Services on Demand
Journal
Article
Indicators
-
Cited by SciELO -
Access statistics
Related links
-
Similars in
SciELO
Share
Revista de la Facultad de Ingeniería Universidad Central de Venezuela
Print version ISSN 0798-4065
Rev. Fac. Ing. UCV vol.25 no.4 Caracas Dec. 2010
Influencia de la relación C:N en la remoción de nitrógeno usando un sistema combinado de reactores por carga secuencial
Griselda Ferrara de Giner1, Armando Ramírez2
1Universidad Central de Venezuela. Facultad de Ingeniería. Escuela de Ingeniería Civil. Dpto. Ingeniería Sanitaria y Ambiental. e-mail: griferrara1941@gmail.com
2Universidad Central de Venezuela. Facultad de Ciencias. Instituto de Ciencias de la Tierra. e-mail: armando.ramirez@ciens.ucv.v
RESUMEN
Este trabajo permitió evaluar la influencia de la relación C/N sobre el desempeño de un sistema de tratamiento biológico constituido por dos reactores por carga secuencial conectados en serie: un reactor de biopelícula (RCSB) acoplado con un reactor de crecimiento suspendido (RCS). El RCSB promovió la nitrificación de un líquido residual sintético de composición débil y el RCS la desnitrificación del efluente del primero. Se experimentó con tres diferentes condiciones de una fracción volumétrica de agua residual cruda (α1= 0,5; α2= 0,2 y α3= 0). Esta fracción fue usada para sobreponerse a la disminución de carbono orgánico ocurrida en el RCSB. El sistema operó por ciclos de 6 horas (4 ciclos /día), para completar el proceso de nitrificación (RCSB) y de desnitrificación (RCS). La razón C/N en el líquido afluente del RCS alcanzó 18,7; 6,99 y 7,24 mg DQO/mg NOx-N, valores asociados α cada a señalada. La formación de NO3-N en el RCSB alcanzó 91, 95 y 95% en relación con el nitrato original, para α1 α2 y α3, respectivamente. La remoción de nitrato en el RCS alcanzó 99, 77 y 76% para α1 α2 y α3, indicando un mejor proceso de desnitrificación cuando se añade carbono orgánico al sistema. La concentración de nitrato en el efluente fue 0,06; 3,57 y 3,92 mg/L para α1 α2 y α3 respectivamente, valores inferiores a la normativa nacional para cuerpos de agua.
Palabras Clave: Biorreactores, Nitrificación, Desnitrificación, Procesos biológicos aerobio-anóxicos, Tratamiento de aguas residuales.
Influence of C/N ratio on the removal of nitrogen by using a combined system of sequencial batch reactors
ABSTRACT
This work permitted to evaluate the influence of C/N ratio in a biological treatment system, integrated by two sequential batch reactors, RCSB and RCS. The RCSB permitted the nitrification of the synthetic residual liquid of weak composition and then the denitrification process took place in the RCS under three different conditions of volumetric fraction (α1=0,50; α2=0,20; α3=0,00) used in order to balance the organic carbon content. The system was operated by 6 hours cycles to complete the nitrification (RCSB) and the denitrification (RCS) process. The C/N ratio in the liquid feeding the RCS was 18,7; 6,99 and 7,24 mg COD/mg NOx-N for the three α1, α2 and α3 conditions. The nitrate formation in the RCSB was 91%, 95% and 95% for α1, α2 and α3 respectively. The removal of the nitrate in the RCS reached 99%, 77% and 76% for α1 α2 and α3 respectively, indicating a better denitrification process when organic carbon is supplied to the system. The nitrate concentration in the effluent of the RCS were 0,06; 3,6 and 3,9 mg/l for α1 α2 and α3 respectively, which are much lower than the legal requirements in Venezuela.
Keywords: Bioreactors, Nitrification-denitrification, aerobic-anoxic biological process, sequential batch reactors, wastewater treatment.
