Services on Demand
Journal
Article
Indicators
-
Cited by SciELO -
Access statistics
Related links
-
Similars in
SciELO
Share
Salud de los Trabajadores
Print version ISSN 1315-0138
Salud de los Trabajadores vol.14 no.2 Maracay Dec. 2006
Prevalencia de síntomas de alteraciones de la voz y condiciones de trabajo en docentes de escuela primaria. Aragua-Venezuela.
Symptoms of voice disorders and prevalence of working conditions among primary school teachers. Aragua - Venezuela.
Evelin Escalona1
1 Centro de Estudios en Salud de los Trabajadores, Universidad de Carabobo (CEST-UC). Venezuela. E-mail: eescalona@síntomas
Resumen
entre las alteraciones de la voz percibidas en maestros de educación primaria y las condiciones de trabajo (ambientales y organizativas) en las escuelas. La metodología es un estudio transversal. Se obtuvo una muestra de 438 docentes, que garantizó un 95% de confianza. A los sujetos se le realizó una historia ocupacional. Resultados: Participaron 438 docentes (43 Hombres y 395 Mujeres). La Antigüedad Laboral promedio fue de 14.7 ± 8.27 años, el promedio de alumnos fue 45.28 ± 56.34. El tiempo que hablan por día fue 3.74 ± 2.89 horas. La prevalencia de disfonía fue de 90,4%. Los síntomas en orden de importancia fueron: resequedad, carraspera, escozor faringeo, odinofagia, tensión en el cuello, ronquera al final del día, se cansa al hablar, se le van los gallos, voz entrecortada y sensación de falta de aire. La media de la frecuencia de síntomas fue 5,47 ± 3,4. Las mujeres están más afectadas y tienen mayor sobrecarga vocal. El 88% de los docentes no tienen formación para el uso de la voz. Los problemas en el ambiente de trabajo fueron: polvo de tiza, ruido, mala acústica, polvo de tierra en los patios de recreación y el humo. El análisis de Regresión Logística mostró asociación de la disfonía con el humo, tiempo de esfuerzo vocal y el puntaje de intensidad de la voz. Conclusiones: La disfonía constituye un problema de salud en los docentes y las condiciones de trabajo están impactando negativamente a esta población, es necesario instrumentar cambios a corto plazo.
Palabras clave: Condiciones de Trabajo. Maestros. Síntomas de disfonía. género
Abstract
The objective of this cross-sectional study was to examine the relationship between self-reported voice disorders among primary schoolteachers and workplace risk factors (environmental and organiza-tional) in schools. Methods: A random sample of 438 teachers was obtained, which assured a 95% level of confidence. An occupational history was obtained from study subjects. Results: 438 teachers (43 male and 395 female) participated. Length of employment was 14.7 ± 8.27 years, and the average number of students per teacher was 14.7 ± 8,27. Average daily duration of speaking time was 3.74 ± 2.89 hours. The prevalence of dysphonia was 90.4%. In order of importance, symptoms were dryness, throat clearing, itching of the throat, odinophagia, tension of the neck, hoarseness at the end of the day, vocal fatigue, "crick in the throat", difficulty speaking, and sensation of lack of air. The average frequency of symptoms per participant was 5.47 ± 3.4. Women were more affected and had greater voice overload. Eighty-eight percent of schoolteachers had not received any training in proper voice use. Adverse environmental conditions included exposure to chalk dust, noise, poor acoustics, dust in the recess yard and smoke. Logistic regression analysis revealed an association between dysphonia and smoke, duration Voice disorders are a common problem among school-teachers, and work conditions are negatively impacting these workers. It is necessary to implement short-term control measures.
Keywords: work conditions, teachers, dysphonia symptoms, generate.
Fecha de recepción: 12 de agosto de 2006. Fecha de aceptación: 25 de noviembre de 2006.
Introducción
La prevalencia de alteraciones de la voz reportada en los docentes en diversos estudios varía entre un 11 y un 64% (Sapir et al. 1993; Urrutikoetxea et al. 1995; Roy et al. 2004; Preciado et al. 1998; Russell et al. 1998; Simberg et al. 2000; Smith et al. 1998; Vera et al. 2003; Simberg et al. 2004; Miller y Verdolini, 1995; Long et al. 1998; Yiu, 2002; López, 2004), situación que hace evidente la problemática de los trastornos de la voz en los profesores. Esta situación ha motivado a las organizaciones sindicales en varios países a demandar mejores condiciones de trabajo y que sean consideradas las alteraciones de la voz una patología profesional (González et al. 1999; La voz de Galicia, 2003; Parra, 1995; SINAFUM, 2004). En la última década las investigaciones en diversos países sobre las alteraciones de la voz han centrando su interés en los estudios de evaluación de la función vocal por diversas metodologías, así como programas terapéuticos y de rehabilitación de la voz. Los estudios epidemiológicos reportados en su mayoría son de tipo transversal utilizando cuestionarios para medir los factores de riesgo y la prevalencia de estos trastornos. Pocos estudios detallan la prevalencia de síntomas de daño vocal antes de llegar al diagnóstico de patología vocal instalada.
Ubicando esta problemática al contexto de Venezuela encontramos que la población trabajadora en el sector educativo lo conforman 384.701 educadores(as). A nivel del estado Aragua trabajan 26.295 educadores (MED, 2004) en todos los niveles educativos y en educación primaria se concentran 7.524 docentes y de ellos trabajan en el sector público 4.078 maestros y maestras (ME, 2002). Debido a los problemas de salud laboral en los últimos años, los trabajadores de la docencia en Venezuela han logrado se incluyan Cláusulas en la contratación colectiva que tomen en cuenta los problemas de enfermedad ocupacional.
La tendencia en los últimos cinco años ha sido un incremento progresivo de docentes enfermos con capacidad laboral reducida (Cláusula 95) por diversas especialidades médicas. Situación que genera el traslado del personal docente a las áreas administrativas de los planteles y obliga a la contratación de personal suplente, ocasionando enorme gasto para el sector público con deterioro de la salud y calidad de vida de un importante número de trabajadores. Según cifras oficiales del Servicio Médico del Instituto de Previsión y Asistencia Social para el Personal del Ministerio de Educación (IPASME) en el año 1999 se encontraban en discapacidad 1.659 docentes y para el año 2003 estas cifras pasaron a 2.903 docentes. Observándose un incremento en 1.244 nuevos casos de trabajadores con discapacidad laboral hasta el cierre del año 2003, con respecto al año 1999 (Ruiz y Gómez, 2004). Para el año 2005 se encontraban en esta situación 2.239 docentes en todo el país (Valera, 2006). Las consultas que han venido reportando mayor número de pacientes por orden de importancia fueron: los servicios de Traumatología, Medicina Interna, Psiquiatría y Foniatría (Ruiz y Gómez, 2004). Durante el año 2005 se otorgaron 46.486 reposos médicos a docentes en todo el país por diversas causas, sumando un total de 815.190 días perdidos (Valera, 2006).
En el Estado Aragua en vista de este incremento de docentes con discapacidad laboral, Medina y Borges (1993), realizaron un primer estudio a solicitud del Colegio de Profesores de Venezuela encontrando como principales problemas de salud en los docentes las patologías psiquiátricas, los trastornos músculo-esqueléticos y las patologías de la voz. Posteriormente Escalona y et al. (2001) desarrolla en el Municipio Santiago Mariño del estado Aragua un estudio para evaluar las condiciones de vida-trabajo de los educadores de nivel primaria, reportando condiciones peligrosas a nivel de la organización del trabajo y en el ambiente tales como: la exposición a calor, ruido, problemas de iluminación. En función de los resultados de estos primeros estudios en el estado Aragua, las organizaciones sindicales logran incluir en la Contratación colectiva la reducción del número de alumnos por aula de educación primaria a 31 niños cuando a nivel nacional son 38 alumnos.
En relación al problema de la voz es preocupante el creciente número de docentes afectados. Específicamente en el Servicio Medico del IPASME Caracas a través de la consulta de foniatría desde 1983 al año 2000 fueron atendidos unos 42.662 pacientes, generándose 14.973 reposos, lo que suma 283.782 días perdidos es decir 777,48 años de licencia médica. Si por cada docente de reposo tenemos unos 38 niños en promedio estaríamos hablando de 568.974 alumnos que quedan sin su docente y que van hacer atendidos por personal suplente (Ochoa, 2002). Esta situación repercute en la calidad educativa, en los costos de salud, incrementa el gasto público y deteriora la salud y calidad de vida de los docentes. Particularmente en el Estado Aragua en la Consulta de Foniatría del IPASME entre los años 1999 a Julio 2004 se registraron 208 pacientes que asistieron a recibir terapia de la voz por presentar problemas vocales. En su mayoría proceden del Municipio Girardot (Escalona y Ali, 2004). En vista de esta problemática en la IV Convención Colectiva y VII Contrato Colectivo del año 2004, se logra incorporar la Cláusula Nº 18 denominada Preservación de la voz, ésta cláusula establece la obligatoriedad del Ministerio de Educación y Deportes (MED) en implementar en conjunto con el IPASME un Sistema anual de evaluación, seguimiento y tratamiento para la preservación de la voz en concordancia con la Ley Orgánica de Prevención, Condiciones y Medio Ambiente de Trabajo, la cual aún no se ha instrumentado.
