Services on Demand
Journal
Article
Indicators
-
Cited by SciELO -
Access statistics
Related links
-
Similars in
SciELO
Share
Revista de la Facultad de Ingeniería Universidad Central de Venezuela
Print version ISSN 0798-4065
Rev. Fac. Ing. UCV vol.26 no.2 Caracas June 2011
Relación entre período del suelo y profundidad de los sedimentos para la ciudad de
Caracas, VenezuelaVíctor Rocabado1, Michael Schmitz1, Julio J. Hernández2, Cecilio Morales1
1 FUNVISIS, Caracas, Venezuela. Email: vrocabado@funvisis.gob.ve
2 Consultor en Ingeniería Sísmica y Estructural, Caracas, Venezuela.
RESUMEN
En el marco del proyecto de microzonificación sísmica de la ciudad de Caracas, se han realizado desde mediados de los años 90 mediciones de ruido ambiental con el fin de conocer el valor de período fundamental de suelo. Se plantea el uso de una nueva relación que incluya el efecto de las capas superficiales de sedimentos, considerando los valores de velocidades de ondas de corte para los primeros 30 m (Vs30) y el valor de Vs para el estrato más profundo. Los resultados obtenidos indican que esta nueva relación entre período y profundidad genera estimaciones más exactas del espesor de sedimentos. La misma ha sido calibrada y verificada con valores reales de profundidad de 4 pozos profundos realizados en la ciudad de Caracas obteniendo resultados bastante ajustados a los valores reportados por la perforación. La importancia de la determinación de esta relación es que permitirá en futuros trabajos que se desarrollen en otras ciudades del país, disponer de una relación propia para cada una de estas ciudades, considerando los efectos locales de suelo (Vs30 y Vs) y de esta forma obtener mapas preliminares de sedimentos bastante aproximados a realidad geológica a partir de mediciones de ruido ambiental.
Palabras clave: Períodos fundamentales, Vs30, Vs, Espesor de sedimentos, Relación Periodo Profundidad.
Relationship between soil period and sediment thickness for caracas city, Venezuela
ABSTRACT
Under the seismic microzoning project of Caracas city, has been done since mid 90s several ambient noise measurements in order to determinate fundamentals periods of soil. In this work we showed a new relationship that includes the effect of the surface sediment layers, considering the values of shear-wave velocities for the first 30 m (Vs30) and the value of Vs to the deepest layer. The results indicate that this relationship generates more accurate estimates of sediment thickness comparing with real values of depth; this relationship was calibrated with information from 4 depth boreholes done in Caracas, obtaining accurate depth values. The main objective for this new relationship is allow for future studies in other cities of country, had a local relationship between period and sediments thickness that considering local information of soils (Vs30 y Vs) to generate accurate sediment thickness maps from environmental noise measurements.
Keywords: Fundamental Periods, Vs30, Vs, Sediment Thickness, Period vs. Depth relationship.
Recibido: octubre de 2009 Recibido en forma final revisado: julio de 2011
INTRODUCCIÓN
El terremoto de Caracas en 1967, propició el desarrollo de una diversidad de estudios orientados a determinar las causas de los efectos de sitio observados, principalmente en las zonas de San Bernardino y Los Palos Grandes. Los primeros estudios son desarrollados por Murphy et al. (1969), que incluyeron estudios de sísmica de refracción y perforaciones geotécnicas (Briceño et al. 1978), obteniendo como resultado un mapa de espesor de sedimentos, en el cual se observan dos zonas de gran acumulación de sedimentos, San Bernardino mayor a 100 m y Los Palos Grandes con espesores mayores a 300 m (Murphy et al. 1969). Posteriormente se incluyó el análisis de un mayor número de pozos de agua, nuevas mediciones sísmicas y modelado gravimétrico (Kantak et al. 2005; Sánchez et al. 2005; Amaris et al. 2009). La importancia del conocimiento del espesor de sedimentos y su relación con los efectos de sitio, quedó evidenciada con este sismo, porque la mayor parte de los daños estructurales reportados se concentraron en las zonas de mayor espesor sedimentario (Briceño et al. 1978).
