Services on Demand
Journal
Article
Indicators
-
Cited by SciELO -
Access statistics
Related links
-
Similars in
SciELO
Share
Revista de Ciencias Sociales
Print version ISSN 1315-9518
Revista de Ciencias Sociales vol.15 no.3 Marcaibo Sept. 2009
Desafíos macroeconómicos y desarrollo: Consideraciones desde América Latina
Reyes, Giovanni E.*
Clasificación JEL: D60, E61, O11, O23.
* Ph.D. en Economía para el Desarrollo y Relaciones Internacionales de la Universidad de Pittsburgh, con certificados de post-grado de las universidades de Pennsylvania y Harvard; ha sido Coordinador del Informe de Desarrollo Humano de Naciones Unidas en Venezuela; asesor de Presidencia de la Universidad Católica de Colombia. El contenido de este artículo es responsabilidad exclusiva del autor y no compromete a entidad o institución alguna.
Resumen
Temas principales en relación con decisiones de política macroeconómica, condiciones económicas nacionales, y nexos de esos tópicos con el crecimiento económico y el desarrollo humano, son abordados aquí, en especial desde la óptica de los países latinoamericanos. En la primera sección, se discuten las principales características de las políticas fiscales, monetarias y cambiarias. Luego de esto se consideran los enlaces entre esas políticas y el crecimiento de la producción. A partir de allí se exponen los conceptos centrales respecto a desarrollo humano en el contexto específico de las sociedades, tomando en cuenta, el potencial de presentarse la enfermedad holandesa. Las principales conclusiones incluyen aquellas que subrayan la necesidad de estabilidad, infraestructura institucional, y condiciones sociales para apoyar el crecimiento económico sostenible y el desarrollo como logros dinámicos y permanentes de una sociedad.
Palabras clave: Política macroeconómica, crecimiento económico, desarrollo humano, economías latinoamericanas y caribeñas.
Macroeconomic challenges and development: Considerations from Latin America
Abstract
The major issues concerning political macroeconomic decisions, national economic environments, as well as links which connect these topics to economic growth and human development, are addressed here, mainly from the standpoint of Latin American countries. In the first section, the central features of fiscal, monetary and exchange rate policies are addressed. Following this, links between macroeconomic policies and economic growth are discussed. Then, fundamental characteristics of human development concepts are emphasized to highlight the dual relationship between economic growth and human development within the specific context of societies, taking into account special dynamics from the potential presentation of the Dutch disease in a country. Principal conclusions include those which underline the need for stability, institutional infrastructure and social conditions to support sustainable economic growth and human development, as dynamic and permanent accomplishments of a society.
Key words: Macroeconomic policy, economic growth, human development, Latin American and Caribbean economies.
Recibido: 08-12-15 · Aceptado: 09-04-07
Introducción
La política fiscal junto con la política monetaria y cambiaria, forman parte de las tres políticas macroeconómicas fundamentales para una economía. La importancia de coordinación de esas políticas nos puede permitir generar precondiciones a efecto de asignar más eficazmente los recursos de una sociedad.
Con políticas macroeconómicas estables, tendríamos ciertas garantías para la acción de los diferentes agentes económicos, sostenibilidad económica, beneficio social, e incluso elementos para sustentabilidad ecológica en el desarrollo de la producción, distribución y consumo de bienes y servicios.
Al tener capacidad de predicción del comportamiento de las variables económicas, los agentes productivos y la sociedad en general cuentan con una base sobre la cual planificar y desarrollar sus expectativas de vida. Otras dos políticas macroeconómicas además de las tres ya citadas, que actúan de manera complementaria, aunque no por ello menos importante en general, y que pueden ser determinantes en una coyuntura específica son la política comercial y la crediticia.
Las políticas macroeconómicas actúan como la caja de cambio de velocidades de un vehículo, en este caso de la economía. Nos permite adaptar las condiciones de administración de recursos, a ambientes que son cambiantes. Esos ambientes cambiantes estarían conformados por las condiciones que pueden ser internas en el país (subsistémicas) como aquellas externas (sistémicas).
