Serviços Personalizados
Journal
Artigo
Indicadores
-
Citado por SciELO -
Acessos
Links relacionados
-
Similares em
SciELO
Compartilhar
Paradígma
versão impressa ISSN 1011-2251
Paradìgma v.9 n.2 Maracay dez. 2008
Experimentación y prueba: Dos Dimensiones de las Matemáticas desde la Escuela Primaria
Investigadora en el Laboratorio de Didactica de las Matemáticas: DIDIREM Paris 7
Resumen
Es de lo más común en las matemáticas acentuar el papel del rigor y del respeto de la verdad y concebir la actividad matemática en la escuela como una sucesión de ejercicios y aplicación de técnicas (algoritmos, teoremas) Esta visión de las matemáticas podría ser incompleta y esconder otros aspectos como la imaginación y la exploración requeridas por la actividad matemática. ¿Cómo integrar estos aspectos en la enseñanza? Apoyándose en investigaciones en didáctica francesa de las matemáticas (Brousseau 1998; Douady, 1993; Chevallard, 1992), este artículo intenta mostrar cómo una dialéctica entre experimentación y prueba (validación) puede ayudar a construir el aprendizaje, en particular en la escuela primaria.
Palabras clave: Experimentación, Prueba, Escuela básica, Didáctica de las matemáticas, Situación didáctica.
Experimentation and proof: two dimensions of mathematics from primary school
Abstract
It seems usual to give a great importance to rigor and search for truth in mathematics, to conceive the mathematical school activity as a succession of exercises and applications of techniques (algorithms, theorems)This vision of mathematics could be incomplete and hides other aspects as imagination and research required by mathematical activity. How can we integrate these aspects in teaching? Supported by French investigations of mathematic didactics (Brousseau 1998, Douady 1993, Chevallard 1992), this report intended to show how a dialectic between experimentation and proof can help to build learning, particularly in primary school.
Keywords: Experimentation, Proof, Primary school, Didactics of mathematics, Didactical situation.
Expérimenter et prouver: deux dimensions de lactivité mathématique, dès lécole primaire
Résumé
Il est usuel daccorder une grande importance en mathématiques à la rigueur, au respect de la vérité et de concevoir lactivité mathématique à lécole comme une succession dexercices et dapplications de techniques (algorithmes, théorèmes ). Pour beaucoup de mathématiciens cette vision des mathématiques est incomplète, elle occulte dautres facettes comme limagination, la recherche. Comment intégrer ces aspects dans lenseignement ? En sappuyant sur des recherches françaises de didactique des mathématiques (Brousseau 1998, Douady 1993, Chevallard 1992), larticle se propose de montrer comment lintroduction dune dialectique entre expérimentation et preuve dans lactivité de lélève permet de construire des apprentissages mathématiques, et ce dès lécole primaire.
Mot-clés: expérimentation, preuve, école primaire, didactique des mathématiques, situation didactique
Recibido: 29 05 2008 Aceptado: 18 09 2008
Introducción
Es usual concebir a las matemáticas como una ciencia rigurosa y cierta y verlas en el aula de clases como la ejecución de algoritmos y la aplicación de teorías. Esta manera de considerlas se asocia con la creencia popular según la cual las matemáticas son reveladas y no construidas por los hombres. No toma en cuenta la génesis de los resultados matemáticos, ni el tiempo que ha sido necesario para inventar soluciones más rapidas y generalizables.
Por otra parte, se debe tomar en cuenta que cada asignatura escolar tiene que contribuir a la formación del alumno como ciudadano de modo que, sobre la base de juicios debidamente sustentados, pueda enfrentar las rápidas transformaciones que suceden en el mundo actual. ¿Qué hacer en el aula para que los alumnos adquieran no sólo una visión más adecuada de las matemáticas sino también una comprensión más robusta de ella? ¿Cómo mostrar a los alumnos que las matemáticas pueden ayudar a lograr un mejor conocimiento del mundo y a robustecerles su poder cognitivo y crítico?