A partir de 2001, se comienzan a realizar por parte de FUNVISIS estimaciones del espesor de sedimentos a partir de los valores de período, dada la relación directa de que a mayor valor de período mayor será el valor de profundidad. Las primeras estimaciones se realizaron considerando una relación lineal entre período y profundidad a partir del mapa de espesor de sedimentos. Con la inclusión y refinación de la base de datos de pozos geotécnicos disponibles para el valle de Caracas, recientemente se generó una nueva relación de carácter polinómica de 2º grado. Ambas relaciones presentaban inconvenientes al momento de estimar espesores tanto profundos (estimación lineal) como someros (estimación polinómica), sobrestimando o subestimando el espesor de sedimentos en cada uno de los casos.
En el presente trabajo se plantea la aplicación de una versión modificada de la fórmula que relaciona períodos predominantes, valores de Vs y espesores de los sedimentos (Kramer, 1996) en cuatro sitios donde se dispone de perforaciones que reportan espesores de sedimentos: San Bernardino (Hotel Ávila), Los Chorros (Colegio Don Simón), Sebucán (Escuela de Enfermería) y La Carlota (Inparques). A partir de los valores de velocidad de ondas de corte de los primeros 30m (Vs30), velocidad de ondas de corte para los estratos sedimentarios profundos y períodos fundamentales de suelo, se verificará una nueva relación entre período y profundidad que considere el aporte de información geofísica existente, comparando el mapa de espesores obtenido con esta relación con el mapa existente de espesores de sedimentos, el cual fue elaborado con base en perforaciones, datos sísmicos e inversión de datos gravimétricos (Amaris et al. 2009).
ESTUDIOS DE RUIDO AMBIENTAL
Los estudios de ruido ambiental constituyen un método rápido y económico para estimar los efectos de sitio mediante registros instrumentales. Entre las diversas metodologías de análisis, detalladamente revisadas por Bard (1999), destaca el método de Nakamura (1989) o relación espectral H/V, introducida por Nogoshi & Igarashi (1971), interpretándose como un pico predominante en la elipticidad de las ondas Rayleigh alrededor de la frecuencia fundamental del suelo (Lachet & Bard, 1994; Field & Jacob, 1995; Konno & Ohmachi, 1998) siempre que exista un contraste de impedancia considerable (de 2,5 a 3 veces) entre el material en superficie y el basamento rocoso (Bard, 1999).
Este pico en la relación H/V, está asociado con una disminución de la onda Rayleigh fundamental, en la cual predomina la componente vertical de los registros de ruido ambiental (Bard, 1999). Estudios posteriores realizados por Nakamura (2000) plantean que el pico predominante no sólo está asociado con las ondas Rayleigh, que el mismo estaría asociado adicionalmente con las ondas de cuerpo, siendo un análisis más completo del tren de ondas que es registrado. El método H/V ha sido aplicado para estimar la frecuencia o período natural de suelo así como el espesor de sedimentos (Ibs-von Seht & Wohlenberg, 1999; Parolai et al. 2001, 2002).
En Venezuela, a partir del año 1994 se inician los primeros trabajos de mediciones de ruido ambiental en la ciudad de Caracas (Abeki et al. 1995), a objeto de obtener los valores de período del suelo aplicando el método de Nakamura (Nakamura, 1989) o relación H/V (Bard, 1999). Los primeros resultados obtenidos por Abeki et al. (1995) lograron establecer una relación directa entre los valores de períodos obtenidos y el espesor de sedimentos reportado en el mapa de Murphy et al. (1969), mientras mayor es el valor de período, mayor es la profundidad de sedimentos. Posteriormente, Duval et al. (1998) extienden los trabajos hacia el área comprendida entre Los Palos Grandes y San Bernardino cubriendo la zona con un total de 184 estaciones.
Abeki et al. (1998) y Enomoto et al. (2000) realizan nuevas mediciones en el valle de Caracas, cubriendo el mismo en su totalidad con estaciones espaciadas cada 500 m. De manera adicional se densificaron mediciones en el área de Santa Eduvigis y Sebucán a un espaciamiento de 100 m (Rocabado, 2002). En el año 2002, se incluyen las zonas de Baruta (Espinoza & Suniaga, 2002) y El Hatillo. En el 2004 se disminuye el espaciamiento para todo el valle de Caracas, quedando el espaciamiento a 250 m entre estaciones (Moros, 2004; Moreno, 2004). En la figura 1 se muestra el mapa de isoperíodos para el Área Metropolitana de Caracas, basado en aproximadamente 760 estaciones.