Recibido: abril de 2009 Recibido en forma final revisado: julio de 2010
INTRODUCCIÓN
La eliminación del nutriente nitrógeno de efluentes de biotratamientos se ha transformado en un imperativo. En primer lugar por el aprovechamiento y reuso de las aguas residuales, muy en boga en los últimos tiempos. Así mismo, por la eutrofización acelerada con especial énfasis en el caso de los cuerpos de agua lénticos, la cual está potencialmente asociada a la presencia de las formas oxidadas de nitrógeno. En Venezuela, cuando se trata de descargas a cualquier cuerpo de agua, la normativa ambiental limita la presencia de nitrógeno total -expresado como N- a 40 mg/L y de nitrato -expresado como NOx-N- a 10 mg/L. En el caso especial del Lago de Valencia, típicamente un cuerpo de agua con poco movimiento, la norma está referida únicamente a nitrógeno total-N con un valor límite aceptable de 10 mg/L.
La resolución del problema de la remoción de nitrógeno de efluentes líquidos puede realizarse utilizando: procesos físico-químicos como intercambio iónico selectivo y despojamiento con aire a pH elevado; procesos químicos como la oxidación, usando una variedad de oxidantes, entre otros, cloro, ozono y radicales libres; pero sin duda la alternativa de la remoción biológica de nitrógeno, con costos generalmente inferiores, tiene una gran aceptación entre la comunidad científica y tecnológica (Metcalf & Eddy, 2003). Este proceso se lleva a cabo en dos etapas. En la primera, se efectúa la nitrificación, con la intervención de bacterias quimioautotróficas aerobias. En esta fase, se realiza la transformación por oxidación sucesiva del amonio en nitritos y estos en nitratos, aprovechando el cambio previo del nitrógeno orgánico en amoniacal por deaminación bacteriana. En una segunda etapa es efectuada la desnitrificación a través de bacterias quimio heterotróficas facultativas. Éstas reducen el ion nitrato a gas nitrógeno por un mecanismo respiratorio, conocido como anóxico, donde reemplazan el oxígeno libre por el nitrato como aceptor final de electrones, con la consiguiente reducción en requerimientos de oxígeno y por ende ahorro de energía (Bayley & Thomas, 1975; Gaudy & Gaudy, 1980; Grady et al. 1999; Metcalf & Eddy, 2003).
La biodesnitrificación puede llevarse a cabo en diferentes tipos y combinaciones de reactores y en régimen de flujo continuo o por carga. En esta investigación (Ferrara-Giner, 2008) se experimentó con un sistema combinado operado por cargas y en forma secuencial y conformado por un lecho de crecimiento adherido y un lecho móvil de crecimiento suspendido. La alimentación del sistema fue líquido residual sintético de concentración débil. Esta concentración es representativa de las aguas residuales de Venezuela en donde el consumo de agua y la dieta de la población influyen para darle tal carácter (Rivas, 1978). El perfil que tienen las aguas residuales municipales en Venezuela no sigue el patrón considerado típico para otros países que nos sirven de referencia. Por ello la experimentación con líquidos residuales sintéticos que representen ese perfil, tal como el utilizado en este trabajo, permite llenar vacíos con respecto a parámetros de diseño y operación utilizados por nuestros ingenieros proyectistas.
Este estudio evalua la influencia de la relacion C/N sobre el desempeno de un sistema que combina un reactor de crecimiento adherido en serie con uno de crecimiento en suspension. Esta configuracion particular permite que en el reactor de biopelicula sea nitrificado el liquido residual y que su efluente nitrificado sirva de alimentacion a un reactor de crecimiento suspendido, operados ambos reactores bajo la modalidad por carga. El reactor de lecho movil con crecimiento suspendido promovera la desnitrificacion. Para sobreponerse a la disminucion de materia carbonosa, asociada a la operacion del reactor de biopelicula, y requerida por las bacterias heterotrofas desnitrificantes, la alimentacion de este reactor es complementada con una fraccion volumetrica de agua residual cruda (a). La fraccion a junto con la relacion C/N a la entrada del RCS, seran variables importantes que considerar en el desempeno del sistema.