En vista de lo antes expuesto la autora se plantea la necesidad de desarrollar un estudio en el Estado Ara-gua en el marco de un programa de colaboración entre el Centro de Estudios en Salud de los Trabajadores de la Universidad de Carabobo (CEST-UC), el Instituto Nacional de Prevención y Condiciones y Medio Ambiente Trabajo (INPSASEL) y el Ministerio de Educación y Deportes (MED) de Venezuela, que tiene como objetivo evaluar la relación existente entre las alteraciones de la voz percibidas en maestros de educación primaria y las condiciones de trabajo: ambientales y organizativas presentes en las escuelas de los Municipios Linares Alcántara, Mariño y Girardot del Estado Aragua-Venezuela. Los objetivos específicos fueron: 1.- Caracterizar la población trabajadora desde el punto de vista sociodemográfico, factores ocupacionales y personales (hábitos tóxicos, intensidad de voz habitual, entrenamiento para el uso de la voz, estrategias y técnicas utilizadas por los docentes para preservar su voz), y relacionándola con la presencia de síntomas de alteraciones de la voz, de acuerdo a su frecuencia y severidad. 2.- Evaluar los factores de la organización del trabajo (ubicación en los niveles de enseñanza, turno, carga de alumnos, características de los alumnos), las exigencias de la tarea docente y del uso de la voz tales como: tiempo que habla por día de clase, tiempo de esfuerzo vocal en una hora, intensidad de voz predominante en la actividad docente y su relación con las alteraciones de la voz. 3.- Identificar las condiciones ambientales de trabajo a la que están expuestos los docentes según su percepción y que puedan afectar su voz: presencia de ruido, polvos, humo, ventilación, acústica de las aulas y su relación con las alteraciones de la voz.
Metodología
Tipo de estudio
Se realizó un estudio de corte transversal en tres municipios del estado Aragua-Venezuela. Como grupo de referencia se consideró la población general de los municipios estudiados para comparar la prevalencia de disfonía. Para ello se eligió la Tasa Específica de faringitis y rinofaringitis agudas para el año 2005, de acuerdo a los reportes oficiales del Ministerio de Salud en el estado Aragua.
Población y muestra
La población (universo) estuvo conformada por todos los docentes de educación primaria que al momento del estudio laboraban en el sector público en los Municipios Linares Alcántara, Santiago Mariño y Girardot del estado Aragua (N = 1.743 docentes). La selección de estos municipios se fundamentó en: 1) La ubicación geográfica y facilidad de acceso (área de influencia de la Universidad de Carabobo). 2) Constituyen el área más poblada del Estado Aragua. 3) Limitaciones económicas impidieron hacer un estudio representativo de todo el Estado Aragua.
La muestra. Para el cálculo del tamaño de la muestra se utilizó el paquete estadístico Epidat 3,1 de la OPS/OMS y se tomaron en cuenta los siguientes parámetros: la población elegible fue de 1.743 maestros y maestras (INE, 2001). Se consideró una proporción esperada de 60% (basado en la referencia de estudios previos). El nivel de confianza fijado fue de 95%, precisión del 4% y el efecto del diseño 1,0. Con todos estos parámetros el tamaño de la muestra resulto equivalente a 434 individuos.
Criterios de inclusión y exclusión.
Se incluyeron escuelas del sector público, nacionales, estadales ó bolivarianas de educación básica (primera y segunda etapa) y autorizadas por el directivo. Fueron excluidas las escuelas del sector privado y las no autorizadas. Para los docentes: maestros de aula, cargos fijos, suplentes ó interinos, mínimo un año de antigüedad laboral, activos en las escuelas en el momento de la investigación, y consentimiento voluntario por escrito. Fueron excluidos los docentes que desarrollaban funciones administrativas y aquellos que una vez seleccionados no cumplieron con todas las evaluaciones establecidas.
Tipo de muestreo
Razones organizativas y económicas aconsejaron realizar el acopio de la información mediante un diseño tipo submuestreo con unidades de tamaños desiguales o por conglomerado estratificado. El cual tomo en cuenta el municipio, la escuela y el maestro; Para ello se obtuvo el listado de establecimientos educativos (MED, 2003), correspondiente a los tres municipios estudiados encontrándose 755 centros, de los cuales 508 correspondían al sector público (en sus diferentes modalidades educativas). Se identificaron 83 escuelas que cumplían los criterios de inclusión, siendo éstas el universo del estudio y conformando las unidades de muestreo de primera etapa. Inicialmente se organizaron los estratos los cuales fueron numerados del 1 al 3 y conformaron la identificación del municipio, luego dentro de cada municipio, a cada escuela se le hizo corresponder un número y asociado a éste, el tamaño de la misma, que se correspondía con la cantidad de maestros que laboraban en ella (Linares Alcántara 15 escuelas; Girardot 49 escuelas y Santiago Mariño 19 escuelas). Gracias a las facilidades del paquete estadístico Epidat 3,1, se selecciono dentro de métodos el muestreo y luego muestreo estratificado conglomerado bietápico, con el cual se accedió a la información contenida en el fichero previamente confeccionado, y el cual permitió seleccionar aleatoriamente las escuelas y los maestros que cumplimentaba la significación deseada.
Una vez seleccionadas las escuelas estas se visitaron y se solicitó el consentimiento del equipo directivo para ser incluida en el estudio. Se solicitó al director el listado de docentes adscritos. Finalmente la muestra quedo conformada por 23 escuelas (ver Figura n° 1).
Selección de los participantes
Para la selección de los participantes se procedió de la siguiente manera:
1. Se revisó el listado de docentes adscritos en cada escuela, para identificar los que cumplían los criterios de inclusión.
2. A todos los maestros(as) de aula, que cumplieron los criterios de inclusión, se les explicaron los objetivos del estudio y se les solicitó el consentimiento por escrito de su participación.
3. Los que aceptaron participar fueron incluidos y evaluados. Una vez realizado todo el procedimiento descrito fueron evaluados 445 docentes. Se eliminaron para el análisis de los datos nueve docentes del Municipio Girardot (seis por no haber completado todas las eva-luaciones y tres porque realizaban funciones administrativas e insistieron ser evaluados). Finalmente la muestra quedo conformada por 438 docentes, procedentes de 23 Escuelas (ver figura n° 2). La tasa de participación promedio fue de 80% (44% al 100%).
Técnicas e instrumentos
Historia ocupacional
En este estudio se empleó el modelo de Historia Ocupacional recomendado por el Centro de Estudios en Salud de los Trabajadores de la Universidad de Carabobo (CEST-UC) en los trabajadores de la enseñanza. Instrumento validado en el sector y utilizado en investigación previa (Escalona et al. 2001). A cada docente evaluado se le confeccionó su historia ocupacional detallada la cual comprende varias secciones: Datos generales de la escuela. Características del cargo. Antigüedad laboral en la docencia y en la escuela. Factores de la organización del trabajo. Exigencias de la tarea docente. Uso de la voz y esfuerzo vocal. Factores personales y uso de la voz. Frecuencia y severidad de la presencia de síntomas de afecciones del aparato fonador durante el último año. Antecedentes de enfermedad ocupacional. Percepción de la exposición a los factores de riesgos presentes en el ambiente laboral que puedan afectar su voz.
Definición de variables e indicadores
Edad: años cumplidos al momento de la investigación. Indicador: años de edad.
Sexo: (1) Masculino y Femenino (2). Indicador: Número de Hombres y Mujeres.
Factores personales:
Antecedentes de hábito de fumar, café y alcohol. Se precisó si había recibido entrenamiento en el uso adecuado de la voz. Percepción que tiene el sujeto de su intensidad de voz de manera habitual (alta, media ó baja) y de la velocidad al hablar (habla muy rápido). Antecedentes de alergias y problemas de audición. Si realizaban actividad de canto o de locución.
Uso de la voz y factores personales:
Hablar rápido, Intensidad de voz predominante (Alta, Media ó Baja). Entrenamiento en el uso de la voz. Técnicas educativas utilizadas durante las clases. Estrategias usadas para reposar la voz. Técnica usada para proteger la voz. Tratamiento Hormonal
Variables ocupacionales
Tipo de Cargo1:
1. Cargo fijo ú ordinario tiene nombramiento como titular del cargo.
2. Suplentes son los que cubren temporalmente a un titular por un periodo
3. Interino (suplentes fijos y son contratados para el año lectivo docente), y están amparados de los beneficios laborales según lo establece el contrato colectivo vigente, a diferencia de los suplentes (SINAFUM, 2004).
