Services on Demand
Journal
Article
Indicators
-
Cited by SciELO -
Access statistics
Related links
-
Similars in
SciELO
Share
Zootecnia Tropical
Print version ISSN 0798-7269
Zootecnia Trop. vol.26 no.1 Maracay Mar. 2008
Estructura poblacional de la almeja, Asaphis defl orata, en la localidad de Caurantica, golfo de Paria, estado Sucre, Venezuela
Antulio Prieto1*, Jesús Marcano2, Liz Villegas3 y César Lodeiros4
1 Universidad de Oriente, Departamento de Biología, Escuela de Ciencias, Cumaná 6101, Sucre. Venezuela. *Correo electrónico: alprietom@hotmail.com
2 Instituto Nacional de Investigaciones Agrícolas, Centro de Investigaciones Agrícolas de los estados Sucre y Nueva Esparta, Cumaná, Sucre. Venezuela.
3 Instituto Nacional de Pesca y Acuicultura - Sucre, Cumaná, Sucre. Venezuela.
4 Universidad de Oriente, Instituto Oceano gráfico de Venezuela, Lab. Acuicultura. Cumaná, Sucre. Venezuela.
RESUMEN
Se evaluó la estructura poblacional y aspectos bioecológicos del bivalvo Asaphis de florata en Caurantica, al este de la población de Guiria, en el Golfo de Paria, estado Sucre, Venezuela. Las muestras se recolectaron mensualmente desde marzo 2005 hasta febrero 2006, utilizando un diseño de muestreo al azar estratificado con una cuadrata de 0,25 m2. En dichos muestreos se determinó la temperatura y la salinidad del agua. Para un análisis de la disposición espacial de la especie el área de distribución se dividió en tres zonas paralelas a la línea de costa y cuatro franjas perpendiculares a la costa de acuerdo a las características topográficas del sustrato. La población presentó un intervalo de tallas desde 10 hasta 74 mm de longitud total, con un dominio de las tallas entre 48 y 54 mm, aunque a partir de septiembre 2005 se incorporaron ejemplares con talla menor de 26 mm. La dispersión microespacial fue de agregación en cada zona, con un aumento de la longitud de los individuos desde la zona del nivel más bajo de marea hasta el más alto. Las relaciones entre los parámetros morfométricos de los bivalvos fueron altamente significativas y la relación entre la masa total (MT) y la longitud (Lt) estuvo representada por la ecuación MT = 0,0003*Lt 2,806 (r2= 0,93). La biomasa total promedio fue de 400,33 g/m2 y la densidad promedio de 69,33 ind/m2 con valores máximos en la zona de marea baja, mientras que la mayor densidad se observó en la zona de marea alta. No se detectaron diferencias significativas en los promedios de biomasa y la densidad entre zonas, pero si entre franjas. El factor de condición presentó su máximo valor en mayo 2005 (36,6%) y el mas bajo en agosto 2005 (28,8%). Se sugiere que la variabilidad periódica de la salinidad posee influencia sobre la condición fisiológica de la especie.
Population structure of the clam, Asaphis defl orata, in Caurantica, gulf of Paria, Sucre state, Venezuela
ABSTRACT
Populations structure and bioecological aspects of the bivalve Asaphis defl orata were evaluated in locality ofCaurantica, northeasthern of Guiria, Gulf of Paria, Sucre state, Venezuela. Samples were collected monthly fromMarch 2005 until February 2006, using a stratifi ed random sampling with a quadrate of 0.25 m2. During sampling water temperature and salinity were measured. In order to test the spatial dispersion, the area was divided into 3 zones parallel to the coast and 4 fringes perpendicular to it, according to the topographical characteristicsof the substrate. The population presented a length interval from 10 until 74 mm, with a predominance of the lengths between 48-54 mm, although since September 2005 there were organisms with lengths smaller than 26 mm incorporated into the population. A aggregated microespatial dispersion was observed in each zone, with an increase of the length of bivalves from of the zone of low to one high tide. Relationships between morphometricparameters were highly signifi cative and length (Lt)-total mass (TM) relationship was represented by the equationTM = 0.0003*Lt2.806 (r2= 0.93). Average biomass and density were 400.33 g/m2 and 69.33 ind/m2. The biomass presented maximum values in the zone of low tide, whereas the maximum density was observed in zone of high tide. There were not detected signifi cant differences in average biomass and density among zones, but amongfringes. Condition factor presented its maximum value in May 2005 (36.6%) and minimum in August 2005 (28.8%) 2005. We suggest that salinity variation in the region has infl uence on the physiological condition of the species.
