Servicios Personalizados
Revista
Articulo
Indicadores
-
Citado por SciELO -
Accesos
Links relacionados
-
Similares en
SciELO
Compartir
Zootecnia Tropical
versión impresa ISSN 0798-7269
Zootecnia Trop. vol.29 no.4 Maracay dic. 2011
Aspectos biométricos de Hemirhamphus brasiliensis (Peces:Hemirhamphidae), Isla de Cubagua, Venezuela
Yelipza Longart R 1*,Vanessa Acosta 1 , Berta Parra 2 y Maria Lista 1
1 Universidad de Oriente, Escuela de Ciencias, Departamento de Biología, Cumaná, Sucre, Venezuela. *Correo electrónico: vanessaacosta@yahoo.com
2 Instituto Oceanográfi co de Venezuela, Departamento de Biología Pesquera. Aptdo. 245; Cumaná, estado Sucre, Venezuela.
RESUMEN
Se examinaron un total de 504 ejemplares de Hemirhamphus brasiliensis, los cuales fueron colectados mensualmente desde marzo de 2002 a marzo de 2003 de los alrededores de la isla de Cubagua. A dichos organismos se les evaluó la composición por talla, caracteres morfométricos, crecimiento relativo, relación longitudpeso y factor de condición relativo. Los organismos estudiados fueron adultos en su mayoría constituidos por 333 hembras (66,08%), 99 machos (19,64%) y 72 organismos indeterminados (14,2%). La longitud estándar promedio para las hembras fue de 281,88 mm, en un rango de 216 a 330 mm, para los machos osciló entre 217 y 330 mm, con promedio de 277,91 mm, mientras que para los juveniles o de sexo indeterminado varió de 206 a 320 mm, con un promedio de 247,82 mm, siendo las tallas más frecuentes las constituidas por 257 y 313 mm de longitud. Las relaciones entre la longitud estándar y los caracteres morfométricos estudiados indican que las diferentes partes del cuerpo presentan un crecimiento alométrico minorante. No se encontraron diferencias signifi cativas para las pendientes entre hembras, machos e indeterminados. El análisis de la relación longitudpeso arrojó una relación positiva, altamente signifi cativa, entre ambas variables, presentando un crecimiento alométrico minorante. Los valores del factor de condición relativo promedio fueron iguales o cercanos a 1, lo que refl eja la buena condición fi siológica del pez en el área estudiada.
Palabras clave: Biometría, Hemirhamphus, talla- peso, Cubagua.
Biometric aspect of Hemirhamphus brasiliensis (Pisces:Hemirhamphidae) Cubagua island, Venezuela
ABSTRACT
We examined a total of 504 specimens of Hemirhamphus brasiliensis, which were collected monthly from march 2002 to march 2003 around the island of Cubagua. In these organisms were evaluated size composition, morphometric and relative growth, length-weight relationship and relative condition factor. The organisms studied were adults, mostly consisting of 333 females (66.08%), 99 males (19.64%) and 72 indeterminate organisms (14.2%). The average standard length for females was 281.88 mm with variation between 216 and 330 mm for males ranged between 217 and 330 mm with an average of 277.91 mm, while for juveniles or undetermined sex ranged from 206 to 320 mm with an average of 247.82 mm, being the most common sizes of 257 and consist of 313 mm of Lst. The relationship between standard length and morphometric studies indicate that different parts of the body have minorante allometric growth. No signifi cant differences were found for the slopes between females, males and indeterminate. The analysis of length-weight relationship showed a highly signifi cant positive relationship between both variables, a growth minorant alometric. Mean Kn values were equal or close to 1, refl ecting the good physiological condition of fi sh in the study area.
Keywords: Biometrics, Hemirhamphus, length-weight, Cubagua.
Recibido: 13/09/11 Aceptado: 13/03/12
INTRODUCCIÓN
Hemirhamphus brasiliensis, está representada por especies pelágicas de aguas costeras y oceánicas, es conocida comúnmente en Venezuela como marao fósforo. Es un pez perteneciente a la familia Hemirhamphidae, del orden Beloniformes, el cual es un grupo hermano de los exocoetidae (Nelson, 1994). Su distribución abarca el Atlántico, del lado occidental desde el norte de los Estados Unidos hasta Río de Janeiro, incluyendo todo el golfo de México y las Antillas, además existen numerosos representantes en los ríos de Sur América (Bohlke y Chaplin, 1968; Fischer, 1977; Guitart, 1979; Collette et al., 1983; Cervigón, 1991).