En general en la política macroeconómica perseguimos cuatro finalidades fundamentales y cuatro complementarias, a saber:
Finalidades fundamentales: promover crecimiento económico; aumentar tasa de empleo; estabilizar precios; y mejorar los resultados en la balanza de pagos (balanza comercial y cuenta corriente)
Finalidades complementarias: establecer una eficiente y oportuna red de protección social; constituir una eficaz institucionalidad de seguridad social; contar con un sistema progresivo de contribuciones fiscales; y conservar y utilizar sustentablemente los recursos y sistemas naturales.
1. Política macroeconómica y crecimiento económico
La promoción del crecimiento económico constituye un medio y no un fin en sí misma. Lo importante es que sea un instrumento para el logro del desarrollo. Esto es necesario recalcarlo porque este estudio se ubica dentro de la relación de política económica como instrumento para el crecimiento y el desarrollo que se desea aumentar en América Latina, tomando en casos, la referencia de un país como Venezuela. La Figura 1 nos permite ubicar las políticas macroeconómicas genéricas en función de las condicionantes de un país.
Las relaciones en cuanto al comportamiento del crecimiento económico, empleo, inflación y balanza comercial o cuenta corriente, se caracterizan porque a medida que existe crecimiento económico, pueden generarse fuerzas que promueven inflación.
Sin embargo, a medida que se va fortaleciendo el crecimiento, se tendería a disminuir el desempleo; también la tendencia es que a mayor crecimiento, la cuenta corriente -producto de mayores importaciones- tendería a entrar en números negativos. En el caso de Venezuela por ejemplo, o de otras economías de economía rentista, este último comportamiento es atípico. Históricamente, debido a los altos precios de petróleo y a la capacidad de exportación de este bien por el país, la cuenta corriente en general y la balanza comercial en específico, tienden a mostrar números en positivo.
Conforme a la Fig. 1, con base en condiciones y desempeños económicos considerados normales, identificamos tres áreas de comportamiento macroeconómico. En la primera el crecimiento económico es bajo, el desempleo alto y no hay mayor riesgo de inflación, a la vez que la cuenta corriente está en positivo. Aquí lo importante sería realizar una política expansiva tanto en lo monetario como en lo fiscal.
En la región III, para ir al otro extremo, la economía estaría en condiciones de sobrecalentamiento, es decir que las fuerzas inflacionarias establecen una real amenaza, el empleo está bastante saturado, y el crecimiento económico alto, a la vez que la cuenta corriente en negativo. Lo indicado sería un conjunto de medidas macroeconómicas contractivas, es decir de freno a la economía. Bajamos un poco el crecimiento, pero con ello disminuimos la presión inflacionaria, a la vez que aliviamos también la presión en el empleo y mejoraríamos la balanza comercial.
En la región II tenemos las condiciones más controversiales. Aquí incluso se pueden tener circunstancias propias de estanflación, es decir contracción económica, con desempleo e inflación. En este caso más que privilegiar la aplicación de tradicionales medidas políticas fiscales o monetarias, lo que sería más aconsejable es la aplicación oportuna de manejo cambiario. El Cuadro 1 identifica lo que son, en materia de política fiscal y monetaria, las principales medidas tanto expansivas como contractivas para el manejo macroeconómico.
Una política fiscal expansiva es lo opuesto a una contractiva. En el Cuadro 1 se da una ilustración integrada con la política monetaria; de manera más particular, una política expansiva, o su contraria, puede especificarse en cuatro diferentes tipos de acciones, con lo que ampliamos los conceptos del Cuadro 1: a) Un aumento del egreso del gobierno, lo que aumentaría el valor agregado de los otros componentes en el producto interno bruto (PIB), es decir, del consumo privado y público, esto aumenta el poder del multiplicador por la vía fiscal; b) Reducción de impuestos, con el consiguiente aumento esperado de inversiones y consumo; c) Incentivos fiscales, medida que es muy útil cuando existen fuertes controles fiscales, y por el contrario no rinde los resultados esperados en la medida que ocurra evasión fiscal; y d) Estímulos específicos a la inversión, vía disminución de impuestos o de transferencias especiales que por lo general no son permanentes.
