Serviços Personalizados
Journal
Artigo
Indicadores
-
Citado por SciELO -
Acessos
Links relacionados
-
Similares em
SciELO
Compartilhar
Paradígma
versão impressa ISSN 1011-2251
Paradìgma v.28 n.2 Maracay dez. 2007
La problemática fractal: un punto de vista cognitivo con interés didáctico
Sabrina Garbin
Universidad Simón Bolívar sgarbin@usb.ve
Resumen
En este artículo se quiere profundizar en la problemática del objeto fractal, desde un punto de vista cognitivo y con un interés didáctico. En particular interesa estudiar qué propiedades del fractal son perceptibles por los estudiantes universitarios y cómo lo definen teniendo tan sólo una experiencia de visualización. El estudio se realiza con 77 alumnos que tienen conocimientos previos de cálculo diferencial e integral. La metodología es cualitativa y se usan las redes sistémicas como herramienta de análisis de los datos cualitativos obtenidos. La mayoría de los estudiantes perciben al fractal en sus características de manera parcial y lo definen como un conjunto matemático que cumple ciertas propiedades. El conocimiento previo de cálculo diferencial e integral de los estudiantes no incide de una manera significativa y/o determinante en la mayoría de las respuestas de los estudiantes.
Palabras clave: fractal, procesos infinitos, visualización, percepción
Abstract
In this article we will deepen in the problematic of the "fractal object", from a cognitive point of view and with a didactic interest. In particular, it is interesting to study what properties of the fractal are perceivable by the university students and how "they define it" having only one experience of visualization. The study includes 77 students who have previous knowledge of differential and integral calculus. The methodology is qualitative and systematic networks are used as tool for analysis of the collected qualitative data. Most of the students perceive the fractal in his characteristics in a partial way and "they define it" as a mathematical set that fulfills certain properties. The previous knowledge of differential and integral calculus has not had a significant and/or determining incidence in the answers of the students.
Key Words: fractal, infinity process, visualization, perception
Recibido: 12/06/2007 Aceptado: 11/10/2007
Introducción
El desarrollo de la teoría fractal de los últimos años muestra un cambio de actitud en los matemáticos. En el pasado fueron ignoradas aquellas funciones que no eran suficientemente regulares y con el cambio de actitud, ciertas curvas consideradas monstruos matemáticos o funciones patológicas, encontraron su sitio natural y se convirtieron en merecedoras de estudio (Carrera, 1994; Falconer, 1990).
Se ha despertado un gran interés en los objetos fractales (Mandelbrot, 1984) y su geometría, no sólo en los matemáticos, sino también en filósofos, científicos y público en general. Son muchos los libros de divulgación y científicos dedicados a los fractales y, especialmente, variadas las publicaciones de carácter divulgativo sobre este concepto, de reciente data, novedoso e impactante por su vistosidad. Este interés también se ha manifestado en la Educación Matemática en muchos profesores que ven en los fractales una posibilidad para ofrecer una matemática distinta, más moderna y relacionada con la naturaleza. En Estados Unidos y algunos países de Europa se ha comenzado a trabajar en esta dirección y se pueden encontrar artículos en revistas dedicadas a la Educación Matemática y en la web. Se han elaborado propuestas de innovación y experiencias para introducir al estudiante de educación media en el conocimiento de fractal y su geometría, sin embargo, aún son escasas las investigaciones rigurosas de tipo cognitivo.
A modo de ejemplo, y sin el ánimo de hacer una reseña exhaustiva de antecedentes, podemos nombrar de habla española a Guzmán (1994), García y Otálora (1994), Domingo y Hernán (1994) quienes escriben sobre los fractales y su enseñanza. Fernández y Pacheco (1991), y Moreno (2002b), se interesan por el valor matemático de los fractales y la construcción de estos a través de la calculadora gráfica. En particular Moreno (2002a) presenta una propuesta metodológica para la enseñanza de la geometría a través de los fractales. Zapata (1996) propone la integración de la geometría fractal en la matemática aboga por la enseñanza de los fractales en secundaria. Redondo y Haro (2004) hacen un análisis de las posibilidades que ofrece la geometría fractal y sus aplicaciones, mediante una recopilación y síntesis de los principales conceptos, de forma que sean asequibles a los alumnos de secundaria
De habla inglesa podemos reseñar a Naylor (1999) quien con base a 6 investigaciones describe actividades que introducen a los estudiantes en los fractales, alienta a estudiar las propiedades de algunos de los más conocidos, e invita a los alumnos a crear sus propios fractales. Choi y Shin (1998) estudian la posibilidad de introducirlos en el High School, introducen la autosimilitud, la dimensión fractal, algunos de los más conocidos, estiman el perímetro de perfiles rugosos dibujados en el papel, e introducen el juego del caos. Por otra parte Mandelbrot y Frame (2002) presentan un libro con una serie de ensayos que relaciona a estos objetos matemáticos con la Educación Matemática, y experiencias llevadas a cabo en el salón de clases a través del uso de la geometría fractal.
De habla alemana podemos nombrar a Heigl (1998) que presenta una colección de 200 ejercicios sobre geometría fractal para educación media y Henn (1989) quien propone una unidad de enseñanza que introduce el concepto de dimensión fractal.
De interés específico para nuestro estudio ha sido el trabajo de Komerek, Duit, Bücker y Naujack (2001) que concluye que las ideas de fractal, específicamente la autosimilitud y estructura dendrite son asequibles para la edad de 15 y 16 años, y el de Garbin y Mireles (2005) donde se aproximan a las ideas y percepciones de estudiantes preuniversitarios (15-16 años). Este último muestra qué características fractales son perceptibles en los alumnos, cuáles resultan más o menos intuitivas, y muestran cómo definen los estudiantes al fractal tan solo teniendo una experiencia de visualización. Estos trabajos confirman la necesidad de seguir profundizando en la problemática del objeto fractal, desde el punto vista cognitivo y con un interés didáctico, explorando su visualización y percepción, con alumnos de edades mayores de 16 años que hayan tenido la experiencia previa de trabajar en el cálculo diferencial e integral. Al trabajar con estos tópicos, se han acercado a procesos infinitos, al concepto de límite, de serie, de integral, etc., conceptos matemáticos que le permiten aproximarse a los fractales de forma distinta y a partir de un bagaje matemático más adecuado, que en edades inferiores. Esta profundización es la que se pretende presentar en este artículo.
Definiciones, concepciones y fractales
Si estudiamos las distintas publicaciones mencionadas en el apartado anterior, nos damos cuenta de que los autores trabajan normalmente con cierto tipo de fractales, considerados como los más conocidos, por ejemplo el de Cantor, de Koch y el triángulo de Sierspinsky. Tratan al fractal como objeto matemático, como objeto geométrico, como figura, como resultado de un proceso. Muestran diferentes concepciones de fractal, institucionales y asociadas al interés originado por el proceso de enseñanza y aprendizaje propio del sistema didáctico, y su abordaje no comienza normalmente desde la definición formal de Mandelbrot, la cual requiere del conocimiento de la dimensión topológica y fractal: Un fractal es por definición un conjunto en que la dimensión de Hausdorff-Besicovitch excede estrictamente a su dimensión topológica (Mandelbrot, 1984, p.15). El hecho de trabajar en el aula de clases o pensar didácticamente en ciertos fractales, considerados como los más conocidos y nombrados anteriormente, orientan a cierto tipo de concepciones y a trabajar con ciertas características o propiedades de estos.
La acepción de concepción que estamos usando en este apartado es la epistemológica, cuya noción es de carácter institucional, y no la que es relacionada con la evolución histórica del concepto fractal. Ruiz (1998, p.49), establece una diferencia entre la acepción cognitiva de concepción del sujeto y la epistemológica:
Hemos diferenciado, en primer lugar, entre la acepción cognitiva concepciones del sujeto- y la acepción epistemológica de esta noción. La concepción en su carácter epistemológico puede referirse a la evolución histórica de los objetos del saber matemático, así como en los programas oficiales y libros de textos de los alumnos. Se trata así de una noción que tendría un carácter institucional porque se encuentra asociada a determinadas instituciones culturales y sociales (la matemática y el sistema educativo); esto supone la atribución de un carácter relativo a los objetos matemáticos
¿Qué concepciones de fractal evidencian las distintas divulgaciones, investigaciones y propuestas didácticas?¿Existe una fuerte y sólida definición de fractal? Son preguntas que nos podríamos hacer e investigar a fondo. Nosotros en este artículo, en líneas generales y por el interés que nos compete, presentamos unas grandes categorías.