Indicador: Número de docentes con Cargo fijo. Número de Docentes con Cargos No fijos (Suplentes + Interinos).Indicador: Número de docentes por grado de enseñanza.
Antigüedad Laboral en la Docencia:
Número de años que en forma ininterrumpida tiene como docente. Indicador: Años de antigüedad
Antigüedad Laboral en la Escuela:
Número de años de trabajo en la Escuela como Docente. Indicador: Años de Antigüedad en la Escuela (ver tabla n° 1)
Variables de la organización del trabajo:
Horas de trabajo semanal. Si tiene ayuda de otra persona en la clase Si (1) No (2)
Horas de clase por día. Numero total de alumnos. Indicadores: Promedio de horas de trabajo semanal. Promedio de horas de clase. Promedio de alumnos
Exigencias de la tarea docente:
Número alumnos que atiende en total. Características de los alumnos se preciso el número de alumnos con problemas de indisciplina y con problemas de aprendizaje, así como si otra persona le ayuda en las clases. Técnicas educativas utilizadas en clase (expositiva, participativa ó mixta). Nivel que enseña: Grado que enseña el docente entre el Primero al Sexto grado de educación primaria para el momento del estudio. Indicadores: Número total de alumnos. Promedio de alumnos con problemas (indisciplina ó de aprendizaje), Proporción de docentes por etapa de enseñanza. Tipo de técnica educativa usada.
Variables de uso de la voz y esfuerzo vocal
Esfuerzo vocal:
Se tomó en cuenta el tiempo que permanece hablando por día de trabajo los docentes. Tiempo estimado realizando esfuerzo vocal en una hora. La Intensidad de voz usada según demanda. La intensidad de la voz empleada fue investigada precisando los aspectos involucrados: si era utilizada para hablar normalmente, en clase, tanto para mantener la disciplina del grupo, como para dar soporte afectivo, o cuando existía ruido en clase. Se logró que para cada pregunta el maestro estableciera si la intensidad de voz usada era Alta, Media o Baja. Luego se le adjudicaron los siguientes puntajes: Si la respuesta era Alta (3 puntos); Media (2 puntos) y si resultaba baja (1 punto). Utilizando un enfoque Likert, al finalizar esta parte de la investigación, se procedía a sumar los puntajes obtenidos en cada ítem de intensidad de voz, cuyo puntaje total podía variar entre 5 y 15 puntos, gracias a este procedimiento se pudo con este conjunto de preguntas obtener una variable sintetizadora que denominamos. Puntaje de Intensidad de uso de la voz, con posibilidad de ser procesada estadísticamente.
Indicadores: Promedio de tiempo que habla en horas al día. Promedio de tiempo de esfuerzo vocal en minutos. Puntaje de intensidad de voz.
Alteración de la voz ó disfonía.
Se definió como disfonía la alteración de la cualidad o timbre de la voz. Este estudio estableció que tal condición debía ser percibida por el docente a través de síntomas.
Frecuencia y severidad de la presencia de síntomas de afecciones del aparato fonador durante el último año:
A cada docente se le preguntó que síntomas de los siguientes había presentado en el último año: picazón de la garganta, sequedad ó resequedad, dolor de garganta, cansancio al hablar, sensación de falta de aire, tensión en el cuello, voz entrecortada, "se le van los gallos", carraspera, disfonía ó ronquera al final del día. Esta respuesta era expresada libremente por cada maestro sin recibir auxilio de ningún otro docente o de la investigadora, se le explicaba que pensara en la frecuencia en que estos síntomas se le habían presentado en el último año, luego la investigadora le adjudicó los siguientes puntajes: diario (4 puntos); Muy frecuentemente (3 puntos); frecuente (2 puntos); rara vez (1 punto) y nunca (0 punto). Una vez finalizado esta sesión fueron sumados los puntos obtenidos, ya que también esta variable fue tratada según criterio Likert, advirtiéndose que esta suma podía variar entre 0 y 40 puntos, contribuyendo ello a clasificar a los sujetos en función de la severidad.
Criterio para la Clasificación de Casos y No Casos de Disfonía
Los síntomas fueron agrupados tomando como referencia el estudio de Cooper (1979) en síntomas sensitivos los cuales manifiesta el trabajador y síntomas auditivos de cómo percibe su voz. Los síntomas sensitivos fueron: picazón de la garganta (escozor faringeo), sequedad (resequedad en orofaringe), dolor de garganta (odinofagia), cansancio al hablar (fatiga vocal), sensación de falta de aire (esfuerzo vocal), tensión en el cuello. Los síntomas auditivos: voz entrecortada (diplofonia), carraspera, ronquera pasajera, ronquera al final del día.
Para clasificar a los sujetos se tomó como referencia el estudio de Cooper (1979) García Real (1972) y el estudio de Barbaresco (1994), lo cual fue utilizado para ubicar a los sujetos en cuatro estadios según la presencia de síntomas sensitivos y auditivos. Limitaciones de recursos impidieron complementar este estudio con el criterio foniátrico recomendado por algunos de estos autores, motivo por el cual utilizamos la otra variante preconizada, la cual permitió clasificar a los sujetos mediante el empleo de los síntomas que manifiesta el trabajador en el último año. Gracias a estos criterios se obtuvo la clasificación siguiente:
Estadio cero: Trabajador(a) normal, que no presenta síntomas de alteración foniátrica
Estadio uno: Trabajador(a) que presenta predominancia de síntomas sensitivos con mayor relevancia hacia el Esfuerzo y la Fatiga Vocal, picazón de la garganta (escozor faringeo), sequedad (resequedad en orofaringe), y ronquera pasajera ó intermitente. Con una presencia del síntoma de rara vez ó frecuentemente
Estadio dos: Trabajador(a) que presenta repunte de los síntomas sensitivos, incremento y estabilización de signos auditivos con ronquera y carraspeo constante. Con una presencia de síntomas muy frecuentemente ó a diario.
Estadio tres: Trabajador(a) que ha presentado reposo por problemas de voz y que refiera diagnóstico de patología vocal realizado por la consulta de Foniatría en el Instituto de Prevención y Asistencia Social para el personal del Ministerio de Educación y Deportes (IPASME)
Para clasificar a los sujetos en función de la frecuencia y severidad de los síntomas durante el último año se tomo un criterio epidemiológico tomando en
cuenta el puntaje obtenido de acuerdo a la respuesta de la sesión de síntomas (0 a 40 puntos):
No Caso (Asintomático) 0 puntos
Caso Leve 1 a 3 puntos
Caso Moderado 4 a 13 puntos
Caso Severo 14 y más puntos
Esta clasificación se considero sencilla para ser usada por Médicos generales de atención primaria y por los propios trabajadores para la vigilancia epidemiológica en salud ocupacional para luego referir a los trabajadores(a) a la Consulta de Foniatría (Escalona, 2006).
Indicadores: Número de síntomas. Puntaje de síntomas (0 a 40 pts). Número de casos según severidad. Número de No Casos: Estadio cero (sanos). Número de Casos de disfonía según Estadios (Uno, Dos y Tres).
Características generales del ambiente y del entorno de la escuela.
Se preciso las características de la comunidad que rodea la escuela, ubicación con respecto a las vías de transito de vehículos, tipo de construcción escolar, centros de trabajo cercanos contaminantes, disponibilidad de agua en el plantel.
Percepción sobre exposición a condiciones ambientales en el lugar de trabajo que puedan afectar la voz.
En la historia ocupacional se preciso los factores ambientales que refiere estar expuesto el docente en el lugar de trabajo y que consideraba molestas para su voz (Ruido, Ventilación, Humo, Tiza, Acústica, Polvo de tierra). Indicador: proporción de sujetos que consideran estar expuestos a cada una de las variables.
Aspectos éticos
Todos los participantes fueron debidamente informados del estudio y se les solicito su consentimiento para participar en forma voluntaria y por escrito. La confidencialidad de los datos les fue garantizado a cada uno de ellos.
Procesamiento estadístico
Se realizó una base de datos en Excel, con el instrumento: Historia ocupacional. Se reviso la calidad de los datos. Los datos aberrantes encontrados se reviso la fuente primaria del dato constituida por el instrumento utilizado. Se corrigieren los errores de trascripción de datos. Se realizó el análisis descriptivo de la muestra por medio de estadísticos que involucraron, tanto variables cualitativas, como cuantitativas, utilizando las correspondientes medidas de resumen: proporciones o porcentajes, así como medidas de tendencia central y dispersión para las cuantitativas, cuando procedía se efectuaban los intervalos de confianza correspondiente, todos a un 95%, mucha de esta información es presentada en forma de tablas y gráficos, que facilitaron el cumplimiento de los objetivos, tomando en cuenta las variables de interés.