Con el fin de estimar los espesores de sedimentos en los alrededores de 4 pozos profundos perforados en los años 2006 a 2008, se obtuvo un valor promedio de período para cada sitio. Este valor de período se obtuvo a partir de mediciones puntuales de ruido ambiental alrededor de las perforaciones existentes en cada lugar. En la tabla 1 se muestra el valor de período promedio para cada uno de los sitios de interés en este estudio.
NUEVA RELACIÓN PARA ESTIMAR ESPESORES EN FUNCIÓN DE T, Vs30 y Vsinf
Posterior al terremoto de Caracas, se determinó el espesor de sedimentos del valle de Caracas a partir de estudios sísmicos de refracción (Murphy et al. 1969). Este mapa fue revisado por Kantak et al. (2005) mediante la inclusión y relocalización de perforaciones geotécnicas y Sánchez et al. (2005) incorporando información de nueva sísmica de refracción realizada en el valle de Caracas. Este mapa presentaba como diferencia significativa a su predecesor un aumento en el espesor de la zona de Altamira Los Palos Grandes y la ampliación de la zona de mayor profundidad. En las figuras 2 a 4 se muestran los diversos mapas de espesores de sedimentos a partir de los cuales se desarrollaron las estimaciones.
A objeto de estimar los espesores sedimentarios en el valle de Caracas utilizando los valores de períodos fundamentales de suelo, obtenidos a partir de mediciones de ruido ambiental, se realizaron diversos ensayos considerando como primera estimación (figura 5, izquierda) una aproximación lineal (Rocabado, 2002), generada a partir del 500 mediciones de ruido ambiental ubicadas sobre el mapa de espesores de sedimentos disponibles para ese momento (Kantak et al. 2005). Si bien esta aproximación funcionaba bastante bien para zonas de bajo espesor sedimentario, la misma subestimaba los espesores de sedimentos para profundidades mayores a 200 m.
De esta forma, con la inclusión y refinación de la base de datos de pozos geotécnicos disponibles para el valle de Caracas (Amaris et al. 2009), se generó una nueva relación que en esta ocasión fue de carácter polinómica de 2º grado (figura 5, derecha). Esta relación ajusta de manera adecuada los espesores pequeños, pero se continúan presentando inconvenientes para la estimación de espesores profundos, superiores a 150 m.
ESTIMACIÓN DE VALORES Vs30 PARA EL VALLE DE CARACAS
Durante la formulación y elaboración del proyecto de microzonificación sísmica de Caracas se considera el valor de velocidad de ondas de corte (Vs30) de los estratos superficiales, como uno de los principales factores a considerarse para la amplificación del movimiento sísmico (Hernández et al. 2006), asociados con lo que se también se conoce como efectos de sitio.
La velocidad de propagación de las ondas de corte en los primeros 30m (Vs30), ha sido determinada en el valle de Caracas mediante la aplicación de la relación de conversión de valores de golpes (SPT) indicada por la norma COVENIN (2001), a más de 1000 perforaciones geotécnicas en el valle de Caracas (Feliziani et al. 2004).
Para su calibración se han realizado en la ciudad de Caracas un total de 21 mediciones de refracción sísmica, 16 de SASW y 13 sísmicas de pozo (Morales et al. 2008). En cada uno de los sitios de perforación se aplicaron varias técnicas geofísicas para la determinación del valor Vs30. En la tabla 2 se muestran los resultados de cada una de las técnicas aplicadas en los 4 sitios de interés para este trabajo: San Bernardino, Los Chorros, Sebucán y La Carlota.