Los fractales como objetos límites y objetos producto: algunas de las actividades que presenta la literatura, utilizan a ciertos fractales como objetos límite. Se consideran como objetos matemáticos producto de procesos infinitos, que son producidos por construcciones formadas por sucesiones geométricas infinitas, como es el caso específico de la curva de Koch y el triángulo de Sierpinski. Estos fractales existen como límites de procesos infinitos (Sacristán, 1998, p. 132).
Otra manera de concebir estos mismos fractales, es considerarlos como el producto del proceso infinito (Sacristán, 1998), es decir, concebidos como conjuntos formados por una infinidad de partes, donde cada parte es auto-similar a un todo, siendo la naturaleza del infinito recursivo-iterativa.
El subrayado en la primera concepción es el proceso de límite y en la segunda la complejidad iterativa. La dimensión fractal como característica y definitoria no aparece, ni toma lugar en estas concepciones.
Los fractales como objetos geométricos con dimensión fraccionaria: desde el punto de vista geométrico, un paso más en el tratamiento de estos objetos matemáticos para los niveles de educación secundaria y en la divulgación, es conceptuarlos siguiendo la definición del ensayo original de Mandelbrot, definiéndolos como aquellos objetos geométricos cuya dimensión fractal es estrictamente mayor que la dimensión topológica, lo cual supone introducir a través de la geometría euclídea e ideas intuitivas, y con ejemplos sencillos, lo que se entiende por dimensión topológica, llegando a la dimensión fractal a través de la de Hausdorff.
El abordaje en una primera instancia es métrico y topológico, como acercamiento o introducción a la dimensión de Hausdorff y/o fractal. Por ejemplo, topológicamente una circunferencia y la curva de Koch son la misma curva y encierran el mismo tipo de superficie, sin embargo desde el punto de vista métrico no. La irregularidad de la curva de Koch no es recogida por la dimensión topológica. Esto introduce la posibilidad de acercarse a la dimensión topológica de una manera distinta, la cual en lugar de hacer intervenir de alguna manera la métrica, se hace intervenir la idea de razón:
En esta manera de entender la dimensión haremos intervenir además la idea de generar una nueva figura a partir de la que tenemos, respetando en todo, salvo en la medida, a la figura anterior. Se plantea entonces la idea de la razón que existe entre la primera y la segunda en relación con la razón de sus lados (Carrera, 1994, p. 44).
El fractal como objeto irregular que representa fenómenos naturales: El énfasis en esta concepción está en relación con la representación y la visualización de este objeto matemático, y el proceso involucrado es la aproximación. En este caso la importancia está en que, como objeto geométrico, se aproxima más a los fenómenos naturales que la geometría euclídea y son más adecuados para el mundo físico, toma relevancia la forma, la figura, la irregularidad visible.
Esta concepción permite describir a una variedad de objetos naturales como fractales los límites de las nubes y las superficies topográficas, aunque matemáticamente ninguno realmente lo sea. En ciertos rasgos de escala se parecen muchísimo, y en tales escalas pueden ser mirados como tal:
La diferencia entre el verdadero fractal y el conjunto fractal matemático que se pudo utilizar para describirlos fue enfatizado en el ensayo original de Mandelbrot, pero esta definición parece haberse velado algo. No hay fractales verdaderos en la naturaleza. (No hay líneas o círculos verdaderos) (Falconer, 1990, xx).
El fractal como un conjunto matemático que cumple ciertas propiedades: Se puede concebir al fractal de diferentes maneras, como vamos viendo algunas responden más satisfactoriamente al objeto matemático y otras menos, algunas muestran las características solo de algunos de ellos, y excluyen a otros. La misma definición de Mandelbrot usada en su ensayo original, es hoy considerada una definición inapropiada (Gerald, 1990) o insatisfactoria (Falconer, 1990), que excluye un número de conjuntos que deben ser considerados como tales. Este último autor comenta sobre la inconveniencia de buscar una definición precisa de este objeto matemático por excluir seguramente algunos casos interesantes y, sin embargo, aboga por considerar al fractal como un conjunto que tiene un listado de propiedades.
Cuando nosotros nos referimos al conjunto F como fractal, tendremos lo siguiente en la mente:
I. F tiene estructura fina, detalles sobre escalas arbitrariamente pequeñas.
II. F es demasiado irregular para ser descrito en el lenguaje geométrico tradicional, localmente y globalmente.
III. F tiene alguna forma de autosemejanza, quizás aproximada o estadística.
IV. Usualmente, la dimensión fractal de F (definida de alguna manera) es más grande que la dimensión topológica.
V. En muchos casos F está definido en una verdadera simple manera, quizás recursivamente. (Falconer, 1990, xx)
Falconer (1990, xx-xxi), cuando defiende la importancia de acercarse a la definición de fractal a través de las características anteriores expresa:
Mi personal sentimiento es que la definición de un fractal sea contemplado como los biólogos contemplan la definición de vida. No hay una fuerte y sólida definición, sino una lista de propiedades características de una cosa viva, tal como la habilidad de reproducirse o de moverse o para existir en un cierto grado, independientemente del ambiente. La mayoría de las cosas vivas tienen la mayoría de las características de la lista, aunque hay objetos vivos que son excepciones a cada uno de ellos. En la misma manera, es mejor considerar al fractal como un conjunto que tiene propiedades tales como fueron listadas.
Procesos infinitos, objetos y fractales
Es conocido el rol de la visualización en matemáticas; visualización, representación y simbolización son características de la tarea matemática. Son varias las teorías que han querido responder al interés de cómo se construyen cognitivamente los objetos matemáticos, y describir la transformación de los procesos a objetos y la naturaleza de los objetos (Dubinsky, 1991; Greeno, 1983; Sfard, 1991, Harel y Kaput, 1991).
Con el interés de analizar las distintas teorías sobre encapsulación, que permite que las representaciones mentales sean entidades manipulables, Tall, Thomas, Davis, Gray y Simpson (2000) se discute sobre la manera en que los objetos mentales pueden ser construidos en matemáticas. Son categorizadas tres maneras de construcción:
Objetos percibidos, se construyen a través de la abstracción empírica de objetos en el entorno (y luego puede darse sucesivamente un significado más sutil que se concentra en las descripciones verbales y definiciones para construir objetos platónicos)
Proceptos, que primero envuelven procesos sobre los objetos del mundo real, usando símbolos que pueden ser manipulados como objetos, cuyas operaciones pueden ser transformadas y simbolizadas del mismo modo, y Objetos axiomáticos, concebidos especificando criterios (axiomas o definiciones) desde las propiedades que son deducidas por la prueba formal. (p.19).
Estas categorías, como afirman Tall Thomas, Davis, Gray y Simpson (2000), están relacionadas con las nociones de conceptos abstractos de Piaget: percibir objetos radica en las abstracciones empíricas, los preceptos en abstracciones pseudo-empíricas y los objetos platónicos más sofisticados pueden ser construidos por abstracciones reflectivas.
La construcción de conceptos obliga a tener en cuenta al papel y estudio de la simbolización, las representaciones y la visualización. Tenemos símbolos que representan a los proceptos el nombre, la palabra que designa al concepto, la definición del concepto (Tall y Vinner, 1981; Tall, 1994). Podemos acercarnos a las distintas áreas de la matemática, a través de modos simbólicos y visuales, Tall sugiere esta división, aunque en esencia el modo simbólico de Bruner (desde donde parte principalmente la teoría del Tall y Vinner), es visuo-simbólico en que los símbolos son escritos, dibujados o leídos (vistos).