En Venezuela es una especie frecuente y a veces muy abundante en la plataforma nororiental. Aunque es una especie comestible, su importancia fundamental radica en su utilización como carnada en la pesca deportiva (Cervigón, 1991; McBride y Thurman, 2003), no obstante, hoy en día constituye una de las especies potenciales para la piscicultura. Las investigaciones referentes a H. brasiliensis están relacionadas con su abundancia en la pesquería industrial, riqueza íctica en lagunas costeras, dispersión de sus huevos sobre objetos fl otantes (Castro et al., 2002), y los estudios más recientes tratan acerca de la biología reproductiva, maduración y frecuencia reproductiva (McBride y Thurman, 2003; Rosas et al., 2008), así como sus hábitos alimenticios (Longart et al., 2011).
Aunque se conocen algunos trabajos en esta especie, hasta ahora es muy poco el conocimiento que se tiene en relación a los aspectos de su biometría. En este sentido, la relación talla-peso puede servir para medir la variación del peso esperado para un pez o grupos de peces para evaluar la biomasa y evaluar stock poblacional (Gulland, 1983; Beyer, 1987; Benedito et al., 1997) y como indicador de las condiciones alimentarias y desarrollo gonadal (Le Cren, 1951; Almeida et al., 1995; Marcano et al., 2002).
Conocer la composición por talla de una población de peces es de suma importancia, ya que permite conocer las diferentes fases biológicas por la que atraviesan y diferenciar los grupos poblacionales de una especie en una pesquería (Holden y Raitt, 1975). Durante su desarrollo, el pez atraviesa varios estadios o fases de crecimiento, cada una de ellas puede estar caracterizada por una determinada relación longitud peso, la cual permite determinar el peso promedio a partir de una talla dada.
El marao fósforo, es una especie de interés comercial y es explotada, artesanalmente, en la región oriental de Venezuela. Sin embargo, hasta ahora se desconocen aspectos importantes de su biología. En razón de ello, se creyó conveniente la realización del presente trabajo, tendiente a incrementar el conocimiento de los aspectos biológicos (biometría) que en un futuro pudieran servir de base para abordar aspectos relacionados con la pesquería de la misma. En este trabajo, se dan a conocer algunos aspectos biométricos y factor de condición de esta especie con la fi nalidad de contribuir a su conocimiento, manejo y conservación, aspectos hasta ahora no evaluados para la especie en la región.
MATERIALES Y MÉTODOS
Las muestras se tomaron de los alrededores de la Isla de Cubagua, la cual posee una superfi cie de 22,4 Km2 y un perímetro de 25 Km. Es una zona muy árida y de vegetación escasa. Está ubicada, geográfi camente, entre 10º 47´ y 10º 51´ latitud N y 61º 8´ y 64º14´ longitud O, se encuentra al Sur de la Isla de Margarita. Se establecieron cinco estaciones: las minas, charagato, chucuruco, las ruinas y punta arenas. En total se analizaron 504 ejemplares de Hemirhamphus brasiliensis, los cuales fueron colectados mensualmente desde marzo de 2002 hasta marzo del 2003, mediante salidas realizadas en un bote peñero, utilizando como arte de pesca una red o chinchorro de playa de 80 m de largo por 8 m de alto, con malla de ¼ de pulgada y nylon No. 12, con técnica de arrastre hacia la playa. Las muestras obtenidas se conservaron en frío (cavas con hielo) en bolsas plásticas, y fueron trasladadas al laboratorio para su posterior análisis.
Mensualmente a cada ejemplar se le fi jaron los siguientes caracteres morfométricos: longitud estándar (Lst), altura del cuerpo (Alt), ancho del cuerpo (Anc), longitud predorsal (Lpd), longitud de la cabeza (Lc), longitud del rostro (Lr), longitud postorbital (Lpo), longitud de la órbita (Lo), longitud pre pectoral (Lprep), utilizando un ictiómetro de 1 mm de apreciación y un vernier digital de 0,01 mm de apreciación. El peso total del espécimen se determinó con una balanza de 0,1 g de precisión.
Los aspectos biométricos de la especie fueron analizados en función a la composición por talla y peso, relacion talla-peso y factor de condicion de los ejemplares. Para tal fi n, se establecieron los intervalos de clases de tallas y seguidamente se procedio a realizar los analisis a traves de la construccion de histogramas de frecuencia de acuerdo al criterio de Sturges (1962).