Se realizaron pruebas de hipótesis para la media, o para proporciones, o la construcción de intervalos de confianza para las variables involucradas. Los contrastes fueron efectuados como se ha mencionado con un nivel a = 0,05 utilizando el paquete estadístico SPSS 11.0. Se realizó el análisis de Correlación de Pearson entre la variable de puntaje de síntomas de voz, las variables de esfuerzo vocal y de la organización del trabajo. Para el análisis multivariado se seleccionó la prueba de regresión binaria. "La regresión logística resulta útil para los casos en los que se desea predecir la presencia o ausencia de una característica o resultado según los valores de un conjunto de variables predictoras." (SPSS 11.0).
Resultados
Características generales de los docentes estudiados
La muestra estudiada lo conformaron 438 docentes (43 hombres y 395 mujeres) de educación básica de primera y segunda etapa. El 90% son del sexo femenino. La media de edad fue de 39.6 años ± 8.01 con unos rangos (19 a 59 años). Es una muestra homogénea en cuanto a las variables de edad, la antigüedad laboral (años de servicio en la docencia). La media de antigüedad Laboral en la docencia fue de 14.7 ± 8.27 años de trabajo con un valor mínimo de un año y el máximo de 39 años. En cuanto a la antigüedad laboral en la Escuela la media fue de 10.84 ± 7.82 años no existiendo diferencias entre los sexos (ver tabla n° 3).
Prevalencia de síntomas de disfonía
La población estudiada fue clasificada en casos y no casos de disfonía según la manifestación de síntomas referida por los docentes. La prevalencia de disfonía en el grupo fue de 90,4%, siendo más alta en los municipios Linares Alcántara y Girardot (ver tablas n° 2 y 3). Al comparar la prevalencia de disfonía en los docentes con la prevalencia de enfermedades respiratorias agudas en la población general se observa que en los docentes es muy elevada (ver tabla n° 4). De acuerdo a la clasificación asumida en este estudio, el 50,5% de los casos de disfonía se encuentra en el Estadio Uno de la enfermedad, resultados estos, que son muy importantes desde el punto de vista de la prevención al considerar que este grupo es susceptible de su intervención para evitar que se instale una enfermedad ocupacional en el futuro. En el Estadio Tres quedaron incluidos aquellos trabajadores que ya tenían diagnóstico Médico de patología de la voz por el Servicio de Foniatría del IPASME-ARAGUA.
En cuanto a la prevalencia de síntomas se encontró que los casos de disfonía presentaron el 70% resequedad en la garganta, 65,5% carraspera, 58,2% escozor faringeo, odinofagia 56,8%. Tensión en el cuello 55,3%. Ronquera al final de día 54,9%. Se cansa al hablar (Fatiga Vocal) 50,7%. Otros síntomas como Se le van los gallos, voz entrecortada (diplofonía) y sensación de falta de aire (esfuerzo vocal) oscilaron entre 41 y 47% La media de la frecuencia de síntomas de alteración de la voz fue de 5,47 ± 3,4. En cuanto al tipo de síntomas y el sexo en la mayoría prevalecen las mujeres, sobre todo en los primeros 10 años de empleo se afectaron el 32,4% versus el 16,3% de los hombres.
En cuanto a la severidad de los síntomas de disfonía el 64,8% del grupo se encontró entre leve y moderada afectación de la voz y el 25,6% son casos severos de acuerdo al puntaje y numero de síntomas (ver tablas del n° 5 al 8).
Factores personales y ocupacionales
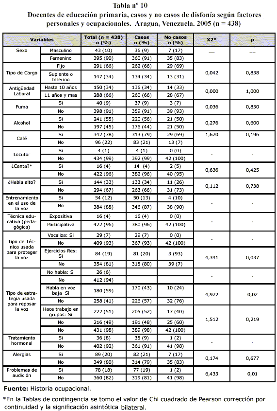
En cuanto a la edad, años de sevicio, tipo de cargo y etapa que enseña son muy similares ambos grupos (ver tabla n° 9 y 10). En el gráfico n° 1 y 2, se puede observar que se trata de una población joven y un grupo importante de docentes tienen una antiguedad menor de 10 años. Son fumadores el 9%. Consumen alcohol el 55% y café el 78%. Los trabajadores que acostumbran a hablar alto representan el 33%. El 88% de los docentes no ha recibido entrenamiento en el uso de la voz. En el análisis univariado ninguna de estas variables mostraron estar asociada a los casos de disfonía (ver tabla n° 9).
En cuanto a la técnica usada como mecanismo para proteger la voz solamente el 19% de los casos realizan ejercicios respiratorios y el 7% vocalización. Esto se corresponde con el número de personas que por razones de enfermedad vocal han recibido tratamiento con rehabilitación en el Servicio de Foniatría del IPASME en Aragua. En el análisis univariado, el hablar en voz baja y los problemas auditivos se encontraron asociados a la disfonía.
Estrategias usadas para reposar la voz
De acuerdo a lo observado en las aulas de clase y lo que refirieron los docentes se constata que usan diversas estrategias para reposar su voz durante la clase al sentirse fatigados (ver Tabla 10). Al analizar la información por sexo se encontró que el hablar en voz baja y realizar trabajos de grupos fue la estrategia más usada por las mujeres y en el caso de los hombres el hacer trabajos en grupos.
Factores de la organización del trabajo
Los docentes que tienen otro empleo y los que trabajan en escuelas nacionales proporcionalmente están más afectados de disfonía. En cuanto al turno laboral predominan en el turno de la mañana. (Ver Tabla 11). En cuanto a las horas de trabajo semanal, la contratación de los profesores para educación básica es de 25 horas efectivas semanales y se remuneran 33,33 hrs. semanales según lo establece el Art. 27 del Reglamento del Ejercicio de la Profesión Docente, Decreto 1.011 (2000). El 27% de los docentes evaluados tiene más de 33 horas de trabajo semanal remuneradas, y en su mayoría son hombres. Los hombres tienen en promedio 39,5 horas y las mujeres de 34,6 horas de trabajo semanal. No hubo diferencias significativas en relación a las horas de trabajo semanal al comparar las Medias entre los casos y no casos de disfonía.
Horas de clase al día
Los casos de disfonía tienen una media de 6,06 ± 2,17hrs. día de trabajo y los No casos 5,67 ± 1,63 hrs. día. No hubo diferencias significativas al comparar las medias (ver Tabla 9).
Nivel que enseña
En la tabla n° 11 se observa la distribución de los docentes según los niveles de enseñanza. En cuanto a los casos y no casos de disfonía no hubo asociación. En el análisis por sexo se encontró que los hombres tienen una tendencia a ubicarse en los grados superiores de la enseñanza. Las mujeres por el contrario se ubican predominantemente en la primera etapa con el 56,7%. En el primer grado las mujeres representan el 95.3% de los docentes.
Exigencias de la tarea docente
Número de alumnos
En la tabla n° 9 y 12 se observa la carga de alum-nos por docentes, se encontró una media en los casos de disfonía de 46,7 ± 59 y en los no casos 31,9 ± 6 t=4,750 p=0,000 siendo significativo en el análisis univariado. La contratación colectiva del Magisterio establece a nivel de las dependencias estadales un máximo de 31 alumnos por aula y en las escuelas nacionales un máximo de 38 alumnos. Esto en realidad no se cumple en todos los casos ya que los docentes refirieron que debido a la presión social se ven en la necesidad de aceptar que ingresen más alumnos en su aula. Pero si esta decisión la toma un maestro que enseña sexto grado tiene menos significación ya que ese estudiante se gradúa ese año. En cambio cuando esta decisión la toma un maestro de la primera etapa va a incrementar en forma obligatoria la matricula por aula de los años sucesivos. Observándose una sobrecarga del número de alumnos por aula de clase. A mayor número de alumnos más exigente es la tarea docente y por lo tanto demanda mayor esfuerzo vocal. No hubo diferencias significativas en el análisis multivariado.
Características de los alumnos
El promedio de alumnos con problemas de apren-dizaje en general fue de 3,61±3,74. Para los casos de disfonía 3,69±3,7 y los no casos de 2,79±3,8. No hubo diferencias significativas. El promedio de alumnos con indisciplina (difícil de controlar por los docentes) 4,67 ±5,5, siendo este último significativo para los docentes masculinos. Al comparar las medias entre los casos de disfonía 4,76 ± 5,4 y los no casos de disfonía 3,79 ± 6,2 no hubo diferencias significativas entre los dos grupos (Ver tabla n° 9). En las escuelas estudiadas por lo general hay una psicopedagoga, algunas tienen dos para un total de 32 profesionales en las 23 escuelas. Las cuales deben atender una matricula escolar de 19.884 alumnos que agrupan el conjunto de escuelas (Entrevista a los Directores de Escuela).
Uso de la voz y esfuerzo vocal
En promedio la población estudiada hacen uso de la voz 3.74 ± 2.89 horas/día en una jornada de 5 horas (ver Tabla 13). Esto se corresponde con el tipo de técnica pedagógica utilizada donde predomina la combinación de trabajo grupal con expositiva (mixta). Solo las mujeres refieren hacer uso de la técnica expositiva en un 4,1% de ellas. El uso de la voz con intensidad alta fue reportado por el 33% de los trabajadores, situación que podría incrementa el riesgo de lesiones del aparato fonador (ver Tabla 10). Al comparar las medias entre los casos de disfonía y no casos hay diferencias significativas en cuanto a la percepción que tienen los sujetos del tiempo de esfuerzo vocal para una hora de trabajo continua. En el análisis de regresión logística solamente de este grupo de variables resulto estar asociado con la disfonía el tiempo de esfuerzo vocal en una hora p: 0,001 OR=1,062 IC (1,028 - 1,097).
