Servicios Personalizados
Revista
Articulo
Indicadores
-
Citado por SciELO -
Accesos
Links relacionados
-
Similares en
SciELO
Compartir
Revista de la Facultad de Ingeniería Universidad Central de Venezuela
versión impresa ISSN 0798-4065
Rev. Fac. Ing. UCV v.21 n.2 Caracas 2006
Oxidative dehydrogenation of N-butane over VMgO catalysts supported and promoted with molybdenum or gallium
JOSÉ PAPA*, SAMIR MARZUKA*, JOAQUÍN L. BRITO AND NURY GUARÁN*
* Universidad Central de Venezuela, Facultad de Ingeniería, Escuela de Ingeniería Química.
ITQ, Universidad Politécnica de Valencia, Valencia, España.
Instituto Venezolano de Investigaciones Científicas, IVIC. E-mail: jpapa@reacciun.ve
ABSTRACT
The present study investigates the n-butane oxidative dehydrogenation (ODH) using VMgO catalysts supported on SiO2 or promoted with different amounts of Gallium or Molybdenum. The Mg/V atomic ratio used for all catalysts was four. Experiments were performed in a fixed bed reactor within the temperature range of 480 to 540ºC and a residence time the range of 6 to 50 (gcat min moltotal-1). The need for catalysts previously stabilized in order to avoid changes in behavior with time on run was demonstrated. The VMgO unsupported and unpromoted phase showed a good level of activity (conversions of ±30% at a contact time of 50 [gcat min moltotal-1] and a temperature of 540°C) with selectivities toward unsaturated hydrocarbons in the order of 90%. In order to increase the catalyst resistance to attrition, this active phase was supported on SiO2 (30% by weight). The activity and selectivity of this catalyst was somewhat lower than the observed on the unsupported phase but still interesting. The additions of molybdenum or gallium oxides with an atomic ratio (Mo/V or Ga/V) in the range 0.1 to 1.0 show instead to have mixed effects. Molybdenum promotes the selectivity toward butylenes but with a reduction in activity. Instead, gallium introduces a rather small effect.
Keywords: n-butane, oxidative dehydrogenation, supported, promoted, vanadium, gallium, molybdenum catalysts.
DESHIDROGENACIÓN OXIDATIVA DE N-BUTANO SOBRE CATALIZADORES DE VMgO SOPORTADOS Y PROMOVIDOS CON MOLIBDENO O GALIO
RESUMEN
En el presente estudio se investiga la Deshidrogenación Oxidativa (DHOX) de n-butano utilizando catalizadores de VMgO soportados en SiO2 o promovidos con diferentes cantidades de galio o molibdeno. La relación atómica Mg/V usada fue de cuatro para todos los catalizadores. Los experimentos se realizaron en un reactor de lecho fijo a temperaturas dentro del rango de 480 a 540ºC y con un tiempo de residencia que se varió entre 6 y 50 (gcat min moltotal-1). Se demuestra que para evitar cambios de comportamiento es necesario trabajar con catalizadores previamente estabilizados. La fase VMgO no soportada ni promovida presentó un buen nivel de actividad (conversiones de ±30% a un tiempo de contacto de 50 [gcat min moltotal-1] y una temperatura de 540ºC) con selectividades hacia hidrocarburos no saturados del orden del 90%. Con el objeto de aumentar la resistencia a la atrición del catalizador, esta fase activa se soportó sobre SiO2 (30% en peso). La actividad y la selectividad de este catalizador fueron algo menores a las observadas sobre la fase activa no soportada pero todavía interesante. La adición de óxidos de molibdeno o galio con relaciones atómicas (Mo/V o Ga/V) en el rango de 0.1a 1.0 mostró efectos variados. El molibdeno promovió la selectividad hacia butenos pero con reducción de la actividad. En cambio el galio conduce tan solo a cambios menores.
Palabras claves: n-butane, oxidative dehydrogenation, supported, promoted, vanadium, gallium, molybdenum catalysts.
