Serviços Personalizados
Journal
Artigo
Indicadores
-
Citado por SciELO -
Acessos
Links relacionados
-
Similares em
SciELO
Compartilhar
Revista de Investigación
versão impressa ISSN 1010-2914
Revista de Investigación vol.37 no.80 Caracas set. 2013
Modelaje hidrológico de escenarios para eventos de inundaciones en la planicie de desborde del río Patanemo, estado Carabobo, Venezuela
juan Carrera (1)
juan.jmcr14@gmail.com
Williams Méndez (2)
williamsmendez@gmail.com
Larry Rivas (2)
rivaslarry@gmail.com
juan Carrera (1)
juan.jmcr14@gmail.com
Williams Méndez (2)
williamsmendez@gmail.com
Larry Rivas (2)
rivaslarry@gmail.com
(1)Instituto Venezolano de Investigaciones Científicas. Centro de Oceanología y Estudios Antárticos.
(2)Universidad Pedagógica Experimental Libertador.
Instituto Pedagógico de Caracas. Centro de Investigación “Estudios del Medio Físico Venezolano”
RESUMEN
La planicie de desborde del río Patanemo ubicada en el margen costero del estado Carabobo es afectada por inundaciones, por lo que es necesario desarrollar un modelaje hidrológico de escenarios de inundaciones en esta área, para identificar condiciones extremas bajo las cuales estos eventos ocurren. La metodología comprendió el análisis de datos de precipitación y láminas máximas anuales de lluvia, y la estimación de parámetros de respuesta hidrológica mediante el empleo de herramientas informáticas y modelos determinísticos. Los tiempos de concentración de las cuencas estimados son muy cortos, con períodos estacionarios de precipitación bien definidos, y caudales máximos estimados para períodos de retorno entre 2 y 100 años desde 6,6 m 3 /s hasta 475 m 3 /s. La cuenca del río Patanemo presenta condiciones que favorecen la génesis de crecientes en sus afluentes, lo que debe ser considerado al momento de definir planes de ordenación territorial y/o de gestión local del riesgo comunitario.
Palabras clave: Modelaje hidrológico; inundaciones; planicie de desborde; Patanemo; estado Carabobo
Hydrologic modeling of sceneries for flood events in the Patanemo River’s overflow plain, Carabobo state, Venezuela
ABSTRACT
The Patanemo River’s overflow plain located in the coastal margin of the Carabobo State is affected by floods. It is necessary to develop a hydrological modelling of flood scenaries in this area, to identify extreme conditions under which these events occur. The methodology included the analysis of rainfall data and maximum annual sheets of rain, and the estimation of hydrological response’s parameters through out use of informatic tools and deterministic models. The times of concentration of the catchments estimated are very short, with stationary periods of rainfall definite well, and peak discharges estimated for return periods between 2 and 100 years from 6,6 m3/s up to 475 m3/s. The Patanemo River’s catchment presents conditions that favor the genesis of flash-floods in its tributaries, which it must be considered to define territorial management plans and / or of community risk local management.
Key words: Hydrologic modeling; floods; floodplain; Patanemo; Carabobo State.
Recibido en mayo de 2013 y publicado en septiembre 2013.
INTRODUCCIÓN
La planicie aluvial del río Patanemo ha sido escenario recurrente de inundaciones producto del desbordamiento del río que lleva su mismo nombre. Un ejemplo de estos eventos, entre los más recientes de los documentados en el registro histórico de inundaciones de dicha localidad, es el ocurrido el 10 de Marzo de 2010, donde se contabilizaron 16 familias afectadas según datos de la Dirección de Protección Civil del estado Carabobo.
Los impactos más relevantes de las inundaciones en la localidad de Patanemo, cuya población ronda los 3.500 habitantes según datos suministrados por la Alcaldía del Municipio Puerto Cabello (Marzo, 2011), a parte del potencial daño de viviendas y enseres, es la afectación del sector turístico. Según datos obtenidos por el Instituto Nacional de Estadística (INE), para el año 2001, cerca del 72 % de la población dependía de los ingresos provenientes del sector terciario, que engloba las actividades asociadas al comercio, transporte, educación, hotelería, turismo, entre otras, situación que agudiza las secuelas inmediatas a los eventos de inundación, con la desestabilización del sistema económico local, por el colapso de servicios, vialidad, entre otros.
