Services on Demand
Journal
Article
Indicators
-
Cited by SciELO -
Access statistics
Related links
-
Similars in
SciELO
Share
Revista de la Facultad de Ingeniería Universidad Central de Venezuela
Print version ISSN 0798-4065
Rev. Fac. Ing. UCV vol.28 no.3 Caracas Sept. 2013
Jerarquización de proyectos de ingeniería para el sector público bajo el enfoque de análisis multicriterio basado en los métodos PROMETHÉE
Elvis Hernández, Claudio Rocco S.
Universidad Central de Venezuela. Escuela Básica de Ingeniería. Caracas, Venezuela. e-mail: croccoucv@gmail.com
RESUMEN
El artículo presenta un enfoque basado en el Análisis Multicriterio (AMC) para la ayuda en la toma de decisiones, relacionada con la evaluación y jerarquización de múltiples proyectos de ingeniería, orientados al desarrollo de un país y que no sólo aportan en la medición financiera sino en impactos macroeconómicos sobre cierta medidas de crecimiento. En tal sentido, el AMC permite jerarquizar dichos proyectos mediante la construcción de una función de calidad agregada que sintetiza distintas perspectivas (financieras, económicas y sociales). La evaluación de los proyectos considerados se realiza mediante los métodos PROMETHÉE (Preference Ranking Organization Method for Enrichment Evaluations), enfoque considerado actualmente como uno de los más adecuados por maximizar el uso de información multicriterio de dichos proyectos y basar sus resultados en el estudio de las relaciones binarias de sobreclasificación (outranking).
Palabras clave: Análisis Multicriterio, Proyectos de ingeniería, Inversión pública, Métodos PROMETHÉE
Outranking public investment projects under a multicriteria analysis approach using PROMETHÉE methods
ABSTRACT
This paper presents an approach based on the Multicriteria Analysis (MCA) to help decision makers to evaluate and rank multiple engineering projects which are addressed to develop a country. Furthermore, the MCA allows raking projects through an aggregate quality function that synthesizes different perspectives (financial, economical and social). Thus, the evaluation of several projects is handled by the PROMETHÉE methods (Preference Ranking Organization Method for Enrichment Evaluations), currently considered as the most appropriate approach because maximizes the use of multicriteria information related to the projects, and bases its results on the binary outranking relationships.
Keywords: Multicriteria Analysis, Engineering projects, Public investment, PROMETHÉE methods
Recibido: agosto 2012 Recibido en forma final revisado: mayo 2013
INTRODUCCIÓN
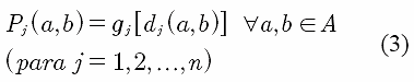
En una economía, las acciones y decisiones coadyuvantes con el crecimiento y desarrollo, dependen del adecuado diseño y ejecución de políticas públicas dirigidas al manejo eficiente de los recursos disponibles (Jones, 1988; Harberger, 1998). En este sentido, las entidades gubernamentales, además de canalizar el gasto público en programas sociales también incorporan el financiamiento e implementación de macro-proyectos de ingeniera (por ejemplo, construcción de plantas de refinación, vías de comunicación, complejos petroquímicos, centrales hidroeléctricas, entre otros), y día a día se enfrentan a los múltiples inconvenientes asociados con el manejo de recursos limitados, sean económicos, financieros, tecnológicos y humanos, entre otros.
De igual manera, las Unidades de Decisión (UD), término que define al individuo o colectividad, sobre quien recae la acción de recomendar y/o decidir, afrontan un difícil reto al intentar satisfacer múltiples criterios o atributos (rentabilidad, beneficios económicos, mejoras en el empleo, entre otros) en forma simultánea. Asimismo, estos criterios suelen poseer importancias relativas (IR) diferentes. Por tanto, es vital poder estimar correctamente tales IR para cada uno de los atributos que sustentan la evaluación de los impactos de los proyectos de inversión pública, ya que éstas permiten a las UD hacer una valoración de los criterios considerados y de las alternativas (macro-proyectos de ingeniería) en estudio.
De acuerdo con Hernández (2008) y Badillo (2010), la evaluación de dichos proyectos es un proceso que relaciona distintas organizaciones, donde las partes interesadas o UD, exponen su visión y preferencias sobre un conjunto de criterios para luego evaluar y seleccionar el o los proyectos adecuados. Por ejemplo, el actor financiero, encargado de velar por el financiamiento y la rentabilidad de los proyectos, recurre a criterios financieros (Valor Presente Neto (VPN), Tasa Interna de Retorno (TIR), relación Beneficio-Costo (B/C), entre otros), para jerarquizar y seleccionar las mejores alternativas. Por otra parte, el responsable del área macroeconómica valora los impactos por ejemplo, en el Producto Interno Bruto (PIB), en componente de Consumo, Inversión, Gasto Público, entre otros. Finalmente, las unidades encargadas de la componente social suelen evaluar los efectos sobre la generación de empleo (directo e indirecto).