INCLUSIÓN DE VALORES DE VELOCIDADES DE ONDAS DE CORTE EN LA ESTIMACIÓN DE ESPESORES
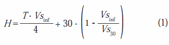
A partir de la expresión que relaciona el período horizontal fundamental de un deposito sedimentario en función de la velocidad promedio de ondas en todo su espesor T = 4H/Vs (Kramer, 1996), se derivó una expresión elaborada por el ingeniero Julio Hernández en el marco de los estudios realizados para el proyecto de microzonificación de Caracas, en la cual se consideraron los valores promedios de Vs30 en cada sitio, para estimar la profundidad a partir de los valores de períodos fundamentales de suelo. La ecuación propuesta para la estimación de espesor de sedimentos es la siguiente, donde las unidades para cada término son: H (m), T (s), Vsinf (m/s) y Vs30 (m/s):
Donde: Vsinf es la velocidad promedio de las ondas de corte entre el basamento rocoso y la capa superficial de 30 m de espesor, T es el valor de período medido en el sitio y Vs30 es el valor promedio de ondas de corte para los primeros 30 m para cada microzona. El parámetro con mayor complejidad de asignar corresponde al valor Vsinf porque el mismo puede variar de acuerdo a la configuración geológica de la cuenca y asignado según los datos sísmicos existentes (Briceño et al. 1978; Sánchez et al. 2005). Para este estudio los valores de Vsinf considerados fueron de 750 m/s para San Bernardino, Los Chorros y Sebucán (Sánchez et al. 2005), mientras que 650 m/s para La Carlota, este valor se deriva a partir de los resultados de la perforación geotécnica realizada en el sitio (GISCA, 2006), en el marco del proyecto de Microzonificación Sísmica de Caracas. En la figura 6 se muestra el mapa de espesores obtenido al aplicar la ecuación 1, los valores de Vs30 utilizados para el estudio se obtuvieron a partir de la integración de perforaciones geotécnicas (conversión SPT) y sísmica de pozo. Las máximas profundidades obtenidas en este mapa se ubican en la zona de San Bernardino con un espesor máximo estimado de 200m y Los Palos Grandes con un espesor máximo de 360m.
CALIBRACIÓN DE LA RELACIÓN PERÍODOPROFUNDIDAD
A objeto de comprobar y calibrar la relación Período Profundidad (Relación T-P) indicada en la ecuación (1), se aplicó esta nueva relación para estimar la profundidad en 4 sitios de la ciudad de Caracas, en los cuales se cuenta con el valor de profundidad real determinado a partir de perforaciones profundas realizadas en el marco del Proyecto de Microzonificación de Caracas.
En la tabla 3 se reportan las profundidades de las perforaciones para cada uno de los sitios considerados y la profundidad estimada utilizando la ecuación (1). Se incluyen en la tabla los valores de Vs30 promedio, T promedio y Vsinf utilizados para la estimación de la profundidad. En la tabla 4, se observa la variación entre las distintas relaciones T-P mencionadas (lineal y polinómica de 2º grado).
Se observa que para los casos de estimación de profundidad en San Bernardino y Los Chorros, se obtienen valores de profundidad bastante consistentes con los reportados en las perforaciones. Las mayores variaciones se observan en Sebucán, pues en este sitio la perforación no alcanzó el basamento, por lo que el valor reportado de 350 m fue estimado con base en el modelo geofísico. Otro sitio con presencia de una variación importante es La Carlota (Inparques), sitio donde el valor de Vsinf utilizado es diferente, porque a esa profundidad la presencia de la capa más profunda de sedimentos, con un valor de Vs=850 m/s, se estima presente un espesor no mayor a 30 m por lo que sería erróneo considerar el valor de Vs=750 m/s como representativo de ese sitio.
Realizando un análisis de sensibilidad del valor estimado de profundidad a la variación de los valores de Vs30 y Vsinf para el caso de San Bernardino, se considera una variación de un 13% por encima y por debajo del valor promedio de Vs30 considerado para estos parámetros. La elección de este valor porcentual de variación se realizó con base en los valores de Vs de los estratos sedimentarios presentes en el modelo utilizado en el proyecto de Microzonificación Sísmica de Caracas.
En la tabla 5 se puede observar que al variar del valor de Vs30 la variación porcentual de subestimación del valor real de profundidad no sobrepasa el 8% si se consideran valores bajos de Vs30, mientras que al disminuir el valor Vsinf a 650 m/s se observa un 15% de subestimación respecto al valor real de profundidad reportado.
En el caso de aumentar en un 13% los valores de Vs30 y Vsinf de forma independiente, se observa que la profundidad estimada para el caso de Vs30 sigue subestimada, mientras que para Vsinf este valor se sobrestima en un 6%.