Variaciones de la Intensidad del uso de la voz
Los maestros modifican la intensidad de la voz según demanda de la tarea que realizan. En la enseñanza de una materia predomina la voz de mediana intensidad y cuando hay problemas de disciplina del grupo y ruido dentro del aula tienden a elevar la intensidad de la voz. Situación ésta que genera más esfuerzo vocal. El puntaje de intensidad de uso de la voz resulto estar asociada a la disfonía en el análisis multivariado (ver tablas n° 13, 14 y 17).
Correlación entre el puntaje de síntomas de altera-ciones de la voz y las variables organizacionales y de esfuerzo vocal.
Se realizó la prueba de Correlación de Pearson y se contrastaron las variables del puntaje de síntomas de alteraciones de la voz con las horas de trabajo semanal, horas de clase por día, total de alumnos asignados, número de alumnos con problema de indisciplina o de aprendizaje, tiempo que habla al día, puntaje de intensidad en el uso de la voz y el tiempo de esfuerzo en minutos. Los resultados son presentados en la tabla n° 15 y se observa que hay una correlación significativa para un nivel de 0,01 bilateral para las siguientes variables: horas de trabajo semanal, total de alumnos asignados, puntaje de intensidad en el uso de la voz y el tiempo de esfuerzo vocal en minutos.
Condiciones ambientales de trabajo
Las escuelas se encuentran ubicadas en zonas populares urbano-marginales. En su mayoría son edificaciones de una sola planta, con patios de recreación ubicados generalmente en el centro y las áreas deportivas están ubicadas en zonas muy cercanas a las aulas de clase. Según su adscripción al Ministerio de Educación y Deportes 7(30%) son escuelas nacionales y 16(70%) son escuelas estadales. La ubicación de las escuelas con respecto a la exposición al ruido del transito automotor 09 (39%) están en la vía principal y 14 (61%) en calles alejadas de escaso transito automotor. En cuanto al entorno ambiental y la presencia de centros de trabajo contaminantes alrededor de las escuelas se encontraron siete escuelas (30%) expuestas a estas condiciones afectando al 22,8% de los docentes estudiados. En cuanto a la disponibilidad de agua en las escuelas se constata que constituye un problema serio a resolver, ya que el 64% de los docentes refieren que el servicio es irregular. No se encontraron diferencias entre casos y no casos para ninguna de las variables mencionadas.
Percepción de los docentes sobre exposición a condiciones ambientales en el lugar de trabajo que puedan afectar la voz.
Los docentes manifestaron estar expuestos en orden de importancia a los siguientes problemas en su ambiente laboral: la presencia de polvo de tiza, seguido del ruido ambiental en la escuela, la presencia polvo de tierra en los patios de recreación y la presencia de humo en el ambiente. En el análisis univariado con la prueba Chi cuadrado todos estos factores resultaron estar asociados a la disfonía (ver tabla n° 16). Pero en el análisis de Regresión Logística Binaria resulto ser significativo solamente para la exposición al humo por quema de basura con un valor de p: 0,006 OR: 3,513 IC (1,423 -8,674).
Resultados del análisis multivariado
Para el análisis multivariado fue seleccionada la prueba Regresión logística binaria. La variable dependiente fue Caso de voz. Las variables utilizadas para el modelo fueron ocho: antigüedad laboral, número total de alumnos, tiempo esfuerzo vocal en una hora, puntaje de intensidad de voz, humo, polvo de tierra, polvo de tiza y ruido en el aula. Este conjunto de variables fueron seleccionadas luego de haber realizado los análisis preliminares univariados. De este conjunto de variables consideradas en el modelo solo resultaron ser significativas: el tiempo de esfuerzo vocal en una hora, el puntaje de intensidad de uso de la voz y la presencia de humo en el ambiente por quema de basura (ver tabla n° 17).
Discusión de los resultados
La disfonía: problema de salud silencioso en los docentes
La prevalencia de disfonía en los maestros de educación primaria en los Municipios evaluados fue de 90,4% siendo muy alta al compararla con la población general del área estudiada y con estudios previos realizados a nivel nacional e internacional, la cual oscila entre un 11% a un 64% (Roy et al. 2004; Preciado et al. 2005b; Salas et al. 2004). Esta situación pone en evidencia que las alteraciones de la voz constituye un problema de salud laboral en los docentes estudiados. El 50% y más del grupo manifiesta haber presentado síntomas de resequedad en la garganta, carraspera, picazón (Escozor faringeo), dolor de garganta (Odinofagia), tensión en el cuello, ronquera al final de día (Disfonía) y cansancio al hablar (Fatiga Vocal). La media de la frecuencia de síntomas de alteración de la voz fue de 5,47 ± 3,4.
La sesión de síntomas investigada en este estudio constituye un aporte ya que permite tamizar el grupo para establecer prioridades al momento de implementar cualquier programa de preservación de la voz, y puede ser usada por médicos de atención primaria y por los especialistas en salud ocupacional, con el objeto de detectar tempranamente los trastornos de la voz en los docentes y ser luego orientados para la atención foniátrica. Así mismo puede ser aplicado a los estudiantes de la carrera docente. Pocos estudios detallan la prevalencia de los síntomas de alteraciones de la voz. Simberg et al. (2001) en su estudio evalúa la calidad de la voz y aplica una encuesta de síntomas vocales en un grupo de estudiantes de educación. Concluye que el método utilizado sirve de tamizaje para detectar alteraciones en los aspirantes a ser docentes. Estudios recientes muestran que el 20% de los estudiantes ya presentan alteraciones sobre todo de tipo orgánico (Simberg, Laine y Ronnema, 2000; Simberg, Sala y Ronnemaa, 2004).
Gotaas y Starr (1993) reporta que la fatiga vocal se asocia en los docentes que tienen mayor tiempo en actividades con demanda vocal y los que presentan mayor ansiedad. Rantala et al. (1998) estudiaron los efectos que produce un día de trabajo en la voz de los docentes, encontrando modificaciones de las características espectrales. Este mismo autor en estudio similar encontró que ocurren cambios subjetivos tales como aumento de las quejas o síntomas y cambios objetivos reportados como la elevación de la Frecuencia Fundamental del habla (Rantala, Vilkman y Bloigu, 2002).
De acuerdo a la clasificación utilizada en este estudio el 50,5% del grupo se encuentra en Estadio Uno. Y de acuerdo a la severidad el 64,8% del grupo se encuentra entre leve y moderada afectación de la voz. Esta situación es reveladora del malestar que tienen estos profesores y las consecuencias que en un futuro tendrá en su salud. Se constató que muy pocos docentes tienen evaluación foniátrica, de manera que sufren en silencio, estos trastornos. En cuanto a la edad se trata de una población joven. No hubo diferencias significativas entre casos y no casos de disfonía. El grupo estudiado se encuentra en sus primeros años de empleo y muchos de ellos no tienen cargos fijos y ya están presentando alteraciones de la voz.
Factores personales y ocupacionales que podrían afectar la voz
Con relación a la edad y la severidad de la disfonía, se encontró que hay correspondencia positiva entre la edad y los síntomas (a mayor edad más síntomas). Esta tendencia igualmente esta vinculada a la antigüedad laboral en la docencia (ver Gráfico n° 1 y 2). Estos hallazgos se explican por la inexistencia de una consulta pre-empleo y consultas periódicas para evitar a tiempo las alteraciones de la voz, así como la falta de formación pedagógica para el uso adecuado de la voz, aunado a las condiciones de trabajo inadecuadas.
La prevalencia de disfonía fue mayor en las mujeres con 91% versus 84% de los hombres, no hubo diferencias significativas entre casos y no casos de disfonía (Tabla n° 10). Varios estudios reportan similares hallazgos (Jonsdottir et al. 2002; Miller y Verdolini, 1995; Smith et al. 1998; Reyes, 2006). A diferencia Sánchez et al. (2000) y Preciado et al. (2005ª) encuentran mayor prevalencia en los hombres.
La media de antigüedad laboral en la docencia fue de 14.7 ± 8.27 años y la antigüedad laboral en la Escuela la media fue de 10.84 ± 7.82 años. No existiendo diferencias por sexo ni entre los grupos de casos y no casos (ver tabla n° 3 y 4). Lo que significa que los docentes permanecen largos años en la misma escuela, situación que favorece las relaciones entre los compañeros de trabajo y el conocimiento de la comunidad, así como el permanecer expuesto a las condiciones ambientales que posea la escuela por largo tiempo. En cuanto al tipo de cargo el 33,6% de ellos tienen cargos como suplentes o interinos, predominando esta situación en los primeros cinco años de empleo con el 81,5%. En relación a la carga horaria. El 26% de los docentes trabajan más de 33 horas semanales remuneradas y están más afectados de disfonía.