Con el término procepto, se acuña la amalgama proceso y concepto, y se representa con un símbolo que puede ser operado. Se pueden dar ejemplos de proceptos en aritmética, álgebra, cálculo, análisis tales como: 5+8 (proceso de adición y concepto de suma); 5/6 (proceso de división y concepto de fracción); 4-3x (proceso de evaluación y concepto de expresión)
(proceso de tender al límite y concepto de límite);
dy/dx (proceso de diferenciación y concepto de derivada); encontrándose tres tipos de categorías de proceptos: preceptos operacionales (por ejemplo 5+2), preceptos plantilla (por ejemplo 4-3x) y proceptos estructurales (por ejemplo ∑1/n2) (Tall y Gray, 1994) (Tall et al (2000)).
No todos los símbolos en matemáticas son proceptos, por ejemplo en la geometría euclidiana se usa el lenguaje verbal extendido del de cada día, y de otro orden está la representación (visuo-)simbólica que usa el lenguaje lógico cuando los objetos son definidos y la demostración es formal (Tall, 1994). En la geometría fractal sucede lo mismo, no se usa un símbolo proceptual para indicar al fractal, aunque puedan ser vistos, algunos de ellos, como un cierto tipo de límite. Como hemos afirmado en palabras de Falconer (1990), si bien en muchos casos F (fractal) está en algunos casos definido de una manera relativamente simple, por ejemplo recursivamente, es demasiado irregular para ser descrito en lenguaje geométrico tradicional, localmente y globalmente.
Cuando se habla de procesos y objetos, y de procesos infinitos la situación se hace especialmente compleja. De gran interés han sido los conceptos de infinitos, en su dualidad potencial y actual, como pequeños o grandes, como infinitesimales, o como procesos en límites y derivadas. El infinito, es normalmente concebido como un proceso (potencial) pero el interés de saber si puede ser concebido como una totalidad completa, también ha sido motivo de estudio y discutido por muchos autores, no sólo desde el punto de vista matemático (Arquímedes, Cantor, etc.), sino también desde un interés didáctico (Tall y Tirosh, 2001; Garbín, 2005; Dubinsky y otros, 2005a, 2005b). En palabras de Dubinsky, Weller, y Mc Donald (2005a, p.258), ver un proceso como una totalidad completa es un prerrequisito para la encapsulación del proceso en un objeto cognitivo.
Basándonos en Dubinsky, Weller, y Mc Donald (2005b), expresamos las ideas asociadas al binomio procesos infinitos y objetos que nos resultan más relevantes para el tema que estamos tratando:
a. En un proceso finito el objeto final se obtiene en el último paso, ya que el objeto puede ser obtenido por cada paso del proceso. En los procesos infinitos, no existe un paso final, en consecuencia no hay objeto final.
b Según la teoría de Lakoff y Núñez se establece una metáfora conceptual para basar la noción matemática de infinito, la cual permite pensar en procesos infinitos en términos de procesos que tienen un paso final. Sin embargo, según las evidencias de las investigaciones esto puede causar problemas. Por una parte el sujeto podría pensar que el proceso produce un objeto final de forma actual (Cornu, 1991; Monaghan, 2001; Mamona-Downs, 2001; Garbin, 2005) o lo considere imitando lo que ocurre en procesos finitos (Garbin (2005) muestra este tipo de alumnos, que dan respuestas acualistas, es decir, aceptan al proceso como una totalidad completa, pero sustentados por procedimientos finitistas, extrapolan lo que sucede en procesos finitos a infinitos).
c. Parte de una frase de Galileo, resolver el todo del infinito en un solo golpe1, refleja según los autores, la noción de encapsulación desde el punto de vista de la APOE. El objeto resultante de este solo golpe1 no es producido individualmente por cada paso, lo trasciende y está fuera del proceso.
d. Para encapsular es necesario darse cuenta que el estado final no es producido directamente por ningún paso del proceso, sino que refleja la totalidad del proceso el cual supera cada particularidad, sobrepasa el proceso; aunque se esté motivado en la acción por saber cuál es el resultado del próximo paso, o del último resultado.
e. En la aritmética ordinal puede evidenciarse esta trascendencia. El primer infinito ordinal, ω no es como el número natural más grande como algunos estudiantes piensan, sino es el límite del proceso de enumerar el conjunto de números naturales. Antes de que uno pueda conseguir tal límite, una necesidad es primero pensar en la totalidad de todos los números naturales y enseguida hacer la pregunta, ¿qué viene después de que se hayan enumerado todos los números naturales?. Es en este sentido como ω trasciende el proceso de enumeración (Dubinsky y otros, 2005b, p.260).
Fractales
Los fractales son objetos complejos, no sólo desde el punto de vista matemático sino también desde el cognitivo. La doble complejidad radica por una parte en el proceso infinito de su construcción, de naturaleza recursiva-iterativa, y por otra por su característica dimensional fractal.
Una manera para introducir a los fractales simples en niveles básicos, se hace a través de su construcción recursiva-iterativa, paso a paso, visualizando este proceso infinito a través de la observación del comportamiento de sus aproximaciones, con apoyo del dibujo manual, la representación geométrica de cada paso, o apoyados por algún ambiente computacional.
Otra manera de ser introducidos es recurriendo al contexto natural, presentados como objetos geométricos que representan aproximadamente a ciertos fenómenos naturales, y que los representan de una mejor manera que la geometría euclídea.
Atendiendo estas maneras de introducir al fractal nos situamos ante un primer paso de construcción, como Objeto percibido; concentrado en las descripciones verbales y/o de la abstracción de los objetos del entorno. La pregunta que surge es qué perciben los estudiantes y qué idea de fractal adquieren a través del comportamiento de sus aproximaciones.
En una primera fase del estudio (Garbin y Mireles, 2005) hubo el interés de estudiar qué características fractales son perceptibles en los estudiantes preuniversitarios (de secundaria), cuáles resultan más o menos intuitivas y cómo definirían un fractal tan sólo teniendo una experiencia de visualización dada por la construcción geométrica de éste. Las descripciones de los alumnos evidencian esquemas informales que son fruto principalmente de la intuición, y de la abstracción de las relaciones e interconexiones que establecen con sus conocimientos previos, especialmente los geométricos (Euclideos), y las propiedades del fractal no son todas percibidas. La dimensión fractal es contraintuitiva y no sale a relucir. Ésta no es perceptible. La dimensión fractal requiere de intencionalidad y construcción formal, habiéndose que construir como objeto axiomático, en el sentido que ya hemos expresado.
El interés se extiende a estudiantes universitarios, con conocimientos de cálculo diferencial e integral y álgebra lineal. Hacia este temática nos estamos encaminando.
El problema de la construcción infinita, de naturaleza recursivo-iterativa Si trabajamos desde el punto de vista matemático y pensamos en un curso para matemáticos, nos situamos ante una definición formal y la construcción de este objeto matemático es formal, asociada desde el punto de vista de Tall et al (2000) en la tercera categoría de construcción, la de objetos axiomáticos, deducidos por definiciones y pruebas formales. Sin embargo, desde nuestro interés didáctico y de iniciar la construcción conceptual en niveles iniciales (transición del Pensamiento Matemático Elemental (PME) al Pensamiento Matemático Avanzado (PMA)), es lícito preguntarse si cada característica fractal es percibida por los estudiantes y qué dificultades pueden presentar. Nos parece importante ahondar en la complejidad que genera el proceso infinito y la necesidad de percibir al proceso como una totalidad para captar ese producto que cumple de alguna forma las propiedades de la definición. Ese todo con cuyas partes se puede comparar.
