Saber
versión On-line ISSN 2343-6468
Saber vol.28 no.3 Cumaná set. 2016
Análisis físico-químico y microbiológico de la Laguna Grande, parroquía La Pica, Maturín - estado Monagas, Venezuela
Physical-chemical and microbiological analysis of water body Laguna Grande, parish La Pica, Maturin - Monagas state, Venezuela
Diagnora Brito1, Jessica Rivero2, Miguel Guevara3, Freddy Vásquez1, Bladimir Díaz1, José Gíl2
Universidad de Oriente, Núcleo de Monagas, 1 Escuela de Zootecnia, Departamento de Biología y Sanidad Animal, 2 Escuela de Agronomía, Departamento de Agronomía, Maturín, Venezuela, 3 Nùcleo de Sucre, Instituto Oceanográfico de Venezuela, Departamento de Biología Pesquera, Laboratorio de Biotecnología de Microalgas, Cumaná, Venezuela
E-mail: diagnorajb@yahoo.es
RESUMEN
Laguna Grande se ha convertido en el receptor de aguas residuales del municipio Maturín. Sin embargo, muchas personas utilizan el agua de esta laguna para riego y pesca (destinada al consumo y venta) sin considerar los efectos negativos en la salud pública. Se planteó analizar algunos parámetros físico-químicos y microbiológicos del agua de Laguna Grande, parroquia La Pica, Maturín, estado Monagas, Venezuela con el fin de evaluar la calidad del agua para uso agrícola, durante los meses de enero hasta junio de 2013. Se determinó la temperatura, transparencia, conductividad eléctrica, sólidos disueltos totales, pH, oxígeno disuelto y profundidad del agua y como variables microbiológicas como coliformes totales, coliformes fecales y Escherichia coli. Se encontró que las variables de calidad del agua, difieren significativamente (p < 0,0001) entre los sitios y meses de muestreo. Todos los sitios evaluados presentaron contaminación microbiana de moderada a alta, especialmente en los meses de mayor incidencia de lluvia debido al arrastre de sedimentos de los Caños (Juanico y Manteco). De acuerdo al tipo de agua establecida por el Decreto 883 (G/O de la República de Venezuela Nº 5021, del año 1995), este cuerpo se considera de alto riesgo desde el punto de vista de salud pública presentando condiciones microbiológicas del tipo 6 (aguas destinadas a la navegación y generación de energía).
PALABRAS CLAVE: Embalses naturales, parámetros físicos, parámetros químicos, Escherichia coli.
ABSTRACT
Laguna Grande has become the recipient of wastewaters from Maturin Municipality. However many people use the water from this lagoon for irrigation and fishing purposes (for consumption and sale) without considering the potential negative effects on public health. Therefore, it was proposed to analyze some physical-chemical and microbiological variables of the water body of Laguna Grande, Parish La Pica, Maturín - Monagas State, Venezuela in order to assess the water quality for agricultural use during the months of January through June 2013. Temperature, transparency, electrical conductivity, total dissolved solids, pH, dissolved oxygen and water depth, and microbiological variables such as total coliforms, fecal coliforms and Escherichia coli were evaluated. It was found that the variables of water quality differ significantly (p < 0.0001) among sampling sites and months. All sites evaluated showed moderate to high microbial contamination, mainly during the months of highest rain due to the runoff carried by creeks (Juanico and Manteco). According to the type of water established by the Venezuelan Gazette decree 883, this water body is considered of high risk from the public health point of view, presenting microbiological conditions of the type 6.
KEY WORDS: Natural reservoir, physical, chemical parameters, Escherichia coli.
Recibido: octubre 2015. Aprobado: febrero 2016. Versión final: junio 2016.
INTRODUCCIÓN
El agua es uno de los recursos naturales más valiosos e indispensables para la vida de los seres humanos (Calzada 2007). Su custodia depende de los ministerios responsables, municipalidades y organizaciones comunales, cuya finalidad es tomar decisiones en beneficio a la sustentabilidad de los recursos hídricos (GWP 1999).