Para medir el crecimiento relativo, se relaciono la longitud estandar con los otros parametros morfometricos mediante la ecuacion de alometria: Y= a X b donde: X= longitud total (mm), Y = cada una de las variable, a y b = constantes. El valor de b (pendiente de la recta) se comparo con b =1 mediante una prueba de t- student (Sokal y Rohlf, 1981). La relacion Longitud. Peso, se determino siguiendo el metodo de analisis de regresion lineal. Las dos variables fueron relacionadas a traves de la formula alometrica defi nida por Huxley (1932), cuya expresion es: P =a Lb donde: P = peso del cuerpo (g.), L= longitud total (mm), a y b = constantes. El valor de b fue comparado a traves de un t- student (Sokal y Rohlf, 1981), basado en la ley fi siologica de alometria (b = 3), donde se considera que el peso varia en funcion de la longitud a la potencia cubica (L3 ) (Ricker, 1973).
El factor de condicion relativo (Kn) se determino mensualmente y por grupos de tallas a traves de la siguiente ecuacion, segun Le Cren (1951). kn= p/p* Donde: P = peso del cuerpo (g), . P = peso calculado por regresion de la ecuacion talla-peso previamente determinada. A los resultados obtenidos del Kn por mes se les aplico un analisis de varianza de una via (Sokal y Rohlf, 1981) y una prueba, a posteriori, de Duncan (Steel y Torrie, 1985), para detectar las posibles variaciones entre ellos.
RESULTADOS Y DISCUSION
Los organismos estudiados presentaron longitudes comprendidas entre 206 y 335 mm, de Lst y entre 38,49 y 187,15 g de peso. La muestra poblacional total estuvo representada por 333 hembras (66,08 %), 99 machos (19,64 %) y 72 (14,28 %) juveniles e indeterminados, se consideraron juveniles los organismos de tallas comprendidas entre 206 y 251 mm de Lst, aproximadamente, e indeterminados a los organismos que aunque presentan tallas superiores a esta, no se pudo identifi car el sexo (Cuadro 1).
Cuadro 1. Resumen de la longitud estandar.peso por sexo en H. brasiliensis de la Isla de Cubagua.

La longitud estandar promedio (desde el inicio de la mandibula superior hasta el complejo hipural) fue de 278,17 mm, observandose para las hembras una longitud estandar promedio de 281,88 mm, la cual oscilo entre 216 y 335 mm. Para los machos, la Lst estuvo entre 217 y 330 mm, con promedio de 277,91 mm, mientras que para los indeterminados vario de 206 a 320 mm, con un promedio de 247,82 mm (Cuadro 1). El t-student mostro que existe diferencia, altamente, signifi cativa en relacion con la talla (ts = 8,46***, P<0,01), siendo las hembras de mayor tamano.
Al estudiar la composicion por tallas de la poblacion, se puede observar la presencia de organismos de tallas superiores, predominando las tallas entre 262 a 318 mm de longitud estandar constituyendo el 80% de la muestra analizada. En las hembras, se aprecia un predominio en el rango de tallas de 256 a 313 mm, de Lst, representando, aproximadamente, el 80% de la muestra, es decir que la mayoria de las hembras fueron adultas, la hembra de menor tamano presentaron una talla de 216 mm. En los machos el mayor numero de organismos, estuvo comprendido entre las tallas 255 a 312 mm, signifi cando un 88% de la muestra, con el menor ejemplar de 217 mm, de Lst, la población de machos capturada fue menor en relación con las hembras. El mayor número de indeterminados estuvo comprendido con tallas entre 217 a 275 mm, lo que simboliza, aproximadamente, el 79% de la muestra con el menor ejemplar de 206 mm ,de Lst; es importante señalar que fue el grupo menos representado (72) en cuanto a número de organismos (Figura 1).
Figura 1. Estructura de tallas en ejemplares hembras (a), machos (b) e indeterminados (c) de H. brasiliensis de la Isla de Cubagua.
Csirke y Gumy (1996), señalan que según los regímenes de pesca que se adopten para la explotación de un recurso, una población puede sufrir cambios en la estructura de edades o tamaño de los individuos, en su tasa de crecimiento y en su capacidad reproductiva. Señalan además, que uno de los cambios más notables es la reducción de la talla promedio de los peces en la población, producto de una disminución de la proporción de peces viejos. De acuerdo a los resultados obtenidos en este estudio se podría sugerir que la población se mantiene estable.