Dentro de esta visión de múltiples criterios, alternativas y UD, la tarea más difícil es comparar peras con manzanas (Hobbs & Meier, 1994), es decir, trabajar simultáneamente con criterios que expresan valores monetarios con otros que expresan elementos no monetarios (o elementos cualitativos y cuantitativos). Por ejemplo, evaluar criterios financieros (relación B/C) con criterios económicos (impacto en las remuneraciones de empleados y obreros) simultáneamente.
El Análisis Multicriterio (AMC) favorece la toma de decisiones en forma explícita, racional y justificable para determinar una calidad agregada que sintetice los múltiples criterios (Hobbs & Meier, 1994), y, para este trabajo, permitir el análisis global de los proyectos considerados. En otras palabras, el AMC hace referencia a un conjunto de métodos, técnicas y herramientas que ayudan a los agentes activos a resolver el problema de toma de decisiones (Zeleny, 1973; Roy, 1985 y Ramos et al. 2004).
El enfoque tradicional para analizar portafolios de proyectos, es el de usar un solo criterio o construir un criterio sintético único. Bajo este enfoque, se pueden utilizar técnicas clásicas como la Programación Compromiso (Zeleny, 1973), el Proceso Analítico Jerárquico (PAJ) (Saaty, 1980), entre otras. Sin embargo, la realidad a la que se enfrenta la UD, tal y como lo refleja el caso de estudio que se va a analizar, es distinta.
El artículo propone el uso de métodos basados en las relaciones binarias de sobreclasificación, tales como la familia ELECTRE (Roy, 1985) o los Métodos PROMETHÉE (Brans & Mareschal (2003), para producir un orden jerárquico. La relación de sobreclasificación S, no plantea determinar si la relación que existe entre dos alternativas a y b es de Preferencia estricta (a P b), Preferencia debil (a Q b) o de Indiferencia (a I b), sino establecer si la alternativa a es al menos tan buena como la alternativa b y de esta forma, generar una jerarquía agregada. Entre estos métodos, en este artículo, se seleccionan los métodos PROMETHÉE, ya que éstos permiten asociar a cada alternativa un índice que mide su calidad agregada y logran maximizar la información disponible en términos de preferencias de la UD, de intensidad de preferencia entre alternativas y sobre la naturaleza de los criterios (Bouyssou et al. 2006).
Es decir, la implementación de los Métodos PROMETHÉE en el ámbito de la jerarquización de proyectos de inversión pública, específicamente en un caso de proyectos del sector público venezolano, resulta novedosa. Como se ilustra en el caso de estudio, el portafolio real de proyectos de ingeniería seleccionado, no presenta soluciones no dominadas, esto es, proyectos que sobresalen en todos los atributos a ser evaluados. El enfoque que se propone en este artículo propicia la oportunidad de valorar el portafolio de proyectos en presencia de múltiples atributos, posiblemente en conflicto (por ejemplo, relación B/C, Impacto sobre las remuneraciones, generación de empleo o impacto ambiental), tomando en cuenta las diversas prioridades de los organismos participantes. Por tanto, la jerarquización y selección de los mejores proyectos dadas las preferencias de la UD, está basada en la alternativa que presente las mayores ganancias agregadas y las menores pérdidas agregadas.
El artículo está estructurado de la siguiente forma. En la sección METODOLOGIA DEL ANÁLISIS MULTI-CRITERIO se presentan los elementos que conforman el AMC. En la Sección CASO DE ESTUDIO se ilustra la metodología propuesta al problema de jerarquización de proyectos de ingeniería en el sector público. Finalmente, la Sección CONCLUSIONES está dedicada a las conclusiones del trabajo
METODOLOGÍA DEL ANÁLISIS MULTI-CRITERIO
En su acepción más amplia, el AMC es considerado como el mundo de los conceptos, las aproximaciones, los modelos y los métodos, destinados al auxilio de las UD para que logren describir, evaluar, ordenar, jerarquizar, seleccionar o rechazar opciones, con base en la evaluación de sus preferencias sobre una familia de múltiples criterios (Roy, 1985; Brans & Mareschal, 2003 y Bouyssou et al. 2006). En la literatura de Análisis de Decisión también se menciona el término Análisis de Decisiones Multicriterio, que difiere del AMC, ya que suele hacer referencia a técnicas basadas específicamente en la Teoría de Utilidad Multiatributo (Keeney & Raiffa, 1976).
Por consiguiente, a lo largo de este trabajo se emplea el término Análisis Multicriterio en una acepción más amplia, abarcando la denominada Toma de Decisiones Multicriterio. Asimismo, es frecuente utilizar el término Soporte para la Decisión (SPD), el cual incluye las técnicas de AMC y otras ramas afines de la Investigación de Operaciones. Roy (1985) recalca que el SPD intenta ayudar a los agentes activos a entender sus opciones y que los resultados producidos se constituyan en información para desarrollar una posición, discutir sus opiniones y justificar el proceso de toma de decisiones.