Keywords: Asaphis defl orata, abundance, Caurantica, Gulf of Paria, Venezuela.
Recibido: 08/08/2007 Aceptado: 23/11/2007
INTRODUCCIÓN
La almeja Asaphis de florata (Linneaus, 1758) es una de las especies de bivalvos más comunes en las comunidades intermareales del Golfo de Cariaco y de las costas del Golfo de Paría, estado Sucre, Venezuela (Lodeiros et al. 1999), donde es explotada artesanalmente por pobladores cercanos a la playa como un componente importante de la dieta, por lo que se reconoce la importancia de realizar estudios ecológicos para el desarrollo de su pesquería (Gines, 1972). Esta especie ha sido considerada como coespecífica con la especie A. dichotoma la cualse distribuye en el Indo-Pacifico (Prashad 1932), tesis que fue sustentada por Abbott (1974), aunque investigaciones mas recientes basadas en análisis morfo-funcionales y características de la concha han confirmado que son dos especies diferentes; siendo redescrita la forma del Indopacífico como Asaphis violacens (Chernohorsky, 1972; Willan, 1993).
En el continente americano, la especie tiene una distribución muy amplia, extendiéndose desde el sureste de Florida hasta el oeste de las Indias Occidentales (Abbott, 1974). Sin embargo, a pesar de ello existen muy pocas investigaciones sobre suecología (Berg y Alatalo, 1985; Domaneshi y Shea, 2004). Algunos autores han descrito aspectos de su anatomía (White, 1942; Purchon, 1960) relacionando la morfología de su concha con los hábitos de vida (Stanley, 1970) y se le ha citado en algunas colecciones bentónicas (Work, 1969; Princz, 1973). En Venezuela, se conocen aspectos de su biología en una localidad del Golfo de Cariaco (Marín, 1982) y datos de abundancia en algunas zonas de la Península de Paría (Prieto et al., 2005).
Debido a la escasa información ecológica que se tiene sobre esta especie y vista su importancia económica como recurso pesquero en localidades cercanas a la ciudad de Guiria, estado Sucre, donde se desarrollará una actividad de explotación gasífera, la cual podría afectar al recurso, se realizó una evaluación de la densidad y la distribución espacial de una población de A. de florata en la localidad de Caurantica, aledaña a la ciudad de Güiria.
MATERIALES Y MÉTODOS
El estudio se realizó en la localidad de Caurantica situada en el interior del Golfo de Paría y ubicada geográficamente a 10º 37´ 58´´ N y 62 14´ 45´´ O. El área de muestro está sometida a un régimen de mareas semidiurnas con una amplitud máxima de unos 150 cm. Al producirse la bajamar queda al descubierto una amplia zona intermareal en la cual se encuentran enterradas las almejas, las cuales son recolectadas manualmente por los pobladores de la zona con ayuda de un madero o una pala metálica que usan para excavar. El sustrato está formado principalmente de grava, mezclado con piedras y cascajos suspendidos en una capa arenosa.
El área de distribución del bivalvo en la bahía de Caurantica fue estimada según muestreos preliminares, siendo dividida en tres sectores y cuatro franjas (Figura 1), atendiendo a las características topográficas. Para analizar la distribución mensual de las clases de talla y la condición de los organismos se realizaron muestreos mensuales desde marzo 2005 a febrero 2006, utilizando una cuadrata metálica de 0,25 m2.