En cuanto a los hábitos tóxicos y características personales que podrían afectar la voz, tanto en los casos de disfonía como en lo no casos se constata que el consumo de café y alcohol es alto y proporcionalmente es mayor en los casos de disfonía. El hablar alto fue reportado por el 33% sin encontrarse asociación entre casos y no casos de disfonía. Se constata que existe una elevada presencia del problema de disfonía en todas las variables estudiadas, eso hace que no se reflejen diferencias significativas, lo que no deja de ser muy importante para que sean consideradas para un programa de preservación de la voz. Sobre todo el consumo de café, alcohol y el hablar alto. El 88% no tiene entrenamiento vocal lo que evidencia que esta población tiene pocas habilidades para manejar adecuadamente su voz, ya que a nivel de su formación pedagógica ni a lo largo de su ejercicio profesional han recibido entrenamiento. Esta situación constituye un riesgo para desarrollar alteraciones de la voz. Simberg et al. (2001) han encontrado una prevalencia de trastornos de la voz en los estudiantes de educación mas elevada que en otros estudiantes universitarios. En Venezuela Ochoa (2002) constata la inexistencia de cursos formales desde las universidades venezolanas para formar a los docentes en el uso adecuado de la voz y coincidimos con la autora en proponer un curso de formación en técnicas fonoaudiologicas para los docentes cuando ingresen a la carrera de educación.
Estrategias y técnicas usadas para proteger la voz
Las estrategias más usadas fueron el hablar en voz baja y realizar trabajos de grupos en las mujeres y en el caso de los hombres el hacer trabajos en grupos (ver tabla n° 10). Con estas estrategias intentan reducir la sobrecarga vocal y constituye un indicador de receptividad para implementar un programa de preservación de la voz. No hubo diferencias entre casos y no casos de disfonía. Escalona (2003) en un estudio realizado en dos Escuelas primarias (A y B), utilizando la metodología ergonómica, analizo el trabajo de 24 maestras. Reporta que cuando los docentes presentan problemas vocales tratan de no hablar y modifican las estrategias educativas usando el trabajo individual ó de grupos. Este estudio reporta una observación en la Escuela B sobre el trabajo de dos maestras embarazadas ya en el último trimestre de la gestación, ellas manifestaron que el hablar con frecuencia les ocasionaba fatiga y la tendencia fue a modificar sus estrategias pedagógicas con el objeto de usar muy poco la voz. En cuanto a la técnica usada como mecanismo para proteger la voz se pone en evidencia el desconocimiento de técnicas de uso adecuado de la voz y la necesidad de su instrumentación.
Factores de la organización del trabajo y alteraciones de la voz
Los hombres tienen en promedio mayor número de horas de trabajo por semana con una media de 39,5 horas y las mujeres de 34,6 horas. No se encontró diferencias significativas en relación a las horas de trabajo semanal al comparar las Medias entre los casos 35,28 ± 12,6 y no casos de disfonía 32,79 ± 13,17. Ni tampoco con el número de horas que trabajan por día. A pesar de ser negativos estos hallazgos, el hecho de trabajar mayor número de horas por día incrementa el tiempo que los sujetos pasan haciendo uso de la voz y permanecen por mayor tiempo expuestos a condiciones peligrosas en el medio de trabajo que puedan afectar su voz. En el análisis de Correlación de Pearson el Puntaje de síntomas de voz se correlacionó en forma significativa con las horas de trabajo semanal, número de alumnos con problemas de aprendizaje, el tiempo de esfuerzo vocal y el puntaje de intensidad de la voz (ver tabla n° 15). Estudio reciente (Cuenca et al. 2005) muestran la tendencia en varios países latinoamericanos como Chile México y Perú donde los docentes tienden a trabajar más de 40 horas a la semana.
Particularmente Vera, Fuese y Lorenz (2003) reportan como riesgos asociados a la disfonía el número de horas de clase semanal y el número de alumnos por clase además de la presencia de rinitis alérgica y reflujo gastroesofagico.
Exigencias de la tarea docente, uso de la voz y diferencias de género
Los docentes, utilizan su órgano vocal en la más variada situación comunicativa: para explicar, preguntar, dar instrucciones etc. A todo ello hay que agregarle las condiciones ambientales y psicológicas en que se desarrolla la actividad docente. Además el uso muy variado de la voz, ya que en determinados momentos el docente ha de hablar elevando la intensidad vocal, o en ambiente ruidoso, o en aulas que no reúnen las mejores condiciones acústicas. La situación se complica en el caso de los especialistas; el de Educación física, por ejemplo, ha de trabajar en espacios amplios, abiertos, donde es difícil discriminar la voz del profesor; si lo hace al aire libre, estará a expensas de las condiciones climáticas, aspectos que también inciden en el órgano vocal 78. Además de los especialistas de Educación física los que trabajan en escuelas primarias y los Kindergarterinos también tienen grandes demandas vocales (Simberg et al. 2004; Vilkman, 2000; Vilkman, 2004; Sodersten et al. 2002).
Se puede señalar que la tarea docente exige uso constante de la voz. En promedio la población estudiada hacen uso de la voz 3.74 ± 2.89 horas/día en una jornada de 5 horas. El uso de la voz con intensidad alta fue reportado por el 33% de los trabajadores, situación que podría incrementa el riesgo de lesiones del aparato fonador. En el análisis multivariado el tiempo de esfuerzo vocal en una hora y el puntaje de intensidad de la voz se encontró asociado a la presencia de disfonía (ver tabla n° 17).
Se constató que existe una sobrecarga de alumnos por docente, situación que hace difícil su tarea. Al comparar las medias entre casos 46,7± 59,05 y no casos 31,9 ± 6,01 t=4,750 p=0,000, se encontró diferencias significativas. A mayor número de alumnos más exigente es la tarea docente y por lo tanto demanda mayor esfuerzo vocal. Los problemas de indisciplina y los trastornos del aprendizaje en los escolares aunada al escaso número de psicopedagogas constituye un problema a resolver para el personal docente. Esta situación provoca que las docentes realicen mayor uso de la voz y esfuerzo vocal al tener que calmar al grupo. En el análisis multivariado de las variables antes mencionadas no se encontró asociación con los casos de disfonía.
Al analizar los resultados por sexo (a pesar de la composición de la muestra con un predominio del 90% de mujeres), se considero importante señalar que se encontraron diferencias porcentuales en cuanto a la ubicación del docente en el nivel de enseñanza y la edad de los niños, evidenciándose que el 62,8% de los hombres se ubican en los grados superiores entre cuarto a sexto grado y las mujeres se ubican el 56,7 en los primeros grados con los niños entre 7 y 9 años de edad. Estos hallazgos se corresponden desde el punto de vista de género a los roles sociales asignados a las mujeres en la crianza de los niños ya que a edades menores los niños requieren de mayor atención y ayuda de parte del adulto y se aprovecha el rol de madre de estas profesoras. El hecho de trabajar con los niños más pequeños las mujees están más expuestas a esfuerzo vocal ya que a estas edades los niños son más inquietos y las maestras se ven obligadas a usar más la voz para controlar la disciplina en la clase. Por otra parte el ejercicio de la autoridad en nuestra sociedad esta asociado a lo masculino y este caso las maestras deben hacer mas esfuerzo para calmar el grupo de alumnos. Además de esta situación las mujeres tienen características anatómicas que las ponen en desventaja ante un medio ambiente de trabajo no confortable para el uso de la voz tales como: Faringe más corta, cuerdas vocales más delgadas y la influencia hormonal hace que tengan mayor edema durante los periodos de la menstruación.
Por otra parte también se encontraron diferencias porcentuales por sexo en cuanto a las estrategias de enseñanza y el número de horas de contratación, encontrándose que la media de horas de trabajo semanal es mayor en los hombres. Esto se explica porque del 26% de los docentes que manifestaron tener otro empleo en su mayoría son hombres.
Escalona (1996) señala en relación las características de la enseñanza impartida por los docentes a nivel de educación primaria, que el trabajar con niños desde 7 a 12 años, exige de los docentes dedicación muy especial. Mientras mas pequeño es el niño mayor demanda de atención de parte del docente. Las características de los escolares en cuanto a edad y estado de salud constituye un elemento bien importante a considerar como parte de las exigencias vocales para los docentes. En este sentido los docentes refieren que interviene la edad de los escolares ya que cuando son pequeños demandan mayor atención de parte del docente y estos deben usar más la voz.