Los requerimientos de agua de los distintos sectores de la sociedad en cantidad, calidad, tiempo y espacio para propiciar el desarrollo económico y social, es una demanda cada vez mayor por parte de la misma. Por ello, es indispensable el cuidado de éste preciado líquido y la prevención de su calidad (Moya 2009).
Venezuela cuenta con innumerables fuentes de agua clasificándolo como país privilegiado en recursos hídricos. Sin embargo, el patrón de crecimiento poblacional, el proceso de urbanización, la pérdida de calidad de los cuerpos de agua, los riesgos naturales, y la deficiente gestión y conservación del recurso, inciden en la multiplicación de factores contribuyentes con el deterioro de estas fuentes (Vitalis 2006).
Laguna Grande es un cuerpo de agua ubicado en Maturín, estado Monagas, Venezuela, en un principio fue utilizada como área recreacional sin embargo, en el trascurso del tiempo sus aguas fueron deteriorándose debido al vertido de aguas servidas, modificando sus características físico-químicas, y biológicas afectando de manera radical este fluvial. En la actualidad algunos pobladores se benefician de sus aguas, a través de la pesca sin conocer el grado de contaminación y los problemas de salud, los cuales en un futuro pueden aparecer por la ingesta de estos peces. Mediante el presente estudio se pretende demostrar el grado de contaminación a través de la determinación de las características físico-químicas y microbiológicas de este embalse natural para la reutilización de sus aguas en el área agrícola.
MATERIALES Y MÉTODOS
Laguna Grande está localizada a 18,44 km hacia el Este de la ciudad de Maturín, parroquia La Pica, municipio Maturín, estado Monagas, Venezuela con coordenadas de 9° 45´48˝ latitud Norte y 63° 2´ 30˝ longitud Oeste. Presenta una elevación de 36 m sobre el nivel del mar (m.s.n.m) y la altura máxima en el área de drenaje de 80 m.s.n.m. Es originado por la interconexión fluvial de dos canales naturales: Morichales Juanico y Manteco, el cual se comunica con la quebrada El Cañito, desembocando en el río Punceres y éste a su vez es afluente del río Guarapiche, fuente principal de agua potable de la ciudad (Gordon 1996).
En el espejo de agua de Laguna Grande se ubicaron 7 estaciones de muestreo, como se muestra en la Tabla 1, donde se procedió a la recolección de las muestras durante 6 meses continuos (enero-junio de 2013) y con una periodicidad mensual.
Recolección de las muestras
Las variables físico-químicas, registradas in situ fueron el pH, temperatura, conductividad eléctrica, sólidos disueltos totales por medio de un equipo portátil multifuncional, Waterproof Family desarrollado por la marca HANNA instruments y el oxígeno disuelto mediante el oxímetro portátil HD3030 marca Trans. La profundidad se determinó utilizando una cinta métrica a la cual se le sujetaba un disco de plomo de 1 kg en uno de sus extremos, lanzándose dos veces hasta el fondo de la laguna, en cada sitio de muestreo, para obtener una medida confiable de la profundidad. La transparencia fue determinada con un disco de Secchi.
Para las determinaciones bacteriológicas, se tomaron manualmente las muestras de agua, captadas entre 10 a 25 cm de la superficie del agua en horas de la mañana en cada uno de los sitios de muestreo. La recolección se llevó a cabo en envases de plástico de 1.500 mL cada uno, utilizando dos botellas por estación, previamente esterilizadas. Para la identificación de las muestras se etiquetaron los envases con número de registros luego se procedió a almacenarlas a 5ºC hasta el momento de los análisis (en un período inferior a 24 h).