Cuadro 1. Manejo macroeconómico: Principales mecanismos de política fiscal y monetaria
| Tipo de Política | Fiscal | Monetaria |
| Expansiva | - Disminución de impuestos - Gestión de déficit de gobierno - Aumento de egresos de gobierno (gastos de operación e inversión) | - Aumento de masa monetaria (M1, M2) - Disminución de tasas de interés - Disminución de encaje bancario - Operaciones de mercado abierto (OMA) compra de bonos |
| Contractiva | - Aumento de impuestos - Gestión de superávit de gobierno - Disminución de egresos de gobierno (gastos de operación e inversión) | - Disminución de masa monetaria (M1, M2) - Aumento de tasas de interés - Aumento de encaje bancario - OMA, venta de bonos |
Fuente: Elaboración propia, y Fischer, Dornbusch y Schmalensee.
La política fiscal es un conjunto de medidas discrecionales del Organismo Ejecutivo y del Legislativo. Por esa razón se puede ver afectada al ser un medio para la obtención de dividendos electorales o de aprobación pública, en mucha mayor intensidad que el manejo de la política monetaria.
2. Articulación con el desarrollo humano
Estableciendo el vínculo entre estabilidad y crecimiento económico con el de desarrollo, el énfasis es en la integración o inclusión social. Esto se relaciona en lo fundamental, en la dinámica substancial de las sociedades, con la participación activa, efectiva, plena, libre de los individuos, grupos sociales y comunidades. Esta participación le confiere poder a los grupos sociales muchas veces divididos en función de la distribución geográfica para la toma de decisiones, y consecuentemente para la utilización correspondiente del poder en función de sus necesidades, recursos y aspiraciones. Este fundamento puede garantizar de mejor manera el respeto a elementos culturales y de derechos humanos.
Es decir que un rasgo que se encuentra en el corazón, en lo fundamental del desarrollo, es la efectiva participación de los ciudadanos. En este sentido se incluye una condicionante: la ciudadanía. La misma se entiende como el ejercicio de los derechos y deberes ciudadanos, sociales, en colectividad.
En este contexto se determinarían las derivaciones políticas de participación activa de los sujetos y sus grupos, además de conferirle un oportuno sentido de intermediación social a las organizaciones políticas, el contenido de las medidas, y la revocabilidad de mandatos. Estos rasgos son más factibles de generar y fortalecer a nivel del desarrollo local, más complicado en términos de lo nacional y con escasas repercusiones en términos de lo mundial o global.
Se trata de que el concepto básico en lo social y político, apoye y se corresponda con los fundamentos del desarrollo humano en su integridad, en función de la economía, la satisfacción de necesidades genuinas, el uso sostenido de recursos naturales renovables y la apropiada utilización de la tecnología.
Se reconoce que el desarrollo es resultado de circunstancias de vida en una sociedad en las cuales una persona, familia o comunidad, efectivamente desarrolla sus potencialidades. Estas condiciones se relacionan fundamentalmente con: a) Aumento de capacidades (educación y capacitación productiva); b) Aumento de oportunidades (empleo, inversión, economía social, elementos de competitividad y complementariedad local y regional); c) Equidad (trato justo de las diferencias, género, étnico, urbano, rural); d) Aprovechamiento sostenido de los sistemas naturales, especialmente los renovables; y e) Disminución de las brechas de desigualdad de condiciones (dotación de recursos y diferencias territoriales, lo que está asociado con la acción de instituciones de gobierno) (1).
En términos de lo económico, el desarrollo está relacionado con la capacidad de las personas en poder tener la oportunidad concreta para insertarse de una manera efectiva en los sistemas de producción, distribución y consumo. Todo ello, a fin de efectivamente acceder a los satisfactores para las personas, familias y grupos sociales.
Estos elementos mencionados en términos de lo social, lo político, lo cultural, ecológico y económico, requieren de un contexto de institucionalidad que favorezca la integración social de los diferentes grupos de la sociedad. Esta situación aún se muestra como una finalidad, un desafío recurrente en las realidades de las naciones latinoamericanas.