Constitución del Grupo de Trabajo
El primer elemento que se va a considerar está referido a la definición del grupo de trabajo, conformado por personas con perspectivas distintas (Harvard Business Press, 2008) y orientado a la toma de decisiones, capaz de generar ideas novedosas, variadas e importantes. En tal sentido, se sugiere la formación de un grupo pequeño (preferiblemente entre cinco y siete personas) dependiendo de la complejidad del problema (Zeleny, 1973; Carrasquero et al. 2004; Harvard Business Press, 2008), en el que deberían estar incluidos los agentes activos directamente afectados, expertos en la materia objeto del estudio y en el manejo de la técnicas de AMC. Por otra parte, aquellos individuos que pudiesen bloquear la decisión deber ser invitados a participar para que sientan involucrados y no excluidos en el proceso de toma de decisión.
Caracterización de la Problemática y Situación de Decisión
Este paso es consecuencia de la tipología propuesta por Roy (1985), analizada en otros trabajos (Carrasquero et al., 2004 y Ramos et al., 2004), para ubicar las problemáticas y situaciones de decisión. Su utilización permite orientar al investigador y agentes activos en la caracterización del problema bajo cuatro premisas básicas:
1) Problemática de descripción (P.δ): consiste en identificar y describir el problema y definir las acciones a seguir. Es la base de todas las problemáticas.
2) Problemática de jerarquización (P.g): busca construir una jerarquía agregada de atributos, para sintetizar una calidad agregada que permita ordenar las opciones y la consecuente asignación de recursos.
3) Problemática de selección (P.α): Se aplica en la escogencia de las mejores opciones y la asignación de recursos para la adquisición de los mismos.
4) Problemática de categorización (P.β): Se utiliza para realizar clasificaciones de las opciones, por ejemplo, considerando proveniencia, garantías de proveedores, cantidad de información suministrada, entre otras.
La decisión se presenta entonces como un proceso de sinergia, en el que existe una orientación al trabajo en grupo, búsqueda del consenso, y donde se señalan los factores que pudiesen incidir en la evaluación deseada (falta de motivación, desconocimiento de problema, entre otros) en congruencia con los objetivos del trabajo planteado (Hernández, 2008; Hernández & Rocco, 2012).
Selección de los Criterios y su Estructura Jerárquica
Esta etapa dicta las condiciones para asegurar la pertinencia del conjunto de criterios que servirá de base para evaluar las alternativas (Carrasquero et al. 2004; Ramos et al., 2004). Inicialmente, se procede a ubicar el objetivo focal del sistema (Saaty, 1980; Carrasquero et al. 2004; Ramos et al. 2004) y después se ubican los criterios en forma coherente con la participación y adhesión de todos los agentes activos. Los agentes activos participan en la interacción, indican cuáles son los atributos pertinentes para evaluar el problema de tal manera que sean los más diversos y que no exista redundancia, definen las magnitudes y las relaciones entre ellos y señalan si las alternativas pueden ser medidas con los criterios seleccionados.
Establecimiento de Importancias Relativas (Ponderación)
Dada la situación de sinergia y búsqueda de consenso, es importante que la persona que guía el proceso de decisión (analista-investigador) de a conocer a la UD una serie de posibles métodos para cuantificar las preferencias de la UD sobre los criterios seleccionados en la estructura jerárquica definida (Clasificación según el Orden de Importancia (CODI) y de Comparaciones Pareadas (COPA) (Hernández, 2008), el método MACBETH (Bana & Vansnick, 2003) y el Proceso Analítico Jerárquico (AHP) (Saaty, 1980). Entre estos métodos, el AHP es muy utilizado, ya que propone un índice o razón de consistencia (RC) para monitorear las preferencias de la UD. El índice se calcula a partir del valor propio λmax de la matriz de preferencias. Si n es el número de criterios, entonces λmax ≥ n con λmax= n si y sólo si la matriz es consistente (Pacheco & Contreras, 2008).
Gestión de Información Multicriterio
Esta actividad consiste en analizar alternativas en función de los criterios seleccionados, ubicar los elementos conflictivos de los criterios, las importancias relativas, la dirección de mejoramiento de los criterios y analizar la matriz de información multicriterio (desempeño de los proyectos en los respectivos criterios) (Brans & Mareschal, 2003). A partir de este análisis, se evalúa la naturaleza de los criterios para considerar el posible problema de la escala y establecer esquemas de normalización (Zeleny, 1973).
Integración del Modelo de Evaluación
En este trabajo se adopta un acercamiento basado en la construcción de un sistema relacional de preferencias (Brans et al. 1986; Escribano & Fernández, 1999; Brans & Mareschal, 2003; Bouyssou et al. 2006). Este enfoque se representa mediante un grafo (Figura 1) cuyos nodos representan las opciones o alternativas y cuyos arcos representan relaciones binarias. En general, se presentan diversos arcos, cada uno representando una determinada relación (I, Q, P).