La presencia de ejemplares de tallas pequeñas de H. brasiliensis observada en la distribución mensual, estaría indicando que entre esas tallas, posiblemente, ocurre el reclutamiento de la especie, sin embargo, no se aprecia un período defi nido de reclutamiento para H. brasiliensis en el área de estudio. En este sentido, se sugiere realizar estudios sobre dinámica poblacional, con el objeto de inferir sobre un aspecto tan importante, como lo es el reclutamiento.
Al analizar las muestras por meses se observa que de marzo a diciembre de 2002 prevalecieron organismos con tallas mayores de 240 mm de Lst, mientras que, entre enero y marzo de 2003, se evidenció el mayor número de ejemplares con un amplio rango representativo de tallas que oscilaron desde 206 hasta 330 mm de Lst (Figura 2).
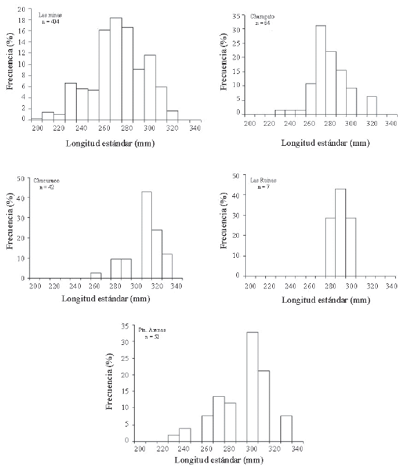
En cuanto a la muestra poblacional por estación se observó, un mayor número de ejemplares en la estación Las Minas (404) con tallas comprendidas entre 206 y 325 con predominio entre los 260 y 310 mm de Lst, esta variabilidad en las tallas de los ejemplares podría estar asociada a las características de esta zona, la misma presenta un suelo arenosorocoso, ambiente que por lo general tiende a ser utilizado, comúnmente, por la especie como refugio de predadores, para la obtención de alimento y/o para desoves. Otro factor que puede infl uir de manera positiva, es la surgencia costera, que se da con regularidad en la región, causando un notable incremento de la productividad primaria, debido a los nutrientes que aporta el afl oramiento de aguas profundas (Griffi ths y Simpson, 1972; FerrazReyes, 1987), gracias a este fenómeno natural, la isla de Cubagua tiene importancia pesquera y aporta un volumen signifi cante de recursos en la pesca artesanal del oriente de Venezuela, que en ocasiones alcanzan capturas entre 50 y 60 toneladas por lance, atribuido a la alta productividad de las aguas.
En las demás estaciones el número de organismos capturados fue menor, predominando tallas entre 270300 mm de Lst (Charagato), 310340 mm de Lst (Chucuruco), 300-320 mm Lst (Pta. Arenas), 280-310 mm Lst (Las Ruinas) con el menor número de organismos (Figura 3). Las diferencias podrían derivarse por la falta de alimento, tomando en consideración que este organismo es omnívoro. Asimismo, la zona de Punta Arena es mucho más despejada y abierta, donde el oleaje es más fuerte y donde existe la carencia de Thalassia y falta de refugio.
Figura 3. Estructura de tallas de H. brasiliensis en cada una de las estaciones en la Isla de Cubagua.
En líneas generales, las tallas registradas en este estudio, fueron similares a las citadas por Cervigón (1991), para esta especie en la región nororiental y archipiélago de Los Roques donde se reportaron organismos de 210 a 364 mm de Lst, lo que sugiere que aún después de 10 años, la población se ha mantenido sin cambios signifi cativos, sugiriendo que la población aún no está sometida a una presión pesquera en la zona. Sin embargo, Schneider (1990), en el Golfo de Guinea, encontró tallas hasta 550 mm de longitud total, tales diferencias se deben, probablemente, a las áreas de muestreo, en donde existen variaciones de las condiciones ambientales, disponibilidad de alimento y otros factores infl uyentes en la talla de las especies.
Es por ello, que se puede inferir, que en la población de H. brasiliensis de los alrededores de la Isla de Cubagua se produce una entrada y salida de organismos, principalmente, durante los primeros meses del año, cuando se observa la presencia de organismos de tallas pequeñas (juveniles), así como gran cantidad de organismos de tallas mayores (adultos), lo que indica que la población puede estar renovándose constantemente y sugiere la presencia de varios desoves a lo largo del año. Es de hacer notar la presencia de organismos a los que no se pudo determinar el sexo que en lugar de juveniles se le da la asignación de indeterminados, debido a que alcanzaron tallas que se sobreponen con los adultos y a veces hasta mayores que la talla de primera madurez sexual, lo que signifi ca, posiblemente, sean organismos en proceso de recuperación.