Al comparar ambos resultados, la influencia que tiene la variación del Vs30 sobre el valor final estimado de profundidad es menor que el inducido por el valor de Vsinf. Es importante destacar que la inclusión del valor de Vs30 y de Vsinf en la estimación de profundidad a partir de valores de período conlleva a estimaciones mucho más ajustadas a los valores reales de profundidad. El aporte del Vsinf pareciera afectar en mayor medida a la relación. Hasta la fecha, se está trabajando con valores uniformes de Vs para los estratos entre 30-100m y 100m a basamento. Un objetivo a futuro es poder incorporar variaciones en el valor Vsinf a lo largo del valle, lo que requeriría mayor densidad en puntos de estimación de Vs mediante mediciones sísmicas, tales como las presentadas por Cornou et al. (2009) basados en mediciones de arreglos de microtremores o aplicación de mediciones de ReMi (Park et al. 1999; Louie, 2001).
COMPARACIÓN ENTRE MAPAS DE ESPESORES DE SEDIMENTOS
Comparando los mapas de espesores de sedimentos incluido en el Proyecto de Microzonificación Sísmica de Caracas (figura 4) y el mapa de espesores obtenido aplicando la relación Periodo Profundidad (figura 5) propuesta en la ecuación 1, se puede observar que coinciden las principales zonas de acumulación de sedimentos, San Bernardino al oeste y Los Palos Grandes al este.
De igual forma se identifica que el mapa generado a partir de la relación P-T para el caso de la cuenca en San Bernardino, difiere en forma y profundidad máxima de la cuenca en comparación con el mostrado en la figura 4. No obstante, se identifican zonas de importante acumulación de sedimentos hacia el extremo suroeste del valle (Paraíso Montalbán) con espesores que alcanzan los 60m, la cual no se logra identificar en el mapa mostrado en la figura 4.
En la zona de Los Palos Grandes, los espesores y forma de la cuenca obtenidos al aplicar la relación T-P coinciden bastante bien con los reportados en el proyecto de Microzonificación Sísmica de Caracas (figura 4).
CONCLUSIONES
A partir de los resultados de la evaluación de las diferentes ecuaciones para la estimación de profundidad, se puede observar que la ecuación que considera los efectos del Vs30 y Vs promedio de las capas profundas, genera estimaciones más exactas a los valores reales de profundidad que mediante la extrapolación de valores de profundidad conocida versus período.
Los valores de Vs30 de la capa superficial y el valor Vsinf representan un aporte significativo en el cálculo del espesor total, porque se obtienen espesores estimados muy cercanos a los reportados por las perforaciones, por lo que la inclusión o no de estos parámetros pueden inducir variaciones significativas en la estimación del espesor.
No obstante, el aporte del valor de Vsinf en la estimación global del espesor de sedimentos puede afectar en mayor medida el resultado obtenido que los valores de Vs30, por lo que su control y correcta elección debe ser un proceso controlado a partir de datos de sísmica de refracción o técnicas de inversión de ondas superficiales, que permitan obtener el perfil de velocidades de ondas de corte.
A partir de la relación propuesta en este estudio es posible generar mapas adecuados de espesor de sedimentos a partir de mediciones puntuales de ruido ambiental siempre que se disponga de información geofísica base (Vs30 y Vs).
El mapa de espesores generado al aplicar la relación T-P calculada en este estudio presentó una buena correlación en cuanto a forma y a la ubicación de las zonas de máximo espesor, comparándolo con el mapa generado en el marco del proyecto de Microzonificación Sísmica de Caracas.
De igual forma, es posible estimar los valores de Vs30 para aquellas zonas en donde se conozca o manejen mapas de espesores de sedimentos así como valores de Vsinf, con un cierto grado de confiabilidad, y obtener de esta forma mapas de Vs30 que complementen vacíos en zonas determinadas de una región
AGRADECIMIENTOS
Proyecto Microzonificación Sísmica en las Ciudades de Caracas y Barquisimeto. Proyecto FONACIT 200400738.