Recibido: mayo de 2005 Revisado: junio de 2006
INTRODUCTION
The availability of huge amounts of light alkane hydrocarbons with a cost approximately half that of the corresponding alkenes, and the fact that they are generally environmentally non-aggressive products, is providing incentives for their use as raw materials in the chemicalindustry. Venezuela as a country with natural gas quantified reserves in the order of 226 trillion cubic feet (132 trillion cubic feet of them related to oil production), is producing a surplus of light hydrocarbons that could be converted into more valuable products. 102 The current great demand for olefins is stimulating the search for new production technologies using alkanes as starting reactants. Butylenes and butadiene are produced by the direct dehydrogenation of n-butane, an important component of Venezuelan natural gas. Their production using the oxidative dehydrogenation (ODH) is still confined to laboratory or pilot plant scale. A considerable effort is being made to develop a good ODH pathway. This work aims to make a contribution in this direction. ODH has the following advantages over the direct dehydrogenation: the reaction takes place at lower temperatures, there are no thermodynamic limitations, the catalyst used in the process can obtain oxygen from the feed stream without requiring an additional step for re-oxidation, and requires a low consumption of energy. However, olefins being intermediate reactive products under reaction conditions, selectivity becomes an important issue to consider in this technology. The mechanistic complexity of the oxidative dehydrogenation of n-butane is quite different from that of +propane and ethane. Due to the presence of two secondary of carbon (-CH2-), the n-butane dehydrogenates at ower temperatures. Unlike what occurs with ethylene and propylene, butylenes have the possibility to isomerize and to be converted into butadiene before undergoing further oxidations toward COx and water. Valuable products ofhydrocarbons ODH are unstable intermediate products, their yield being strongly affected by the catalyst selectivity.
The ODH of light hydrocarbons has been studied for a long time (Corma et al., 1994, Madeira et al., 2002). Among other properties, it was found that homogeneous alkenes reactions with free radicals are much faster than those with alkanes, limiting in this way the maximum achievable yield. Besides, dehydrogenation is the primary reaction in alkane oxidation, while the majority of the degradation products are formed through secondary reactions of valuable byproducts. Thus, high selectivities are occasionally , but only for low conversion levels.
In the case of ODH reactions over VMgO mixed metal oxides, the vanadate tetrahedral structure appears to be the selective catalytic site (López Nieto et al., 1998). The concentration of this phase on the catalyst surface depends on the method of preparation and on the nature and amounts of supports or promoters eventually added to that active phase (López Nieto et al., 1997; Solsona et al., 2001; Blanco et al., 2000, Holgado M.J. et al., 2005, Cortés Corberán V., 2005). The second hydrogen abstraction and the olefi ntermediate desorption, which is expected to depend on the catalyst acid-base character, may turn to be the selectivity determining steps (Mamedov E.A. et al., 1995). The aim of this research was to investigate how the activity and selectivity of vanadium based catalysts could be affected by the addition of a support with mild acidic characteristic ike SiO2, or by the addition of different amounts of gallium and molybdenum oxides.
EXPERIMENTAL
Catalyst preparation
The VMgO (Mg/V=4) base catalyst was prepared mixing appropriate amounts of stock solutions of an aqueous mixture of ammonium metavanadate with oxalic acid in water, with another solution of magnesium acetate. The first solution has a characteristic blue-green color and was obtained by mixing water and oxalic acid under agitation at 70ºC and then adding the ammonium metavanadate. The second solution was prepared adding magnesium acetate to water under agitation at 25ºC. Both aqueous solutions are mixed under agitation for 1 hour, and the resulting slurry dried under mechanical agitation at 90ºC. The solid was then heated at 100ºC during 24 hours inside an oven, then ground and finally calcined increasing the temperature at a rate of 5ºC per minute up to 600ºC, a temperature that was maintained constant during 16 hours. This method of preparation will be called Procedure-1(Proc-1). A second method of preparation was also used (Proc-2) weighting solid precursors and preparing both solutions just before the catalyst preparation. From this point, both methods are
identical.
Supported and promoted catalysts were prepared following procedure 1 (Proc-1), with the difference that the appropriate amount of SiO2 or of a solution of ammonium heptamolibdate or of gallium nitrate was added to the above described ammonium metavanadate/oxalic acid solution. The remaining preparation steps are the same as described above.
Activity measurements
The catalytic reaction experiments were carried out in an equipment that basically consists of three gas lines (nitrogen, air and n-butane) each equipped with a metering valve and a back-pressure regulator. The three lines converge to a quartz reactor, placed inside a furnace equipped with a PID controller, working at a pressure slightly above atmospheric pressure. The reaction temperature was measured with the help of an electronic thermometer. A switching valve allows sampling the inlet or the outlet stream which are then analyzed with a gas chromatograph equipped with two detectors (FID and TCD) and a catalytic converter. Hydrocarbons, CO and CO2 (after passing through the catalytic converter) were analyzed using the FID detector, and oxygen and nitrogen using the TCD detector. Within 103 the chromatograph, reactants and products are separated using two different columns.