Responder estas interrogantes amerita valorizar la dimensión experimental de las matemáticas y reconocer la existencia de diferentes niveles de prueba en ellas, así como también tomar conciencia de la necesidad y de la posibilidad de hacer que los alumnos se familiaricen con estas dos dimensiones desde la más temprana edad escolar.
Es esto lo que se trata de mostrar en este artículo, el cual se compone de tres partes: la primera ilustra aspectos de la dimensión experimental de las matemáticas y los diferentes niveles de prueba; en la segunda se da un ejemplo de Situación Didáctica (Brousseau, 1998) que valora estos aspectos; y, en la tercera se muestra cómo en el aula se pueden construir lecciones que los tomen en cuenta.
Experimentación y Prueba en Geometría
A continuación se expone el enunciado de un problema de determinación de medidas inaccesibles, el cual alude a una situación práctica que atravesó los siglos (Nota 1) y que nos recuerda que las matemáticas se construyeron primeramente como una herramienta que ayuda a mejorar la vida cotidiana.
Supongamos que haya un hombre enfrente de dos postes y que sean conocidas las alturas del hombre y del primer poste y las diferentes distancias. ¿Cómo conocer la altura h del segundo poste si la situación se presenta como se muestra en
Un primer medio podría ser: dibujar a escala (1m à
Un segundo modo sería encontrar un teorema que permita obtener una longitud a partir de otras; verificar cuáles son las condiciones del teorema lo más cercanas posibles a las circunstancias reales: los postes son paralelos. En este caso, la tarea no es tan simple: para seleccionar un teorema que sea aplicable, es necesario construir una conexión cognitiva (Duval, 2005) entre un teorema y un dibujo, para extraer de allí los triángulos que se muestran en
En el triángulo XST (Figura 3) se aplica el Teorema de Thales:
; luego, h=10.1 m
Ambos métodos son diferentes: no se puede decir que uno es mejor que el otro: depende solamente de la pregunta planteada. En muchas ocasiones la precisión no es indispensable; por ello, el primer método es suficiente; éste requiere conocimientos menos elaborados que el segundo, pero puede facilitar un medio para controlarlo; además, en el primero la realidad del dibujo y su precisión son los que dan una primera prueba, mientras que en el segundo lo fundamental es la coherencia de la teoría (la validez del teorema).
La resolución de este ejercicio ilustra dos niveles de experimentación y prueba. En el primer método la realidad se transforma en un dibujo que juega el papel de la realidad: la experimentación (medir) se hace sobre el dibujo, sobre este elemento material, real. En el segundo método el dibujo ya no es el objeto de estudio, ni tampoco el de prueba, sino sólo una ayuda para la heurística: la resolución se hace con el uso del teorema; en este caso es la teoría la que controla al teorema. Diferentes niveles de experimentación y de prueba en la resolución de ejercicios, especialmente en Geometría, son objeto de investigaciones recientes (Houdement y Kuzniak, 2006) que no serán desarrolladas en este artículo.