El tamaño de la muestra fue determinado mediante la fórmula 4ó2 / L2,, donde L es el error de la media de la muestra y ó2 es la varianza estimada en un estudio piloto. Los ejemplares de A. de florata fueron medidos determinando la longitud total (Lt), estimada como la máxima distancia antero-posterior de la concha, la altura (Al) o distancia entre el umbo y el borde ventral y el ancho (An) o distancia entre las dos valvas cerradas, con un vernier digital (0,01 mm de precisión). El peso de la masa total (MT) de cada organismo fue obtenido utilizando una balanza analítica para determinar la ecuación de crecimiento relativo, las relaciones biométricas y la estructura poblacional de la especie. Las longitudes fueron distribuidas en intervalos de 2 mm Lt y se elaboraron histogramas de frecuencia mensual. El factor de condición (FC) se evaluó por la formula: FC = (MT/ Lt3) x 100, donde: MT es la masa total y Lt la longitud total.
La disposición espacial, la biomasa y densidad de la población se evaluaron en muestreos intensivos realizados en enero y febrero 2006. Para ello se dividió la playa en sectores y franjas, y se evaluaron los parámetros mencionados en cada zona, utilizando el coeficiente de dispersión expresado por CD = S2 /X, donde S2 es la varianza y X la media, analizando la significancia estadística por una prueba t de Student (Rabinovich, 1980). La distribución binominal negativa se utilizó para estimar el parámetro de agregación K que oscila entre 0,5 y 3, siguiendo las recomendaciones en Bliss y Fisher (1953). Para la determinación de la biomasa (g/m2) y la abundancia (org/m2) de la especie, la masa y número de los ejemplares fueron agrupados por sectores y franjas. Utilizando la media de la densidad y la abundancia, así como el área de distribución del recurso se determinó la biomasa total de A. de florata en el área de estudio. Empleando la técnica de Box y Cox descrita en Zar (1984), los datos de biomasa fueron transformados a raíz cuadrada para corregir las desviaciones de normalidad y homogeneidad de varianzas, en función de comparar los sectores y franjas mediante un ANOVA de dos vías.
La temperatura y salinidad se determinaron mensualmente utilizando un termómetro de mercurio con 0,01ºC de precisión y un refractómetro con 0,1 de precisión. La asociación de estos parámetros ambientales con la biomasa total y del tejido de la almeja, así como el factor de condición, fue determinado mediante la realización de una matriz de correlación de Pearson, siguiendo las recomendaciones de Zar (1984).
RESULTADOS
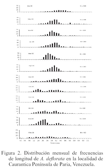
Se determinó que la población está distribuida en un amplio intervalo de tallas, desde los 10 hasta los 74 mm con promedio de 37,7 mm. Las distribuciones mensuales de tallas fueron generalmente plurimodales en la mayoría de los meses, a excepción de marzo y abril 2005 (Figura 2). La longitud total promedio de la especie registró sus máximos valores en abril de 2005 y el menor en enero 2006. Desde marzo hasta agosto 2005 se recolectaron organismos con tallas mayores de 26 mm; sin embargo, a partir de septiembre 2005, comenzaron a agregarse a la población ejemplares con tallas menores que conformaron una moda bien diferenciada. La distribución total de tallas es predominantemente unímodal con un pico máximo de abundancia en la clase de 50-52 mm de longitud, aunque se observaron dos pequeños picos secundarios en las clases mayores (Figura 3).
La masa total promedio de los bivalvos presentó los mayores valores en mayo 2005 y los menores en enero del mismo año, mientras que la masa de la carne húmeda (MCH) osciló entre 1,35 g y 3,12 g con el máximo valor en mayo 2005 y el mínimo en enero 2006 (Figura 4).