Before packing the reactor, the catalyst was first agglomerated under pressure in a small die; the resulting pellet was then ground and sieved, selecting those particles with an average particle size of 425 μm. The reactor was packed with three beds: a lower one of silicon carbide which rests upon a stainless steel gauze, followed upward by the catalytic packing consisting of a mixture of the catalyst particles with the appropriate amount of silicon carbide of the same average particle size (volume ratio of 1:3 respectively), and finally by another bed filled only with silicon carbide. This third bed is higher than the previous ones because it performs the function of heating up reactants to the reaction temperature, and besides insuring the development of a plug flow pattern. The catalytic bed was separated from the previous and the following bed by means of stainless steel gauze. The silicon carbide is inert for the reaction and a good heat conductor, preventing the formation of hot spots within the catalytic bed due to the highly exothermic oxidation reactions. The silicon carbide was proved to be inert in a previous test done under the most severe reaction conditions.
The activity and selectivity of each prepared catalyst for the ODH of n-butane was studied within the temperature range of 480 540ºC, a residence time within a range of 6- 50 (gcat min moltotal-1) and using a feed composition with a volumetric ratio of n-butane, oxygen and nitrogen of 8:12:80 respectively. Four kinds of catalysts were used: VMgO, VMgO/SiO2(30%w), VMgO/Mo and VMgO/Ga. Promoted catalysts were prepared with different Metal/V atomic ratio of 0.1, 0.3, 0.6 and 1.0. In each experiment only the following reaction products were detected: CO and CO2, 1- butene, cis-2-butene, trans-2-butene and 1,3-butadiene. All experiments were duplicated to ensure reproducibility.
RESULTS AND DISCUSSION
Catalytic tests.
Before performing experimental runs, each catalyst was stabilized in situ under reaction conditions and at the maximum temperature used in this research (540ºC). After stabilization, experimental runs were done, taking the temperature downward to 480ºC and finally raising it back to 540ºC. In all cases the reproducibility was good enough to ensure that the catalyst was stable respect the time on run. The importance of the stabilization process was assessed with one of the prepared catalysts.
Catalysts behavior under the applied experimental conditions shows approximately the same pattern: activity increases when increasing temperatures and increasing contact time. The increase of conversion with the temperature is due to the fact that all the involved chemical reactions are activated processes; meanwhile the observed ncrease with increasing contact time can be explained as the result of the increasing opportunities for reaction. All results show that the selectivity toward unsaturated hydrocarbons decreases and that toward CO, CO2 and H2O increases with increasing conversions, which is a consequence of the fact that unsaturated hydrocarbons are unstable intermediate compounds. In some reactivity tests, a selectivity increase with increasing conversions was observed at very low conversion levels, a behavior that can be explained in terms of activation energies that were reported to be slightly higher for dehydrogenation reactions than for the total oxidation reactions (Téllez et al., 1998). The difference is very small and can only be seen at low reaction temperatures.
The selectivity toward butylenes decreases with increasing conversions, while that toward butadiene increases. This behavior is typical for consecutive schemes of reactions. For n-butane, butylenes are primary reaction products while butadiene is the secondary one. If we accept the principle that chemical reactions take place as a sequence of steps with the smallest possible change (Boudart M., 1968), it is understandable that the hydrogen abstraction to produce butenes takes place before the second abstraction to produce butadiene. Nevertheless, experimental results show that a small amount of butadiene appears as a primary product of the ODH reactions (Lemonidou A.A., 2001; Briceño A. et al., 2001). This behavior can be explained accepting that a certain amount of butylenes undergoes a second hydrogen abstraction before desorbing. Our results do not show the expected maximum for the butadiene yield, but the tendency toward that maximum can be clearly foreseen for higher conversions than those reached in our experiences.
VMgO catalysts.
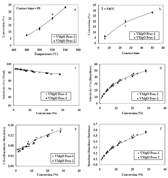
The VMgO basic catalyst was studied to obtain a pattern of behavior against which to compare the behavior of other catalysts. Two catalysts of this kind were prepared: a) Mixing appropriate amounts of previously prepared solutions with a known concentration of each metal (Proc-1) and b) Weighting the appropriate amounts of each compound and preparing the solution in situ (Proc-2).