En definitiva, Practicar matemáticas es construir modelos que permitirán dominar fenómenos en la realidad (...) La cultura del modelo también es una cultura de lo experimental donde se aprende a despreciar lo que es despreciable según el modelo utilizado (Sensevy y Mercier, 1999: 76); así que las prácticas matemáticas en el aula de clase tienen que conservar esta dinámica
Un punto de vista didáctico sobre experimentación y prueba
La Teoría de las Situaciones Didácticas
Guy Brousseau, Profesor Emérito de
Sus hípotesis son las siguientes:
El alumno aprende adaptándose a un medio que es factor de contradicciones, de dificultades, de desequilibrios, un poco como lo ha hecho la sociedad humana. Este saber, fruto de la adaptación del alumno, se manifiesta por respuestas nuevas que son la prueba del aprendizaje (Brousseau, 1998: 59)
A la hipótesis inicial de Piaget, Brousseau le añadió la necesidad de una intención de enseñar: para que se produzca un aprendizaje, al elegir un problema juicioso, el profesor tiene que provocar en los alumnos las adaptaciones deseadas sin proponer, en un primer momento, los conocimientos que quiere que los alumnos adquieran: es el momento a-didáctico. De este modo, el aprendizaje se considera como una modificación del conocimiento que el alumno debe producir por sí mismo y que el maestro sólo debe provocar (Brousseau, 1998: 66)
Así para que el alumno aprenda un saber, es necesario que encuentre situaciones constitutivas de dicho saber. Según Brousseau una tarea de los especialistas de didáctica de las matemáticas sería construir situaciones para cada conocimiento matemático tomando en cuenta que:
la resolución debe utilizar este conocimiento como el más económico;
los alumnos pueden actuar y avanzar en el problema con conocimientos ya adquiridos (experimentación) y producir una repuesta;
al resolver un problema, los alumnos, por si mismos, puedan constatar su éxito o su fracaso (comprobación);
en caso que sea necesario, pueden volver a empezar;
la situación es susceptible de nuevas utilizaciones y generalización.
La situación del Rompecabezas
Brousseau (1998: 237) propuso esta situación para la construcción de la proporcionalidad geométrica, dentro del bloque de situaciones didácticas diseñadas para la enseñanza de los números racionales y decimales. Hasta este momento del aprendizaje, los alumnos todavía no se han enfrentado con problemas de ampliación de este tipo; pero han trabajado sobre la proporcionalidad numérica. El asunto enfocado es la relación entre ampliación (o reducción) geométrica y proporcionalidad de las longitudes.
A continuación se muestra un rompecabezas de seis piezas (Figura 4), las cuales pueden arreglarse en un cuadrado como se muestra en
A los alumnos (9-11años) se les pide que construyan este rompecabezas pero más grande; es decir que amplíen el diseño que se muestra en
En el nuevo rompecabezas, la longitud del lado de la pieza B, que mide
A cada alumno de cada equipo (por separado) se le encarga de ampliar una pieza conservando su forma. Los alumnos de un mismo equipo no pueden comunicarse entre ellos durante la fabricación de su correspondiente pieza, ya que no se han sentado uno junto a otro.
Los alumnos comienzan su trabajo y, normalmente, la gran mayoría pone en funcionamiento una estrategia aditiva sumar
Al comienzo creen que se trató de errores de medida o de cortado. Por ello, proceden a una nueva experimentación, e implementan otra estrategia tal como tomar el doble de cada longitud menos uno (porque a partir de 4, 7 se obtiene así: 2.4 1 = 8 1 = 7).
| 4 | 7 |
| 2 | 3 |
| 5 | 9 |
| 6 | 11 |
| a ― a x 2 - 1 | |
Como tampoco da el resultado esperado, los alumnos empiezan a pensar que hacerlo resulta imposible. Paulatinamente, la pregunta ¿Cómo puedo yo construir una buena pieza? se transforma en ¿como controlar que las piezas sean correctas antes de fabricarlas? Los alumnos estudian más atentamente el rompecabezas y, a menudo, constatan que:
la mitad de una longitud en el modelo se transforma en la mitad en el rompacabezas ampliado (lo que ya está utilizado intuitivamente)
la suma de dos longitudes en el modelo (que corresponde al hecho de yuxtaponer dos piezas) se transforma en la suma en el rompacabezas ampliado
Esto permite que progresivamente se construya la tabla siguiente
| 4 | 7 |
|
| 2 | 3,5 | la mitad |
| 6 | 10,5 | la suma de los dos primeros |
| 5 |
|
|
| 7 |
|
|
| 9 |
|
|
| a ― ?? | ||
La tabla constituye un instrumento que permite deducir las relaciones buenas y la existencia de una relación de tipo multiplicar entre las longitudes en el modelo y las longitudes en el ampliado (multiplicar por 7/4)
Esta situación permite que los alumnos: experimenten fabricando piezas; aprendan lo que significan piezas de la misma forma (conservación de los ángulos, cambio de las longitudes); comprueben y constaten errores por si mismos; vuelvan a empezar y experimentar cálculos relacionándolos con los rompecabezas. Sus conocimientos ya adquiridos les permiten encontrar una solución aunque la misma no sea la más económica: es el profesor al final, quien concluye, al relacionar ampliación con proporcionalidad de las longitudes.