La distribución microespacial de la población fue de agregación dentro de cada zona. El máximo valor del coeficiente de dispersión (CD= 25,62)se obtuvo en la zona 1, mientras que el mínimo se observó en la 2 (CD= 8,64), siendo en todos los casos significativamente superiores a 1 (P<0,001; Cuadro 1). El índice de agregación K2 de la DBN siguió la misma tendencia y osciló entre 0,85 en la zona 1 y 1,26 en la zona 2 (Cuadro 1). En la distribución espacial de la población se evidencia un incremento progresivo en el promedio de la longitud total de los individuos desde la zona 3 (31,17) en el nivel bajo de la marea hacia la zona 1 (36,3) del nivel alto de la marea en el área de muestreo. Sin embargo, en la distribución por franjas no se observó un patrón definido, encontrándose las mayores tallas en la franja 3 correspondiente a la zona 1 (Cuadro 1).
Cuadro 1. Parámetros de distribución espacial de A. de florata obtenidos en la población de Caurantica. n= número de cuadratas, S2= varianza, X=promedio, CD = coeficiente dedispersión. ts= valor de t Student. P= significación, K2=parámetro de agregación.

En los muestreos de enero-febrero 2006 la biomasa de A. de florata osciló entre 22 y 1.351 g/ m2, correspondiendo los valores más elevados a la zona 1 y la franja 3. Los valores de la densidad (ind/m2) oscilaron entre 33 y 181 ind/m2 (Cuadro 2). El promedio más elevado de la biomasa (g/m2)correspondió a la zona 3, mientras que la densidad más elevada se observó en la zona 1 (Cuadro 2), estimándose una biomasa promedio de 400,33 g/m2 y una densidad promedio de 69,33 ind/m2.
Cuadro 2. Biomasa, densidad y abundancia total en cada una de las zonas de Caurantica.

El área de distribución de este recurso en la localidad fue de 3.741,4 m2, siendo la zona 2 la de mayor superficie, por lo cual la biomasa total del recurso se estimó en 1,4 t y 232.535 individuos (Cuadro 2). No se detectaron diferencias significativas en la biomasa entre zonas (F= 0,38; P> 0,05), pero si entre franjas (F= 3,59; P<0,02). Igualmente tampoco se registraron diferencias significativas en la densidad entre zonas (F=0,57; P>0,05), pero si entre franjas (F=4,03; P<0,01), aunque no hubo interacción significativa (F=0,35; P>0,05).
La relación entre MT y Lt fue isométrica y altamente significativa (P<0,001) con un r2 de 0,93. De la misma manera, las relaciones entre Al y Ande la concha con la longitud mostraron también unas correlaciones altamente significativas (P<0,001) con r2 de 0,97 y 0,92, respectivamente (Cuadro 3).
Cuadro 3. Ecuaciones biométricas obtenidas en la especie A. de florata en base a la masa total (M), longitud (Lt) y ancho (An).

La masa seca de la concha representó el 74% de la masa total de la especie; igualmente la masa seca deshidratada de la carne constituyó entre 5 y 6% de la masa total con concha; finalmente la masa húmeda del tejido constituyó aproximadamente el 26% de la masa total del animal.
El factor de condición en la especie osciló entre 33,6 en mayo 2005 y 28,8 en agosto 2005, observándose disminuciones en mayo-junio y julio-agosto de ese año (Figura 4). La temperatura mostró menor variabilidad que la salinidad en el periodo de estudio (Figura 5). Los valores mensuales de temperatura presentaron el valor máximo en septiembre 2005 (35ºC) y el menor en enero 2006 (27ºC), mientras que la salinidad presentó una amplia variación con máximos valores en marzo 2005 (35,3%) y mínimo en agosto y septiembre 2005 (21,8%). El análisis de correlación del promedio de la masa total, masa húmeda del tejido y factor de condición mensual con los parámetros ambientales indicó que los mayores valores de correlación del coeficiente de Pearson se observaron con la masa húmeda del tejido y el factor de condición, siendo la salinidad el parámetro que explicó mejor la variabilidad entre los meses, no así la temperatura (Cuadro 4).