Después de la tragedia de Vargas en 1999, parte de la comunidad científica tomó un interés mayor por el estudio de los montos pluviométricos registrados durante inundaciones (Andresse y Pulwarty, 2001), de la respuesta hidrológica de las cuencas cuyos ríos fuesen propensos a desbordarse (Méndez, Córdoba, Cartaya y Pacheco, 2003); y zonificación de los movimientos en masa (Cartaya, Méndez y Pacheco, 2006) por mencionar algunos autores.
Por otra parte, desde el punto de vista de investigaciones de índole internacional desarrolladas en el país, destaca el estudio sobre el plan básico de prevención de desastres en el Distrito Metropolitano de Caracas, desarrollado por la Agencia de Cooperación Internacional de Japón (JICA, 2003), en el cual se contempla el uso de métodos hidrológicos para la estimación de la escorrentía de las diferentes cuencas que conforman el área de estudio, así como también los valores de caudales máximos esperados para distintos períodos de retorno. Estos antecedentes confirma la aceptación que han tenido el uso de herramientas informáticas y modelos predictivos, en la seno del quehacer científico, para la generación de conocimiento a cerca de la naturaleza de las inundaciones y cómo éstas interactúan con el componente espacial y social.
Los resultados de esta investigación: modelos hidrológicos de escenarios de inundaciones, análisis de períodos de retornos, tiempos de concentración, condición hidrológica de la cuenca, entre otros, se consideran insumos fundamentales para la definición posterior de las zonas potencialmente inundables, en las que, con base a estos productos, se podrían coordinar planes para el uso adecuado de la cuenca, así como también de organización comunitaria para la reducción del riesgo en la localidad.
El área objeto de estudio, está constituida por la cuenca del río Patanemo (figura 1), la cual, se encuentra ubicada en la Zona UTM 19N, específicamente entre las coordenadas 615000m – 621000m E; 1145900m – 1156000m N; en lo que corresponde al ramal del Sistema Orográfico Central de la Cordillera de la Costa la cual sigue una orientación cuasi franco oeste - este, lo que la hace sensible a los vientos provenientes del norte. Según Vila (1969), las masas de aire nórdicas, relativamente de baja temperatura, que durante el verano austral son atraídas por las áreas ciclónicas sudamericanas, al dar con los primeros relieves insulares y de tierra firme, se deshacen en abundantes lluvias, (p. 195).
El régimen de precipitaciones se caracteriza por ser plurimodal, al no definirse bien sus picos máximos primarios y secundarios; los promedios anuales de precipitación fluctúan entre los 800 y 1200 mm, con temperaturas que oscilan entre los 24 ºC y los 32 ºC (MARNR, 1991).Por otra parte, la cuenca evidencia dos unidades de relieve bien definidas, siendo la primera de ellas del dominio montañoso con pendientes abruptas superiores a los 10 grados que ocupan más del 80% del área de la cuenca, dejando un área menor de planicie aluvial con pendientes suaves susceptibles a inundaciones violentas, como se aprecia en la figura 2 y en el cuadro 1.
COPLANARH (1975), señala que gran proporción de los suelos de la región son Inceptisoles del sub- orden de los Tropepts, que usualmente están caracterizados por desarrollo de estructura y movimiento de carbonatos en el suelo, ocupando las primeras terrazas de la planicie aluvial y laderas montañosas estables. Asimismo, agrega que los suelos planos próximos a la margen costera, son poco evolucionados por los continuos procesos de depositación por acción fluvial, llamados Entisoles.
En cuanto a los sistemas de drenaje, se pueden discriminan cinco sub- sistemas de cuencas llamadas “microcuencas” que definen el área de recolección de la cuenca del río Patanemo. En el cuadro 2, se muestra el tipo de cobertura presente en cada uno de estos subsistemas, lo que
condiciona la manera como se desplaza un flujo de caudal determinado.
MÉTODO
El modelado hidrológico de toda cuenca o sistema de drenaje está sujeto una serie de variables que deben ser consideradas, entre ellas la distribución espacio – temporal de las precipitaciones y el análisis de profundidad de láminas máximas, como también el análisis morfométrico de la cuenca que por el alcance de este primer avance, no será considerado en detalle.