Esta situación no es sencilla; cada elemento de la situación (la razón de la ampliación, la posición de los alumnos, etc.) es pensado para que los niños produzcan el error y lo constaten.
Si la razón de la ampliación fuera más simple, por ejemplo 2 ó 3, los alumnos deberian intuitivamente encontrar los cálculos adecuados. Si los alumnos de un mismo equipo no hubiesen estado separados, hubieran podido verificar pieza a pieza y sus estrategias equivocadas habrían sido menos; pero el profesor no se hubiera podido dar cuenta del error en el que estaban incurriendo los alumnos: utilizar una estrategia aditiva en lugar de una multiplicativa.
Sin embargo, es necesario que la situación permita que los alumnos utilicen y muestren sus modelos implícitos, aun cuando sean equivocados para que así tengan la oportunidad de constatar por si mismos que estos modelos no funcionan y comprendan la necesidad de disponer de otro modelo. Esto tiene que ver con la noción de obstáculo estudiado en las ciencias por Bachelard (1983) Se conoce en contra de los conocimientos anteriores e importado hacia la didáctica de las matemáticas por Brousseau (1998: 123) El obstáculo es considerado como un conocimiento... Los problemas más interesantes son aquellos que permiten salvar un obstáculo (Brousseau 1998: 120). En esta situación el obstáculo es la concepción aditiva de la ampliación.
El diseño de tales situaciones no es simple; en el aula se han de adaptar estos principios de manera que se conservan partes de experimentación y comprobación (sin olvidar naturalmente la formulación).
Experimentación y prueba en el aula
Tomamos ejemplos en el campo de las operaciones que son a menudo enseñadas como técnicas automáticas, sin permitir que los alumnos comprendan las razones matemáticas de tales técnicas; es decir, por qué es asi y no de otro modo. A continuación nos interesamos primero en la técnica de la suma de dos números decimales.
La suma de dos números decimales
Se sabe que el aprendizaje de los números decimales no es simple porque estos números se parecen a números enteros contiguos: esta concepción representa un obstáculo para cualquier tratamiento sobre números decimales.
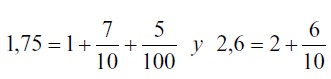
Supongamos que los alumnos ya conocen técnicas con fracciones decimales. Vamos a presentar tres modos de introducción de la técnica de la suma, con dimensiones de experimentación y posibilidad de prueba más o menos grande. La lección empieza con el enunciado del siguiente problema: ¿Si se ponen a continuación dos cuerdas, una de 1,75m y una de 2,6m, cuánta longitud de cuerda se obtiene?
La primera posibilidad es que el profesor muestre la técnica en el pizarrón y explique cómo poner correctamente el punto y las cifras uno debajo del otro.

Los alumnos tienen que imitar, sin opción de relacionar con conocimientos ya adquiridos.
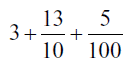
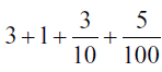
En la segunda posibilidad es que el profesor proponga relacionar este problema con conocimientos ya adquiridos, es decir, transformar las escrituras decimales en escrituras fraccionales:

de sumar las unidades con las unidades y las décimas con las décimas
, pues
, es decir
, es decir 4,35
Después pone la adición en columna y concluye con la formulación de la técnica: coma debajo de coma, unidades debajo de unidades, décimas debajo de décimas. En este caso, los alumnos también tienen que imitar, pero ahora disponen de elementos para comprobar.