La presencia de ejemplares de tallas juveniles durante todo el período analizado, pudiera asociarse a una renovación continua de la población que permite la consecuente incorporación de juveniles. Esto coincide con lo reportado por McBride y Thurman, 2003 quienes determinaron en un estudio sobre la reproducción de H. brasiliensis, que esta especie se procrea en diferentes épocas del año, no obstante muestra la presencia de dos picos de desoves (reproducción bimodal), que en general, este resultado, se ha observado en muchas especies tropicales.
H. brasiliensis, presenta un crecimiento alométrico minorante b < 1 para cada una de las estructuras corporales. Sin embargo, en cuanto al ancho para indeterminados se observa una relación alométrica mayorante b > 1. Al comparar las pendientes b de hembras-machos, hembras-indeterminados y machosindeterminados se encontró que no existen diferencias signifi cativas, excepto en la relación Lst-Anc para hembras-indeterminados (altamente signifi cante) y para machos-indeterminados (signifi cante), tal como se especifi ca en la Cuadro 2. La especie presenta un crecimiento uniforme en sus estructuras corporales, es decir todas las estructuras crecen a un mismo ritmo de manera homogénea o lo que podemos denominar un crecimiento sincronizado armónicamente, pero el crecimiento en longitud prevalece sobre el crecimiento de las demás variables estudiadas, esto se mantiene uniforme entre sexos y, probablemente, a lo largo del tiempo. El b>1 para machos e indeterminados (Anc, Lpd) se puede explicar, por la gran cantidad de organismos con tallas, relativamente, grandes ubicados en esta denominación, que contribuyen a que se produzca una pequeña variación o error en cuanto a los resultados obtenidos para el crecimiento de ciertas estructuras.
Cuadro 2. Resumen estadístico de las diferentes relaciones de crecimiento relativo del marao fósforo H. brasiliensis de la Isla de Cubagua, Venezuela, desde marzo-02 a marzo03.

N: tamaño de la muestra; a: intercepto; b: pendiente; X: promedio de la longitud estándar; Y: media del carácter morfométrico respectivo; r2: coefi ciente de determinación; Tb1: t-student para cada b, Tb2: comparación de los b entre hembras-machos, hembras-indeterminados y machosindeterminados
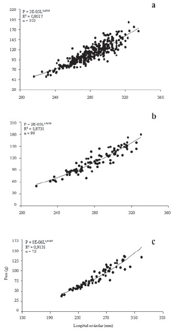
Con respecto a la relación LongitudPeso, existe una relación positiva altamente signifi cativa entre ambas variables para hembras, machos e indeterminados (r2 = 0,80; 0,87; 0,91, P<0,001 respectivamente), como se muestra en la fi gura 4. La constante de regresión b, resultó menor de tres (b = 2,6525 (H); 2,7679 (M) y 2,9167 (I)), lo que indica un crecimiento alométrico minorante, es decir que el crecimiento es mayor en longitud que en peso. La prueba de Fischer para la comparación de las pendientes, determinó que existen diferencias, altamente signifi cativas, entre hembras, machos y juveniles (Fs= 24, 76 ***). Obteniéndose las siguientes ecuaciones: 1.- P = 0,00003 *Lst 2,6525 (H), 2.- P= 0,00002 *Lst2,7679 (M), 3.- P= 0,000008*Lst 2,9167 (I).
H. brasiliensis, presenta una diferencia, con una signifi cación importanate, entre sexos lo que explica ciertas variaciones en cuanto a la talla; en los organismos indeterminados se observa una mayor tasa de crecimiento en peso en relación con los otros dos sexos, ya que estos están en proceso de desarrollo o bien de recuperación, por lo que se infi ere que podrían estar consumiendo mayor cantidad de alimento.
Figura 4. Relación longitudpeso de ejemplares hembras (a), machos (b) e indeterminados (c) del marao fósforo H. brasiliensis de la Isla de Cubagua.
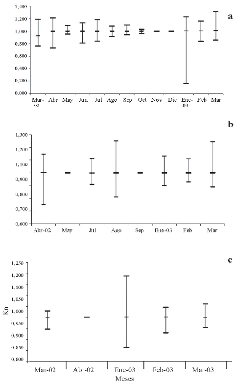
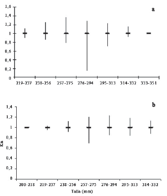
El factor de condición fisiológico (Kn), fue analizado, mensualmente, entre juveniles y adultos y entre sexos por estación y por mes; no encontrándose diferencias estadísticas entre ellos: Fs = 0,31 para machos por estación y 0,03 por meses; para las hembras Fs= 1,49 por estación y 0,79 por meses y un Fs = 0,001 por estación y 0,003 por meses para los ejemplares indeterminados (Figura. 5 y 6). Igualmente, no se encontraron diferencias del valor de Kn por grupos de tallas en los organismos (Figura 7).