REFERENCIAS
1. Abeki, N., Enomoto, T., Guevara, T., Villegas, Z. (1995). Fundamental concept for Seismic microzonation and preliminary surveys of microtremor observations in Caracas and Cumaná City, Venezuela. II Coloquio Internacional sobre Microzonificación Sísmica y V Reunión de Cooperación Iberoamericana, Cumaná, Venezuela, 12 al 16 de junio de 1995, Resumen. [ Links ]
2. Abeki, N., Seo, K., Matsuda, I., Enomoto, T., Watanabe, D., Schmitz, M., Rendón, H., Sánchez, A. (1998). Microtremor observations in Caracas city, Venezuela. 2nd International Symposium on Effect of Surface Geology on Seismic Motion, Yokohama, 6 pp. [ Links ]
3. Amarís, E., Sánchez, J., Rocabado, V., Moncada, J., Schmitz, M. (2009). Espesores de sedimentos. Subcapítulo 3.3 - Informe Final, Proyecto de Microzonificación Sísmica de Caracas, FUNVISIS. [ Links ]
4. Bard, P.Y. (1999). Microtremor measurements: a tool for site effect estimation? In: Irikura, K., Kudo, K., Okada, H., Sasatani, T. (eds.), The Effects of Surface Geology on Seismic Motion - Recent progress and new Horizon on ESG Study, Volume 3, Balkema, Rotterdam, 28 pp. [ Links ]
5. Briceño, F., Sanabria, J., Azpúrua, P., Planchart, M., Castellanos, S., Olivares, A., Lustgarten, P., Kelemen, J., García, J., González de J., C., Carrillo, P., Pérez, H., Seed, H., Whitman, R., Murphy, V., Linehan, D., Turcotte, T., Steinbrugge, K., Espinosa, A., Algermissen, S., Arcia, J., Puig, J., Schmidt, L., González, J.V., Martínez, J., Knudson, C., Cran, C., Preshel, M., Holoma, S., Gómez, J., Luchsinger, J., Silva, M., Fortoul, C., Lamar, S., Grases, J., Vignieri, L., Valladares, E., Suárez, J., Gómez, G., Azpúrua, J., Paparoni, M., Ramos, C., Romero, A., Delgado, J., Azopardo, P., Grinsteins, V., Isaacura, J., Castellanos, H., Vargas, J. (1978). Segunda fase del estudio del sismo ocurrido en Caracas el 29 de julio de 1967. Comisión Presidencial para el Estudio del Sismo, Ministerio de Obras Públicas, 2 volúmenes, 1281 pp. (FUNVISIS, editor, Caracas). [ Links ]
6. Cornou, C., Cadet, H., Rocabado, V., Schmitz, M., Rendón, H., Causse, M., Wathelet, M. (2009). Sher-wave velocities in Caracas inferred from inversion of phase velocities and ellipticities of Rayleigh waves. V Coloquio sobre Microzonificación Sísmica. Caracas. Mayo 2009. [ Links ]
7. Covenin, (2001). Edificaciones Sismorresistentes. Norma Venezolana COVENIN 1756:2001. [ Links ]
8. Duval, A.-M., Méneroud, J.-P., Vidal, S., Singer, A. (1998). Relation between curves obtained from microtremor and site effects observed after Caracas 1967 earthquake. 11th European Conference on Earthquake Engineering, Rotterdam, (CD), 9 pp. [ Links ]
9. Enomoto, T., Schmitz, M., Matsuda, I., Abeki, N., Masaki, K., Navarro, M., Rocabado, V., Y Sánchez, A. (2000). Seismic risk assessment using soil dynamic characteristics in Caracas, Venezuela. 6th International Conference on Seismic Zonation, Palm Springs, CD-ROM, 6 pp. [ Links ]
10. Espinoza, V. & Suniaga, J. (2002). Mediciones de ruido ambiental en el Valle de Caracas (Municipio Baruta). Informe de Pasantías. FUNVISIS UCV. Inédito. 30 p. [ Links ]
11. Feliziani, P., Piscitelli, G., Castillo, A. (2004). Sistema de Información Geográfica Aplicado al Subsuelo del Área Metropolitana de Caracas. Proyecto Sigamc. XVIII Seminario de Geotecnia, Caracas, CD, 22 pp. [ Links ]
12. Field, E.H. & Jacob, K.H. (1995). A comparison and test of various site-response estimation techniques, including three that are not reference-site dependent. BSSA, 85, 1127-1143. [ Links ]
13. Gisca, (2006). Informe Nº: ING-IP-P-050536-4 Rev. 1. Servicios de consultoría para la realización de estudios de exploración del subsuelo en la ciudad de Caracas Colegio Don Simón. Geotecnia e Ingeniería Sísmica (GISCA), Caracas. [ Links ]
14. Hernández, J. J., Schmitz, M., Audemard, F., Malavé, G. (2006). Marco conceptual del Proyecto de Microzonificación de Caracas y Barquisimeto. VIII Congreso Venezolano de Sismología e Ingeniería Sísmica, Memorias en CD, Valencia, Venezuela. [ Links ]