METODOLOGÍA
El sistema combinado utilizado lo conforman dos modelos disponibles en el Laboratorio de Procesos Unitarios de la Facultad de Ingeniería de la Universidad Central de Venezuela y utilizados en forma independiente en trabajos precedentes y que para este estudio fueron acoplados en serie. El primer modelo es un lecho de crecimiento microbiano adherido denominado reactor por carga secuencial de biopelícula (RCSB) y conformado por una columna de PVC de 10 cm de diámetro externo y un espesor de pared de 1 cm, con una altura de 214 cm. El medio de soporte lo constituyen anillos de PVC del tipo Rashig con altura igual al diámetro de 1,27 cm y con espesor de pared entre 3 y 4 mm. La columna está sujeta a la pared lateral de un mesón con abrazaderas de metal y tiene orificios intercalados a lo largo para captar muestras a diferentes profundidades. Los puntos de captación de muestras utilizados están a 40, 80 y 120 cm de profundidad, respectivamente. El medio de soporte ya descrito ocupa una altura de 192 cm en el lecho generando un volumen de relleno de 1,90 L. El área superficial total del relleno alcanza a 1,62 m2.
El reactor de biopelícula descrito está acoplado a un reactor de crecimiento suspendido denominado reactor por carga secuencial (RCS) y conformado por un tanque de 10 litros con agitador y operado bajo condiciones anóxicas. El modelo de RCS fue construido con un cilindro de plexiglás de 21 cm de diámetro y una altura de 40,5 cm. La base, de plexiglás de 1,5 cm de espesor, tenía forma de cuadrado de 961 cm2. Alrededor del perímetro interior del cilindro fueron colocadas 3 pantallas de 3 cm de ancho separados a intervalos de 7 cm, extendiéndose desde la parte superior del reactor hasta 28,5 cm de la base. El reactor estaba provisto de un agitador electromecánico, un rotámetro y un aireador.
El sistema opera por ciclos de 6 horas (4 ciclos /día) y en forma intermitente y el efluente nitrificado del RCSB alimenta al RCS. Cada ciclo está constituido por dos subciclos: el primero se lleva a cabo en el RCSB, donde ocurre la nitrificación y el segundo se lleva a cabo en el RCS donde se alcanza la desnitrificación. Los tiempos de operación utilizados para cada una de las fases típicas de los reactores por carga secuenciales son:
Subciclo de nitrificación:
Llenado: 15 min
Reacción: 4 horas, 30 min (ambiente aeróbico)
Sedimentación: 45 min
Descarga: 15 min
Reposo: 15 min
Subciclo de desnitrificación:
Llenado: 15 min
Reacción anóxica/agitación: 4 horas, 30 min
Aireación/agitación/pulido 15 min
Sedimentación: 15 min
Descarga: 15 min
Cada una de las operaciones y procesos unitarios (llenado, agitación, aireación, sedimentación y descarga) fueron controlados con válvulas solenoides controladas mediante temporizadores programables instalados antes del arranque del sistema.
El RCSB está destinado a favorecer el proceso biológico de nitrificación, inducido por bacterias autótrofas, al mismo tiempo que remueve la materia carbonosa del líquido residual que alimenta al sistema y al RCS le corresponde desnitrificar biológicamente el efluente nitrificado que proviene del reactor de biopelícula. El proceso de oxidación desarrollado en el biolecho produce un efluente empobrecido en carbono orgánico requerido por las bacterias heterotróficas desnitrificantes- y por ello generalmente es necesario añadir una fuente exógena del mismo para conseguir una desnitrificación exitosa, entre otras, se ha utilizado metanol, ácido acético, residuales industriales y lodo primario. (Jones et al. 1990; Jun et al. 2004; Obajá et al. 2005; Komoroswka-Kaufman et al. 2006; Ganesh et al. 2006). En este trabajo, como aporte suplementario de carbono orgánico a la desnitrificación se usa una fracción volumétrica, denominada a, del agua residual sintética utilizada como sustrato del sistema. Así, la alimentación del RCS estará constituida por el efluente del RCSB mezclado con la fracción α de agua residual. Esta fracción es una variable importante a considerar en el desempeño del RCS y fueron experimentados tres valores de la misma: a1= 0,5; a2= 0,2 y a3= 0, correspondientes a tres diferentes porcentajes aportados por el agua residual al afluente del reactor con carga suspendida: 50%, 20% y 0%, respectivamente. Al realizar un balance de masas sobre el sistema significa que el agua residual cruda que entra al RCSB le corresponde la fracción volumétrica (1-a). No obstante, para el RCSB esa fracción sólo es volumétrica; desde el punto de vista de la composición del agua residual sintética, ésta se mantuvo constante. Por otra parte, los valores de a pueden ser considerados como una forma de estimar la relación C/N a la entrada del RCS y más específicamente la razón DQO/NTK.