Figura 5. Variación mensual de los Kn promedios y errores estándar de ejemplares hembras (a), machos (b) e indeterminados (c) del marao fósforo, H .brasiliensis de la Isla de Cubagua.
Figura 6. Variación, según la estación del Kn promedio y errores estándar, de ejemplares machos (a), hembras (b) e indeterminado (c) del marao fósforo, H. brasiliensis de la Isla de Cubagua.
Figura 7. Variación del Kn promedio y errores estándar, por grupos de tallas de ejemplares hembras (a) y machos (b) del marao fósforo H. brasiliensis de la Isla de Cubagua.
El valor mínimo promedio del factor de condición fisiológico mensual para las hembras (0,923) se presentó en marzo-02 y el máximo (1,012) en marzo-03. Para los machos el valor mínimo (0,999) en julio-02 y el mayor de 1,002 en abril-02. Los organismos indeterminados mantuvieron un Kn =1,000 durante todos los meses de estudio (Figura 6). Wosnitza y Dávila (1978), señalan que la naturaleza del valor en el factor de condición fi siológico no es constante en un individuo, una especie o una población, sino que presenta un amplio rango de variación en función a las condiciones ambientales particulares, y por ello, se puede esperar cambios con la edad, talla, sexo, época de desove. Particularmente, H. brasiliensis de la Isla de Cubagua presentó un Kn con valores mayores o cercanos a 1, en todos los meses estudiados y en todas las estaciones, lo que indica que la especie mostró una buena condición fisiológica y bienestar somático, además indica que la zona de estudio presenta condiciones favorables para el desarrollo y permanencia de esta especie en la zona, como disponibilidad de alimento y nutrientes sufi cientes para el buen desarrollo del organismo, ya que esta especie está genética y ecológicamente bien adaptada a las fl uctuaciones imperantes en la Isla de Cubagua.
El factor de condición fi siológico (Kn) en peces, varía de acuerdo con las infl uencias de los factores fi siológicos y ambientales, siendo conocidas Figura 4. Relación longitudpeso de ejemplares hembras (a), machos (b) e indeterminados (c) del marao fósforo H. brasiliensis de la Isla de Cubagua. sus fl uctuaciones durante un ciclo reproductivo, particularmente en ejemplares adultos (Bagenal, 1957). Este factor se interpreta como indicación relativa del bienestar del pez y su comportamiento durante el proceso reproductivo, y se utiliza para tener una idea de la conveniencia del ambiente, o para la comparación entre peces de zona geográfi cas distintas (Rounsefell y Everhard, 1962; Almeida et al., 1995; Vazzoler, 1996; Anibeze, 2000.
La relación existente entre la talla y el Kn presentó un comportamiento similar al observado entre este y los estadios de madurez, observándose que el Kn aumenta con la talla del ejemplar, ello obedece, a que la talla promedio de los ejemplares en esos estadios resultó ser muy inferior a la talla promedio general (241 mm) de la especie, además de que el número de ejemplares encontrado en dichos estadios fue relativamente bajo (Cervigón, 1991). En los machos se aprecia una relación más clara entre el aumento del factor de condición, la madurez gonadal y la talla de los ejemplares. En este sentido, León (1982) señaló, que los factores que determinan la condición de los peces pueden ser: genéticos, calidad de alimentación, hábitos alimenticios, estado sanitario, etapas de desove y talla por edad. Por otra parte, Vazzoler y Braga (1983) y Vazzoler (1996), señalaron que el factor de condición (Kn) está, íntimamente, relacionado con el ciclo reproductivo de los peces, siendo su variación explicada por la intensa actividad de las gónadas. Generalmente el factor de condición tiende a ser mínimo durante la época de desove, debido a la cantidad de energía gastada en el acto que precede a esta función fi siológica, y que es liberada en forma de óvulos (Htun-Han 1978; Braga, 1986). Posteriormente, aumenta gradualmente a medida que se van normalizando las funciones metabólicas después de la postura (Joakimsson y Hempel, 1974).