El muestreo fue sistemático y estratificado, los sitios de muestreos o tramos se establecieron como: 1.1, 1.2, 2.1, 2.2, 3.1, 3.2 y 4. Esto con la finalidad de identificar los espejos de agua provenientes: del caño Morichal Juanico (1.1 y 1.2), Plato de la laguna, donde convergen los caños Juanico y Manteco (2.1 y 2.2), caño Manteco (3.1 y 3.2) y finalmente la Boca de la Laguna, considerado el efluente de Laguna Grande (4).
Las determinaciones bacteriológicas se realizaron por el método del Número más Probable (NMP), e incluyeron: coliformes totales, fecales y Escherichia coli (Castro 2002).
Análisis estadísticos
Al conjunto de datos recopilados se les aplicó un análisis de varianza de dos vías para determinar los efectos estacionales y temporales sobre las variables físicas (temperatura, conductividad, sólidos disueltos totales, transparencia y profundidad) y químicos (pH y oxígeno disuelto). Aquellas variables con efectos independientes significativos se les aplicaron una prueba de promedio Duncan α 0,05; para establecer diferencias estadísticas entre promedios. A través del programa de análisis estadístico (SAS 1998). Los datos microbiológicos (coliformes totales, fecales y Escherichia coli) del agua de Laguna Grande, se analizaron con estadística descriptiva.
RESULTADOS Y DISCUSIÓN
Variables físicas-químicas del agua de Laguna Grande
Variación temporal de la temperatura del agua
La temperatura del agua de Laguna Grande (Tabla 2) mostró diferencias significativas entre los meses muestreados (p < 0,05). La temperatura menor, 27,29 ± 0,47°C, se registró en el mes de enero y la mayor 29,15 ± 0,58°C en el mes de abril. El promedio general de temperatura fue 28,32°C. Estos cambios temporales en la temperatura del agua probablemente se deben a la temperatura del aire, la turbulencia por la acción del viento, radiación solar incidente y del paisaje general (especialmente el tipo de vegetación presente en este embalse natural).
Las temperaturas de aguas superficiales fluctúan con la época del año y es uno de los factores que más afecta a los sistemas de tratamiento biológico debido a su acción sobre el metabolismo bacterial, solubilidad de los gases especialmente el oxígeno y los procedimientos de sedimentación y desinfección (Guevara 1996). Temperaturas dentro del ámbito 27,2 ± 1,4°C, corresponden a una condición normal, razón por la cual se le asigna la categoría de excelente. La variación diaria de temperatura entre 24,4 y 30,0ºC, son los límites hasta los cuales la temperatura se asocia con una condición adecuada para ecosistema acuático (Murphy 2007). Por tal motivo, Laguna Grande se encuentra dentro de esta condición.
Mora et al. (2007) durante los meses de noviembre y diciembre de 2003 en diversos ambientes acuáticos adyacentes a la confluencia de los ríos Orinoco y Ventuari, Venezuela, registraron temperaturas entre 25,6°C y 32,0°C. Estos valores se encuentran por debajo y por encima de los señalados en este trabajo; debido a las condiciones particulares de cada zona y el tiempo de muestreo.
Transparencia del agua, conductividad eléctrica y sólidos disueltos totales de Laguna Grande
La variación de la transparencia, conductividad eléctrica y sólidos disueltos totales del agua de Laguna Grande se presenta en la Figura 1. Estas variables mostraron diferencias significativas (p < 0,0001) tanto en las estaciones como en los meses de muestreos. La mayor transparencia (Fig. 1A) se encontró en Caño Manteco (estaciones 3.1 y 3.2) en el mes de marzo con promedios de 0,48 y 0,52 m, respectivamente y la menor transparencia fue registrada en Caño Juanico (estaciones 1.1 y 1.2) durante el mes de abril con valores respectivos de 0,03 m y 0,08 m. La reducida transparencia del agua de Laguna Grade pudo ser ocasionada por el color del agua, la presencia de las algas, partículas en suspensión (de origen orgánico o inorgánico: arcillas, limos, partículas de sílice) capaces de disminuir la visibilidad hasta niveles peligrosos para ciertos organismos (Doña et al. 2009). No obstante, los mayores valores de transparencia del agua en algunos sitios de muestreos (estaciones 1.1, 1.2, 2.1, 2.2 y 4) se presentaron durante la época de lluvias (meses de mayo y junio). Esto posibilitó la dilución en la concentración de nutrientes por el aumento de los caudales de los tributarios del embalse (González et al. 2004), disminuyendo la turbiedad de las aguas, la cual es básicamente de origen biogénico (fitoplancton) y antropogénico (Wetzel 2001).