El sistema de alimentación del líquido residual sintético crudo consiste en un tanque de 19 litros que cuenta con una bomba que permite controlar el flujo que se dirige a cada uno de los reactores: (1-a) al RCSB y (a) al RCS. La fracción que se dirige al RCSB llega a un tanque con una bomba sumergible que alimenta al lecho biopercolador y permite la recirculación del mismo durante la etapa de reacción. Al finalizar el primer subciclo, el efluente nitrificado se envía al RCS conjuntamente con la fracción α de agua residual sintética usada como fuente de carbono. El RCSB iniciará en forma independiente un nuevo subciclo de nitrificación al terminar de alimentar con su efluente al RCS. De la misma forma el RCS, una vez completadas sus operaciones, iniciará un nuevo subciclo de desnitrificación. El volumen de retorno de los lodos en el RCS fue de 3 litros. No hubo necesidad de descargar el exceso de lodos (purga), porque los tiempos de retención de sólidos (TRS) resultaron ser: 68, 48 y 44 días para a = 0,5; 0,2 y 0, respectivamente.
El agua residual sintética está constituida por leche en polvo, pectona, cloruro de amonio, almidón y otros nutrientes, diluidos con agua de las instalaciones del laboratorio y utilizados por investigadores precedentes (Jones et al. 1990) y tiene una concentración promedio de 193,5 mg/L de DBO5, 258 mg/L de DQO, 34 mg/L de NTK y 118 mg/L de alcalinidad (como CaCO3).
El desempeño del sistema combinado fue evaluado captando muestras, a la entrada y salida de cada uno de los reactores, al inicio y al final de cada ciclo, realizando la determinación de los parámetros clásicos para evaluar sistemas biológicos de tratamiento: nitrógeno orgánico, nitrógeno amoniacal, nitritos, nitratos, DQO, DBO5, sólidos suspendidos, turbiedad, alcalinidad y pH. Para analizar el comportamiento de las formas de nitrógeno y la DQO durante la fase de reacción de 4,5 horas, fueron realizados perfiles de las mismas captando muestras a 0, 30, 60, 120, 180 y 270 minutos. Adicionalmente fueron determinados el Índice Volumétrico de Lodos y los SSLM en el RCS. Para la preservación y almacenamiento de las muestras y realizar las determinaciones se siguieron los métodos y técnicas recomendados por APHA et al. (1998). Para efectos de esta investigación se discutirán los resultados relacionados con la remoción de nitrógeno y la influencia de la relación entre la materia carbonosa y el nitrógeno presente en el líquido residual.
RESULTADOS
Relación C/N en la nitrificación. Uno de los parámetros más importantes en el proceso de nitrificación es la relación entre el carbono orgánico y el nitrógeno, debido a que el contenido de estos macronutrientes en el agua residual determina la competencia en el crecimiento establecida entre las poblaciones de microorganismos autótrofas y heterótrofas. Esta competencia entre tipos de bacterias ha sido claramente observada en los sistemas de crecimiento adherido. En este caso, la relación DQO/NTK del afluente provoca la competencia en el crecimiento de diferentes poblaciones microbianas y, consecuentemente, define la composición de la biopelícula (Carrera, 2001).
Los valores elevados del cociente C/N significan que la materia orgánica está en exceso con respecto a las formas reducidas de nitrógeno y están favorecidas las bacterias heterótrofas en detrimento de las autótrofas encargadas de la nitrificación. Utilizando como medida de carbono orgánico a la DBO5, Barajas (2002) cita que incrementando la relación DBO5/NTK desde 0,5 a 8 la fracción de las bacterias nitrificantes disminuye frente a las heterótrofas e indica que cuando el cociente es mayor de 5, el proceso puede considerarse una combinación de procesos de oxidación de carbono y nitrificación. Por otra parte, cuando el cociente es inferior de 0,5, el proceso puede considerarse dedicado exclusivamente a la eliminación de nitrógeno.