El sujeto al enfrentarse a la construcción de la Fig 1, se enfrenta a cierta complejidad matemática (matemática avanzada si se quiere justificar lo que se ve) y cognitiva. No hay representación del último paso, el último paso es el nombre del concepto matemático curva de Koch. No hay símbolo, ni posibilidad de simbolización matemática, salvo la verbal, indicando por ejemplo sea F un fractal, o F el fractal curva de Koch. F podría considerarse un procepto si se piensa en el proceso y en el objeto, sin embargo, no tiene una simbología de procepto. A los puntos suspensivos, que sugieren proceso, le sigue una figura final (aunque no un paso final), la figura fractal, que representa no sólo al objeto matemático sino al cognitivo si el proceso es encapsulado. En este caso, como ya hemos dicho, sin que entre en juego la dimensión fractal que requiere construcción formal.
Figura 1. Fractal de Koch o copo de nieve
Dado que el proceso involucrado en la construcción del fractal es infinito, es necesario que los estudiantes vean al proceso como una totalidad completa. No es suficiente como metáfora conceptual, ya que algunos estudiantes lo consideran imitando lo que ocurre en procesos finitos (Garbin y Mireles, 2005). Es necesario encapsular en el sentido que hemos hablado; el objeto resultante del proceso no es producido individualmente por cada paso, los trasciende y está fuera del proceso.
Concebir a ciertos fractales como objetos límite, es decir como límites de procesos infinitos, sin establecer la encapsulación, hace esperar que se produzcan respuestas al estilo de los estudios sobre límites, viendo al límite como proceso y con lo cual no llega a ser el objeto mental una entidad manipulable. Concebirlos como producto del proceso infinito, implica manejarlo como una entidad en que cada parte es autosimilar a un todo.
La naturaleza recursivo-iterativa presenta una complejidad adicional a todo lo que se ha venido y exponiendo. Nos centramos en algunos de los fractales, tales como el de Koch y Cantor. La construcción geométrica de estos fractales, en su proceso recursivo conformado por la base, la regla y el proceso iterativo, y específicamente relacionado con este último, encontramos dos tipos de iteración, la divergente y convergente, y diferente tipo de contenido, cardinalidad y espacio (en el sentido de Nuñez (1994)). La cardinalidad la da el número creciente de divisiones dado por la regla, y el espacio, por la longitud de los segmentos que se van construyendo, y que van configurando la representación geométrica de cada fractal. La coordinación de ambos procesos, junto a la coordinación de otros, como el de la autosemejanza, es lo que permite cognitivamente percibir al fractal en sus características específicas en un todo articulado y completo. Esto implica la representación y la coordinación entre las representaciones de cada paso.
Tenemos una figura aproximada en cada paso de la construcción y la necesidad que F trascienda el proceso, entonces: ¿qué sucede en el infinito?, ¿Qué representación cognitiva se forma? Esta representación estaría ligada a la coordinación que hablamos en el párrafo anterior. Por ejemplo en el conjunto de Cantor si bien el número de divisiones aumentan y el número de segmentos que se construyen crecen, los segmentos a la vez decrecen y entonces, ¿el conjunto de Cantor se hace polvo o desaparece? ¿Nuestra representación es un conjunto de infinitos puntos, infinitesimales, o no es nada? Igualmente con Koch, si bien el proceso de construcción de los segmentos (triángulos) es divergente y hace que la longitud de la curva sea infinita, el proceso convergente hace que el área sea finita, la figura geométrica se expanda y sin embargo tenga límite. Pero, ¿el conjunto de Koch se mantiene como una figura de nieve o se convierte en una circunferencia? ¿Qué imagen mental reproducimos?.
Descripción del estudio realizado
El estudio que realizamos es de corte cognitivo y de tipo cualitativo. El análisis de datos es inductivo, ya que las interpretaciones y categorías se construyen a partir de la información obtenida. El foco de investigación tiene un carácter exploratorio, descriptivo e interpretativo. El diseño de la investigación, la correspondiente al análisis, es emergente ya que se elabora sobre la información recogida. Las características nombradas anteriormente son parte y son propias de la investigación cualitativa (Latorre, Rincón, Arnal, 1996).
La experiencia se realiza con 77 estudiantes universitarios venezolanos de distintas carreras y edades. Todos tienen en común que han visto las 4 primeras matemáticas obligatorias que ofrece la universidad sobre cálculo diferencial e integral, y álgebra lineal a nivel básico. Tienen conocimientos previos formales sobre límites, derivadas, integrales, sucesiones y series, subespacios y espacios vectoriales. Los alumnos pertenecen a 3 secciones de Matemática V, formadas aleatoriamente por el Departamento de Matemáticas. El desempeño de los estudiantes es variado, el grupo no presenta características específicas que sea de interés resaltar, salvo el tipo de carrera a la cual pertenecen y las edades.
Tabla 1. Número de alumnos, por edades y carreras, de los estudiantes encuestados.
| Edad | ||||||||||||
| Años | 16 | 17 | 18 | 19 | 20 | 21 | 22 | 24 | ||||
| N° de alumnos | 1 (1,29%) | 12 (15,58%) | 32 (41,55%) | 17 (22,07%) | 12 (15,58%) | 1 (1,29%) | 1 (1,29%) | 1 (1,29%) | ||||
| Carreras-Ingeniería | N° alumnos | Carreras-Ciencias | N° Alumnos | |||||||||
| Materiales | 12 (15,58%) | Matemáticas | 2 (2,59%) | |||||||||
| Química | 17 (22,07%) | Matemáticas (Opción Estad. y Comp.) | 2 (2,59%) | |||||||||
| Electrónica | 6 (7,79%) | Química | 2 (2,59%) | |||||||||
| Mecánica | 8 (10,38%) | Física | 2 (2,59%) | |||||||||
| Producción | 3 (3,89%) | Biología | 1 (1,29%) | |||||||||
| Geofísica | 4 (5,19%) | | ||||||||||
| Eléctrica | 9 (11,68%) | |||||||||||
| Computación | 8 (10,38%) | |||||||||||
| Materiales/op Polímeros | 1 (1,29%) | |||||||||||
De la experiencia previa y exploratoria (Garbin y Mireles, 2005) se revisa la metodología, los instrumentos de recogida de datos y análisis de estos. Se corrigen, se cambian y/o se completan aquellos aspectos que así lo requieren.
Se aplican dos cuestionarios a los estudiantes (C1 y C2). El primer cuestionario se mantiene con alguna modificación al de Garbin y Mireles (2005), el segundo cuestionario amplía y modifica el de Garbin y Mireles (2005).
Las preguntas del C1 se plantean bajo la hipótesis de que los esquemas conceptuales (Tall y Vinner, 1981) de los objetos geométricos se construyen principalmente a partir de la representación y experiencias de visualización, y sobre la opinión de que la experiencia es un factor fundamental en la formación de la intuición. El cuestionario tiene dos partes y se aborda los fractales: Cantor, Koch, Árbol y Koch Aleatorio. Se muestra la construcción del fractal en sus primeros pasos (ver como ejemplo Fig. 1) y se escribe: Trata de imaginar cada paso que sigue de la construcción, el 4,5,6,7 hasta el infinito. A) Describe lo que ves y lo que ocurre en la medida que se van haciendo más pasos. B) En el infinito resulta un objeto geométrico llamado se coloca el nombre del fractal respectivo. Imagina que dispones de un instrumento potente con el que puedes aumentar parte del objeto cuantas veces quieras. Ahora enfoca una parte del se coloca el nombre del fractal respectivo. Describe lo que ves y lo que ocurre a medida que va aumentando la potencia del instrumento. ¿Puedes describir lo que ves cuando el instrumento tiene aumento infinito? Dependiendo del fractal estas preguntas van acompañadas por otras: sobre la longitud y el número de puntos de Cantor, área y longitud de la curva de Koch, y sobre la longitud de la curva de Koch aleatorio.