Mora et al. (2007) registraron altos valores de transparencia, con un mínimo de 95 cm para el estero de Macuruco y un máximo de 210 cm para la laguna de Macuruco y caño Cangrejo, estado Amazona, Venezuela. Existiendo marcadas diferencias con el agua de Laguna Grande probablemente por su condición de hipertrófica.
La conductividad eléctrica está altamente correlacionada con los sólidos disueltos totales, por lo tanto tienen un patrón similar. La mayores se localizaron en el brazo caño Juanico (estaciones 1.1, 1.2), el plato (estaciones 2.1, 2.2) y Boca de la Laguna (estación 4), las menores correspondieron al brazo Caño Manteco (estaciones 3.1, 3.2) en casi todos los meses de muestreo, con valores promedios 345,58; 328,08; 334,67 y 289,17 μS/cm, respectivamente (Fig. 1B). Es de aclarar que la mínima conductividad se obtuvo en el mes de enero en la estación 3.2 (125,5 μS/cm) y la máxima en abril en el sitio 1.1 (400 μS/cm), presentando las aguas de Laguna Grande un promedio general de 322,90 μS/cm.
En referencia a los sólidos disueltos totales como indicador del potencial búfer del agua, los mayores valores se localizaron en el brazo caño Juanico (estaciones 1.1, 1.2), el plato (estaciones 2.1, 2.2) y Boca de la Laguna (estación 4), las menores correspondieron al brazo Caño Manteco (estaciones 3.1, 3.2) en casi todos los meses de muestreos, con promedios de 172,58; 164,08; 166,33 y 145,21 ppm, respectivamente (Fig. 1C). El valor más bajo fue de 64 ppm para la estación 3.2 en el mes de enero y el más alto de 199,5 ppm en la estación 1.1 mes de abril, el promedio general de sólidos disueltos totales fue 161,44 ppm.
Tanto la conductividad como los sólidos disueltos totales se incrementaron paulatinamente desde enero hasta el mes abril, para luego disminuir en los meses mayo-junio; este descenso iónico en el agua se debe al proceso de dilución provocado por las precipitaciones. A pesar de ello, los valores reportados para Laguna Grande son relativamente bajos, probablemente por la localización de este embalse en las cabeceras de subcuencas débilmente mineralizadas, situados en zonas de sustrato silíceo. Esto señala la escasa concentración de iones mayoritarios y minoritarios en la laguna, los cuales determinan la poca intrusión salina incapaz de provocar daño a la biota y puede ser utilizada en la agricultura dado a su inocuidad en los cultivos.
Los valores habituales de conductividad en aguas continentales de bajo contenido iónico son menores a 50 μS/cm y desde 500 hasta 2000 μS/cm para las fuertemente mineralizadas, y aguas con altos valores de conductividad son corrosivas (Roldán y Ramírez 2008, Ramírez 2011).
Zamora et al. (2008) al estudiar los efectos de las aguas residuales sobre las propiedades físicos-químicas de los suelos en las planicies de Coro, estado Falcón Venezuela reportaron valores de conductividad eléctrica (< 800 μS/cm) los cuales tiene poca posibilidad de ocasionar salinización del suelo por uso de estas aguas. González y Matos (2012) en el embalse la Mariposa, Venezuela, determinaron durante los años 2001, 2007 y 2008 valores de conductividad eléctrica de 302; 347 y 416 μS/cm, estos valores reportados concuerdan con los hallados en el embalse natural Laguna Grande.