Los métodos de sobreclasificación, a los que pertenecen los métodos PROMETHÉE, incluyen la Incomparabilidad (R) dentro de esas relaciones fundamentales, la cual corresponde a la ausencia de razones claras para justificar alguna de las tres relaciones precedentes.
Los métodos PROMETHÉE constituyen uno de los desarrollos más recientes en la categoría de métodos basados sobre relaciones binarias de superación, ya que incorporan conceptos y parámetros que poseen una interpretación física o económica fácilmente comprensible por los agentes activos.
Por otro lado, dichos métodos se enmarcan en la problemática de jerarquización (P.g), la cual busca un ordenamiento parcial o completo de las alternativas, conforme a las preferencias de la unidad de decisión. Sin embargo, también es posible su uso en los problemas de selección (problemática (P.a)) (Brans & Mareschal, 2003).
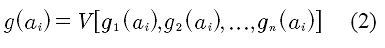
Este enfoque permite analizar problemas discretos y finitos. Sea A = {a1,a2, ,am}, el conjunto de m opciones (macro proyectos de ingeniería); G= {g1,g2, ,gn} el conjunto de n criterios, e IR = {IR1,IR2, ,IRn}, el conjunto que representa los valores de importancias relativas (preferencias de la UD) sobre los diferentes criterios evaluados. Con:

Entonces, es posible construir una expresión de agregación global g(), función de todos los criterios involucrados:
![]()
donde: V es una función de valor de agregación (Brans & Mareschal, 1984 y 2003; Bouyssou et al. 2006).
Para determinar si una alternativa ai es mejor que otra aj, se utiliza la relación de dominancia, al mismo tiempo que se trata de reducir las incomparabilidades; es decir, aquellos casos donde sea imposible decidir cuál alternativa es la mejor.
Para aplicar los métodos PROMETHÉE es necesario disponer: 1) el conjunto de alternativas y los criterios a considerar; 2) la matriz de desempeño contentiva de las evaluaciones de las alternativas según cada criterio; 3) el vector de importancias relativas (IR) de los criterios, denominada información inter-criterios; y 4) la información intra-criterios, para modelar la intensidad de preferencias entre alternativas.
Para el problema de ordenamiento Brans & Mareschal, (1984 y 2003) y Brans et al. (1986) proporcionan dos instrumentos para resolverlo: el método PROMETHÉE I, que produce un pre-orden parcial y el PROMETHÉE II, con el cual se obtiene un pre-orden total.
Ambos métodos siguen los siguientes pasos:
Primero, realizar todas las comparaciones pareadas de las alternativas a,b Î A, con base en la diferencia de desempeño dj(a,b) ante un criterio particular. Esta diferencia modela la intensidad de preferencia para ese criterio, según la significancia de la diferencia calculada (Castillo et al. 2004). Esto significa suponer que para cada criterio gj la unidad de decisión posee una función de preferencia de la siguiente forma:

donde
![]()
y como las preferencias se expresan en números reales normalizados, se tiene que:
0 ≤ Pj (a,b) ≤ 1 (5)
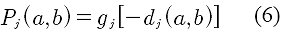
Para todo criterio a ser minimizado, la función genérica de preferencia se obtiene por simetría respecto al eje vertical Pj(a,b), es decir, está dada por (Gento & Redondo, 2005; Brans & Mareschal, 2003):
![]()
Segundo, seleccionar el criterio generalizado partiendo del estudio del par {gj,Pj(ab)} asociado con el criterio gj. Por ejemplo, sí cualquier diferencia entre dos alternativas en un criterio definido, por muy pequeña que sea, genera suficientes razones para establecer un orden entre las alternativas, se está en presencia de un criterio generalizado de tipo I (Criterio estricto).
Como en la realidad, es importante modelar una amplia gama de situaciones asociadas a la naturaleza de los criterios (monetarios, no monetarios, cualitativos, cuantitativos, entre otros) y usar distintos umbrales de preferencia para saber cuándo la diferencia entre alternativas es significativa o no, Brans & Mareschal (2003) han propuesto seis tipos de criterios generalizados, incluyendo el ya mencionado, (Criterio estricto, Cuasicriterio, Precriterio, Pseudocriterio, Pseudocriterio, Precriterio).
Tercero, se determina el grado de preferencia de una alternativa respecto a otra, el cual deriva a su vez, de la agregación ponderada de las preferencias obtenidas mediante las comparaciones pareadas que realizan los criterios generalizados.
Esto permite obtener, lo que Brans & Mareschal (2003) denominan, el Índice de Preferencia Agregado (IPA), asociado con cada par de alternativas.
Mediante la evaluación del IPA promedio de una alternativa a respecto a las restantes, los métodos PROMETHÉE generan una medida cuantitativa del aval que da soporte a la preferencia de a respecto a todas las demás; es una suerte de crédito a favor de a.