Del cuestionario C2, nos interesa la primera pregunta que cierra el contacto con el primer cuestionario de los estudiantes. Es entregado a cada estudiante luego de terminar el primero. Los conjuntos que te hemos presentado en la primera parte: el de Cantor, de Koch, Tree, y Koch aleatorio, son objetos matemáticos que se llaman fractales. Trata de encontrar las características comunes y con ellas trata de dar una definición de fractal. Un fractal es: (se deja el espacio para contestar)
En la metodología de análisis se opta por el uso de la redes sistémicas (Bliss, Monk y Ogborn, 1983) como sistema de clasificación y representación de los datos cualitativos obtenidos a partir de las respuestas dadas por los alumnos en los cuestionarios aplicados. Las redes sistémicas permiten una determinada configuración de los datos, que permite mirar de manera efectiva todas las respuestas de los alumnos encuestados. Se estructuran en forma de árbol con ramas que se subdividen en clases, que son categorías que se excluyen entre ellas, y en aspectos, que no se excluyen. Para su construcción se siguen las categorías de cada red resultadas de la experiencia previa (Garbin y Mireles, 2005), permanecen si éstas se confirman, y se agregan aquellas nuevas categorías que surgen en esta nueva investigación.
Respuestas y percepciones de los estudiantes
De los 77 estudiantes, 7 no contestan a ninguna de las preguntas. 70 alumnos contestan por lo menos una. Con este último número contabilizamos las respuestas traducidas en porcentajes.
1. Sobre la naturaleza recursiva-iterativa, habiéndose ya explicitada su problemática, tenemos los siguientes resultados.
a) Recursión
En la tabla 2 se puede observar, como resumen, el porcentaje de alumnos que se encuentran en cada categoría principal que reflejan las redes sistémicas construidas.
Tabla 2. Categorías encontradas sobre la recursión
|
| Proceso de divergencia (%) | Proceso de convergencia (%) | Proceso de divergencia y convergencia (%) | Explicita | ||
| La regla (%) | La regla pero reformulada (%) | La regla dada y además reformula (%) | ||||
| Cantor | 8,5 | 21,4 | 35,7 | 7,1 | 11,4 | 1,4 |
| Kock | 11,4 | 1,4 | 11,4 | 1,4 | - | - |
| Arbol | 22,8 | 7,1 | 12,8 | 2,8 | - | - |
| Kock Aleatorio | 2,8 | 5,7 | 8,5 | 2,8 | - | - |
Es bajo el número de estudiantes que hacen alusión explícita o implícita sobre algún aspecto del proceso de recursión en la construcción de los fractales. Con relación a la base y el proceso iterativo en sus dos aspectos de convergencia y divergencia el porcentaje aumenta, por ejemplo el 36% de los estudiantes explicitan el proceso de divergencia y convergencia en Cantor; y esta categoría no aparece en el estudio en Garbin y Mireles (2005) 2. En nuestro estudio no hay respuestas de carácter finitista, es decir considerando a la iteración como finita. Esto es debido probablemente a las edades de los participantes del estudio y por el conocimiento previo que éstos tienen. El paso de lo finito a lo infinito se ha ido consolidando a partir de las distintas matemáticas estudiadas donde aparecen procesos infinitos, como el de límite. La influencia de los conocimientos sobre el cálculo diferencial e integral se expresa en algunas afirmaciones haciendo alusión a la noción de infinitesimal. En esta categoría de respuestas el alumno A37 escribe3: Sucede un crecimiento superficial infinitesimal. Es interesante subrayar que se explicita el proceso de convergencia en un porcentaje mayor en el fractal Cantor, mientras que en el fractal Koch y Árbol es el de divergencia. La representación geométrica del fractal Cantor alude al proceso de convergencia, se van haciendo líneas más pequeñas, sin embargo visualmente el resto de fractales se expanden y se hacen más grandes. Queda en evidencia la importancia de coordinar cognitivamente ambos procesos (de convergencia y divergencia) para percibir o entender al fractal en sus características específicas.
b) Autosemejanza
En la tabla 3 se puede observar, como resumen, el porcentaje de alumnos que se encuentran en cada categoría principal que reflejan las redes sistémicas construidas.
Tabla 3. Categorías encontradas sobre la autosemejanza
| Por la recurrencia (%) | Visualiza figura inicial, semejante, o alguna parte de ella (%) | |||||||
| Figura Inicial o semejante | Puntos | Triángulos | Estrellas | Picos o puntas | Segmento básico del primer paso | Ramificaciones o líneas | ||
| Cantor | 20 | 22,8 | 20 | - | - | - | - | - |
| Kock | 2,8 | 17,4 | - | 14,2 | 1,4 | 4,2 | 1,4 | - |
| Árbol | 1,4 | 27,1 | - | - | - | 1,4 | - | 8,5 |
| Kock aleatorio | 1,4 | 14,2 | - | - | - | 4,2 | - | 2,8 |
Como podemos observar no es muy alto el porcentaje de alumnos que explicitan o hacen alusión a la característica de autosemejanza en los fractales. Las respuestas de los alumnos son caracterizadas bajo dos aspectos. La evidencia de la autosemejanza dada por el proceso de recurrencia, la cual obtuvo un menor porcentaje, y la evidencia de la autosemejanza dada por el aumento (imaginario) del instrumento: se observa la figura inicial o semejante a ella, o partes de esta figura inicial, triángulos, estrellas, picos, líneas, etc.
Cabe señalar que hay estudiantes que al aplicar el aumento del instrumento, enfocan visualmente las subdivisiones o divisiones, pero no visualizan la autosemejanza geométrica: al aumentar la potencia del instrumento, simplemente se podría ver con más detalle cada subdivisión que se genera en la figura; cada segmento se va fraccionando y progresivamente cada subdivisión es más pequeña que su predecesora. Relevante es la respuesta del alumno A43 que al referirse al fractal Koch afirma: mientras mayor la potencia de enfoque, se ve una cantidad infinitesimal de picos que se va formando como circunferencia. No alude explícitamente a la autosemejanza geométrica, el foco de su visualización es la medida infinitesimal de los picos lo cual hace tender al fractal Koch a una circunferencia.
En la tabla se puede observar que un 20% de los estudiantes, con el aumento del instrumento visualizan puntos, las expresiones de los alumnos aluden a que estos puntos tienen dimensión, como si fueran pequeñas rectas: se ven puntos cada vez más pequeños (A8); cada vez se verá puntos más pequeños (A5).
2. Resultados sobre otras características fractales:
(c) Complejidad/Escabrosidad
La escabrosidad o complejidad, como propiedad fractal, es una de las menos esperadas en las respuestas de los alumnos. En el estudio de Garbin y Mireles (2005) ha sido muy bajo el número de afirmaciones relacionadas con esta categoría.
En la siguiente tabla se puede observar, como resumen, el porcentaje de alumnos que se encuentran en cada categoría principal reflejada en las redes sistémicas construidas.
Tabla 4. Categorías encontradas sobre Complejidad/escabrosidad
| Figura/Objeto complejo (%) | Figura/objeto irregular (%) | Figura/objeto corrugado (%) | Objeto abstracto (%) | Figura/objeto Desordenado (%) | |
| Cantor | - | - | - | - | - |
| Kock | 2,8 | 2,8 | - | 1,4 | - |
| Árbol | 1,4 | - | - | - | - |
| Kock Aleatorio | 1,4 | 4,2 | 1,4 | - | 2,8 |
Hay un menor número de afirmaciones asociadas a esta categoría con respecto a otras. Tal vez la familiaridad de los procesos infinitos hace ver la figura menos compleja de lo que realmente es. Los alumnos que entran en esta categoría básicamente responden desde la idea de proceso, se parte de figuras simples y a través de la repetición infinita de pasos va resultando una estructura más compleja. La aleatoriedad en el conjunto de Koch hace percibir al fractal Koch Aleatorio como desordenado o caótico: se vuelve algo desordenado (A46), lo comparo con el conjunto de Koch (sin aleatorio) y me parece un caos, pero me imagino el universo en desorden (A14).
(d) Medida
En el primer cuestionario además de pedir una descripción sobre el proceso geométrico de construcción de cada fractal, también se pregunta sobre el área y perímetro de Koch, sobre el perímetro de Koch aleatorio y sobre la longitud del conjunto de Cantor y el número de puntos de este conjunto. Por otra parte hay alusiones y afirmaciones en las respuestas de los alumnos sobre si el conjunto de Cantor desaparece o se hace polvo.