En cuanto a los sólidos disueltos totales, se registraron bajos promedios en Laguna Grande, encontrándose dentro del rango señalado como adecuados para aguas continentales (Decreto 883 G/O de la República de Venezuela Nº 5021, del año 1995). Guevara (1996) considera valores óptimos para agua potable inferiores a 600 ppm y se establecen una concentración máxima permisible de 1000 ppm. El decreto 883 de la normativa venezolana señala como límite máximo permisible de sólidos disueltos totales para aguas Subtipo IA y IB de 1500 ppm, cumpliendo las aguas de Laguna Grande con dicho valor.
Profundidad, oxígeno y pH
La profundidad, oxígeno disuelto y pH en las diferentes áreas muestreadas se presenta en la Figura 2. Estas variables mostraron diferencias significativas (p < 0,0001) tanto en los meses como en las estaciones. Las mayores profundidades (Fig. 2A) se observaron en el Caño Manteco (estación 3.1; 3,80 m y estación 3.2; 4,4 m) durante los meses de febrero y mayo. La menor profundidad se encontró en la Boca de la Laguna, con valores de 1,78 m en el mes de junio y 0,78 m en marzo. Posiblemente, las variaciones de profundidad en los diferentes sitios de muestreos están asociadas con la topografía del terreno y las estructuras geológicas del afluente, o también por la influencia de las precipitaciones, las cuales aumentan el caudal y con ayuda del viento permite una mayor movilidad de los sedimentos de las zonas más altas a las más bajas de la laguna.
El oxígeno disuelto en los ecosistemas acuáticos es esencial para el metabolismo de todos los organismos de respiración aeróbica y las variaciones en su concentración proporcionan información sobre la intensidad de las reacciones bioquímicas del medio acuático y de la magnitud de la carga orgánica externa que llega al sistema (Horne y Goldman 1994). La variación de la concentración de oxígeno disuelto (OD) en el agua de Laguna Grande fue amplia, con valores entre 1,37 y 10,5 ppm, y una concentración promedio de 7,43 ppm para el período de estudio (Fig. 2B). Los valores más altos se localizaron en el mes de enero en todas las estaciones de muestreos coincidiendo con la menor temperatura del agua 27,29°C. La mayor concentración de oxigeno se obtuvo en la estación 3.2 (10,5 ppm) en el mes de enero y el nivel más bajo fue obtenido en la Boca de la Laguna (estación 4; 1,37 ppm) en el mes de abril, concordando con la mayor temperatura del agua 29,15°C y la menor profundidad. Las variaciones de oxígeno disuelto son el resultado de las condiciones ambientales y biológicas, su valor depende de la naturaleza del ecosistema. En ambientes dulce acuícolas las concentraciones deben ser 3,5 a 5 ppm. Diversos autores consideran una concentración límite de OD para la protección de la vida acuática de 4 a 5 ppm, aunque algunas especies pueden soportar concentraciones menores a 2 ppm por cortos lapsos de tiempo. Los bajos valores de oxígeno disuelto puede deberse a vertimientos de aguas residuales domésticas, industriales, arrastres significativos de sedimentos y caudales relativamente pequeño (Orjuela et al. 2010). El decreto 883 de la legislación venezolana establece para aguas de Subtipo IA un valor mayor 4 ppm OD, encontrándose el promedio general del agua de Laguna Grande (7,43 ppm) dentro del rango establecido, no obstante en el sitio 4 (Boca de la Laguna) y en el mes de abril este valor disminuyó a valores inferiores al decreto 883 con una media de 1,37 ppm OD. La detección de valores de OD por debajo de 4 ppm somete a la ictiofauna del embalse Laguna Grande a condiciones que comprometen su desarrollo normal.