En este trabajo la relación DBO5/NTK, en el afluente del RCSB alcanza, para cada una de las fracciones a estudiadas, los valores promedio de 5,4; 5,8 y 5,8. Los tres valores son prácticamente iguales y de acuerdo a lo expresado anteriormente, tanto la remoción de carbono como de NTK están igualmente favorecidos y concertan con los resultados encontrados para el RCSB.
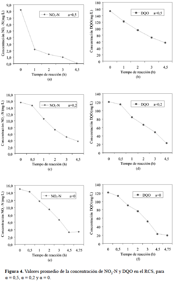
Las figuras 1, 2 y 3 presentan los resultados promedio obtenidos al realizar por triplicado los perfiles para nitrógeno orgánico, nitrógeno amoniacal, nitrato y demanda química de oxígeno para las tres experiencias llevadas a cabo en el RCSB (a1= 0,5; a2= 0,2 y a3= 0) y en forma análoga la figura 4 muestra los resultados para nitrato y DQO en el RCS. Dichos resultados reflejan claramente el proceso de disminución de la concentración de NTK y DQO y aumento del nitrato versus el tiempo de reacción en el RCSB, así como la remoción de nitrato y DQO en el RCS.


Estos perfiles permitieron calcular las tasas de las reacciones correspondientes a la nitrificación y a la remoción de NTK. La tasa de formación de nitrato se calculó en forma directa en mg NO3-N/L.h y también se obtuvo la tasa superficial de formación del nitrato en mg NO3-N/m2.h tomando en cuenta el área superficial del relleno. En forma análoga, fueron calculadas las tasas de remoción de NTK. Se obtuvo que la tasa promedio de formación de nitrato en el RCSB alcanzó 3,51 mg/L.h y la remoción de NTK alrededor de 6,11 mg/L.h. Esto equivale a una pérdida neta de nitrógeno de aproximadamente 2,6 mg/L.h y sugiere que hay dos reacciones en paralelo contribuyendo una con el 42% de transformación de NTK en forma gaseosa que escapan del sistema y la otra con el 58% que corresponde a la transformación de NTK en nitrato. Al tomar en cuenta el área superficial del relleno la tasa de remoción promedio de NTK es 3,77 mg/m2.h y la formación de nitrato es 12,6 mg/m2.h.
En la tabla 4 se presentan las tasas de desnitrificación obtenidas en el RCS. Las mismas también se obtuvieron utilizando los valores con los que se construyeron los perfiles que aparecen en la figura 4 y se calcularon tanto en forma absoluta como específica. La tasa específica está relacionada con el contenido de SSLM expresándose en mg NO3-N/ kg SSLM.h. Puede observarse una relación directa entre las fracciones volumétricas utilizadas, cuyos aportes de agua residual sintética son 50%, 20% y 0%, respectivamente, y las velocidades de desnitrificación alcanzadas. El mayor valor se alcanza con a = 0,5.
La tabla 1 permite analizar con más detalle las relaciones C/N, tanto con base a DBO5 como DQO, para los afluentes de los dos reactores del sistema combinado utilizado en este trabajo. La tabla muestra que las relaciones DQO/NTK en el afluente del RCSB alcanzan los valores promedio de 7,8; 7,1 y 6,3 para los tres casos estudiados, lo cual indica una ligera disminución de los valores al descender el valor de la fracción volumétrica, pero podría decirse que están en el mismo orden, como es de esperarse por tratarse del afluente del sistema que es aproximadamente constante.
Nitrificación en el RCSB. La nitrificación obtenida en el RCSB alcanzó 91, 95 y 95% de formación de NO3-N en relación con el nitrato original, para valores de a de 0,5; 0,2 y 0 respectivamente. La tabla 2 presenta el detalle de los porcentajes de formación de nitrato. Tales valores permiten afirmar que el objetivo planteado para el RCSB fue alcanzado. Estos valores son mejores o comparables a los citados en la literatura especializada para reactores por carga secuencial de lecho adherido. Yilmaz y Ortück (2003) reportaron valores de nitrificación entre 35 y 99%, dependiendo de la carga orgánica.