The results can be observed in Figure 1. Within experimental errors, both catalysts show the same behavior (Figure 1-a and 1-b), meaning that any of both methods of preparationcould be used. For each contact time, a fresh catalytic bed was used and, as can be seen in the figure, the reproducibility is very good. Our results are similar to those found by Téllez et al. (1998), that is the selectivity towards butenes decreases and that toward butadiene increases with increasing conversion, a typical behavior for primary and secondary products of reaction respectively. Selectivity toward butylenes and butadiene plotted in Figure 1-c and 1-d respectively shows that all data, obtained at different temperatures, different contact time and different time on run falls on the same tendency curve, no matter which catalyst is used (Proc-1 and Proc-2).
Figure 1. Activity and selectivity behavior of the VMgO catalyst prepared following Procedure-1 (Proc-1) and Procedure-2 (Proc-2). catalyst is used (Proc-1 and Proc-2).
The same behavior is observed when the ratio [COx/ (butadiene + butylenes)] (figure 1-e) and the ratio [butadiene/ (butadiene + butylenes)] (Figure 1-f) are plotted against conversion, meaning that there is not a reaction mechanistic pattern change under our experimental conditions. If the tendency curve of results plotted in Figure (1-e) and (1-f) are extrapolated to zero conversion, both ratios cross at ratios values higher than zero meaning that COx and butadiene are both, primary and secondary reaction products.
VMgO/SiO2(30% by w.) catalyst
Results for this catalyst are shown in Figure 2. Here a comparison of the catalyst behavior before (NSt) and after (St) stabilization is also done. As it can be observed the stabilized catalyst shows a lower activity but higher selectivities toward 1-butene, butadiene and alkenes plus dialkenes (Total) (Figure 2-a, 2-b, 2-c, 2-d). Nevertheless, Figure (2-e), shows that the selectivity toward t-2-butene and c-2-butene falls on the same tendency line, what can be to fast isomerization reactions catalyzed by active acidic sites that are known to exist on the support, whose activity is not affected by the stabilization process. Finally figure 2-f shows values for the [butadiene/(butadiene + butylenes)] experimental ratio which follow the same tendency line. This result suggests that the stabilization process do not affect the main reaction mechanism, but reduces sensibly the concentration of sites responsible for the hydrocarbons total oxidation toward COx and H2O. Comparing conversion results shown in figure (1-a) and (1- b) to those shown in figure (2-a), a remarkable decrease in activity is observed when the active VMgO phase is supported over SiO2. If the ODH technology should be applied in a two zone fluidized bed reactor, or its variations, a catalyst with the necessary resistance to attrition should be developed. This catalyst may offer that property with an acceptable level of activity and selectivity (J. Soler et al., 1999).
Figure 2. The activity and selectivity behavior of the VMgO catalyst supported on 30% by weight of SiO2 before stabilization (NSt) and after stabilization (St)
VMgO/Mo promoted catalysts
A series of catalysts, with a ratio of Mg/V=4 equal to that used in the basic one, were prepared with different Mo/V ratios of 0.1, 0.3, 0.6 and 1.0. Results of the catalytic tests are shown in Figure 3. Their activity showed to be lower than those observed over the VMgO and the VMgO/ SiO2(30% by w.) catalysts (Figure 3-a). The highest conversion was obtained at the highest reaction temperature and contact time, with a value around 5.5% (Figure 3-b). With increasing temperatures (from 480 to 540°C) at a constant contact time, and with increasing contact time (from 5 to 50) at a constant reaction temperature, a consistent trend in the evolution of conversion was observed (Figure 3-a and 3-b). The catalyst with the highest activity was the one with a ratio Mo/V= 0.1, but at the same time it was the less selective (Figure 3-c). In general the differences among them are small. This means that even if the presence of molybdenum has an important effect on activity and selectivity, its amount within the range used has a little additional effect on the catalytic properties. The exception is the catalyst with a Mo/V ratio of 0.3 but it was also the catalyst with the lowest surface area. The low activity shown by these catalysts agree with previous results obtained by Legmi et al. (2001) and De Risi et al. (2002), and confirms that this behavior is not a question of the amount of Mo used in their preparation (Blasco et al. 1998). With the sole presence of molybdenum, the TPR peaks are shifted toward higher temperatures, meaning that this metal stabilizes in a certain measure the vanadium mobile oxygen atoms lowering in consequence their activity (Armas M. N. 2004).