El pH depende de la naturaleza del sustrato, de los tipos de suelos de la cuenca de captación, de las reacciones químicas que tienen lugar en el agua, la intensidad de los procesos biológicos como la fotosíntesis y la respiración, además de posibles aportes externos de contaminantes específicos capaces de modificarlo entre estaciones y meses de muestreos. Los mayores valores de pH correspondieron a la estación 3.2 en casi todos los meses con valores de 7,35 a 9,45 (Fig. 2C), mientras los más bajos se presentaron en todos los sitios de muestreos en el mes de enero oscilando entre 7,35 a 8,35. El promedio general del embalse Laguna Grande fue 8,35, considerado por el decreto 883 de la normativa legal venezolana aguas Subtipo IA por encontrarse dentro de los límites permisibles de pH 6-8,5.
Las causas de un alto nivel de pH pueden incluir carreteras de grava de piedra caliza, la geología y los suelos alcalinos, la agricultura, la producción o eliminación de asfalto, gran cantidad de macrófitas, esteras de algas filamentosas o algas (Vestergaard y Sand-Jensen 2000). Morillo et al. (2010) determinaron en aguas del Lago de Maracaibo valores promedio de pH de 8,6 similares a los reportados en esta investigación, posiblemente ocasionado por el aumento en la abundancia fitoplanctónica.
Cuantificación de los coliformes totales, fecales y Escherichia coli
Parámetros Microbiológicos de Laguna Grande
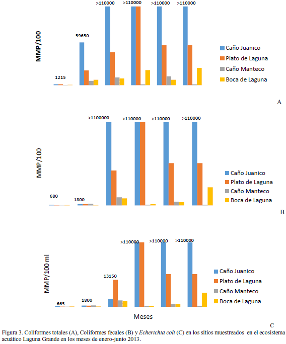
Las coliformes constituyen un grupo de bacterias heterogéneas con hábitat primordialmente intestinal y es utilizado como indicador de contaminación fecal en agua (Castro 2002). En la Figura 3, se indica la cuantificación de los coliformes totales (Fig. 3A), fecales (Fig. 3B) y Escherichia coli (Fig. 3C) del agua de Laguna Grande. La mayor cantidad de estas bacterias se obtuvieron en de Caño Juanico (estaciones 1.1 y 1.2) con rangos mayores a 110.000 NMP/100 mL y en el Plato de la Laguna (estaciones 2.1 y 2.2) con valores de 55.750 NMP/100 mL de agua principalmente en los meses de marzo, abril, mayo y junio. Los menores valores lo registró el sitio Caño Manteco (estaciones 3.1 y 3.2) seguido de la Boca de la Laguna (estación 4) con promedios de coliformes totales de 6.933,33 y 11.621,67 NMP/100 mL, coliformes fecales 3.300 y 6.660 NMP/100 mL y Echerichia coli con 3.330 y 6.655 NMP/100 mL, respectivamente. Los valores bacteriológicos determinados en este cuerpo de agua superan a lo señalado en el decreto 883 de la legislación Venezolana para aguas de Sub-Tipo 2B con rango máximo mensual promedio permisibles para coliformes totales menores de 5.000 y para fecales menores de 1.000 NMP por cada 100 mL de agua. Las aguas clasificadas en el Sub-Tipo 2B, son destinada para el riego de cualquier cultivo excluyendo a los vegetales de consumo humano directo y para uso pecuario. Por lo tanto estas aguas no están aptas para ser usadas en actividades agrícolas y pecuarias.
Los sitios más contaminados Caño Juanico (estaciones 1.1 y 1.2) y el Plato de la laguna (estaciones 2.1 y 2.2) deben su gran alteración principalmente al vertido de aguas residuales municipales de la ciudad de Maturín a través del Caño Morichal Juanico, el cual trae consigo incremento de materia orgánica en las aguas de Laguna Grande, otros factores influyentes son las precipitaciones, temperaturas, pH y oxígeno disuelto del agua, dada la estrecha relación entre estos factores y el crecimiento microbiano.