También en la tabla 2 puede observarse lo relativo a la remoción de NTK, otra forma de observar y cuantificar la capacidad de nitrificación del RCSB; y aunque los valores son más bajos (64 -79%), son igualmente aceptables. Di Iaconi et al. (2004) encontraron valores entre 50,5 y 93%, según la carga orgánica. y puede detallarse en la tabla 2 que la remoción de NH4-N, presenta valores entre 82 y 87% para los casos experimentados, los cuales están en el rango citado por estos autores para este parámetro.
De la comparación de los valores de NTK removido con los de nitrato producido, puede observarse que los primeros son mayores, indicando que una parte del NTK transformado puede suponerse que o bien fue asimilado por la biomasa o que sufrió desnitrificación y pasó a gas nitrógeno. Esta última suposición está avalada por investigadores citados por Grady et al. (1999); Metcalf & Eddy (2003) y por Di Iaconi et al. (2004), que expresan que en los lechos con crecimiento adherido la nitrificación y desnitrificación pueden ocurrir de manera simultánea, al desarrollarse en las zonas más profundas de la biopelícula condiciones anóxicas. Dicha pérdida constituyó un 31% del NTK.
Relación C/N en el RCS. Teóricamente la relación este-quiométrica C/N -expresada como mg DQO/mg NO3-N-para la reacción de desnitrificación, alcanza el valor de 2,86 y valores superiores que indican que la DQO está en exceso y por ende los aceptores de electrones son insuficientes y resultará un efluente con una DQO alta y nitratos bajos y éstos controlarán la velocidad de la reacción. Algunos autores (Grady et al. 1999) han encontrado que una razón mayor a 7 permite una remoción de nitrato excelente. Carrera (2001) trabajó con un agua residual industrial con etanol como materia orgánica mayoritaria, en un proceso continuo para eliminación biológica de nutrientes, y concluyó que la relación DQO/N necesaria para desnitrificar con etanol todo el nitrógeno del afluente es 6,9 g DQO/g N. Este caso cumple esta condición para las tres a usadas con una relación C/N -a la entrada del RCS- igual a 18,7; 7 y 7,3 respectivamente (tabla 1). Puede observarse que la introducción de la fracción con materia carbonosa influye en la relación C/N señalada y en las remociones de nitrato alcanzadas.
Desnitrificación en el RCS. La tabla 3 permite observar el comportamiento de la desnitrificación en el RCS. El parámetro nitrato alcanzó valores extremadamente bajos como 0,06 mg-N/L al usar la fracción volumétrica 0,5 y para las otras dos fracciones (0,2 y 0) llegó a 5,4 y 3,7 mg-N/L respectivamente. Cualquiera de estos valores está muy por debajo de la normativa nacional para cuerpos de agua, lo que permitiría señalar que el desempeño del RCS en lo referente a desnitrificar resulta excelente. La misma tabla presenta el nitrato removido absoluto y en forma porcentual, con valores tan altos como 99,2% para el primer caso ensayado (a = 0,5) y por encima de 75% para los otros dos casos, mostrándose una relación directa con el valor de a, y observándose en este caso que la acción de suministrar donantes de electrones a las bacterias desnitrificantes -a través del añadido de agua residual sintética cruda- también resulta exitosa.
Por otra parte, al evaluar el desempeño del RCS en la remoción de nitrógeno total, las remociones alcanzadas son 57, 56 y 59%, como muestra la tabla 3, valores relativamente bajos si son comparados con los reportados en la literatura especializada y además muy próximos entre sí, sin observarse que la fracción volumétrica de agua residual sintética añadida al RCS tenga influencia sobre la remoción alcanzada. Se debe mencionar que la remoción promedio de nitrógeno en el RCS alcanzó el valor de 36%. Esto, combinado con el 31% removido, en promedio, en el RCSB suma un total de 67%, indicando que la remoción total de nitrógeno fue distribuida en un 46% para el RCSB y 54% para el RCS.