Distribución espacio – temporal de las precipitaciones Se utilizó una serie de datos no continuos de precipitación desde 1974 hasta 2005 de la estación Santa Rita (0438) cedidos por el Instituto Nacional de Meteorología e Hidrología (INAMEH). Fue necesario calcular datos faltantes dentro de la serie, así como también desenglobar algunos datos utilizando el método racional propuesto por Guevara (1987), expresado en la siguiente ecuación:
A; Total de precipitación anual registrada sin los datos faltantes
B; % histórico mensual de las precipitaciones correspondientes al mes con el dato faltante.
C; Sumatoria de los % históricos de precipitación registrada correspondientes a los meses con datos faltantes del respectivo año.
Por dato englobado, se entiende aquel que corresponde al registro de dos o más meses agregados a una solo lectura, reportando así un monto excesivo en el dato mensual. Para el “desenglobe” de los datos, se sumaron los porcentajes históricos de los meses reportados en el dato acumulado, consiguiendo de esta manera asociar dicho dato con un valor porcentual estimado. Posteriormente, se procedió a redistribuir los montos de precipitación acumulados en los respectivos meses con base en el porcentaje histórico mensual de cada uno de ellos.
DE; Dato englobado
%mi; porcentaje histórico de cada mes considerado en el englobe;Sumatoria de los porcentajes históricos de los meses considerados en el englobe.
Análisis de láminas máximas de profundidad
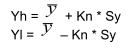
Se utilizaron los datos de láminas máximas de la estación Santa Rita (INAMEH), la cual exhibe una serie de datos no continuos en algunas series del período 1974 – 1995, a los cuales se les aplicó una prueba de datos dudosos, con el fin de definir los valores que puedan ser descartados de las series. Chow et. al. (1994), señalan como datos dudosos aquellos valores que se apartan representativamente de la tendencia de la información y que afectan de manera considerable la magnitud de los parámetros estadísticos de la serie, fundamentalmente en muestras pequeñas.
Los datos suministrados por el INAMEH para la estación Santa Rita, reflejan profundidades e intensidades calculadas para 5, 10, 15, 30, 60, 120, 180, 360, 540, 720 y 1440 minutos de duración de la lluvia. En la selección de las duraciones elegibles para el análisis, se consideraron aquellas que contuvieran un registro de al menos 10 años continuos, omitiendo así las series de 5 y 10 minutos de duración de lluvia. Para detectar los datos dudosos, se calcularon los límites superiores e inferiores para cada una de las duraciones: 15, 30, 60, 120, 180, 360,540, 720 y 1440 min de las profundidades de láminas máximas anuales de precipitación e intensidades máximas, con base en las siguientes ecuaciones de frecuencia:
Yh umbral superior para datos dudosos en unidades logarítmicas
Yl umbral inferior para datos dudosos en unidades logarítmicas.
y media de los logaritmos de los caudales
Sy desviación estándar de los logaritmos de los caudales
Kn valor tabulado para una muestra de tamaño N
Chow et. al. (1994), plantean que los valores de kn se utilizan para detectar datos dudosos en nivel de significancia de 10% de información normalmente distribuidos, si los logaritmos de los valores de una muestra son mayores que Yh , son considerados como datos dudosos altos, siendo en consecuencia, eliminados de la serie. Asimismo, si dichos valores se hayan por debajo de Yl son considerados datos dudosos bajos y de igual forma son eliminados, para posteriormente iterar el cálculo de umbrales hasta que no exista dato alguno que se encuentre fuera de los rangos calculados. Se debe tener en cuenta que los valores de Kn (cuadro 3) deben ser reconsiderados ya que los n valores de la serie pueden verse disminuidos.
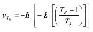
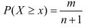
Posterior al procesamiento de los datos, se determinan los criterios para la distribución de probabilidades de ocurrencia de eventos extremos definidos para diferentes períodos de retorno. En este caso se utilizó el análisis de distribución de probabilidades de Gumbel Tipo I, el cual prevé la organización de los datos de profundidades de láminas máximas anuales en sentido decreciente, asignándoles un peso en orden ascendente iniciando con uno (1) y culminando en “n”, siendo n el número total de datos considerados en la serie. Lo que quiere decir, que a los valores más altos de láminas de profundidades les serán asignados valores bajos en el orden de n, y los valores más bajos de láminas de profundidad serán asignados a valores altos de n datos. Esto se hace con la intensión de definir cuál es la probabilidad de excedencia de un valor. Sabiendo que la probabilidad es un coeficiente con rangos entre 0 y 1, se entiende que mientras más se aproxima el resultado a 1, es más probable que éste se vea excedido. Para ello se utilizó la siguiente fórmula:
P(X) >= x = Probabilidad de que un valor sea igual o mayor al esperado
m = Orden asignado a las series.
n = Total de datos.