Figure 3. The activity and selectivity behavior of the VMgO catalyst (Mg/V ratio of 4) promoted with different amounts of molydenum (Mo/V atomic ratio of 0.1, 0.3, 0.6 and 1.0)
Additionally, Figure (3-c) shows that with increasing amounts of molybdenum the selectivity toward unsaturated hydrocarbons also increases, reaching values in the order of 95%. The [butadiene/(butadiene + butylenes)] ratio shows a common trend for all experimental values (Figure 3-d) meaning that the amount of Mo does not induce perceptible changes in the reaction mechanism.
VMgO/Ga promoted catalysts
This series of catalysts were prepared with a Mg/V ratio of four, and with different Ga/V atomic ratio of: 0.1; 0.3; 0.6 and 1.0. They are more active than the molybdenum promoted series but less than the base catalyst (Figure 4-a). As it can be seen in Figure (4-a) and (4-b), the most active were those with a Ga/V ratios of 0.3 and 0.6. Comparing Figure 3 with Figure 4, it can be seen that gallium has a smaller effect on the base catalyst activity than the molybdenum. The catalyst Ga/V=1.0 shows a decrease in the selectivity toward unsaturated hydrocarbons (Figure 4- c). This may suggest that an excess of gallium may lead to a higher concentration of active centers that are able to catalyze the unselective total oxidation of hydrocarbons. At the same time, as shown in Figure (4-d), the [butadiene/ (butylenes + butadiene)] ratio follows a common trend for all contact times and reaction temperatures, which can be taken as proof that the amount of gallium does not affec the reaction mechanism. If this trend line is extrapolated to zero conversion, the ratio does not fall to zero, which means that the butadiene behaves at the same time as a primary and as a secondary reaction product.
Figure 4. The activity and selectivity behavior of the VMgO catalyst (Mg/V ratio of 4) promoted with different amounts of gallium (Ga/V atomic ratio of 0.1, 0.3, 0.6 and 1.0)
A comparative analysis of both promoted catalysts
Figure 5 shows selectivity values for catalyst promoted with molybdenum on the left and gallium on the right, at two levels of iso-conversion. With molybdenum as the promoter, the selectivity toward unsaturated hydrocarbons (total) increases with the amount of that metal (Figure 5-e), reaching comparable results to those found with the non promoted (Mo/V=0). At the same time with increasing amount of molybdenum the selectivity toward butylenes increases, it being always higher than the values observed over the base catalyst (Figure 5-a), which agree with the conclusions of Dejoz et al. (1999). The selectivity toward butadiene shows an increasing trend too, but was always lower than the one observed on the base catalyst, with a tendency to close the difference with increasing conversions (Figure 5- c).
Figure 5. Selectivitys toward Butenes, Butadiene and Unsaturated Hydrocarbons (Total) at iso-conversion as a function of Mo/V ratio (left side) and of Ga/V ratio (right side), for experiments done at 540°C and a contact time of 50 [gcat min/molfeed]
Results on catalysts promoted with gallium are shown on the right side of Figure 5 (5-b, 5-d, and 5-f). The addition of gallium shows consistently poorer results than those observed over the non-promoted catalyst. In absence of oxygen gallium oxide showed to activate non-desired cracking and coking reactions. It can be observed that both types of catalysts do not have a better performance than the non-promoted VMgO catalyst. However, with molybdenum, the total selectivity and the selectivity toward butenes increase with increasing amount of the metal. On the other hand, the behavior of catalysts with gallium as the promoter is quite the opposite.
CONCLUSIONS
Results show a good reproducibility in the preparation ofcatalysts, and in the reactor packing. Supporting the active phase over SiO2 resulted in a reduction in activity and to some extent in selectivity but preserving characteristics that will make this catalyst a promising one for the ODH of nbutane. Also, it was demonstrated the convenience of working with stabilized catalysts. The activities of our promoted catalysts were always lower than that reported inthe literature, suggesting the convenience of doing additional research changing the method of preparation. It was found that with increasing amounts of molybdenum the selectivity toward butenes increases, what could be interesting for butenes production and further research to find a way to increase their activity.
ACKNOWLEDGEMENTS
Financial and technical assistance from the Universidad Central de Venezuela, FONACIT and IVIC is gratefully acknowledged.