Las diferencias en el factor de condición han sido interpretadas como medidas de varios caracteres biológicos, tales como almacenamiento de grasa, conveniencia del medio ambiente, salud de un individuo o desarrollo gonadal (Le Cren, 1951). Los valores bajos coinciden con la época de desove y presencia de individuos de tallas grandes, mientras que los valores altos concuerdan con el reclutamiento de los individuos juveniles y subsiguiente maduración de la población.
CONCLUSIONES
H. brasiliensis, de la Isla de Cubagua presentó una longitud estándar promedio de 278,170 mm, con variación entre 206 y 335 mm y un peso promedio de 107,65 g comprendido entre 38,48 y 187,15 g.
Esta especie, mostró una excelente condición fi siológica (Kn) durante todo el período de estudio, con un valor promedio anual superior a 1,0 para ambos sexos.
El factor de condición fisiológica (Kn), aumenta con la talla y con los estadios de madurez del ejemplar. La población de H. brasiliensis en las estaciones muestreadas en la Isla de Cubagua presenta una renovación constante de los organismos, lo que se evidencia por la presencia de cuerpos dentro de un rango representativo de tallas (juveniles- adultos).
Presenta un crecimiento alométrico minorante para cada una de las estructuras corporales excepto en la relación Lst-Anc para indeterminados, es decir presenta un crecimiento uniforme, donde prevalece el crecimiento de la longitud estándar sobre el crecimiento de las demás variables estudiadas.
Al estudiar la relación longitud-peso se observa un crecimiento alométrico minorante para todos los sexos lo que sugiere que el crecimiento es mayor en longitud que en peso.
LITERATURA CITADA
1. Almeida, F., D. lhartley and J. Burnett. 1995. Length weigth relationship and sexual maturity of goosefi sh of the Northeast coast of the united States. N. Am. J. Fish. Manage. 15: 14 25. [ Links ]
2. Anibeze, P. 2000. Length-weight relationship and relative condition of Heterobranchus longifi lis (Valenciennes) from Idodo River, Nigeria. Naga. ICLARM Q. 23(2): 34-35. [ Links ]
3. Bagenal, T. 1957. The breeding and fecundity of the long rough DOB, Hippoglossoides platessa (fabr) and the associated cycle in condition. J. Mar. Biol. Ass., 36: 339 375. [ Links ]
4. Benedito-Cecilio, E. A. Agostino and R. Carnelos- Machado Velho. 1997. Length - weigth relationship of fi shes caught in the Itaipu Reservoir, Parana, Brazil. Naga, ICLARM. 20(3/4): 57 - 61. [ Links ]
5. Beyer, J. 1987. On length weigth relationship . Part I. Computing the mean weigths of the fi sh of a given length class. Fishbyte ICLARM Q, 5(1): 11 13. [ Links ]
6. Bohlke, J. and C. Chaplin, 1968. Fishes of the Bahamas and adjacent tropical water. Acad. Nat. Sci. Phil. 728 p. [ Links ]
7. Braga F. de S. 1986. Estudo entre fator de condicao e relacao peso/comprimento para algunos peixes marihos. Rev. Brasil. Biol., 46 (2): 339-346. [ Links ]
8. Castro, J., J. Santiago and L. Santana-Ortega. 2002. A general theory on fi sh aggregation to fl oating objects: analternative to the meeting point hypothesis. Rev. Fish Biol. Fisheries 11: 255-277. [ Links ]
9. Cervigón, F. 1991. Los peces marinos de Venezuela. Vol. I. Fundación Científi ca Los Roques, Caracas (Venezuela). 425 p. [ Links ]
10. Csirke, J. y A. Gumy. 1996. Análisis bioeconómico de la pesquería pelágica peruana dedicada a la producción de harina y aceite de pescado. Bol. Inst. Mar Perú, Callao, 15(2): 25-68. [ Links ]
11. Ferráz-Reyes, E. 1987. Productividad primaria del Golfo de Cariaco Venezuela. Bol. Inst. Oceanogr. Venezuela. 26: 97 110. [ Links ]
12. Fischer, A. 1977. F.A.O. Species identifi cation sheets for fi shery purposes. Western Central Atlantic (Fishery área 31). Vol. II. Rome. 459 p. [ Links ]