Oliver et al. (2005) encontraron una alta correlación entre las colonias de la bacteria Escherichia coli y el flujo de agua: al aumentar el caudal, hay mayores aportes de sedimentos incrementando la concentración de bacterias. Resultados similares a los obtenidos en esta investigación, donde se destaca la mayor cantidad de bacteria en los meses de mayor incidencia de lluvias (mayo y junio). Hernández et al. (2011) al estudiar la calidad del agua de riego en la parcela de tomate regada con aguas servidas del pueblo de Barbacoa-Venezuela, registraron valores de coliformes fecales de 1x105 a 9,3x106 NMP/100 mL y de coliformes totales de 2,4x109 NMP/100 mL. Concordando con los valores reportado en esta investigación y de acuerdo al decreto 883, no deben emplearse para este uso, por los riesgos en la salud pública.
CONCLUSIONES
Laguna Grande es un ecosistema en total desequilibrio, con aguas clasificadas de tipo 6 (destinadas a la navegación y generación de energía) de acuerdo al decreto 883 de la normativa legal venezolana, a partir de la evaluación bacteriológica de la misma; requiere la intervención y gestión de los entes gubernamentales, así como la participación activa de la comunidad en pro de la recuperación y conservación del recurso hídrico, vital para la sobrevivencia de la biota de este ecosistema, mitigación de los cambios climáticos e importante en las actividades agropecuaria de la zona.
AGRADECIMIENTO
Este estudio agradece al Proyecto Centro Agroindustrial, por prestar el financiamiento para llevar a cabo esta investigación, también a los técnicos Freddy Vásquez y Bladimir Díaz por su colaboración incondicional a la hora de realizar la metodología en el laboratorio.
REFERENCIAS BIBLIOGRÁFICAS
1. CALZADA M. 2007. Estudio microbiológico del agua purificada que se expende en los establecimientos (llenadoras) de la ciudad de Puebla. Puebla, México: Fac. CQ-BUAP [Tesis de Licenciatura Químico Farmacobiólogo], pp. 128. [ Links ]
2. CASTRO M. 2002. Técnicas para el Análisis Microbiológico. 2ª edición. Facultad de Química, UNAM, México, pp. 29. [ Links ]
3. DOÑA C, DOMÍNGUEZ J, CASELLES V. 2009. Hacia una relación única para el estudio del estado trófico de lagos y embalses con Thematic Mapper. Revista de Teledetección. 32:25-39. [ Links ]
4. DECRETO 883. 1995. Normas para la clasificación y el control de la calidad de los cuerpos de agua y vertidos o efluentes líquidos. Gaceta Oficial de la República de Venezuela N°. 5.021 Extraordinarios del 18 de diciembre de 1995. [ Links ]
5. GONZÁLEZ E, MATOS M. 2012. Manejo de los recursos hídricos de Venezuela. In: Diagnóstico del agua en las Américas. Foro Consultivo Científico y Tecnológico, AC: 437-445. México Distrito Federal, pp. 445. [ Links ]
6. GONZÁLEZ E, ORTAZ M, PEÑA-HERRERA C, INFANTE A. 2004. Physical and chemical features of a tropical hypertrophic reservoir permanently stratified. Hydrobiol. 522:301-310. [ Links ]
