los cambios que se producen en la velocidad de sedimentación son bastante pequeños, observándose un proceso de estabilización especialmente para las soluciones de guar.
Figura 11. Velocidad de sedimentación en función del número de Reynolds para diferentes soluciones de goma xantano y goma guar a las concentraciones indicadas
También se puede ver que, entre las diferentes soluciones, existe una diferencia de velocidades de sedimentación considerable, que está relacionada con la viscosidad de las soluciones, ya que al ser más viscoso el fluido, ofrece una mayor resistencia a las partículas para que sedimenten, por lo que la velocidad de sedimentación disminuye. Igualmente el hecho de que las curvas para soluciones de goma Xantano 1000 ppm y goma Guar 2000 ppm se crucen, está relacionado a la igualación de sus viscosidades efectivas para una velocidad de flujo determinada y por lo tanto a un mismo Re, lo cual se observó ya en la relación de transporte teórica y experimental.
Estos resultados reflejan que al utilizar goma guar, dadas sus características reológicas de baja pseudoplasticidad, los cambios que sufre la velocidad de sedimentación en régimen turbulento son pequeños, por cuanto la mejora en el transporte de sólidos observada antes, se debe sólo a la contribución cinética que proporciona el aumento de la velocidad de flujo y no a efectos en el proceso de sedimentación.
En el caso de goma xantano, el hecho de que vs aumente con el Re, aun en régimen turbulento, implica que el proceso de sedimentación, dada la menor viscosidad, se está favoreciendo, por lo que el aumento del transporte con la velocidad de flujo observado, es igualmente debido a
cambios en la contribución cinética que promueven el movimiento de partículas hacia arriba.
Ambos resultados, tanto los correspondientes a goma xantano, como a goma guar, reflejan experimentalmente, lo que proponen (Walker y Mayes, 1975), acerca de que el transporte de sólidos en régimen turbulento, no tiene una dependencia crucial con la viscosidad del fluido, cuya influencia más importante es regular el proceso de sedimentación de las partículas.
CONCLUSIONES
El uso de biopolímeros en solución acuosa mejora la suspensión y arrastre de sólidos en comparación al agua, al disminuir la velocidad de sedimentación de las partículas y lograr homogeneizar los perfiles de concentración axial de sólidos. El polímero además ayuda a aplanar los perfiles de velocidad en la región anular, disminuyendo el área transversal disponible para la sedimentación rápida de las partículas, ubicada en las zonas cercanas a las paredes de las tuberías, en donde las velocidades tienden a cero.
Al comparar las soluciones de goma xantano y goma guar, el primer polímero provee un mayor transporte de sólidos para una misma concentración dada. Sin embargo, a velocidades de flujo muy altas donde las tasas de corte son elevadas, la suspensión lograda con ambos polímeros se asemeja, debido al carácter altamente pseudoplástico de las soluciones de goma xantano.
La distribución irregular de sólidos en los sistemas anulares tiene una influencia directa en los resultados de suspensión, debido a la acumulación de arena en zonas ajenas a la región anular. La relación de transporte es el parámetro más conveniente para analizar los fenómenos de suspensión y arrastre de sólidos, ya que es independiente de la distribución de éstos en el resto del sistema. Además permite caracterizar el comportamiento obtenido experimentalmente, al hacer comparaciones entre diferentes fluidos o soluciones utilizadas a diferentes condiciones experimentales.
Al aumentar la concentración de polímero, el transporte de sólidos se hace más efectivo e independiente de la velocidad de flujo ya que aumenta la viscosidad efectiva del fluido, lo que se traduce en una disminución de la velocidad de sedimentación de las partículas. Sin embargo, dado el carácter pseudoplástico de las soluciones, a muy altas velocidades de flujo, que equivale a altas tasas de corte, dicha viscosidad disminuye, siendo efectivo el efecto del polímero (aunque siempre mejor al agua pura).
En régimen laminar, predominan las fuerzas viscosas del fluido, por lo que aumentos de viscosidad mejoran la suspensión de sólidos. Sin embargo, para asegurar un buen transporte de sólidos en flujo anular axial es necesario que el régimen de flujo sea turbulento, ya que así se obtienen perfiles de velocidades planos y hay una menor dependencia de la viscosidad del fluido, siendo el factor más relevante la contribución cinética que proveen las fuerzas inerciales del fluido.
AGRADECIMIENTOS
Este trabajo fue financiado por el Proyecto Agenda Petróleo Fonacit 97003590.
REFERENCIAS
1. BAKER HUGHES INTEQ. (1999). Fluids Facts, Engineering Handbook. Chapter 4: Engineering. [ Links ]
2. BLOODWORTH, B.R., KEELY, G.L., CLARK, P.E. (1992). Mud relaxation measurements help predict hole cleaning ability. Oil & Gas Journal, 73-78. [ Links ]
3. CHIEN, S.F. (1994). Settling velocity of irregularly shaped particles. SPE Drilling & Completion, 281-289. [ Links ]
4. KESAVAN, S., PRUDHOMME, R. (1992). Rheology of guar and hpg cross-linked by borate. Macromolecules, Vol. 25, 2026-2032. [ Links ]
5. MACOSKO C. (1993). Rheology: Principles, Measurements and Applications. Wiley-VCH. New York. M-I. (1998). Drilling Fluids Engineering Manual. 20B Revision A-0 of March 31. [ Links ]
6. MILAS, M., RINAUDO, M. (1990). Flow and viscoelastic properties of xanthan gum solutions. Macromolecules, Vol. 23, 2506-2511. [ Links ]
7. NORTON, I.T., GOODALL, D.M., FRANGOU, S.A., MORRIS, E.R., REES, D.A. (1984). Mechanism and dynamics of conformational ordering in xanthan polysaccharide. J. Molecular Biology, 175. [ Links ]
8. PÉREZ, R.M.; SIQUIER, S.; RAMÍREZ, N.; MÜLLER, A. J.; SÁEZ, A.E. (2004). Non-Newtonian annular vertical flow of sand suspensions in aqueous solutions of guar gum. Journal Petrol. Sci. Eng., 44, 317-331. [ Links ]
9. SIFFERMAN, T.R., MYERS, G.M., HADEN, E.L., WAHL, H.A. (1974). Drill-cutting transport in full-scale vertical annuli. Journal of Petroleum Technology,1295-1302. [ Links ]
10. SMITH, D.N., RUETHER, J.A., SHAH, Y.T., BADGUJAR, M.N. (1986). Modified sedimentation-dispersion model for solids in a three-phase slurry column. AIChE Journal, Vol. 32, 426-436. [ Links ]
11. THOMAS, R.P., AZAR, J.J., BECKER, T.E. (1982). Drillpipe eccentricity effect on drilled cuttings behavior in vertical wellbores. Journal of Petroleum Technology, Vol. 34, 1929-1937. [ Links ]
12. WALKER, R.E., MAYES, T.M. (1975). Design of muds for carrying capacity. Journal of Petroleum Technology, Vol. 27, 893-900. [ Links ]
13. ZEIDLER, H.U. (1972). An experimental analysis of the transport of drilling particles. Society of Petroleum Engineers Journal. Transactions of the AIME, Vol. 253, 39-48. [ Links ]
14. ZEIDLER, H.U. (1974). Fluid and drilled particle dynamicsrelated to drilling mud carrying capacity. PhD dissertation, University of Tulsa. [ Links ]



