15. Ibs-Von Seht, M. & Wohlenberg, J. (1999). Microtremor measurements used to map thickness of soft sediments. BSSA, 89, 250-259. [ Links ]
16. Kantak, P., Schmitz, M., Audemard, F. (2005). Sediment thickness and a west-east geologic cross section in the Caracas Valley. Revista de la Facultad de Ingeniería. Vol. 20. 85-98. [ Links ]
17. Konno, K. & Ohmachi, T. (1998). Ground motion characteristics estimated from spectral ratio between horizontal and vertical components of microtremor. BSSA, 88, 228-241. [ Links ]
18. Kramer, S. (1996). Geotechnical Earthquake Engineering. Prentice Hall, Inc., Upper Saddle River, NJ. [ Links ]
19. Lachet, C. & Bard, P.-Y. (1994). Numerical and theoretical investigations on the possibilities andlimitations of Nakamuras technique. J. Phys. Earth, 42, 377-397. [ Links ]
20. Louie, J.N. (2001). Faster, Better: Shear-Wave Velocity to 100 Meters Depth from Refraction Microtremors Arrays. Bulletin of the Seismological Society of America. 91 (2), 347-364. [ Links ]
21. Morales, C., Schmitz, M., González, M., Cataldi, A., Rojas, H., Rojas, S., Masy, J. (2008). Aplicación de métodos geofísicos para la caracterización de sitios en el estudio de microzonificación sísmica de Caracas. Conferencia 50 Aniversario Sociedad Venezolana de Geotecnia. Caracas, Venezuela. [ Links ]
22. Moreno, F. (2004). Relación entre el Período Fundamental de vibración de suelo y el espesor de sedimentos en la parte oeste de la ciudad de Caracas, Municipio Libertador, mediante la aplicación del método de Nakamura en una malla de 250 metros. Trabajo Especial de Grado Universidad Central de Venezuela. 128 p. [ Links ]
23. Moros, L. (2004). Relación entre el período fundamental de vibración del suelo y el espesor de sedimentos en el Este de la ciudad de Caracas, mediante la aplicación del método de Nakamura a datos obtenidos en una malla de mediciones de 250 metros. Trabajo Especial de Grado, Universidad Central de Venezuela. 115 p. [ Links ]
24. Murphy, V., Linehan, D., Turcotte, T. (1969). Seismic Investigations, Valley of Caracas and the Litoral Central. Weston Geophysical Engineers International, Inc., Weston, Massachusetts. [ Links ]
25. Nakamura, Y. (1989). A method for dynamic characteristics estimation of surface using microtremor on the ground surface. QR of RTRI, Vol 30, No 1. [ Links ]
26. Nakamura, Y. (2000). Clear identification of fundamental idea of Nakamuras technique and its applications. In: Proceedings of the 12th World Conference on Earthquake Engineering, New Zealand (CD-ROM), 8pp. [ Links ]
27. Nogoshi, M. & Igarashi, T. (1971). On the amplitude characteristics of microtremor (part 2). Jour. Seism. Soc. Japan, 24, 26-40. [ Links ]
28. Park, C., Miller, R., Xia, J. (1999). Multichannel analysis of surface waves. Geophysics, 64 (3), 800-808. [ Links ]
29. Parolai, S., Bormann, P., Milkereit, C. (2001). Assessment of the natural frequency of the sedimentary cover in the Cologne area (Germany) using noise measurements. J. of Earthquake Engineering, 5, 541-564. [ Links ]
30. Parolai, S., Bormann, P., Milkereit, C. (2002). New relationships between Vs, thickness of sediments, and resonance frequency calculated by the H/V ratio of seismic noise for the Cologne area (Germany). BSSA Short Note, Vol. 92, 2521-2527. [ Links ]
31. Rocabado, V. (2002). Periodos fundamentales del suelo de la ciudad de Caracas a partir de mediciones de ruido ambiental. Tesis de grado. Publicado en CD GEOS 35 (2002) UCV, Caracas. [ Links ]
32. Sánchez, J., Schmitz, M., Cano, V. (2005). Mediciones sísmicas profundas en Caracas para la determinación del espesor de sedimentos y velocidades sísmicas como aporte para el estudio de microzonificación sísmica. Boletín Técnico del Instituto de Materiales y Modelos Estructurales. Vol 43. 49-67. [ Links ]
