Es hacia ese conjunto de rasgos del desarrollo en función de lo cual se estaría generando el crecimiento económico. Ahora bien, no es automática la relación entre crecimiento y desarrollo, y en general se han determinado que existen tres vínculos fundamentales entre el primero y el segundo, estos son: ingreso directo, empleo y seguridad social.
Esos tres nexos básicos son la seguridad social, la dotación del ingreso directo por parte del gobierno -normalmente a sectores más necesitados- y muy especialmente el empleo. La seguridad social promueve el consumo y bienestar mínimo hacia personas que han laborado durante toda una vida, están ya en retiro, son clases pasivas.
El ingreso directo por parte de los gobiernos puede ser por la vía de la oferta de bienes y servicios, que es mucho de lo que hace el actual gobierno de Venezuela, o bien por medio de la promoción de la demanda. Por esta última modalidad, se incluye la entrega de cupones o certificados que pueden ser utilizados en la adquisición de bienes o servicios.
El vínculo fundamental es el empleo. Se trata de promover empleo que tenga niveles decorosos de ingreso y beneficios. Es decir ocupación que proporcione estabilidad, seguridad social y retribuciones mínimas. No se trata de empleo que genere ingresos que a la postre no permitan salir de la pobreza. El tipo de ocupación estable, surge fundamentalmente de inversiones articuladas al sistema económico y no de inversiones de enclave; se incluye también fortalecimiento de las actividades productivas, de grandes, medianas y pequeñas empresas.
Este carácter integrado entre crecimiento y desarrollo, es enfatizado por el paradigma de desarrollo de la Organización de Naciones Unidas. Se trata de la reafirmación de que las medidas macroeconómicas centradas en aspectos de producción y su relación con las poblaciones -caso de ingreso per capita-, tienen limitaciones. Entre estas limitantes se encuentra la evidencia de que el desarrollo si bien es cierto implica una perspectiva económica hasta cierto nivel, no se reduce sólo al aspecto de riqueza.
Se hace énfasis en que el desarrollo humano incluye al menos dos facetas complementarias. Una de ellas es la formación de las capacidades humanas. La otra, que esas capacidades puedan ser ejercidas en las diferentes esferas de la vida: económica, social, cultural o política; es decir las oportunidades (2).
Este aspecto del empleo se relaciona no sólo con la relación contractual entre empleado y empleador, se amplía al apoyo y consolidación de pequeñas y medianas empresas. Es allí donde la dotación de recursos de un país puede convertirse en capacidad productiva y generar mayores niveles de bienestar en la población a través de las esferas de la producción, la distribución y el consumo de bienes y servicios, con gran impacto social.
El espacio económico sería también la instancia en donde se despejan las tensiones y se construyen los acuerdos entre el capital y el trabajo lo que puede permitir expandir la riqueza y tener acceso a ésta. Finalmente, es una instancia de intercambio entre las personas y los grupos sociales que les permite integrarse y ejercitar libertades. Se insiste en que los vínculos positivos del crecimiento económico con el desarrollo humano no son automáticos, y requieren para serlo de su expresión, en el goce y ejercicio de los derechos humanos, de las oportunidades y de las opciones de calidad de vida.
Esto no es posible sin un serio y firme propósito dirigido a reducir las inequidades de carácter social, cultural y político. El crecimiento económico es necesario aunque no suficiente para el desarrollo humano (3).
Siempre en cuanto al estudio de los nexos entre el crecimiento y el desarrollo, además de los enlaces genéricos discutidos ya Ranis, Stewart y Ramírez (2000) y luego Ranis y Stewart (2002), han encontrado factores que se manifiestan como una doble línea de causalidad, como relaciones de flujo y reflujo entre crecimiento y desarrollo. Esas dos cadenas se presentan en la Figura 2 (4).