13. Griffiths, R. C y J. G. Simpson. 1972. Afl oramiento y otras características oceanográfi cas de las aguas costeras del noreste de Venezuela. Serie recursos y explotación pesquera. MAC/ P.N.U.O/ F.A.O. 2: 1-72. [ Links ]
14. Guitart, D. 1979. Sinopsis de los peces marinos de Cuba. Ed. Científi ca Técnica. Tomo I. 454 p. [ Links ]
15. Gulland, J. 1983. Fish stock assessment: a manual of basic methods. V. 1(series on Food and Agriculture). F.A.O/ Wiley and Sons, New York. 223 p. [ Links ]
16. Holden, M y D. Raitt. 1975. Métodos para investigar los recursos pesqueros y su aplicación. Manual de Ciencia Pesquera Parte 2. Documento Técnico. F.A.O., Pesca (115) Roma. 211p. [ Links ]
17. Htun-Han M. 1978. The reproductive biology of the dab, Limanda limanda (L) in the North Sea: gonosomatic index and condition factor. J. Fish. Biol., 13:365-378. [ Links ]
18. Huxley, J. S. 1932. Problems of relative growth. Methuen and Co., London. 312 pp. [ Links ]
19. Joakimsson G. and G. Hempel. 1974. Herring growth, larval biology and stock separations. Reun. Cons. Perm. Int. Explor. Mer. 166: 108-113. [ Links ]
20. Le Cren, E. 1951. The length weight relationship and seasonal cycle in gonad weight and condition factor in the perch (Perca fl uviatilis). J. Anim. Ecol., 20 (2): 201 219. [ Links ]
21. León, R. 1982. Introducción al Análisis Bioestadístico. Tomos I y II. Trabajo de Ascenso. Dpto. de Biología, U.D.O. Cumaná, Venezuela, 465 p. [ Links ]
22. Longart, Y., V.Acosta B. Parra y M. Lista. 2011. Hábitos alimenticios del marao fósforo Hemirhamphus brasiliensis de los alrededores de la Isla de Cubagua, Venezuela. Zootecnia Trop., 29(1): 77- 87. [ Links ]
23. Marcano, L., J. Alió y D. Altuve. 2002. Biometría y talla de primera madurez de la tonquincha, Cynosción jamaicensis, de la Costa norte de la península de Paria, estado Sucre, Venezuela. Zootecnia Trop., 20(1): 83 109. [ Links ]
24. Mc bride, R. and P. Thurman. 2003. Reproductive Biology of Hemirhamphus brasiliensis and H. balao (Hemiramphidae): Maduration, Spawning Frecuency and Fecundity. Biol. Bull. 204: 57-67. [ Links ]
25. Nelson, J. 1994. Fishes of the world. 3rd ed. John Willey & Sons, Inc. New york. 600 p. [ Links ]
26. Ricker, W. 1973. Linear regression in fi shery research. J. Fish. Res. Bd Can., 30: 409 434. [ Links ]
27. Rosas, J., E. Mata., A. Velásquez y T. Cabrera. 2008. Desarrollo embrionario-larval del pez tropical Hemirhamphus brasiliensis ( Beloniformes: Hemiramphidae) a partir de huevos recolectados del medio natural. Rev. Biol. Trop. 56(3): 1449- 1458. [ Links ]
28. Rounsefell, G. and W. Everhard. 1962. Fishery Science, its methods and applications. John Wiley and sons, New York, 444 p. [ Links ]
29. Schneider, W. 1990. F.A.O. Species identifi cation sheets for fi shery purposes. Field guide to the commercial marine resources of the Gulf of Guinea. Prepared and published with the support of the F.A.O Regional offi ce for Africa. F. A. O Rome. 268 p. [ Links ]
30. Sokal, R. y F. Rohlf. 1981. Biometría: principios y métodos estadísticos en la investigación biológica. Ed. Blume, Madrid (España). 832 p. [ Links ]
31. Steel, R. y J. Torrie. 1985. Bioestadística: principios y procedimientos. Segunda Edición (Primera en Español). Ed. Mc Graw Hill. México. 622 p. [ Links ]
32. Vazzoler, A. 1996. Biologia da reproduçao da peixes teleosteos: teoria e prática. Maringa: EDUEM. Sao Paulo: SBI. 169 p. [ Links ]
33. Vazzoler, A. e F. Braga. 1983. Contribuçao para o conhecimiento da biologia de Cynoscion jamaicensis (Vaillant y Bocourt, 1883), na area entre cabo de Sao Tomé (22° 04 S) e Torres (29° 21 S), Brasil. Bol. Inst. Oceanogr., 32 (2):105- 107. [ Links ]
34. Wosnitza, C. y F. Dávila. 1978. Manual de dinámica de poblaciones de peces. Universidad Nacional de Trujillo, Perú. 123 p. [ Links ]


