REFERENCES
1. ARMAS M. N. (2004), Deshidrogenación Oxidativa de Alcanos Ligeros, PhD Thesis, Universitat Politécnica de Catalunya, Barcelona, España. [ Links ]
2. BLANCO C., Y N. REINOSO. (2000). Deshidrogenación Oxidativa de n-butano sobre catalizadores V-Mg/SiO2, Trabajo Especial de Grado, U.C.V [ Links ]
3. BLASCO T., A. DEJOZ, J. M. LÓPEZ NIETO. (1998). Deshidrogenación oxidativa de n-butano sobre catalizadores Vox/MgO promovidos por óxidos de metales de transición». Proceedings, Simposio Iberoamericano de Catálisis. Córdoba, Argentina. 897- 902. [ Links ]
4. BOUDART M. (1068), Kinetics of Chemical Processes, Prentice Hall Ed. [ Links ]
5. BRICEÑO A. (2003) Kinetics and mechanism of the oxidative dehydrogenation of n-butane over a SiO2 supported VMgO catalyst, Rev. Téc. Ing. Univ. Zulia, 26 (2), 117-126. [ Links ]
6. CORMA A., LÓPEZ NIETO J. M., PAREDES N., DEJOZ A., VÁZQUEZ, I. (1994). Oxidative dehydrogenation of propane and n-butane on V/Mg based catalysts. New Developments in Selective Oxidation II, 113-123. [ Links ]
7. CORTÉS CORBERÁN V. (2005), Novel approaches for the improvement of selectivity in the oxidative activation of Light alkanes, Catalisis Today, 99, 33-41. [ Links ]
8, DE RISI, L., ROSILLO, C. (2003). Oxidative dehydrogenation of n-butane and n-pentane over VMgO catalysts promoted and supported, Trabajo Especial de Grado, U.C.V. [ Links ]
9. DEJOZ A., LÓPEZ NIETO J. M. (1999), The role of Molybdenum in Mo-doped VMgO catalysts during the oxidative dehydrogenation of n-butane, App. Catal. A: General 180, 83-94. [ Links ]
10. HOLGADO M.J., S. SAN ROMÁN, P.MALET, V. RIVES. (2005), Effect of the preparation method on the physicochemical properties of mixed magnesium-vanadium oxides, Materials Chemistry and Physics, 89, 49-55. [ Links ]
11. LEMONIDOU A.A. (2001), Oxidative dehydrogenation of C4 hydrocarbons over VMgO catalyst- kinetic investigation, Applied Catalysis A: General, 216, 242-252. [ Links ]
12. LÓPEZ NIETO J. M., DEJOZ A., VÁSQUEZ M.I., COENRAADS R. (1997), The Role of Metal Oxides as Promoters of V2O5/ γ-Al2O3 Catalysts in the Oxidative Dehydrogenation of Propane, App. Catal. A: General 110, 443-452. [ Links ]
13. LÓPEZ NIETO J. M., DEJOZ A., VAZQUEZ M. I., O´LEARY W., CUNNINGHAM J. (1998), Oxidative dehydrogenation of n-butane on MgO supported vanadium catalysts,. Catal. Today, 40, 215-228. [ Links ]
14. MADEIRA L. M., PORTELA M.F. (2002), Catalytic oxidative dehydrogenation of n-butane,. Catal. Rev.-Sci. Eng. 44, 247-286. [ Links ]
15. MAMEDOV E.A. AND V. CORTÉS CORBERÁN. (1995), Oxidativedehydrogenation of lower alkane on vanadium oxide-based catalysts. The present state of the art and outlooks, Applied Catalysis A: General, 127, 1-40. [ Links ]
16. PILONIETA, L. (2001). Deshidrogenación oxidativa del nbutano sobre catalizadores VMgO soportados y VMgO promovidos con Ga y Sb, Trabajo Especial de Grado, U.C.V. [ Links ]
17. SOLER J., LÓPEZ NIETO J. M., HERGUIDO J., MENÉNDEZ M., SANTAMARÍA J. (1999), Oxidative dehydrogenation of nbutane in a two-zone fluidized-bed reactor, Ind. Eng. Chem. Res,. 38, 90-97. [ Links ]
18. SOLSONA B., A. DEJOZ, M.I. VÁSQUEZ, F. MÁRQUEZ AND J.M. LÓPEZ NIETO. (2001), SiO2-supported vanadium magnesium mixed oxides as selective catalysts for the oxydehydrogenation of short chain alkanes, Applied Catalysis A: General, 208, 99-110. [ Links ]
19. TÉLLEZ C., MENÉNDEZ M., SANTAMARÍA J. (1998), «Comparación de diversos catalizadores de Óxidos Mixtos en Reactores de Membrana de Pared Porosa en la deshidrogenación oxidativa de Butano», Proceedings, Simposio Iberoamericano de Catálisis, Cartagena, Colombia. 977-982. [ Links ]

