7. GORDON E. 1996. Caracterización de la vegetación y de los bancos de semillas en Laguna Grande (Estado Monagas, Venezuela). Caracas, Venezuela: Universidad Central de Venezuela, Facultad de Ciencias, Instituto de Zoología Tropical [Tesis Doctoral en Ecología], pp. 291. [ Links ]
8. GUEVARA V. 1996. Calidad de agua. Análisis de las normas de calidad de las aguas. Organización Panamericana de la Salud, Lima, Perú, pp.33. [ Links ]
9. GWP (ASOCIACIÓN MUNDIAL PARA EL AGUA). 1999. TAC (Comité de Consejo Técnico), Manejo Integrado de Recursos Hídricos, número 4, pp. 74. [ Links ]
10. HERNÁNDEZ J, ESPINOZA Y, MALPICA L, DE JESÚS M. 2011. Calidad del agua de riego y parámetros microbiológicos y químicos del suelo de la zona agrícola de Barbacoas, estado Aragua. Rev. Fac. Agron. (LUZ). 37(1):1-10. [ Links ]
11. HORNE A, GOLDMAN C. 1994. Lymnology. 2a edición, McGraw-Hill, Inc: New York, USA, pp. 576. [ Links ]
12. MORA A, SÁNCHEZ L, LASSO C, MAC-QUHAE C. 2007. Parámetros fisicoquímicos de algunos cuerpos de agua adyacentes a la confluencia de los ríos Orinoco y Ventuari, Estado Amazonas, Venezuela. Bol. Centro Invest. Biol. 41(1):44-59. [ Links ]
13. MORILLO G, JONTE L, ARAUJO I, ANGULO N, HERRERA L, MORALES E. 2010. Efectos del nitrógeno y cloruros en la dinámica del fitoplancton del Lago de Maracaibo, Venezuela. Interciencia. 35(8):575-580. [ Links ]
14. MOYA T. 2009. Riego localizado y fertirrigación. 4a ed. Editorial Mundi-Prensa, Madrid, España, pp. 575. [ Links ]
15. MURPHY S. 2007. General information on temperature. USGS Water Quality Monitoring, Boulder, Colorado, EEUU. Disponible en línea en: http://bcn.boulder.co.us/basin/data/COBWQ/info/Temp.html. (Acceso 22.05.2014). [ Links ]
16. OLIVER D, HEATHWAITE L, HAYGARTH P, CLEGG C. 2005. Transfer of Escherichia coli to water from drained and undrained grassland after grazing. J. Environ. Qual. 34:918-925. [ Links ]
17. ORJUELA C, SALDARRIAGA G, GARCÍA M, WILCHES H. 2010. Calidad del agua superficial en Colombia. IDEAM, Colombia, pp. 280. [ Links ]
18. RAMÍREZ S. C. 2011. Calidad del agua, evaluación y diagnóstico. 1a edición, Ediciones de la Universidad de Bogotá, Bogotá, Colombia, pp. 457. [ Links ]
19. ROLDÁN G, RAMÍREZ J. 2008. Fundamentos de Limnología Neotropical. 2da edición. Universidad de Antioquía, Medellín, Colombia, pp. 440. [ Links ]
20. SAS (STATISTICAL ANALYSIS SYSTEM). 1998. Guide statistics (versión 6.0.1. Ed). SAS. Int. Inc. Cary. NC, pp. 1080. [ Links ]
21. VESTERGAARD O, SAND-JENSEN K. 2000. Alkalinity and trophic state regulate aquatic plant distribution in Danish lakes. Aquat. Bot. 67(2):85-107. [ Links ]
22. VITALIS S. 2006. Gestión integrada de Los recursos hídricos en Venezuela. IV Foro Mundial del Agua. Ciudad de México, México, pp.460. [ Links ]
23. ZAMORA F, RODRÍGUEZ N, TORRES D, YENDIS H. 2008. Efecto del riego con aguas residuales sobre propiedades químicas de suelos de la planicie de Coro, Estado Falcón. Bioagro. 20(3):193-199. [ Links ]
24. WETZEL R. 2001. Limnology. Lake and River Ecosystems. 3rd edition. Academic Press, San Diego, Ca., USA, pp. 429. [ Links ]











uBio 