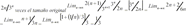
Sobre el área y los perímetros pedidos (y longitud de Cantor), los alumnos no tratan de hallarlos, menos tres alumnos que intentan justificar que la longitud de Cantor tiene un valor numérico, estableciendo una serie o un límite. Por ejemplo A38 escribe: a partir del paso 2, la longitud del conjunto de Cantor en un paso n es igual

La suma de las longitudes en el infinito es igual a 1/3.
En la figura anterior (Tabla 5) podemos observar el porcentaje de respuestas más representativas. Los alumnos justifican la infinitud de la longitud de cada curva, desde la concepción finita de suma, al aumentar el número de sumandos aumenta la suma final. Los sujetos que afirman que disminuye la longitud es debido a que se limitan a observar a cada segmento, igualmente sucede con la categoría muy pequeña asociada al fractal Koch, identifican como muy pequeña a una longitud microscópica o infinitamente pequeña.
Tabla 5. Respuestas representativas asociadas a la medida
| Longitud | Infinita (%) | Disminuye (%) | Se aprox. a 0/infinitesimal (%) | Compara con segmento inicial (%) | La misma con la que se comienza (%) | No se puede calcular (%) |
| Cantor | 14,2 | 5,7 | 14,2 | 18,5 | 8,5 | 1,4 |
| Kock | Infinita | Muy pequeña | Es o aproximadamente igual a una circunferencia | Se calcula con un límite o suma infinita | La misma con la que se comienza | No se puede calcular |
| 8,5 | 4,2 | 12,8 | 5,7 | 1,4 | 10 | |
| Kock Aleatorio | Infinita | Aumenta | Es infinitesimal | Se calcula con un límite | La misma con la que se comienza | No se puede calcular |
| 14,2 | 7,1 | 1,4 | 1,4 | 1,4 | 2,8 |
En Cantor, los alumnos no piensan en cada punto sino en la longitud total: se va haciendo menor a medida que tiende al infinito volviéndose casi nula (A4), longitud infinitesimal (A29), es cero en el límite (A39).
En relación al conjunto de Koch un alumno afirma sin mayor explicación que la longitud: sería infinitesimal (A37), probablemente no se refiere a la longitud total, sino al de cada segmento. Interesantes son las respuestas de 9 alumnos que afirman que la longitud es, o es aproximadamente, igual a la longitud de la circunferencia, visualizan que el fractal Koch se aproxima a ésta.
Aquellos alumnos que responden que la longitud es la misma con la que se comienza, consideran como longitud al espacio geométrico del segmento inicial de Cantor, observan que los puntos, cada vez más pequeños, siguen dibujados en ese espacio. El alumno que contesta en Koch y en Koch aleatorio que es la misma longitud, no da ninguna explicación. Se puede observar que en Koch Aleatorio, 5 estudiantes expresan que la longitud del fractal aumenta, esto es debido a que visualizan a la figura de manera que se está expandiendo, con lo cual la suma aumenta, sin considerar la disminución de cada segmento. Con relación al área de Koch podemos observar la tabla 6.
Tabla 6. Respuestas relacionadas con el área de Koch
| Es posible calcularla a través de una integral(%) | Es posible calcularla a través de una suma (%) | Es posible calcularla en base a los triángulos (%) | Es el área de un círculo/aproximadamente el área de un círculo (%) |
| 2,8 | 7,1 | 5,7 | 18,5 |
| Es infinita (%) | Es posible hasta cierto punto, usando diferenciales o discriminando infinitesimales (%) | Es posible aproximarla más no encontrar un número exacto (%) | No se puede calcular (%) |
| 8,5 | 2,8 | 4,2 | 4,2 |
Interpretamos que los estudiantes responden positivamente a la posibilidad de calcular el área por su conocimiento previo de cálculo. Ellos ya conocen que aunque el proceso de cálculo es infinito es posible encontrar el área bajo una curva, o escribir en forma de suma infinita, en este caso, las áreas de cada triángulo que se está formando: sí, una integral definida por una ecuación similar a la de una circunferencia (A22); el área es el área del paso anterior más el área de un triángulo con lado igual a 1/3 del lado del paso anterior. Si se podría calcular por medio de una serie (A12).
En concordancia a la pregunta anterior sobre longitud de las curvas, de igual manera 14 alumnos contestan que el área se aproxima, o es el área de un círculo, colocando la fórmula del área del círculo. Vale la pena subrayar, expresiones propias del cálculo infinitesimal de dos estudiantes: a medida que se va rellenando se va definiendo el borde como una línea, si tomamos este borde como una línea tomando diferenciales de área, creo que se puede calcular (A18); calcularla como tal sería engorroso. Sin embargo, considero que se podría determinar hasta cierto punto en la subdivisión y el resto podría omitirse por ser infinitesimal (A31).
Estas respuestas difieren de las encontradas en Garbin y Mireles (2005). En estudiantes entre 15 y 16 años, sin tener al cálculo diferencial e integral como conocimiento previo, las respuestas son, en cuanto al área y longitud: aumentan, es difícil de calcular, cambian, se reducen, es infinita, es incalculable. Las respuestas mayoritarias son las afirmaciones sobre que el área y el perímetro aumentan. Son apreciaciones relacionadas con el proceso de divergencia, se agregan triángulos o segmentos, y no hay conciencia o atención al proceso de convergencia. Se interpreta que estos alumnos responden desde la concepción finita y positiva de la suma, en la cual a medida que aumenta el número de sumandos, aumenta su valor en sentido potencial.
La mayoría de los estudiantes universitarios, que responden a la pregunta sobre el área de Koch, aceptan la posibilidad de que se pueda calcular el área. Para algunos de forma aproximada, para otros de forma exacta. Es decir, en algunos el proceso infinito es total y en sentido actual (Garbin, 2005), y para otros se mantiene en sentido potencial.
Con relación al número de puntos del conjunto de Cantor, un alto porcentaje (52,8%) afirma que hay infinitos puntos. También hay otras afirmaciones: aumentan (4,2%), disminuyen (2,8%), son muchos (1,4%), dos estudiantes afirman que: es imperceptible por el ojo humano (A21), no los veo (A3) y un último que no sabe. Como vemos no aparecen respuestas de tipo finito como en Garbin y Mireles (2005).
Se alude también a que el Conjunto de Cantor se hace polvo o desaparece. Para el 21,4% el conjunto de Cantor es un conjunto o sucesión de puntos. Para el 2,8% el conjunto de Cantor desaparece: se va formando una línea segmentada hasta llegar a un conjunto de puntos, al infinito no será nada (A10). El 5,7% lo relaciona con puntos infinitesimales: Puedo suponer que a medida que se avanza en los pasos, cada vez son más pequeñas las líneas hasta hacerse infinitesimales (A31).
En el segundo cuestionario se pide a los estudiantes, después del proceso de visualización, que traten de escribir una definición de fractal. Después de haber contestado lo que se pide en el primer cuestionario, los alumnos tratan de dar una definición de fractal.
a) El fractal como objeto irregular que representa fenómenos naturales
Dos alumnos muestran con su definición y explicación este modo de ver al objeto fractal, asociado a la naturaleza. Uno de ellos, afirma que nunca había oído sobre fractales pero que supone que: es la representación de objetos macros y micros de la naturaleza (A14). Sin embargo, el alumno A74 parece que ya ha tenido contacto con esta área del conocimiento: la geometría de los órganos o de una estructura general. Este se debe a la imposibilidad de reproducir exactamente cada ser o estructura por medios naturales. La geometría pitagórica o cualquier otra geometría que se basa en polígonos no puede describir de manera precisa ninguna de las cosas antes mencionadas. Por eso estos conjuntos se aproximan de mejor manera debido a la aproximación que se puede hacer con ellos de estas figuras cuando al infinito sus particiones o repeticiones.