Seguidamente, se calculó la probabilidad de no excedencia, que no es más que la diferencia entre los cocientes calculados para las probabilidades de excedencia y la unidad.
Para definir los períodos de retorno (Tr), se consideran los valores inversos de la probabilidad de excedencia, definida anteriormente, quedando expresada de la siguiente forma:
Tr = Período de Retorno
m = Orden asignado a las series.
n = Total de datos.
Posteriormente se procedió a realizar el cálculo de la variable reducida utilizando los valores de tiempo de retorno como se observa en
la siguiente fórmula:
Así mismo se realizó el cálculo del factor frecuencia, el cual consiste en restar el valor de la variable reducida obtenido al valor de la media de la variable reducida de toda la serie y el resultado se divide entre la desviación estándar de la variable reducida de toda la serie:
Ytr= Variable Reducida
Str= Desviación Estándar
Ytr= Promedio de la Variable Reducida
Obteniendo de esta forma la cantidad de desviaciones estándar en que el valor extremo considerado excede a la media de la serie. Por último, se realizó el ajuste Gumbel tipo I, con el cual se estimaron los períodos de retorno para 2, 5, 10, 25, 50 y 100 años, para diversos tipos de intensidad de lluvia, a partir de la siguiente fórmula:
Posteriormente, se realizó el ajuste de los datos por medio del método propuesto por Wenzel (citado por Chow et. al., 1994), dedujo para algunas ciudades de los Estados Unidos, algunos coeficientes para utilizarlos en una ecuación de la forma, donde I es la intensidad de lluvia de diseño, y Td la duración, en tanto c, e y f son coeficientes que varían con el lugar y el período de retorno. Esta ecuación se aplicó a los datos obtenidos de las profundidades e intensidades para diferentes duraciones y períodos de retorno.
Ecuación de Wenzel:
Luego de aplicar la ecuación de Wenzel a las profundidades e intensidades se les aplico la herramienta de optimización, llamada Solver la cual es complemento de Microsoft Office Excel que permite encontrar valores de celdas que hacen máxima o mínima una función sujeta a restricciones,
Modelado Hidrológico
El modelado hidrológico se realizó con ayuda del software HEC – HMS (Hydrologic Engineering Center – Hydrology Modeling System), el cual permitió simular el escurrimiento superficial de la cuenca, como producto de una precipitación, mediante la representación de sub-cuencas como un sistema interconectado de componente hidrológicos e hidráulicos. (Salgado, 2005). Este programa demanda la información física de la cuenca, variables meteorológicas y especificaciones de control.
• Modelo de la Cuenca: Según Salgado (2005), en esta etapa se definen los parámetros y datos conectados con elementos hidrológicos, como la cuenca, sub- cuencas, uniones o confluencia de cauces, reservorios, fuentes y derivaciones, en cada uno de ellos se asignan atributos y parámetros. Para efectos de la Cuenca del río Patanemo, se consideró los cauces de las quebradas La Primavera y Santa Rita y el río Patanemo (fig 3).
Los parámetros de entrada como el área de las sub- cuencas del río Patanemo y las variables que intervienen en el cálculo de los tiempos de concentración para cada una de ellas, basados en la ecuación de Kirpich, donde L corresponde a la longitud de los cauces y H definida por la pendiente media del perfil longitudinal de cada cauce considerado, fueron calculados con la herramienta ArcGis 9.2 y su extensión Spatial Analyst Tools – Hydrologic.
Se especificaron parámetros característicos para cada sub-cuenca considerada como Loss Method y Transform Method, que definen la perdida por infiltración y el método de transformación de la precipitación en escorrentía efectiva respectivamente. Para ambos casos, se consideró el método desarrollado por Soil Conservation Service (SCS).
• Modelo Meteorológico: se especificaron los componentes de la modelación hidrológica, estableciendo los parámetros relacionados con los datos climatológicos del área de estudio, intensidad de la lluvia y períodos de retorno. El programa HEC – HMS utiliza modelos meteorológicos para cada uno de los períodos de retorno definidos, a los cuales se les debe especificar los montos máximos de precipitación esperadas para las distintas intensidades.