En la tercera posibilidad el profesor muestra las dos tiras, mide y escribe sus longitudes en el pizarrón, las pone una a continuación de la otra. Después pide una evaluación de la longitud: propone que alumnos prevean la longitud por cálculos y anuncia que las repuestas serán comprobadas y el modo de encontrarlas también será examinado.
Los alumnos reconocen una situación de suma, tratan de sumar 1,75 y 2,6. Puede que comentan las errores usuales siguientes:
1,75+2,6 = 2,01 (considerar los números como enteros... y poner la coma al tanteo)
1,75+2,6 = 3,81 (sumar de un lado las unidades y de otro lado las partes decimales, 1+2=3; 75+6=81)
1,75+2,6= 3,135 (otro modo de sumar las unidades y las partes decimales, 75+60=135)
Puede también que cambien de unidades de longitud y calculen en centímetros: 175+260=435cm
Cuando las repuestas están listas, el profesor organiza una comprobación: se mide la longitud total, se discute acerca de los errores de medida para concluir: todas las repuestas son falsas o si existe la respuesta correcta que es 4,35m.
Pero surge una nueva pregunta: ¿por qué es verdadero o falso? Es el momento de volver al sentido de un número decimal como una fracción decimal, comprobar con las escrituras fraccionales por qué es verdadero o falso y además estudiar de dónde vienen los errores. Concluye, como en la posibilidad 1, mostrando la técnica en columnas.
En la tercera posibilidad los alumnos pueden hacer hipotésis, prever por cálculo, sin material. Toman conciencia de la necesidad de verificar su hipotésis. La realidad (medir la cuerda) da su veredicto, como después de una experiencia; pero ahora existe también una comprobación interna a las matemáticas: la adición de fracciones decimales. La técnica de la adición de dos números decimales escritos con una coma es relacionada con la adición de fracciones decimales, porque los números decimales escritos con una coma son otra manera de escribir fracciones decimales, es un asunto de coherencia interna a las matemáticas. Así se comprende desde la escuela que las matemáticas funcionan con una coherencia interna, sin contradicción.
La suma y la resta de dos números enteros
La posibilidad de que los alumnos hagan hipotesis, experimenten, comprueben, tiene que existir desde los primeros niveles de la escuela. Por ejemplo en una caja vacía, al comienzo el profesor pone 8 fichas y plantea: ¿Cuántas fichas están adentro? La pregunta es fácil. Después el profesor pone otras 5 fichas; la caja está cerrada y es no transparente. Nuevamente, se trata de averiguar cuántas fichas están adentro.
¿Cómo pueden los alumnos encontrar la respuesta? Dibujar y enumerar; sobrecontar (9,10, ...); conocer el resultado de memoria; agregar 2; desde 8 resulta 10; como hay 3 más, resulta 13. El profesor escribe en el pizarrón las repuestas dadas por los niños: generalmente son diferentes. ¿Cómo estar seguro? Abrir la caja y contar permite mostrar que:
hay una respuesta única: 13 ;
hay un modo de conocerla antes de abrir la caja; por ejemplo si se cuenta sobre los dados o si se dibujan las fichas o si se calcula mentalmente;
esta repuesta se puede conocer con certeza, no se trata de adivinar, no es mágica, ¡es la potencia de las matemáticas!
Solamente después de la verificación (abriendo la caja y contando) y con la certeza de que el número de fichas es 13, el profesor escribe en el pizarrón: en matemática se describe esta situación por la escritura 8+5=13. Es importante insistir sobre la diferencia entre esta presentación y la siguiente: al indicarlo el profesor, cada alumno pone 8 fichas sobre su mesa, después otras 5 fichas y el profesor pregunta: ¿Cuántas fichas son? El niño cuenta y da su repuesta. El profesor comprueba y anota en el pizarrón: 8+5=13. En esta segunda situación, el niño no tiene la oportunidad de pensar la reunión de las dos colecciones: tiene que ver y contar. El procedimiento cognitivo es muy diferente.