Por otra parte, tres estudiantes no lo relacionan directamente con la naturaleza, lo asocian a un proceso de aproximación: es una aproximación a una figura simple mediante pequeños segmentos de rectas ordenados (A28), una manera de ir aproximando las superficies de una figura de tal manera que al final se pueda calcular como si fuera una superficie lisa (A41). Para el alumno (A59) por medio del fractal se puede encontrar una aproximación del área no definida geométricamente.
b) Los fractales como objetos límites y objetos producto
La existencia de algunos fractales como límite de procesos infinitos aparece en la definición de uno de los estudiantes: Es un límite de una superficie, la mayor aproximación de una superficie (A5). Sin embargo, ningún estudiante ha formulado alguna definición que muestre al fractal como producto de un proceso infinito, producido por construcciones formadas por sucesiones geométricas.
El objeto resultante, como producto, es visualizado de esta manera si el sujeto logra darse cuenta que no se llega al estado final directamente por ningún paso del proceso, sino que es reflejado por la totalidad del proceso que supera cada particularidad .
Algunos alumnos ven al fractal como un estado final pero como resultado de algún paso del proceso. Se quedan en las particularidades del proceso, la subdivisión, la recurrencia, o la autosemejanza.
c) El fractal como un conjunto matemático que cumple ciertas propiedades
La mayoría de los estudiantes tratan de definir al fractal a través de sus propiedades. Las propiedades no son todas visualizadas por los alumnos, con lo cual definen al fractal sin tener en cuenta todas las propiedades con que matemáticamente se definen (no la conocen), sino con aquellas que han sido percibidas. Algunas de las definiciones aluden al proceso y otras al objeto matemático.
Ningún alumno expresa la definición con más de dos propiedades. Las dos visualizadas al mismo tiempo fueron la autosemejanza y la recurrencia. Dos alumnos se encuentran en esta categoría. El alumno A63 escribe: El fractal viene dado por un objeto al cual se le hacen alteraciones sistemáticas dando como resultado un objeto al cual podemos aumentar una parte y veremos algo similar al objeto sin aumentar
El resto de los alumnos que contestaron a esta parte del cuestionario definieron al fractal a partir de una sola característica o propiedad.
Seis estudiantes definen al fractal teniendo en cuenta el proceso de división y trece al proceso recurrente. A modo de ejemplo: Es una disposición geométrica que puede ser dividida infinitamente (A33), objeto que se va subdividiendo a medida que aumenta (A1); un patrón sucesivo que representa el crecimiento o decrecimiento de un conjunto (A4), un objeto matemático cuya forma geométrica está determinada por una serie matemática que depende de un parámetro (A30), una estructura que presenta un patrón característico que no cambia dependiendo del aumento que se haga a dicha estructura y se repite indefinidamente (A36).
Ocho alumnos definen al fractal desde la propiedad de autosemejanza: un objeto que a medida que uno se acerca, vuelve a aparecer la forma del objeto inicial que se había visto (A35), un objeto que se caracteriza porque cada una de sus partes, es decir, si el objeto se aumenta de tamaño y se observa, se encuentra nuevamente el mismo objeto (A68).
Otro orden de afirmaciones de los estudiantes, no tienen relación con las propiedades que cumplen los conjuntos fractales. Para tres alumnos es una representación de una sucesión, para otro es una figura formada por infinitos segmentos.
Por último, afirmar que ningún alumno enfocó la propia definición desde la dimensión del objeto matemático. Esto se esperaba debido a que la dimensión fractal es contraintuitiva y la representación del objeto matemático se hace usando la geometría euclídea.
A modo de conclusión
A partir de las redes sistémicas se establecen categorías y subcategorías asociadas a algunas de las propiedades del conjunto fractal y etiquetadas como: recursión, autosemejanza, complejidad/escabrosidad, medida. La mayoría de los alumnos visualiza al fractal en sus propiedades de manera parcial. Esto quiere decir, que las propiedades que definen al conjunto fractal no son percibidas al mismo tiempo por estos. Las dos características que son visualizadas y tomadas en cuenta al mismo tiempo para dar una definición, son la recurrencia y la autosemejanza. La dimensión fractal resulta contraintuitiva y la complejidad matemática del conjunto fractal no es del todo percibida. Esto se manifiesta también en alumnos preuniversitarios (Garbin y Mireles, 2005), lo cual hace pensar que el conocimiento previo de cálculo diferencial e integral, no ha tenido una incidencia significativa y/ o determinante en las respuestas de los estudiantes. Algunos estudiantes usan expresiones propias del cálculo diferencial e integral, pero en su mayoría, responden de manera más bien intuitiva, dejándose llevar por la representación y visualización de cada fractal y por lo que alude la construcción propuesta en el cuestionario. Por otra parte, en las respuestas de estos estudiantes universitarios, no aparecen afirmaciones del tipo finitista, lo cual muestra probablemente que el paso de lo finito a lo infinito se ha ido consolidando a través del contacto con las matemáticas que involucran procesos infinitos.
Se presenta al inicio del artículo distintas categoría de concepciones,: a) los fractales como objetos límite y objetos producto, b) como objetos geométricos con dimensión fraccionaria, c) como objetos irregulares que representan fenómenos naturales y d) como conjuntos matemáticos que cumplen ciertas propiedades. También se habla sobre la complejidad de la construcción cognitiva de un objeto matemático, especialmente cuando está involucrado un proceso infinito y cuyo objeto final no es producido por cada paso del proceso, es decir, no es el resultado de un último paso sino de la totalidad del proceso. Esta es la dificultad con que se han encontrado los alumnos al tratar de dar una definición de fractal.
La mayoría de los estudiantes participantes de nuestro estudio tratan de definir al fractal como un conjunto matemático que cumple ciertas propiedades, pero la definición que ofrecen no es completa, en el sentido que no nombran todas las propiedades de la definición del conjunto fractal desde el punto de vista matemático, por ser éstas no todas visualizadas. Con un menor porcentaje se dieron definiciones asociadas a las concepciones del fractal como objeto límite y producto, y como objetos que representan fenómenos naturales.
El estudio evidencia que uno de los procesos clave, para la construcción cognitiva de estos objetos matemáticos (fractales simples propuestos desde la construcción matemática con iteración geométrica) y para una comprensión intuitiva desde la visualización y percepción de éstos objetos, es el proceso que en el análisis teórico hemos descrito. La naturaleza recursiva-iterativa de algunos fractales simples (Koch, Árbol, Cantor) requiere de una coordinación simultánea entre el creciente número de pasos a operar y el decreciente resultado parcial que debe ser operado, y por otra parte ésta debe coordinarse con el proceso de autosemejanza. Todo esto implica la representación y la coordinación entre las representaciones de cada paso de la construcción.
Si no se completa en el estudiante la integración entre las diferentes representaciones y la síntesis parcial (referida al proceso de abstracción), se dificulta la formación de conceptos abstractos. Esto es algo que didácticamente habría que tener en cuenta para facilitar al estudiante la formación de la noción abstracta de fractal.
También podemos afirmar que asegurar lo anterior no es suficiente, la complejidad abstracta del fractal y su complejidad matemática, requiere procesos y etapas complejas de aprendizaje, que hay que seguir profundizando y evaluando. De manera especial hay que considerar el caso de la dimensión fraccionaria, elemento esencial en la definición clásica de fractal.
Se requiere seguir investigando sobre cuál podría ser la transposición didáctica adecuada para este tipo de conceptos matemáticos, que son formales y muy complejos matemáticamente, pero con un valor didáctico importante: para desarrollar ciertas destrezas matemáticas en los alumnos, potenciar la enseñanza de la geometría, para acercarse a otros conceptos (en nuestro estudio se muestra que podrían ser utilizados para acercarse a la noción de infinitesimal), para favorecer formas de pensamiento matemático más avanzado, en la transición del PME al PMA, para ofrecer una matemática distinta, más moderna y relacionada con la naturaleza que permite aproximaciones más cercanas a lo que puede dar la geometría euclídea.