Cuadro 4. Valores del coeficiente de correlación de Pearson (r) en el análisis de correlación múltiple entre los promedios mensuales de masa total (MT), masa húmeda (MCH) y factor de condición (FC) y los parámetros ambientales, salinidad (S) y temperatura(T). P= valores de probabilidad asociados a r.

DISCUSIÓN
En la bahía de Caurantica y regiones similares de la costa sur de la Península de Paría, A. de florata vive enterrada en parches discontinuos de la arena en la zona intermareal, a una profundidad de 10 a 15 cm, formando densas agregaciones cohabitando con otro bivalvo Chione sp., el cual es menos abundante. Estas especies se encuentran expuestas al régimen semidiurno de mareas presente en la zona, razón por la cual permanecen sumergidas por cortos períodos de tiempo.
El patrón de distribución mensual de talla observado en A. de florata concuerda con el reportado en una población de Turpialito, Golfo de Cariaco (Marín, 1982). Igualmente los intervalos de tallas de esta almenja en Caurantica y la estratificación por zonas fueron similares a los registrados por Domaneschi y Shea (2004) en Florida Keys, EEUU. El aumento progresivo de longitud desde la zona 3 hasta la zona 1 sugiere que la proporción de individuos juveniles es mayor en la zona más cercana al nivel más bajo de la marea. Este tipo de segregación en el cual los bivalvos más pequeños tienden a distribuirse a mayor profundidad también se ha reportado en Tivela mactroides (Prieto, 1983) y en Cardiumedule (Stephen, 1953), señalándose que se debe a la acción dinámica del oleaje que tendría mayor poder de arrastre sobrelos juveniles, los cuales son transportados hacía áreas más profundas. En otras especies como Mya arenaria (Turner, 1952) y Mesodesma mactroides (Olivier et al., 1971) se ha observado una situación inversa en el cual los juveniles son segregados a canales de baja profundidad.
Las observaciones de campo indican que A. de florata posee una escasa movilidad en el área debido a las características del sustrato (grava, piedras) y la profundidad a la cual se entierran (10 a 15 cm), que si bien les protege contra depredadores (gasterópodos y crustáceos), les impide emerger hacia la superficie. Las investigaciones de Stanley (1970) y Berg y Alatalo (1985) en las Bahamas indican que los movimientos de las poblaciones de A. de florata, sólo se deben a las alteraciones del hábitat producidas por las mareas, oleajes o movimientos catastróficos de largo término que pueden inclusive eliminar poblaciones enteras por sofocación o inanición. Esta condición muestra la característica de poca movilidad de la especie.
Los resultados de dispersión espacial concuerdan con los reportados en el bivalvo T. mactroides en Playa Guiria, Carúpano, Venezuela (Prieto, 1983) y es característico de bivalvos que habitan en la zona intermareal como Mesodesma mactroides de Mar Azul, Argentina (Olivier et al., 1971) y Anomalocardiabrasiliama en playas de Ubatuba, Brasil, en los cuales la tendencia a formar grupos no guarda relación con la inclinación de la playa ni con la granulometría del sedimento (Shaffer, 1978).