La aparente contradicción entre la conversión exitosa de nitrato a gas llevada a cabo por las bacterias desnitrificantes, en comparación con la remoción de nitrógeno total, puede explicarse porque el afluente del RCS tiene nitrógeno orgánico y amoniacal remanente del RCSB, y en los casos de alfa = 0,5 y 0,2 adicionalmente hay un aporte importante de dichas formas de nitrógeno por la presencia del agua residual sintética cruda. Esta forma de nitrógeno (NTK) difícilmente es removida, con excepción de algo de nitrógeno amoniacal incorporado a la biomasa, al existir condiciones ambientales anóxicas, durante la etapa de reacción. Este ambiente resulta el apropiado cuando el principal objetivo se orienta a alcanzar la desnitrificación, como lo demuestran los valores tan bajos de nitratos alcanzados y anteriormente señalados, pero no es un ambiente adecuado para oxidar al NTK.
Esto conduce a conseguir remociones muy bajas del NTK, como puede observarse en la tabla 3. Como consecuencia el nitrógeno total presente en el efluente del sistema combinado sobrepasa la regulación nacional de 10 mg-N/L para cuerpos de agua lénticos. No obstante, debe destacarse que la norma para cuerpos de agua en general, que diferencia entre el nitrógeno total (Nt-N =40 mg/L) y nitrógeno oxidado (nitritos + nitratos como N = 10 mg/L) se cumple con creces para ambas formas de expresión, con cualquiera de los valores de a utilizados.
Resulta interesante percibir que el caso más favorable para la desnitrificación (alfa = 0,5), que presenta 99% de conversión y produce apenas 0,1 mg/L de nitratos en el efluente del sistema, sin embargo, es el que produce la concentración más alta de nitrógeno total: 21,6 mg/L, por ser el que recibe la fracción más alta de agua residual cruda y, por el contrario, el caso cuya eficiencia de desnitrificación es la más baja (75,5%), pero que no recibe ningún aporte de líquido residual crudo es el que consigue la concentración de nitrógeno total más baja y muy cercana a la regulación. De aquí que es necesario buscar el valor más aceptable de alfa para nitrificar y desnitrificar.
Al observar la tabla 4 puede notarse que existe relación directa entre las fracciones a usadas, para complementar con materia carbonosa a la alimentación del RCS, y las tasas de desnitrificación alcanzadas. La fracción volumétrica que aporta la mayor cantidad de carbono (a = 0,5) es la que produce la mayor tasa. Puede destacarse que las tasas de desnitrificación obtenidas, independientemente del a utilizado, están en el mismo orden de magnitud que las alcanzadas por otros investigadores (Jones et al, 1990; Ganesh et al. 2006).
CONCLUSIONES Y RECOMENDACIONES
Al usar la fracción volumétrica a = 0,5, que corresponde al mayor aporte de agua residual de las tres fracciones usadas, se obtiene la menor concentración de nitrato en el efluente del RCS, corroborando la necesidad de suministrar carbono a las bacterias desnitrificantes para un mejor desempeño de las mismas.
El aporte de agua cruda al RCS, medido por el valor de a, introduce NTK adicional que no es removido al existir condiciones anóxicas, apropiadas para desnitrificar, mas no para oxidar NTK incidiendo en el incremento del valor de nitrógeno total efluente.
El sistema combinado propuesto permitió remover, en promedio, el 46% de N en el RCSB y el 54% en el RCS.
El efluente del sistema combinado propuesto cumple con la normativa del país referida a las concentraciones de NOx y Nt en vertidos a cuerpos de agua de todo tipo, pero en el caso específico de una norma más estricta en relación con los nutrientes, como la que protege la cuenca del Lago de Valencia y que fija el Nt en 10 mg/L por tratarse de un cuerpo de agua léntico, los valores obtenidos están por encima.
Es recomendable trabajar con otros tiempos de reacción en ambos reactores para optimizar la nitrificación, desnitrificación y el aporte de NTK asociado al agua residual cruda añadida al afluente del RCS, en conjunto con la búsqueda de un valor de alfa óptimo para nitrificar y desnitrificar.