Algunos estudios reportan que dependiendo del tipo de actividad docente es más elevado el riesgo de presentar disfonía. Thibeault et al. (2004) en un estudio de 1243 profesores encuentran que el riesgo de presentar disfonía es mas elevado en los que enseñan música, drama y química. Y en relación a la intensificación de la vocalizacion los profesores de química tienen mayor riesgo. Miller y Verdolini (1995) reportan mayor prevalencia en los profesores de música. Otros estudios encuentran que el riesgo es mayor en los profesores de educación física (Smith et al. 1998; Jonsdottir et al. 2002). Heidel y Torgerson (1993) reporta que son los docentes de deportes los de mayor riesgo al compararlos con sus alumnos.
Condiciones ambientales y exigencias vocales
Las Escuelas estudiadas se encuentran ubicadas en zonas populares urbanomarginales. Esta ubicación hace que estén afectadas por contaminantes diversos desde humo por quema de basura en los hogares cercanos, el ruido del trafico automotor, ruido de aviones en algunas de ellas por estar cerca del aeropuerto. Los docentes perciben que el ambiente de trabajo les afecta su voz y en orden de importancia refieren como principales problemas: la presencia de polvo de tiza, seguido del ruido ambiental en la escuela, problemas de acústica en las aulas y la presencia polvo de tierra en los patios de recreación. En el análisis multivariado resulto estar asociado a la disfonía el humo por quema de basura con un valor de p: 0,01 OR: 3,159 IC (1,269 - 7,860). El resto de los factores se observa una proporción mayor en los casos, siendo importante para ser incorporados en las medidas de control del ambiente laboral. Recuero et al. (1998) reporta en relación a la percepción de los docentes en primer lugar las malas condiciones acústicas y el nivel de ruido generado por los estudiantes y por el contrario los estudiantes no se sienten ser la fuente principal de ruido en las escuelas.
Conclusiones
La disfonía constituye un problema de salud pública en los docentes estudiados. Los docentes presentan de moderada a severa afectación de la voz, siendo una población joven. Lo que evidencia que no existe un programa de salud ocupacional en el magisterio que detecte y evite a tiempo estos trastornos. De manera que es un problema que sufren en silencio los docentes y para solventarlo utilizan diversas estrategias individuales. Los síntomas mas frecuentes fueron: resequedad en la garganta, carraspera, picazón (escozor faringeo), dolor (odinofagia), tensión en el cuello, ronquera al final de día (disfonía) y cansancio al hablar (fatiga vocal).
En cuanto a los factores personales y ocupacionales se constató que proporcionalmente a mayor edad y antigüedad laboral más síntomas de disfonía presentan los docentes. Se evidencias diferencias de género que ponen a riesgo a las mujeres en mayor proporción que los hombres. No se encontró asociación por edad, sexo, tipo de cargo y antigüedad laboral. Se constató desconocimiento de las técnicas para el uso adecuado de la voz. El consumo de alcohol, cigarrillo y café, muestran una tendencia a favorecer la disfonía, pero no se encontró asociación.
En cuanto a los factores de la organización del trabajo, exigencias de la tarea y uso de la voz se constató que a mayor número de horas de trabajo hay una tendencia aunque no significativa de presentar disfonía. Los problemas de indisciplina, los trastornos de aprendizaje de los escolares y la sobrecarga de alumnos por aula, hacen exigente la tarea docente, demanda mayor uso y esfuerzo vocal; no se encontraron asociados con la disfonía. La mayoría de los docentes no tienen ayuda de otras personas en el aula y los profesionales especializados en las áreas de psicopedagogía son escasos para atender la demanda de niños con problemas de aprendizaje e indisciplina, situación que hace más difícil la tarea docente. Los docentes hacen uso constante de la voz y modifican su intensidad de acuerdo a la demanda de la tarea. El tiempo de esfuerzo vocal en una hora y el puntaje de intensidad de la voz están asociados a la disfonía.
Las condiciones ambientales de trabajo manifestadas por los docentes revelan que la presencia de polvo de tiza, el ruido ambiental en la escuela, los problemas de acústica en las aulas, el polvo de tierra en los patios de recreación y el humo constituyen los principales problemas en el ambiente de trabajo. Particularmente el humo resulto estar asociado con los casos de disfonía.
Finalmente las condiciones de trabajo: organizativas, ambientales, están impactando la salud de los educadores y las educadoras evidenciándose la presencia de alteraciones de la voz. Estos hallazgos requieren que se instrumenten cambios a corto y mediano plazo para evitar la discapacidad laboral y el sufrimiento humano. Para ello se propone un programa de preservación de la voz a la Zona Educativa del Estado Aragua.
Referencias Bibliográficas
1. Barbaresco Z.A. (1994). Efectividad de la rehabilitación foniatrica en las disfonías funcionales en la unidad medica del IPASME-Caracas. [Tesis de Especialista en Foniatría]. Ministerio de Sanidad y Asistencia Social. Departamento de Rehabilitación Médica. Servicio de Foniatría. [ Links ]
2. Cooper M. (1979). Modernas Técnicas de Rehabilitación Vocal. Editorial Médica Panamericana S.A. Buenos Aires Argentina: 20-22. [ Links ]
3. Cuenca R., Fabara GE., Kohen J., Parra GM., Rodríguez GL. & Tomasina F. (2005). Condiciones de trabajo y salud docente: estudios de casos en Argentina, Chile, Ecuador, México, Perú y Uruguay [monografía en Internet]. Santiago de Chile: Oficina Regional de Educación de la UNESCO para América Latina y el Caribe, OREALC / UNESCO; [citado 03 Enero 2006]. Disponible en http://www.educarchile.cl/ntg/investigador/1560/articles-101035_informe.pdf [ Links ]
4. Escalona E. (2006). Programa para la preservación de la voz en docentes de educación básica. Salud de los Trabajadores, 14 (1):31-45. [ Links ]
5. Escalona E. (2003). Actividad de trabajo de las maestras y demandas de uso de la voz: Informe técnico. Maracay: Centro de Estudios Salud de los Trabajadores. Universidad de Carabobo. [ Links ]
6. Escalona E. (1996). Activité de travail des enseignantes du niveau primaire. [Mémoire de Maîtrice en Biologie]. Université du Québec à Montréal. [ Links ]
7. Escalona E & Ali N. (2004). Causas de consulta foniatrica de los docentes de Aragua en el Servicio Médico del IPASME-Aragua 1999 a Julio 2004. Informe Técnico. Maracay: Centro de Estudios Salud de los Trabajadores. Universidad de Carabobo. CEST-UC. [ Links ]
8. Escalona E, González M, & Rodríguez A. (2001). Perfiles de salud, condiciones de vida y condiciones de trabajo de los educadores en el Municipio Mariño del Estado Aragua. (Informe de investigación). Maracay: FUNDACITE ARAGUA. [ Links ]
9. García Real T. (1992). Disfonía funcional en profesionales de voz hablada sin técnica vocal. Revista Española de Foniatría. Editorial Sociedad Médica Española de Foniatría. 5(1):85-87 [ Links ]
10. González de M.M., Escalona E., Parra F. (1999). Estrategias de las organizaciones sindicales y formas de participación en el mejoramiento de las condiciones de trabajo de los y las educadoras en Aragua-Venezuela. Conferencia en II Congreso Mundial de Salud. Mujer y Trabajo. Rio de Janeiro. [ Links ]
11. Gotaas C & Starr CD. (1993). Vocal fatigue among teachers. Folia Phoniatr, 45 (3):120-9. [ Links ]
12. Heidel SE. & Torgerson JK. (1993). Vocal problems among aerobic instructors and aerobic participants. J Commun Disord, Sep; 26 (3):179-91 [ Links ]
13. Instituto Nacional de Estadísticas (INE). 2001. Censo Nacional de la Republica Bolivariana de Venezuela. Caracas. [ Links ]
14. Jonsdottir VI., Boyle BE., Martin PJ. & Sigurdardottir G. (2002). A comparison of the occurrence and nature of vocal symptoms in two groups of Icelandic teachers. Logoped Phoniatr Vocol, 27 (3):98-105 [ Links ]
15. La voz de Galicia. (2003). Docentes: Uno de cada cinco profesores tienen problemas de voz Disponible en http://www.edu.aytolacoruna.es/noticias/030428/vida/noticia2.htm. Consulta: 26 de Junio 2003 [ Links ]