En forma similar, promediando los IPA de las alternativas restantes respecto a a, se obtiene una medida cuantitativa del aval de la preferencia ejercida sobre a; es un debito en contra de a. Estos promedios constituyen los flujos de superación (outranking flows) definidos por:
![]()
La Figura 1 ilustra el grafo asociado con un hipotético conjunto A: las opciones, mediantes nodos y algunos índices de preferencia agregada, mediante arcos.
Cuarto, calcular los flujos de superación de las alternativas. Cada alternativa a es comparada con las (n-1) alternativas restantes del conjunto A, y para cada par (a,b) se obtiene p (a,b), esto es, su índice de preferencia agregada. A continuación se describe el tratamiento a efectuarse sobre estos índices y sus significados:
El flujo de superación positivo, denotado como Φ+ (a) se define como:
Representa el promedio de los índices de preferencia agregada que favorecen a a y expresa una medida del crédito (Hernández, 2008) que goza a respecto a las alternativas restantes. La Figura 2a ilustra lo expuesto. Note que la dirección de los arcos va desde la alternativa evaluada hacia las restantes.
El flujo de superación negativo, denotado Φ- (a) se define como:

Representa el promedio de los índices de preferencia agregada que no apoyan a a. Este flujo negativo expresa una medida del débito (Hernández, 2008) atribuido a a por efecto las alternativas restantes. La Figura 2b ilustra lo expuesto. En este caso, la dirección de los arcos va desde el resto de las alternativas hacia la alternativa evaluada.
Es importante destacar que la evaluación de los criterios sirve para determinar cuándo una alternativa es mejor que otra, es decir, los criterios son los que discriminan las alternativas en mejores o peores.
El método PROMETHÉE I utiliza los flujos de superación (positivos y negativos) para definir algún tipo de orden sobre A. El método PROMETHÉE II se utiliza cuando los flujos de superación no producen ordenamientos iguales. En este caso se utiliza la relación RI (Brans & Mareschal, 2003), que permite analizar simultáneamente el pre-orden total derivado de Φ+ (a) y el pre-orden total derivado de Φ- (a), y generar una estructura de pre-orden parcial (ausencia de incomparabilidades). Operativamente, se calcula el flujo neto de cada alternativa, esto es, el saldo entre los créditos y débitos:
Si bien considerar solamente los flujos netos significa una pérdida de información, éstos proporcionan una medida de la calidad global de cada alternativa. Es por ello, que no conviene proceder directamente con la ejecución de PROMETHÉE II sin pasar por PROMETHÉE I, sino que, por el contrario, se privilegie el pre-orden parcial que produce este último y se aprovecha el resultado del primero sólo para eliminar las incomparabilidades.
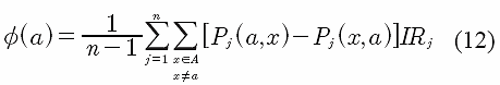
Finalmente, la función de Calidad Agregada viene expresada en términos de preferencia neta promedio. Por preferencia neta se designa a la diferencia de las preferencias favorables menos las desfavorables. De tal manera que usando (11) y sustituyendo los flujos positivos y negativos por sus expresiones correspondientes, se obtiene:

Los autores de este trabajo consideran que la riqueza de los métodos PROMETHÉE reside en la forma de representar las preferencias de la UD mediante los criterios generalizados, pues permiten al analista investigador, a través de los parámetros requeridos, incluir umbrales de preferencias, cuando éstos existan.
Estos umbrales están asociados con la disponibilidad de información sobre la naturaleza de los impactos de las alternativas sobre los criterios seleccionados. No obstante, el lector debe tener presente que en un problema más complejo conviene incorporar siempre la información sobre los criterios generalizados para incrementar la claridad en el tratamiento de la intensidad de las preferencias al comparar dichas alternativas.
CASO DE ESTUDIO
Se dispone de un conjunto de entidades gubernamentales encargadas de diseñar y orientar las políticas públicas hacia el crecimiento, el desarrollo de la economía y el bienestar de la población: a su vez, estas entidades tienen inconvenientes a la hora de estructurar sus objetivos, ordenar sus criterios y manejar recursos económicos, financieros, tecnológicos, humanos, entre otros.
En la toma de decisiones sobre políticas públicas suelen intervenir organismos de diferente índole: organismos responsables de las finanzas (por ejemplo, bancos, multilaterales, inversionistas); los organismos que interviene para crear condiciones económicas propicias para desarrollo armónico de la economía (banco central) y que por ley ejercen funciones de coordinación de la política económica; y aquellos organismos que se encargan de planificar el desarrollo nacional y social (ministerios de obras públicas, de planificación, de desarrollo social, entre otros).
En este caso de estudio intervienen, en primera instancia, estos tres organismos distintos con una meta común: la procura de condiciones propicias para alcanzar el desarrollo deseado. Cabe destacar que por motivos de confidencialidad, en este artículo se obvian los nombres de los organismos y los agentes activos que participaron en este proyecto. Asimismo, la información a ser utilizada ha sido agregada para ilustrar el enfoque propuesto.