En resumen, esas dos cadenas se caracterizan por los siguientes rasgos:
Cadena A (la cadena que se origina en el crecimiento y luego conduce más hacia el desarrollo), puntualiza que las variables vinculadas a la producción nacional, pueden incidir positivamente en el desarrollo humano. Este desarrollo dependerá especialmente de la distribución del ingreso entre los hogares, y entre los hogares y el gobierno; de la tendencia de los hogares a invertir su ingreso en bienes y servicios; y de la parte del gasto del gobierno que se asigne a los sectores que inciden sobre el desarrollo.
Cadena B (los factores que van del desarrollo al crecimiento económico), especifica cómo el crecimiento puede ser a su vez resultante de mejores condiciones de desarrollo, es decir que el desarrollo se manifiesta como un medio y no como una finalidad en sí mismo, sino que le es inherente un rasgo como generador de efectos multiplicadores. Existen contribuciones positivas del desarrollo al crecimiento económico derivadas fundamentalmente de mejoras en la educación, la nutrición y en la salud de los trabajadores al aumentar su productividad y destreza; la enseñanza terciaria; la selección adecuada de tecnologías.
En cuanto a romper los círculos viciosos que se pueden generar, más enfáticamente en relación con el apoyo al empleo y las actividades productivas, la Figura 3 muestra la ubicación que se desea de las actividades de apoyo al desarrollo y la inclusión social y a las pequeñas y medianas empresas.
A partir de tener baja capacidad administrativa y pocos recursos productivos, se generan por lo regular bajos niveles de producción. Esto en muchas ocasiones trae aparejada una baja productividad y poca generación real de ingresos. Es posible distinguir ya aquí componentes que tienden a profundizar, que hacen que la pobreza sea un problema recurrente, que profundiza y permanece como condición de vida de importantes sectores sociales (5).
Con ello el cuadro se completa dando por resultado menor capacidad de satisfacer necesidades básicas lo que repercute en baja capacidad de gestión, y en bajos niveles de reinversión. Además tómese en cuenta que existen condicionantes que impiden a los pobres, suficiente acceso a financiamiento bancario privado (6) (Figura 3).
El apoyo de la inclusión social estaría dirigido a la satisfacción de necesidades básicas, para que luego sean las propias comunidades y/o unidades de producción o empresas las que deben realizar tal cometido. El apoyo a pequeñas y medianas empresas estaría más en función de romper la cadena causal, mediante el dotar de mayores recursos productivos y de elevar la capacidad administrativa.
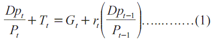
En función de elevar su capacidad de respuesta a los problemas sociales, y en determinadas circunstancias, en las cuales no se tiene un alto ingreso de circulante, los gobiernos pueden recurrir a deuda pública. Esta situación se hará para compensar sobre los ingresos, los gastos que se han producido y el pago de intereses de deuda que se puede tener acumulada. Un modelo que para tales efectos de deuda pública resultaría útil es:

donde:
DPt = deuda pública del año actual
Pt = nivel de precios de años actual
Tt = ingreso de impuestos
Gt = gastos de gobierno
rt = tasa de interés
t-1 = período anterior inmediato
Mucha de la crítica que generalmente se realiza contra una política fiscal expansiva y con gestión del déficit público, es que puede resultar muy atractiva para compensar intereses de sectores pobres inmediatamente, pero poniendo en riesgo la sostenibilidad de tales mecanismos, al poder generar presiones inflacionarias.
Al establecerse condiciones de significativos niveles de inflación, el daño a los procesos económicos se centra básicamente en la distorsión que se ejerce a las condiciones en las que operan los agentes del sistema de mercado. La masa monetaria tiene, al igual que la velocidad de circulación, una relación directa con el precio de bienes y servicios, y tal precio es inversamente proporcional a la oferta, ello se deriva de las relaciones establecidas en la teoría cuantitativa del dinero:

donde:
P = nivel de precios
M= masa monetaria en el sistema
V= velocidad de circulación
O= oferta del bien o servicio
Esto puede afectar drásticamente y de manera recurrente, la política monetaria, dado que a mayor inflación, se puede tener la tentación de devaluar la moneda con el fin de mantener niveles de gasto preexistente, pero con ello se fortalecen los factores que generan la inflación, especialmente en países donde las importaciones son tan significativas como estratégicas. Con ello que se puede consolidar un círculo vicioso.