AGRADECIMIENTOS
Los autores agradecen al Consejo de Desarrollo Científico y Humanístico de la Universidad Central de Venezuela por el financiamiento parcial de este trabajo a través del Proyecto N° PI 08 12 5318- 2003 y 2006.
REFERENCIAS
1. APHA, AWWA, WPCF. (1998), Standard methods for the examination of water and wastewater, 20° Ed. New York. [ Links ]
2. Bailey, D. & Thomas, E. (1975). Nitrogen removal by biological denitrification. Progress in water technology, Vol. 7, Nº 2; pp. 329-33. [ Links ]
3. Barajas, M. G. (2002). Eliminación biológica de nutrientes en un reactor biológico secuencial. Tesis de Doctorado. Universidad Politécnica de Cataluña. Barcelona. España, p. 349. [ Links ]
4. Carrera, J. (2001). Eliminación biológica de Nitrógeno en un efluente con alta carga. Estudio de los parámetros del proceso y diseño de una depuradora industrial. Tesis de Doctorado. Universidad Autónoma de Barcelona. Barcelona. España. [ Links ]
5. Di Iaconi, C., Bonenmazzi, F., López, A., Ramadori, R. (2004). Integration of Chemical and Biological Oxidation in a SBBR for Tannery Wastewater Treatment. Wat. Sci. Tech. Vol. 50 Nº 10; pp. 107-114. [ Links ]
6. Ferrara-Giner, G. (2008). Biorreactores de crecimiento adherido y suspendido operados por carga y secuencialmente para la remoción de Nitrógeno. Tesis Doctoral. Facultad de Ingeniería. Universidad Central de Venezuela. Caracas, p. 246. [ Links ]
7. Ganesh, R., Balaji, G., Ramanujan, R. A. (2006). Biodegradation of Tannery Wastewater Using Sequencing Batch Reactor-Respirometric Assessment. Biores. Technol. 97; pp. 1815-1821. [ Links ]
8. Gaudy, A. & Gaudy, E. (1980). Microbiology for environmental scientist and engineers. Mcgraw Hill, Inc. New York, p. 736. [ Links ]
9. Grady, L., Daigger, G. H. (1999). Biological wastewater treatment. 2° Ed. Marcel Dekker, Inc., New York, p. 1076. [ Links ]
10. Jones, W., Wilderer, P., Schroeder, E. (1990). Operation of a three-stage SBR system for Nitrogen removal from wastewater. Research Journal WPCF, Vol. 62, N° 3; pp. 268-274. [ Links ]
11. Jones, W., Schroeder, E., Wilderer, P. (1990). Denitrification In A Batch Wastewater Treatment System Using Sequestered Organic Susbstances. Research Journal WPCF, Vol. 62, Nº 3, pp. 259-267. [ Links ]
12. Jun, B., Poo, K.M., Inn, J.R., Kim, H.J., Woo, C.W., Kim. (2004). External Carbon Feeding Strategy For Enhanging Nitrogen Removal In SBR. Wat. Sci.Tech., Vol. 49 N° 5-6; pp. 325-331. [ Links ]
13. Komorowska-kaufman, M., Majcherek, H., Klaczynski, E. (2006). Factors affecting the biological nitrogen removal from wastewater. Process Biochemistry 41; pp. 1015-1021. [ Links ]
14. Metcalf & Eddy (Edit.). (2003). Wastewater engineering: treatment, disposal, reuse. 4º Ed. Mcgraw Hill, New York, p. 1818. [ Links ]
15. Obaja, D., Macé, S., Mata-Álvarez, J. (2005). Biological nutrient removal by a sequencing Batch Reactor (SBR) using an internal organic carbon source in a digested piggery wastewater Biosource technology. Vol. 96; pp. 7-14. [ Links ]
16. Rivas, G. (1978). Tratamiento de Aguas Residuales. 2º Ed. Ediciones Vega. Caracas, p. 533. [ Links ]
17. Yilmaz, G. & Oztürk, J. (2003). Nutrient removal of ammonia rich effluents in a Sequential Batch Reactor Wat, Sci, Tech. Vol. 48 Nº 11; pp. 377-383. [ Links ]


