Los organismos desean impulsar la economía a través de la inversión pública, y disponen de una amplia gama de macro-proyectos de ingeniería. En tal sentido, desean jerarquizar dichos proyectos y seleccionar los mejores para su ejecución y monitoreo. Las instituciones seleccionaron veinte macro proyectos de ingeniería y cuentan con los recursos para realizarlos y están considerando múltiples criterios para tomar la decisión. Los proyectos son independientes y cuentan con los recursos financieros, humanos y tecnológicos para su implementación.
El caso de estudio es analizado siguiendo la metodología descrita en la sección anterior.
1. Se conformó un panel de cinco agentes activos con distintas experticias en gestión de proyectos de ingeniería canalizados a través de inversión pública: área de finanzas (un representante del área de financiamiento y retorno de la inversión), área de económica y gubernamental (dos representantes de planificación macroeconómica y social simultáneamente), y área del técnica-académica (dos facilitadores).
2. De acuerdo con la información resultante bajo el consenso grupal sobre la problemática de decisión, se logró la definición del objetivo focal de la evaluación: determinar una calidad agregada macroeconómica alineada con el crecimiento económico que permita jerarquizar un conjunto de proyectos y seleccionar el mejor.
3. Los criterios pertinentes para guiar el proceso de decisión y sobre los cuales se evaluaron los proyectos de ingeniería y su interrelación, se presentan en la Figura 3. La figura muestra el punto focal y los criterios que lo definen, con sus respectivas unidades y dirección de búsqueda.
a. Relación Beneficio/Costo (B/C): es el Valor Presente Neto (VP) de los flujos de caja descontados de cada proyecto sobre la Inversión Inicial del mismo. Esta medida es un índice de rentabilidad de los proyectos que garantiza un retorno apropiado para revertir dicho recursos en nuevos proyectos y/o satisfacer las necesidades de los inversores. Se busca maximizar.
b. Remuneración a los Empleados y Obreros (REO), es una estimación del impacto que se genera a nivel total de la economía a través de la ejecución de los macro proyectos de ingeniería. Este criterio incluye los efectos directos e indirectos (efecto multiplicador de la inyección inicial); es decir, contiene el impacto en unidades monetarias en el sector o actividad al que pertenece el proyecto y los impactos en las demás actividades como consecuencia de la demanda de insumos y productos para llevar a cabo los mismos. Se busca maximizar.
c. Personal Ocupado (PO): es el criterio social que sintetiza la generación de empleos en la economía asociada a cada proyecto (Número de Personas), en forma directa (vía ejecución del proyecto) e indirecta (por estímulo a otras actividades relacionadas con el proyecto). Se busca maximizar.
Estos criterios son los elementos de juicio para valorar los proyectos de ingeniería a través de la inversión pública con los agentes activos y constituyen el conjunto de criterios que se deben considerar para tomar la decisión. Cabe destacar que de requerirse criterios adicionales, se debe iniciar el proceso de decisión nuevamente.
4. La interacción bajo consenso permitió recopilar las preferencias de los agentes activos sobre los criterios de evaluación señalados en la Figura 3. Se seleccionó la técnica PAJ, método ampliamente usado para derivar las IR y las puntuaciones alcanzadas por alternativas o criterios (NERA, 2001).
Algunos autores (Sottolano et al. 2004 y Bouyssou et al. 2006) recomiendan el PAJ como técnica para estimar las IR, en particular, debido a que la técnica define un índice para validar la consistencia de los juicios que emite la unidad de decisión, estableciendo un rango de consistencia admisible. Sin embargo, cuando el número de criterios es elevado, se hace más difícil alcanzar la consistencia.
La Tabla 1 sintetiza los resultados de la aplicación del PAJ, que satisface una razón de consistencia del 0,0280 (menor que 0,10), indicando que las IR son consistentes con las preferencias de la UD.
Independientemente del tamaño de la matriz, si la RC es menor o igual que 0,10, el grado de consistencia de los juicios emitidos resulta admisible. En caso contrario, pueden existir inconsistencias serias que originan resultados erróneos.
En el caso de estudio, las IR obtenidas resultan adecuadas. La relación B/C tiene una IR de 0,66 (66%) que indica alta predominancia del factor financiero, ya que se busca garantizar un retorno aceptable y proyectos con beneficio positivo para continuar con el ciclo de reinversión en nuevos proyectos y/o esquemas de financiamiento. En orden de relevancia, sigue la REO con 0,26 (26%) indicado que en segundo lugar es necesario impulsar el consumo vía incremento en el ingreso de las personas.
Finalmente se asigna 0,08 (8%) de importancia al PO, ya que dicho componente es difícil de estimar y está muy vinculado con el efecto multiplicador de la inversión.
5. Una vez seleccionados los criterios, sus importancias relativas, la estructura jerárquica y los proyectos, se identificó la matriz de información o desempeño multicriterio (Tabla 2).