16. López MMC. (2004). Programa de capacitación y prevención en el uso de la voz proyectada, dirigido a docentes que laboran en liceos y escuelas, dependientes del Ministerio de Educación, Cultura y Deportes, ubicados en el Municipio Girardot, de la Parroquia Andrea Eloy Blanco, Maracay, estado Aragua. [Tesis de grado para optar a la Maestría en Educación. Mención Planificación Curricular] Universidad de Carabobo. [ Links ]
17. Long J, Williford HN, Olson MS, Wolfe V. 1998. Voice problems and risk factors among aerobics instructors. J Voice, 12 (2):197-207 [ Links ]
18. Medina M. & Borges A. (1993). Una aproximación a un diagnóstico de salud de los trabajadores de la educación en Maracay. Material Monográfico. Maracay: CEST-UC. [ Links ]
19. Miller MK. & Verdolini K. (1995). Frequency and risk factors for voice problems in teachers of singing and control subjects. J Voice, Dec; 9(4):348-62 [ Links ]
20. Ministerio de Educación y Deportes (MED). (2003). Zona Educativa del Estado Aragua. Listado de Planteles de educación básica y diversificada año lectivo 2003. Informe técnico. Maracay: MED. [ Links ]
21. Ministerio de Educación y Deportes (MED). (2004). Memoria y Cuenta 2004. Resúmenes Estadísticas. Citado el 29 de Marzo de 2006. Disponible en http//portal.me.gob.ve/descargas/resumen_estadisticas.pdf. Consultada el 29 de Marzo de 2006 [ Links ]
22. Ministerio de Educación (ME). (2002). Publicación Oficial de las Estadísticas Nacionales. Caracas. p.499 [ Links ]
23. Ochoa VCT. (2002). Programa de Técnicas fonoaudiológicas para la formación docente. [Tesis de Maestría en Educación. Mención Educativa]. Universidad Rómulo Gallegos. San Juan de los Morros. Venezuela. [ Links ]
24. Parra GM. (1995). Estrategias de la Lucha Sindical en América Latina: El Sector Educacional Chileno 1982-1994. Material mimeografiado. [ Links ]
25. Preciado JÁ., Garcia TR. & Infante JC. (1998). Prevalence of voice disorders among educational professionals. Factors contributing to their appearance or their persistente. Acta Otorrinolaringol Esp, Mar; 49(2):137-42 [ Links ]
26. Preciado J., Pérez C., Calzada M. & Preciado P. (2005ª). Frequency and risk factors of voice disorders among teaching staff of La Rioja, Spain. Clinical study: questionnaire, function vocal examination, acoustic analysis and videolaryngostroboscopy. Acta Otorrinolaringol Esp. [online]. Apr; 56(4) [citado 15 Septiembre 2005] p:161-70. Resumen disponible en http://www.ncbi.nlm.nih.gov/entrez/query.fcgi?cmd=Retrieve & db=pubmed & dopt=Abstract & list_uids=15871292 & query_hl=4 Consultado el 15 de septiembre de 2005 [ Links ]
27. Preciado J., Perez C., Calzada M. & Preciado P. (2005b). Prevalence and incidence studies of voice disorders among teaching staff of La Rioja, Spain. Clinical study: questionnaire, function vocal examination, acoustic analysis and videolaryngostroboscopy. Acta Otorrinolaringol Esp. [online]. May; 56(5): p.202- 10. Disponible en http://www.ncbi.nlm.nih.gov/entrez/query.fcgi?cmd=Retrieve & db=pubmed& dopt=Abstract & list_uids=15960123 & query_hl=4. Consulta 14 Septiembre 2005 [ Links ]
28. Rantala L., Paavola L., Korkko P. & Vilkman E. (1998). Working-day effects on the spectral characteristics of teaching voice. Folia Phoniatr Logop. 50(4):205-11. [ Links ]
29. Rantala L., Vilkman E. & Bloigu R. (2002). Voice changes during work: subjective complaints and objective measurements for female primary and secondary schoolteachers. J Voice. Sep; 16(3):344-55 [ Links ]
30. Recuero M., Gil C., Sancho J. & Mínguez A. (1998). Noise Effects on Local Schools in the Madrid Región Instituto Universitario de Investigación del Automóvil. [monografía en Internet]. Madrid: Universidad Politécnica de Madrid. Disponible en http://www.insia.upm.es/DOCUMENTACION/DocAcustica/pdf/1998-05.pdf. Consulta 22 Nov 2002 [ Links ]
31. Reyes GME. (2006). Morbilidad por laryngitis nodular crónica profesional en educadores cubanos. Rev. Cub Hig Epid. [serie en Internet]. Enero-Abril 44 (1) [aprox. 7 p.]. Disponible en http://bvs.sld.cu/revistas/hie/vol44_1_06/hie04106.pdf. Consulta: 01 de Octubre 2006 [ Links ]
32. Roy N., Merrill R., Thibeault S., Parsa R., Gray S. & Smith E. (2004). Prevalence of voice disorders in teachers and the general population. Journal of Speech, Language and Hearing Research, 47 (2), 281-293. [ Links ]
33. Ruiz JA. & Gómez R. (2004). Análisis de los resultados obtenidos por el otorgamiento de cláusula 95 (capacidad laboral reducida) quinquenio 1999- 2003 y 1er semestre año 2004. Informe Técnico. IPASME. Caracas. [ Links ]
34. Russell A., Oates J. & Greenwood KM. (1998). Prevalence of voice problems in teachers. J Voice Dec; 12 (4):467-79 [ Links ]
35. Salas SWA., Centeno HJ., Landa CE et al. (2004). Prevalencia de disfonía en profesores del distrito de Pampas - Tayacaja- Huancavelica. Rev Med Hered. [online]. jul./set. 15 (3) [citado 19 Febrero 2006], p.125-130. Disponible en la World Wide Web: <http://www.scielo.org.pe/scielo.php?script=sci_arttext & pid=S1018-130X2004000300002 & lng=es & nrm=iso>. ISSN 1018-130X. [ Links ]
36. Sánchez JI., Fuente CZY., Silver SMV. & Terazon MO. (2000). Afecciones laríngeas en trabajadores de la enseñanza. Rev. Cubana Hig Epidemiol. [online]; 38(1) p:37-42 . Disponible en http://bvs.sld.cu/revistas/hie/vol38_1_00/hie05100.htm. Consulta: 22 Septiembre 2002 [ Links ]
37. Sapir S., Keidar A. & Mathers-Schmidt B. (1993). Vocal attrition in teachers: survey findings. Eur J Disord Commun, 28(2):177-85. [ Links ]
38. Simberg S., Laine A., Sala E. & Ronnemaa AM. (2000). Prevalence of voice disorders among future teachers. J Voice, Jun; 14(2):231-5. [ Links ]
39. Simberg S., Sala E., Laine A. & Ronnemaa AM. (2001). A fast and easy screening method for voice disorders among teacher students. Logoped Phoniatr Vocol; 26(1):10-6. [ Links ]
40. Simberg S., Sala E. & Ronnemaa AM. (2004). A comparison of the prevalence of vocal symptons among teachers students and others university students. J Voice, Sep;18(3):363-68. [ Links ]
41. Smith E., Gray SD., Dove H., Kirchner L. & Heras H. (1997). Frequency and effects of teachers voice problems. J Voice Mar;11(1):81-7. [ Links ]
42. Smith E., Lemke J., Taylor M., Kirchner HL. & Hoffman H. (1998). Frequency of voice problems among teachers and other occupations. J Voice, Dec;12(4):480-8. [ Links ]
43. Smith E., Kirchner HL., Taylor M., Hoffman H. & Lemke JH. (1998). Voice problems among teachers: differences by gender and teaching characteristics. J. Voice Sep: 12(3):328-34. [ Links ]
44. Sindicato Nacional de la Fuerza Unitaria Magisterial (SINAFUM). (2004). IV Convención Colectiva de Trabajo (VII Contrato colectivo) de los Trabajadores de la Educación dependientes del Ministerio de Educación y Deportes 2004-2006. Caracas. [ Links ]
45. Sodersten M., Granqvist S., Hammarberg B. & Szabo A. (2002). Vocal behavior and vocal loading factors for preschool teachers at work studied with binaural DAT recordings. J Voice. Sep; 16(3):356-71 [ Links ]
46. Thibeault SL., Merrill RM., Roy N., Gray S D. & Smith E.M. (2004). Occupational risk factors associated with voice disorders among teachers. Annals of Epidemiology, Nov. 14(10):786-792 [ Links ]
47. Urrutikoetxea A., Ispizua A. & Matellanes F. (1995). Vocal pathology in teachers: a videolaryngostroboscopic study in 1046 teachers. Rev Laryngol Otol Rhinol (Bord), 116(4):255-62. [ Links ]
48. Valera J. (2006). Informe de Gestión año 2005. División Nacional de Trabajo Social. Dirección General Sectorial Asistencial. Informe Técnico. IPASME. Caracas. [ Links ]
49. Vera L., Fuese R. & Lorenz MC. (2003). Vocal problems in kindergarten and primary school teachers: prevalenceand risk factors. Res Bras Otorinolaringol, 69 (6): 807-12 [ Links ]
50. Vilkman E. 2000. Voice problems at work: A challenge for occupational safety and health arrangement. Folia Phoniatr Logop, Jan-Jun; 52(1-3):120-5. [ Links ]
51. Vilkman E. (2004). Occupational safety and health aspects of voice and speech professions. Folia Phoniatr Logop. Jul-Aug; 56(4):220-53. [ Links ]
52. Yiu EM. (2002). Impact and prevention of voice problems in the teaching profession: embracing the consumers view. J Voice, Jun;16(2):215-28. [ Links ]

