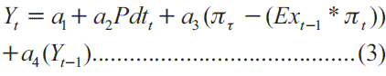
Esta situación afecta además, por la tendencia de que los productores o expendedores de productos tendrán la expectativa de precios más altos en un futuro no lejano, y con base en ello, puede retener la distribución, haciendo que los precios efectivamente aumenten y se generen mayores niveles inflacionarios. Un modelo que establece esta relación entre la producción total, la productividad de un país, la inflación y la expectativa que de ésta se tiene, es el siguiente:

donde:
Yt = producción del año t
Pdtt = productividad del año t
p = inflación
Ex = expectativa de inflación en productores o distribuidores
Yt-1 = producción del año inmediato anterior a t
an = constantes del modelo
Es decir que la producción en moneda corriente para un año, estará influenciada por la productividad, la inflación, la expectativa de inflación que se tenga por los agentes económicos operando más bien en la esfera de la producción y distribución, además de la influencia derivada de la producción del período inmediato anterior.
En el caso particular de una nación que tiene un gran ingreso de circulante en su economía -como es el caso de Venezuela a raíz de la elevación significativa de los precios del petróleo desde 2003- lo importante es establecer hasta que punto esos recursos pueden promover desarrollo. Para ello es necesario considerar la necesidad de que se fortalezcan inversiones productivas y con ello, niveles de empleo decoroso.
La Figura 4, caracteriza repercusiones e interrelaciones en el manejo de recursos en las condiciones de este tipo de países que tienen grandes ingresos de recursos financieros.
En general, ese ingreso de recursos puede ocurrir en un sistema que mediante condiciones estables pueda promover la inversión y el desarrollo. Esto conduciría a que el gran caudal de circulante se capta, y solamente se dejan entrar aquellos recursos que efectivamente serán absorbidos productivamente por el sistema económico. Este es el caso de Noruega, por ejemplo.
Es decir se implementa un sistema eficaz de control de ingreso de circulante: sólo entrará al sistema el monto que sea susceptible de ser transformado en inversión que genera empleo. El resto del circulante engrosará las reservas, que también pueden tener destinos productivos en los mercados financieros internacionales. En otras palabras, mediante ese mecanismo fundamental, se fortalecen las reservas internacionales del país (recursos que no entran directamente al sistema) y se fortalece la inversión (recursos que entran) a la vez que se da mayor consistencia al mercado interno, mediante empleo, fortalecimiento a la actividad productiva, y ampliación de la demanda efectiva de la población.
En sociedades con inestabilidad, que no favorecen la inversión, se pueden tener dos grandes escenarios. En el primero no habría control de cambio. Aquí la tendencia es que existirá fuga de capitales, con bajas presiones inflacionarias y mantenimiento relativamente estable del tipo de cambio de la moneda.
En el segundo escenario habría control de cambio. En este caso los capitales no se fugan, y generan presiones inflacionarias al promover el consumo. Además se tendría la tendencia a presionar el tipo de cambio de la moneda. Lo importante es controlar el circulante de manera que no contribuya a crear distorsiones, sino que mediante la inversión productiva promueva la ampliación de capacidades y oportunidades para las personas. Con ello esos recursos se constituirían en elementos de apoyo al logro del desarrollo humano. Estos rasgos en su conjunto, están asociados a los síntomas de la llamada enfermedad holandesa.
En este sentido, uno de los aspectos que debemos tener presente en el caso de economías como la de Venezuela, es la gran cantidad de circulante que puede entrar a la economía del país. Esto se debe a los altos precios del petróleo, especialmente a aquellos que se han experimentado desde 2004. Hasta 1999, los precios habían descendido ostensiblemente, llegando incluso a generar problemas políticos en países productores. De 2000 a 2003, en términos de dólares corrientes, los precios tienden a recuperarse (7).
Sin embargo ya a partir de fines de 2003 y especialmente desde 2004, los precios empiezan una notable escalada en términos de dólares normales. Para el inicio de 2008, esta tendencia se sostenía.