En dicha Tabla se puede leer, por ejemplo, que el Proyecto 2 (Desarrollo de una Refinería) tiene una relación B/C de 1.85288, (aporte en beneficios por unidad invertida), genera a través de la REO, 474.02 unidades monetarias en el periodo de ejecución de dicho proyecto, y presenta un PO (impactos en el empleo en número de personas) de 72 trabajadores. Las zonas sombreadas muestran los mejores valores para cada criterio.
Por ejemplo, el proyecto 4 posee la mayor relación Beneficio/Costo (14.14460), el proyecto 15 tiene el mayor impacto en la REO (5058.33 unidades monetarias). Por último, el Proyecto 5 presenta mayor desempeño en el PO (582 trabajadores). Esto revela que no hay una alternativa superior en todos los criterios, esto es, no existe una alternativa no dominada (en caso de existir, esa alternativa es la ganadora).
6. La integración los modelos PROMETHÉE, parte de la información de la Tabla 1 y la Tabla 2 que muestra las preferencias de la UD en términos de importancias relativas (IR) y los desempeños de los proyectos de ingeniería en los criterios seleccionados respectivamente.
Con respecto a la Tabla 2, la información se normaliza y se eliminan inconsistencias de escala (valores numéricos, enteros, binarios, etc.) (Zeleny, 1973). Para el caso de estudio, se utiliza el criterio generalizado Tipo I (Criterio estricto), ya que por consenso, se evidenció que los atributos seleccionados son precisos (no tienen incertidumbre) y de consecuencias muy importantes, es decir, cualquier diferencia entre alternativas, por muy pequeña que sea, deber ser considerada.
En la Tabla 3 se muestran los flujos de superación positivos (ecuación 8) y los flujos de superación negativos (ecuación 9) asociados con el método PROMETHÉE I, que señalan los pre-ordenes inducidos.
El flujo positivo es un indicativo de cómo se ve un proyecto respecto a los demás, es decir, es un índice que ilustra la superación de un proyecto en comparación con los otros proyectos: a medida de que el flujo neto positivo sea más grande, el proyecto estará mejor posicionado.
Por otra parte, el flujo negativo indica cómo ven los demás proyectos a uno en particular, es decir, ilustra la no inferioridad de los demás proyectos respecto al que se está comparando. En este caso, un valor más pequeño posicionará mejor a dicho proyecto.
Nótese que, si se jerarquizan por separado los flujos positivos y los flujos negativos para este caso de estudio, los pre-ordenes coinciden (columnas 4 y 6), es decir, no aparecen situaciones de no comparabilidad. Adicionalmente la Tabla 3 muestra la calidad agregada (ecuación 11) asociada a PROMETHÉE II y la correspondiente jerarquía (columna 8) de cada proyecto de ingeniería.
De aquí, el Proyecto 4 es el que presenta la mayor calidad agregada, y por tanto, está primero en la jerarquía, indicando que este proyecto es superior, en términos de mayor relación Beneficio/Costo, adecuados impactos en la REO y el PO, y alineado a las preferencias de la UD.
Ahora, la UD dispone de una justificación para seleccionar dicho proyecto y los siguientes (2º, 3º y así sucesivamente) en jerarquía, como aquellos que se encuentran más alineados con el punto focal de crear condiciones propicias para el crecimiento económico.
CONCLUSIONES
En este trabajo se han incorporado algunos elementos de Soporte para la Decisión para evaluar un problema de selección y jerarquización de esquemas de inversión pública, específicamente un portafolio de macro-proyectos de ingeniería, ante la presencia de múltiples criterios y representantes de la Unidad de Decisión. El modelo está basado en los Métodos PROMETHÉE, que consideran la creación de relaciones binarias de sobreclasificación para determinar una calidad agregada para su posterior jerarquización. Es conveniente recalcar que la selección de los criterios generalizados requeridos por PROMETHÉE merece particular atención.
La misma debe focalizarse en aspectos como: la precisión de la data, observación de la forma de variar las preferencias sobre las ventajas de una alternativa respecto a otra (cambio abrupto, lineal o no lineal) y, la naturaleza misma de los criterios (cuantitativa o cualitativa), todo ello bajo la interpretación de las disciplinas participantes (interpretación económica, financiera, social, entre otras).
En este trabajo se muestra que los métodos PROMETHÉE, son una herramienta útil que permite analizar una problemática tipo P.γ de soporte a la toma de decisión. Sin embargo, el enfoque no pretende ser la panacea para resolver los problemas de ordenamiento y selección de macro-proyectos de ingeniería u otra situación; lo que se pretende es aportar espacios de discusión para justificar el proceso decisión y proporcionar, al menos en el corto plazo, la decisión de elegir el mejor o los mejores proyectos más alineados con el objetivo focal de crecimiento económico.
Finalmente, resulta importante complementar estos resultados para cuantificar la robustez de la decisión ante variaciones en los supuestos utilizados. Por ejemplo, analizar los efectos de utilizar otros valores de importancia relativa o criterios generalizados, sugeridos por otros expertos, o considerar posibles fuentes de incertidumbre en la cuantificación de los atributos.