• Especificaciones de Control: en este modelo, se definió el inicio y finalización de la simulación. Este dato no genera mayores repercusiones a la hora de realizar la simulación de los caudales generados con la tormenta de diseño que se pueda plantear, sólo son datos de tipo temporal que el sistema requiere para iniciar y detener la simulación. Para este caso, le simulación se ejecutó durante 24 horas continuas.
Una vez introducidas las variables del modelo de la cuenca, modelo meteorológico y especificaciones de control, se procedió a la generación de la tormenta de diseño o simulación de los valores de escorrentía para cada período de retorno.
RESULTADOS
Con base en los promedios obtenidos de la serie de datos no continuos desde 1974–2005 de la estación Santa Rita, y a manera de identificar el comportamiento estacional de los montos de precipitaciones, se elaboró el gráfico 1, en el cual se puede apreciar una marcada estacionalidad de las precipitaciones, que comienzan a acentuarse desde el mes de abril, con una definida tendencia al alza hasta el mes de Julio donde se encuentra el máximo valor en los promedios históricos de precipitación de la serie.
Gráfico 1. a) Precipitación promedio mensuales de la estación Santa Rita durante el período 1974 – 2005; b) Promedio de precipitaciones anuales en Santa Rita.
En este mismo orden de ideas, se observa un ligero comportamiento bimodal, con un segundo pico máximo de precipitación para el mes de Octubre. De esta forma quedan bien definidos los períodos secos entre los meses de diciembre y marzo, con promedios de precipitación próximos a 34 mm para un total acumulado de 136 mm durante dichos meses. Por otra parte, los meses más húmedos se concentran entre abril y noviembre donde se obtienen promedios de 114 mm durante dicho período, acumulando un total de 919 mm de precipitación para estos 8 meses.
En lo que respecta al comportamiento anual de las precipitaciones registradas en la estación Santa Rita, se evidencian episodios anuales superiores a los 1200 mm de precipitación total anual, como es el caso de los años 1975,1978, 1982, 1985, 1995, 2004 y 2005, lo que corresponde a un incremento de aproximadamente un 20 % sobre el registro promedio anual de lluvias en la localidad, que es de 1055 mm.
El gráfico 2 presenta las anomalias encontradas en los montos de precipitaciones registrados para la serie de 1974 a 2005, en el se puede precisar los años en los cuales los datos pluviométricos se elejaron considerablemente del valor promedio calculado para dicha serie. Tal es el caso de los años 1974 y 1989, donde los registros reflejan disminusión de los valores de precipitación que rondan el 50% para el primero de los años considerados, y casi un 60% para el año 1989, donde cabe destacar el período de sequía se prolongó al menos por dos años más.
Es importante señalar, que dado a la poca disposición de datos pluviométricos en la cuenca objeto de estudio, resulta difícil precisar con exactitud la distribución de las precipitaciones en la zona. La localización de las estaciones climáticas en un área de estudio determinado, es de vital importancia a la hora de establecer el comportamiento de los montos pluviométricos registrados, más aún cuando se trabajan con cuencas de tipo torrencial, como es el caso de la presente investigación.
Cálculo de los caudales pico para cada sub-cuenca
El método para la estimación de los caudales pico para cada sub-cuenca del área de estudio, fue determinado por el modelo de Número de Curvatura CN, utilizado por la SCS, en atención a los parámetros descritos por Villón (2002), para la clasificación hidrológica de los suelos. Los datos obtenidos se presentan en el cuadro 4.
Para la estimación de la condición hidrológica de las sub – cuencas del área de estudio, parámetro fundamental en el análisis del potencial que posee la cobertura vegetal para favorecer o no la tasa de escurrimiento, se elaboró el cuadro 5. En general, la condición hidrológica de la cuenca
es de casi el 84 % del área de estudio lo que corresponde a una condición buena.
Tiempos de Concentración
El tiempo de concentración (Tc), se entiende como el tiempo que le toma a una gota de agua llegar a una sección hidráulica de interés. Existen muchas variables de índole físico que condicionan dicha respuesta, a la vez que existen distintos métodos para determinar su magnitud. En el caso de esta investigación, como se anunció previamente en el marco metodológico, los Tc fueron estimados por medio de la ecuación de Kirpich, quien define las relaciones de pendiente y longitud del cauce, de la siguiente manera:
Donde: L; se refiere a la longitud del cauce principal expresado en metros; y H se refiere a la diferencia altitudinal entre el punto más alto y el más bajo del segmento del río. En el cuadro 6, se presentan los valores de Tc calculados para cada cauce principal del río Patanemo.