Referencias
1. Bliss, J. Monk, M. y Ogborn, J. (1983). Qualitative data analysis for educational research. London: Croom Helm. [ Links ]
2. Carrera, J. (1994). Los fractales. Epsilon, 28, 27-53. [ Links ]
3. Choi, J. y Shin, I. (1998). A study on the possibility of introduction of fractals to the high school mathematics curriculum: The Mathematical Education. Journal of Korea Society of Mathematical Education Series, 37, 115-126. [ Links ]
4. Cornu, B. (1991). Limits. Limits. En Tall, D. (ed). Advanced Mathematical Thinking (pp. 153-166). Kluwer Academic prés Dordrecht: Boston/London. [ Links ]
5. Domingo, J. y Hernán, F. (1994). Dos regalos: los números y las figuras. España. Epsilon, 9-10(1), 127-148. [ Links ]
6. Dubinsky, Ed (1991). Reflective Abstraction in Advanced Mathematical Thinking. En Tall, D. (Ed.) Advanced Mathematical Thinking (pp. 95123). Kluwer Academic Publisher. Dordrecht: Boston/London. [ Links ]
7. Dubinsky, R., Weller, K., y Mc Donald, M. (2005a). Some Historical Issues and Paradoxes Regarding the Concept of Infinity: An Apos Analysis: Part 1. Educational Studies in Mathematics, 58 (3), 335-359. [ Links ]
8. Dubinsky, R., Weller, K., y Mc Donald, M. (2005b). Some Historical Issues and Paradoxes Regarding the Concept of Infinity: An Apos Analysis: Part 2. Educational Studies in Mathematics 60 (2), 253-266. [ Links ]
9. Falconer, K. (1990). Fractal Geometry. Mathematical Foundations and Applications. Chichester: John Willey y Sons. [ Links ]
10. Fernández, F. y Pacheco, J. (1991). Valor matemático elemental de los fractales. Suma, 9, 4-10. [ Links ]
11. Garbin, S. y Mireles, M. (2005). Fractal: ideas y percepciones de estudiantes entre 15 y 17 años. Acta Latinoamericana de Matemática Educativa, 18, 101-107. [ Links ]
12. Garbin, S. (2005). Cómo piensan los alumnos entre 16 y 20 años el infinito? La influencia de los modelos, las representaciones y los lenguajes matemáticos. Relime, 8 (2), 169-193. [ Links ]
13. García, J. y Otálora, F. (1994). El uso de la geometría fractal en las ciencias naturales. Epsilon, 28, 10(2), 109-125. [ Links ]
14. Gerald, E. (1990). Measure, Topology, and Fractal Geometry. New York: Springer-Verlag. [ Links ]
15. Greeno, J. (1983). Conceptual Entities. In Gentner, D and Stevens, A. (Eds.), Mental Models (pp. 227252). Hillsdale, NJ: Lawrence Erlbaum Associates. [ Links ]
16. Guzmán, M de. (1994). Introducción a los procesos geométricos infinitos y a las estructuras fractales. Epsilon 28, 10 (1), 17-26. [ Links ]
17. Harel, G. y Kaput, J. (1991). The Role of Conceptual Entities and Their Symbols in Building Advanced Mathematical Concepts. En Tall, D. (Ed.), Advanced Mathematical Thinking (pp. 82-94). Kluwer Academic Publisher. Dordrecht/Boston/London. [ Links ]
18. Henn, H. (1989). Das Schneeflockenland und andere Fraktale: Eine Einfuehrung in den fraktalen Dimensionsbegriff. Mathematikunterricht, 35 (5), 43-61. [ Links ]
19. Heigl, A. (1998). Fractals within mathematics lessons: Fraktale im Mathematikunterricht. Kpeln: Aulis Verl, Deubner. Germany. [ Links ]
20. Komorek, M., Duit, R. Bücker, N. y Naujack, B. (2001). Learning Process studies in the field of fractals. Obtenido en Febrero 12, 2006, de http://www.ipn.uni-kiel.de/projekte/esera/book/b185-kom.pdf. [ Links ]
21. Latorre, A., Rincón del, D., Arnal, J. (1996). Bases metodológicas de la investigación educativa. Barcelona, España: GR92. [ Links ]
22. Mamona-Downs, J. (2001). Letting the intuitive bar upon the formal: A didactical approach for the understanding of the limit of a sequence. Educational Studies in Mathematics, 48 (2-3), 259-288. [ Links ]
23. Mandelbrot, B. (1984). Los objetos fractales. España: Metatemas 13. [ Links ]
24. Mandelbrot, B. y Frame, M. (2002). Fractals, Graphics, & Mathematics Education. Published by The Mathematical Association of America. USA. [ Links ]
25. Monaghan, J. (2001). Young peoples ideas of infinity. Educational Studies in Mathematics, 48(2-3), 239-257. [ Links ]
26. Moreno, J. (2002a). Experiencia didáctica en matemáticas: construir y estudiar fractales. Suma, 40, 91-104. [ Links ]
27. Moreno, J. (2002b). El juego del caos en la calculadora gráfica: construcción de fractales. Suma, 42, 69-79. [ Links ]
28. Naylor, M. (1999). Exploring Fractals in the Classroom. Mathematics Teacher, 92(4), 360-66. [ Links ]
29. Núñez, E. (1994). Subdivision and small infinities Zeno, paradoxes and cognition. Actas del PME, 18(3), 368-375. [ Links ]
30. Redondo, A. y Haro, D. (1994). Actividades de geometría fractal en el aula de secundaria. Suma, 47, 19-28. [ Links ]
31. Ruiz, L. (1998). La noción de función: Análisis epistemológico y didáctico. Jaen, España: Publicaciones de la Universidad de Jaén. [ Links ]
32. Sacristán, A. (1998). Espirales y fractales: visualización y estudio de sucesiones infinitas. Memorias del noveno Seminario Nacional de Calculadora y Microcomputadoras en Educación Matemática. México. [ Links ]
33. Sfard, A. (1991). On the Dual Nature of Mathematical Conceptions: Reflections on processes and objects as different sides of the same coin. Educational Studies in Mathematic, 22, 136. [ Links ]
34. Tall, D. y Vinner, S. (1981). Concept image and concept definition in mathematics with particular references to limits and continuity. Educational Studies in Mathematics, 12 (2), 151-169. [ Links ]
35. Tall, D., Thomas, M, Davis, G., Gray, E. y Simpson, A. (2000). What is the object of the encapsulation of a process?. Journal of Mathematical Behavior, 18 (2), 1-19. [ Links ]
36. Tall, D. y Vinner, S. (1981). Concept image and concept definition in mathematics, with special reference to limits and continuity. Educational Studies in Mathematics, 12, 151169. [ Links ]
37. Tall, D. y Gray, E. (1994). Duality, Ambiguity and Flexibility: A Proceptual View of Simple Arithmetic. The Journal for Research in Mathematics Education, 26 (2), 115-141. [ Links ]
38. Tall, D. (1994). A Versatile Theory of Visualisation and Symbolisation in Mathematics, Plenary Presentation. Proceedings of the 46th Conference of CIEAEM, Toulouse, France (July, 1994), 1, 15 27. [ Links ]
39. Tall, D. y Tirosh, D. (2001). Infinity The never-ending struggle. Educational Studies in Mathematics, 48 (2-3), 129-136. [ Links ]
40. Zapata, R (1996) Integración de la geometría fractal en las matemáticas, y en la informática, de Secundaria. Obtenido en Enero 20, 2006 en http://www.math.rice.edu/~lanius/fractals/WHY [ Links ]
Nota:
1 single stroke
2 Tres alumnos consideran el proceso completo con la iteración convergente y divergente, sin embargo 1 de ellos considera la iteración finita, otro alumno lo afirma en el Fractal Árbol y un último en Koch aleatorio
LA AUTORA
Sabrina, Garbin Dall´Alba
Departamento de Matemáticas Puras y Aplicadas. Universidad Simón Bolívar Línea de Investigación: Pensamiento Matemático Avanzado, y Didáctica del Cálculo/Análisis. sgarbin@usb.ve; sabrinagarbin@yahoo.es