REFERENCIAS
1. Badillo, R. (2010). Jerarquización de proyectos bajo incertidumbre, Trabajo Especial Grado MSc. en Investigación de Operaciones, Universidad Central de Venezuela. [ Links ]
2. Bana, C. & Vansnick, J. (2003). MACBETH. Operational Research. London School of Economics. London.
3. Bouyssou, D., Marchant, T., Pirlot, M., Tsoukias, A. Y Vincke, P. (2006). Evaluation and decision models with multiple criteria (Operational Research and Management Sciences, Springer´s International Series, New York.
4. Brans, J. & Mareschal, B. (1984). PROMETHÉE: A new family of outranking methods in multicriteria analysis. European Journal of Operational Research, pp. 477-490.
5. Brans, J. & Mareschal, B. (2003). PROMETHÉE Methods. Centrum voor Statistiek en Operationeel Ondersoek, Vrije Universiteit Brussel. Belgium. 2003.
6. Brans, J., Vincke, Ph., Mareschal., B. (1986). How to select and how to rank projects: the PROMETHÉE method. European Journal of Operational Research, 24, pp. 228-238.
7. Carrasquero, N., Najul, M., Sanchez, R. (2004). Enfoque multicriterio para la evaluación de la calidad del agua. Revista de la Facultad de Ingeniería, Universidad Central de Venezuela, Vol. 19. Nro. 3, pp.31-41.
8. Castillo, J., Arevalo, M., Castro, M. (2004). Economic Evaluations of the Spanish Port System Using the PROMETHÉE Multicriteria Decision Method. Serie Economía E2004/84.
9. Escribano, M. & Fernández, G. (1999). PROMETHÉE como técnica de toma de decisiones multicriterio. Actas VII Jornadas ASEPUMA. Págs. 232-242.
10. Gento, A. & Redondo, A. (2005). Comparación del método ELECTRE III y PROMETHÉE II: Aplicación al caso de un automóvil. IX Congreso de Ingeniería de Organización Gijón, 8 y 9 de septiembre de 2005.
11. Harberger, A. (1998). Una visión del proceso de crecimiento. Revista Banco Central de Venezuela. Vol. XII N°2.
12. Harvrvard Business Press. (2008). Making Decisions: Expert Solution to Everyday Challenges, Ediciones HBP, Boston MA.
13. Hernández, E. (2008). Una Metodología de Análisis Multicriterio para le Jerarquización de Proyectos de Inversión Pública Trabajo Especial Grado MSc. en Investigación de Operaciones, Universidad Central de Venezuela.
14. Hernández, E. & Rocco, C. (2012). Jerarquización y Selección de Esquemas de Generación Eléctrica Mediante Un Enfoque Basado En Análisis Multicriterio. III Congreso Venezolano de Redes y Energía Eléctrica, Marzo 2012. Caracas.
15. Hobbs, B. & Meier, P. (1994). Multicriteria Methods for Resource Planning, An Experimental Comparison. IEEE Tran. on Power Systems, Vol. 9, No, 4, November 1994, pp. 1811-1817.
16. Jones, H. (1988). Introducción a las Teorías Modernas del Crecimiento Económico. Antoni Bosh, Segunda Edición. España.
17. Keeney, R.L. & Raiffa, H. (1976). Decisions with Multiple Objectives: Preferences and Value Trade-offs, Wiley, New York. Reprinted, Cambridge University Press, 1993.
18. NATIONAL ECONOMIC RESEARCH ASSOCIATES (NERA). (2001). DTLR multicriteria analysis manual. London School of Economics. London.
19. Pacheco, F. Y & Contreras, E. (2008). Manual Metodológico de Evaluación Multicriterio para Programas y Proyectos, Serie Manuales Cepal Nº 58, Naciones Unidas. Chile.
20. Ramos, P., Carolla, C., Najul, M., Carrasquero, N., Sanchez, R. (2004). Diseño de un modelo evaluativo de calidad del servicio del suministro de agua en sistema de riego. Revista Facultad de Ingeniería de la Universidad Central de Venezuela. Vol. 19. Nro. 3, pp.5-13.
21. Roy, B. (1985). Méthodologie Multicritère daide à la Décision. Económica, Paris, 1985.
22. Saaty, T. (1980). The Analytic Hierarchy Process. Mc Graw Hill, New York.
23. Sottolano, J., Najul, M., Carrasquero, N., Sanchez, R. (2004). Enfoque para la evaluación de la calidad del agua potable. Revista de la Facultad de Ingeniería de la Universidad Central de Venezuela., Vol 19, N°3.
24. Zeleny, M. (1973). Compromise programming in Multiple Criteria Decision Making. (J. Cochrane y M. Zeleny Ed., University of South Carolina Press, Columbia. USA.



