En el cuadro 7, se presentan los datos organizados de las variables que requiere el programa HEC-HMS para el modelado hidrológico de la cuenca, que define los caudales calculados a partir de las profundidades de láminas máximas.
Cuadro 7. Cuadro resumen de los parámetros solicitados por HEC-HMS para el modelado hidrológico de la cuenca del río Patanemo.


En el cuadro 8 y el gráfico 3, se muestran los caudales pico estimados con HEC-HMS, para cada sub-cuenca del área de estudio, con base en los parámetros calculados anteriormente para CN y tiempos de concentración, en el gráfico 3, se evidencia que el comportamiento de los montos de caudal estimados por el programa HEC-HMS, son progresivos a medida que aumenta los períodos de retorno del evento extremo, sin embargo, cuando se comparan los valores de caudales con las áreas definidas para cada una de las cuencas, en el gráfico 4, se pueden apreciar ciertos factores que están condicionando dicho comportamiento.
Cuadro 8. Resumen de los caudales pico calculados con HEC-HMS.
Gráfico 3. Caudales pico, cuenca del río Patanemo para diferentes períodos de retorno.
Gráfico 3. Caudales pico, cuenca del río Patanemo para diferentes períodos de retorno.
Gráfico 4. Comportamiento de los caudales pico, calculados con HEC-HMS, en relación con el área de las sub-cuencas, período de retorno de 100 años.
En el caso particular de la sub- cuenca, Aguas Arriba, que corresponde a la naciente del río Patanemo hasta la sección hidráulica donde confluye con el río La Primavera, contrasta lo que comúnmente se asocia directamente por definición, “el caudal pico es proporcional al área de la cuenca” (Rivera, 2002), cuando en la evaluación de los datos presentados, no es así. Dicha diferencia se debe a que 94% de la sub-cuenca Aguas Arriba está cubierta por bosque, lo que la ubica en una condición hidrológica de Buena, lo que se traduce en una tasa elevada de infiltración, disminuyendo los niveles de escorrentía superficial que se convierte en menor caudal aportado.
Caso contrario se evidencia en las sub-cuencas de Patanemo medio y bajo, donde se aprecia una mayor generación de caudales con menor área de recolección. Obviamente parte de este caudal que se aprecia en dichas secciones hidráulicas ha sido aportado por otro sub-sistema hídrico, más sin embargo se debe recordar que en el cuadro 6, sobre Condición Hidrológica, ambas sub-cuencas presentan los porcentajes más bajos en cuanto a cobertura de bosques, lo que se traduce en superficies menos permeables con poca capacidad de absorción, mayor generación de caudal.
Al respecto Faustino (citado en Salgado, 2005), menciona que cuando una cuenca posee una cobertura de bosques densos, vegetación permanente y un manejo adecuado, los caudales por lo general son distribuidos a lo largo de varios meses, generando hidrogramas armónicos sin picos bruscos. En cambio, cuando una cuenca carece de una buena cobertura vegetal, bosques densos y padece de un mal manejo de sus recursos, esto se traduce en caudales casi instantáneos, que originan fuertes picos en los hidrogramas y repentinas inundaciones.
CONCLUSIONES
• La precisión de los modelos hidrológicos obedece en gran medida al comportamiento de los datos meteorológicos y láminas máximas de precipitación, que en este caso presentaron una gran limitación, ya que no se disponía de series de datos extensas y continuas
• La cuenca del río Patanemo, considerada como una cuenca de tipo torrencial, concentra la mayor cantidad de sus afluentes en lo que corresponde a la cuenca media – alta, por lo tanto dichos cauces presentan pendientes de media a moderada intensidad, lo que favorece
los procesos erosivos y disminuye los tiempos de concentración de la cuenca de recepción.
• La condición hidrológica de los suelos juega un papel fundamental en la generación de escorrentía superficial, ya que los suelos desprovistos de vegetación densa (Bosques) tienen una capacidad de absorción menor, lo que contribuye a un aporte significativo en la escorrentía superficial.