Tanto la densidad como la biomasa promedio de A. de florata observada en esta zona fue inferior a la registrada para la misma especie en las Islas Bahamas (Berg y Alatalo, 1985) que reportan una densidad media de 35 individuos por 0,25 m2. Sin embargo, son superiores a la informada para una población de la misma especie en Turpialito, Golfo de Cariaco donde se registró 34 ind/m2 (Marín, 1982) y la informada para el venérido Chione cancellata en áreas someras del Golfo de Cariaco (Prieto et al., 1998). En otras especies de bivalvos que habitan en playas de alta energía en el norte del estado Sucre y del estado Nueva Esparta como Tivela mactroides (Prieto et al., 1983; Mendoza y Marcano, 2000) y Donax denticulatus (Vélez et al., 1985) se han informado densidades mucho más altas. La baja densidad observada en comparación con la reportada por Berg y Alatalo (1985) puede ser explicada por la intensa extracción de que es objeto la especie por habitantes de las zonas vecinas quienes señalan que diariamente pueden extraer hasta un total de 500 almejas en unas 2 h de trabajo manual (Marcano J, observación personal).
Las relaciones entre los parámetros morfométricos (Lt, Al, An) fueron lineales y altamente significativas resultando ser muy semejantes a las informadas por Berg y Alatalo (1985) y Stanley (1970), aunque estos últimos autores utilizaron como variable dependiente a la longitud que fue entre 1,6 y 1,7 veces la altura de la concha.
La dispersión en parches discontinuos coincide con las reportadas por Berg y Alatalo (1985), en los cayos de la Isla Berry (Las Bahamas) quienes reportan además que A. de florata se alimenta sólo durante cortos períodos de sumergimiento que tienen lugar con la marea alta.
Se encontró una asociación negativa de la variabilidad de salinidad con la variación mensual del promedio del factor de condición y la masa de la carne, la cual puede ser generada por la variación que presenta este parámetro debido tanto a las descargas estaciónales del río Orinoco como a los aportes de agua dulce de los riachuelos que desembocan cerca del área durante la estación de lluvias. No obstante, las temperaturas fueron siempre elevadas y no muestran una asociación significativa con los parámetros de condición. Esto sugiere poca influencia de la temperatura en la condición fisiológica de la especie ya la vez una alta resistencia a las elevadas temperaturas registradas en el área de estudio (27 a 35°C). Son necesarios estudios de respuestas fisiológicas en el organismo con un intervalo de temperatura para verificar esta hipótesis planteda.
Debido a la abundancia del recurso y a la explotación artesanal de que es objeto, se recomienda continuar con los estudios biológicos y de evaluación de la especie para profundizar el conocimiento del ciclo de vida, lo cual permitiría establecer medidas regulatorias que mejoren la explotación sustentable del recurso en las diferentes zonas de la península de Paria, estado Sucre.
LITERATURA CITADA
1. Abbott R. T. 1974. American Sea Shells. Van Nostrand Reinhold Company, New York. EEUU. [ Links ]
2. Berg C.J. y P. Alatalo. 1985. Biology of the tropical bivalve Asaphis defl orata (Linné, 1758). Bull. Mar. Sci., 37: 827-838. [ Links ]
3. Bliss C. y R.A. Fisher 1953. Fitting the negative binominal distribution to binomial distribution to biological data. Biometrics, 9: 175- 200. [ Links ]
4. Cernohorsky W.O. 1972. Marine Shells of the Pacifi c. Vol. 2. Pacifi c Publications. Sydney, Australia. [ Links ]