En la primera situación (con la caja) el niño podía también dibujar las fichas y contarlas, pero en este modo resolver el problema estaría presente su decisión, su manera de entender el problema; su razonamiento; y la situación permite también otros razonamientos posibles.
Naturalmente la primera situación (una caja llena con un número conocido de fichas de donde se sacan algunas) es también un modo de introducir la sustracción.
Así, las matemáticas permiten conocer respuestas con certeza sin hacer la acción, sin abrir la caja; al comienzo las escrituras aritméticas describen la situación; progresivamente, estas escrituras darán paso a un método para conocer la respuesta.
La matemática es así un modo de saber, sin hacer la experimentación, sobre objetos de primer nivel (aquí las fichas), pero con objetos de nivel superior (aquí los números) y obtener mayor generalidad.
Conclusión
Hemos tratado de mostrar la importancia y la posibilidad de pensar las matemáticas en el aula como una dialéctica entre dos aspectos: experimentación y prueba. La dimensión experimental de las matemáticas permite que los alumnos hagan su propia experimentación, con la posibilidad de validar sus procedimientos, para constatar que algunos de sus procedimientos no son válidos o son insuficientes, para construir o aceptar nuevas técnicas que corresponden a nuevos conocimientos.
La prueba permite saber si un resultado está conforme o no con un modelo más o menos teorético. Para los estudiantes avanzados el modelo corresponde a los resultados comprobados de las matemáticas teoréticas: hace falta que un nuevo resultado esté en coherencia con ellos; es decir, que pueda deducirse según las reglas de la lógica. Para los alumnos más jovenes el modelo es más simple, corresponde primero a la realidad (por ejemplo 4+3=7 porque se ve, se cuenta) y poco a poco se reemplaza por elementos más téoreticos (transformaciones posibles sobre escrituras matemáticas).
Tenemos que formar a los docentes en esta perspectiva y para eso darles la ocasión de practicar (y volver a aprender) matemáticas también de esta manera, resolviendo problemas utilizando experimentación y comprobación.
NOTAS
Nota 1: Se buscaba un medio para medir la altura de un poste inaccesible si la altura del primer poste era conocida: la solución indicaba ponerse de pie a fin de ver el vértice del primer poste alineado con el vértice del segundo poste; y después medir las distancias en el suelo.
Referencias
1. Bachelard, G. (1983). La Formación del Espíritu Científico. Buenos Aires: Siglo XXI.
2. Balacheff, N. (1987). Processus de preuve et validation. Educational Studies in Mathematics, 18, 147-176.
3. Brousseau, G. (1998). Théorie des situations didactiques. Grenoble, La Pensée Sauvage.
4. Chamorro M.d.C. coordinadora (2003) Didáctica de las Matemáticas. Primaria. Madrid, Pearson Educación.
5. Chevallard, Y. (1992). Le caractère expérimental de lactivité mathématique. Petit, X 30, 5-15.
6. Douady, R. (1993). Jeux de cadre et dialectique outil-objet. Recherches en didactique des mathématiques, 7, 2, 5-31.
7. Duval, R. (2005) Les conditions cognitives de lapprentissage de la géométrie. Annales de Didactique et de Sciences Cognitives, 10, 5-54.
8. Houdement, C. & Kuzniak, A. (2006). Paradigmes géométriques et enseignement de la géométrie. Annales de Didactique et de Sciences Cognitives, 11, 175-216
9. Sensevy, G. & Mercier, A. (1999). Pourquoi enseigner les mathématiques à lécole. Le Télémaque, 15, 69-78. [ Links ]


