• Los caudales máximos estimados a través del HEC-HMS, pueden ser considerados como insumo para la elaboración de modelos hidráulicos de inundaciones, en los cuales se puedan generar las manchas de inundación a distintos períodos de retorno, pudiendo apreciar la velocidad del flujo, profundidad de las láminas de agua, comportamiento del caudal en presencia de asentamientos urbanos y de estructuras de control hidráulico. Ambos modelos son de relevante importancia a la hora de definir las políticas de ocupación en una cuenca con historial de inundaciones.
REFERENCIAS
1.Agencia de Cooperación Internacional de Japón – JICA (2003) Estudio sobre el Plan básico de prevención de desastres en el Distrito Metropolitano de Caracas en la República Bolivariana de Venezuela. Informe Final Principal.
2.Alcaldía del Municipio Puerto Cabello (2011). Datos de Población. Puerto Cabello: Autor.
3.Andressen, R., y Pulwarty, R. (2001). Análisis de las lluvias excepcionales causantes de la tragedia del estado Vargas, Venezuela, en Diciembre
de 1999. En Taller sobre Cambios Climáticos, Recursos Hídricos, Geo-Riesgos y Desastres Naturales: IV Simposio Internacional de Desarrollo Sustentable (pp. 3-148 – 3-167). Mérida, Venezuela: Universidad de Los Andes. Disponible en: http://www.lmmeteoven.org/vaguada/Vargas99.pdf . Consultado: 08/06/2010
4.Cartaya, Méndez y Pacheco (2006). Modelo de zonificación de la susceptibilidad a los procesos de remoción en masa a través de un sistema de información geográfica. Revista Interciencia. [Revista en línea], año 31, numero 009. Disponible: http://redalyc.uaemex.mx/pdf/339/33912007.pdf . [Consulta: 2010, Julio 13]
5.Chow,V., Maidment, D., May, L. (1994). Manual de Hidrología Aplicada. Santafé de Bogotá, Colombia.
6.COPLANARH (1975). Atlas inventario nacional de tierras. Caracas: Autor.
7.INE. (2010,Noviembre 10). Resumen estadístico: Censo general de población y vivienda, 2000 – 2015 [Datos en línea] en INE: Proyecciones de población. Disponible: http://www.ine.gov.ve/demografica/salidadistribucion.asp?Tt=Cuadro229&cuadro=cuadro229 [Consulta: 2010, Noviembre 11]
8.Instituto Nacional de Meteorología e Hidrología –NAMEH-(2011). Datos de Precipitación de la estación Santa Rita (Período 1947-2005). Caracas:
Autor.
9. Guevara, J. (1987). Métodos de estimación y ajuste de datos climáticos (Colección Monografías, 12). Caracas, Venezuela: Universidad Central de Venezuela, Consejo de Desarrollo Científico y Humanístico
10.MARNR (1991). Datos climáticos. Caracas: Autor
11.Méndez, W., Córdova, J., Cartaya, S., y Pacheco, H. (2007). Geomorfología y respuesta hidrológica de la microcuenca de drenaje de la quebrada Curucutí, estado Vargas, Venezuela. Revista de la Facultad de Ingeniería, 22 (1), 5-20.
12.Rivera, L. (2002). Evaluación de la amenaza y vulnerabilidad a inundaciones en la microcuenca La Soledad. Valle de Ángeles. Honduras. Tesis MSc.. CATIE. Turrialba. Costa Rica. 158 p.
13.Salgado, R (2005). Análisis integral del riesgo a deslizamientos e inundaciones en la microcuenca del río Gila, Copán, Honduras. [Documento en línea]. Trabajo de grado de maestría no publicado. Centro Agronómico Tropical de Investigación y Enseñanza. Programa
de Educación para el Desarrollo y la Conservación. Escuela de Postgrado. Disponible: http://orton.catie.ac.cr/REPDOC/A0666E/A0666E.PDF [Consulta: 2010, Julio 22]
14.Vila, P. (1969). Geografía de Venezuela: El territorio nacional y su ambiente físico (Tomo 1). Caracas, Venezuela: Ediciones del Ministerio de Educación.
15.Villón. M. (2002). Hidrológica. Serie de ingeniería agrícola del Instituto Tecnológico de Costa Rica (ITCR). Cartago. CR. 436p.