5. Domaneschi O. y E. Shea. 2004. Shell morphometry of Western Atlantic and Indo -West Pacifi c Asaphis defl orata. Funtional morphology and ecological aspects of A. defl orata from Florida Keys, USA. (Bivalvia: Psammobidae). Malacología, 46(2): 249-275. [ Links ]
6. Gines H. 1972. Carta Pesquera de Venezuela. Fundación La Salle de Ciencias Naturales. Monografía 16. Caracas, Venezuela. [ Links ]
7. Lodeiros C., B. Marín y A. Prieto. 1999. Catálogo de moluscos marinos de las costas nororientales de Venezuela: Clase Bivalvia. Fundación Audubon, Caracas. Venezuela. [ Links ]
8. Marín A. 1982. Crecimiento y producción en una población natural de la almeja, Asaphis defl orata (Eulamellibranchia: Sanguinolaridae). Trabajo de Grado, Lic. en Biología, Universidad de Oriente. Cumaná, Venezuela [ Links ]
9. Mendoza J y J. Marcano. 2000. Abundancia y Evaluación del guacuco Tivela mactroides en la Ensenada La Guardia. Isla de Margarita, Venezuela. Bol. Inst. Oceanogr., 39(182): 79-91. [ Links ]
10. Prashad B. 1932. The Lamellibranchia of the Siboga Expedition. Systematic Part.II. Pelecypoda (Exclusive of the Pectinidae). Siboga Expedition Reports. Monograph 53:1-353. [ Links ]
11. Prieto A. 1983. Ecología de Tivela mactroides (Mollusca, Bivalvia) en Playa Guiria (Sucre, Venezuela). Bol. Inst. Oceanogr., 22(1-2): 7-19. [ Links ]
12. Prieto A., C. Ramos y D. Arrieche. 1998. Producción secundaria de una población de Chione cancellata (Bivalvia: Veneridae) de la costa sur del golfo de Cariaco Venezuela. Rev. Biol. Trop., 46(4): 913 - 919 [ Links ]
13. Prieto A., Nuñez P. y C. Lodeiros. 2005. Evaluación de bancos de moluscos. Informe Técnico. Línea Base Ambiental Proyecto Mariscal Sucre. Análisis Espacial y Temporal de Pesquerías Costa Norte y Sur de Paria UDO-PDVSA. Cumaná, Venezuela. [ Links ]
14. Princz D. 1973. Moluscos gasterópodos y pelecipodos del estado Nueva Esparta, Venezuela. Mem. Soc. Cien. Nat. La Salle, 33(96): 169 - 222. [ Links ]
15. Purchon R.D. 1960. The stomach in the Eulamellibranchia, stomach type IV and V. Proc. Zool. Soc. Lond., 135: 431- 489. [ Links ]
16. Rabinovich J. 1980. Introducción a la Ecología de Poblaciones Animales. Editorial Continental. México. [ Links ]
17. Shaffer N.Y. 1978. Analise populacional de Anomalocardia brasiliana (Gmelin 1971) na praia do Saco da Ribeira. Ubatuba, Estado de Sao Paulo. Resumen V Simposio LatinoamericanoOceanografía Biológica. Sao Paulo, Brazil, p. 141. [ Links ]
18. Stanley S.M. 1970. Relation on shell form to life habits of the bivalvia (Mollusca). Geol. Soc. Amer. Mem., 125: 1- 296. [ Links ]
19. Stephen A.C. 1953. Life on some sandy shores: En Essays in Marine Biology. The Richard ElmhirstMemorial Lectures. pp. 50-72. [ Links ]
20. Turner H.J. 1952. Raccon Island set. Fifth Report in investigation on the shell fi sheries of Massachussets. Mass. Dpt. Conservation. p.30-32. [ Links ]
21. Vélez A., B. Venables, L. y L. Fitzpatrick 1985. Growth and reproduction of the tropical beach clam Donax denticulatus (Tellinidae) in eastern Venezuela. Caribb. J. Sci., 21: 125-136. [ Links ]
22. White K.M. 1942. The pericardial cavity and the pericardial gland of the Lamellibranchia. Proc. Malacol. Soc. Lond., 25: 37-88. [ Links ]
23. Willan R.C. 1993. Taxonomic revision of the family Psammobidae (Bivalvia: Tellinoidea) in the Australian and New Zealand region. Record Aust. Mus. Sup., 18: 1-132. [ Links ]
24. Work R.C. 1969. Systematic, ecology and distribution of the mollusks of Los Roques Venezuela. Bull. Mar. Sci., 19:614-711. [ Links ]
25. Zar J. H. 1984. Biostatistical Analysis. 2da ed. Prentice- Hall, New Jersey. EEUU. [ Links ]

