No obstante el notable ingreso de circulante que puede tener la economía de un país, se tiene el riesgo de ser víctima de la enfermedad holandesa. Una situación histórica que afectó a España y Holanda luego de la posesión de nuevos territorios, y de haber propiciado un ingreso significativo de oro y plata dentro de sus economías. Este gran flujo no controlado, constituyó una notable elevación de la masa monetaria en el mercado, sin que existiera compensación en la producción.
Es decir que no existe un estímulo significativo para la producción adicional de bienes y servicios. De allí que una mayor cantidad de dinero se encontraría ahora persiguiendo a un cantidad poco elevada de bienes y servicios. En otras palabras, para el aumento de la demanda que se experimenta, los inventarios aumentan su escasez relativa. De allí que los precios tienden a aumentar y generarse procesos inflacionarios.
Además, al incluir el concepto de las expectativas racionales, se tiende a conformar ciclos viciosos de causación acumulativa. La forma de operar sería esta: en la medida que existe inflación, una notable elevación de precios en los productos, los productores y/o distribuidores podrán tener fácilmente la perspectiva de que en el futuro no lejano, los precios continuarán elevándose, razón por la cual tratarán de no agotar rápidamente los inventarios, provocando escasez.
Además los agentes económicos que se encuentran más relacionados con la esfera de la distribución, pueden tender a elevar los precios de los productos o servicios en función de que en el futuro a ellos mismos se les elevarán los precios ya sean de nuevos productos o bien de los insumos. Basados en ello, establecerían aumentos de precios sustentados en el costo mayor esperado, más altos costos de reposición de inventarios (8).
Otro elemento de los procesos inflacionarios es que castigan con mayor intensidad a quienes dependen de los salarios, de quienes tienen menor poder adquisitivo. Dado que para esos sectores, generalmente mayoritarios en una sociedad, el consumo de bienes y servicios básicos se encuentran dentro de grandes valores marginales del poder adquisitivo que tienen, al poseer cantidades limitadas de circulante.
Otra de las repercusiones de la inflación es que puede rápidamente hacer poco propicias las condiciones para el ahorro, y con ello la generación de recursos internos. Esto ocurre dado que las tasas de interés reales pueden llegar a ser negativas. Para su cálculo nos basamos en la siguiente identidad:
Rr = Rnb Inf ....................... (4)
donde:
Rr = Tasa de interés real
Rnb = Tasa de interés nominal bancaria
Inf = Tasa de inflación
Si la tasa de inflación es mayor que la tasa de interés bancaria para los depósitos de ahorro o portafolios de inversión, la tasa real de interés es negativa. Quienes se mantengan en posesión de circulante, estarán perdiendo poder adquisitivo.
3. Conclusiones y consideraciones finales
El conjunto de políticas macroeconómicas-tanto fundamentales: monetaria, fiscal y cambiaria; como complementarias: crediticia y fiscal- constituyen una especie de caja de cambio de velocidades para la economía de un país. Mediante el manejo responsable, prudente y previsor de las mismas se trata de que la administración de la economía de una nación se adapte a las condiciones dinámicas, cambiantes tanto originadas en factores internos (subsistémicos) como externos (sistémicos).
Con base en lo anterior, las políticas económicas que se aplican deben coordinarse entre sí y responder a los grandes objetivos de política económica y social de un país. Entre los fines de aplicación de las políticas macroeconómicas se incluye el promover y fortalecer un sistema progresivo de impuestos, un uso ético del erario público en función de los intereses de la población, el fortalecimiento de una red de atención social, así como la promoción del medio ambiente y el sistema de seguridad social. En la medida que este cumplimiento no se realice, que estos planteamientos suenen a utopía, se fortalecen las condiciones para una sociedad disfuncional, de cuya dinámica luego no hay porqué sorprenderse.
Los programas sociales que implica el desarrollo, en atención a los sectores más necesitados son indispensables. La dotación de seguridad, educación, participación efectiva, alimentación y salud son derechos; sin embargo todas estas dotaciones deben permitir que las personas amplíen sus capacidades y puedan optar a oportunidades, a fin de contribuir a la sociedad. En esto la promoción y fortalecimiento de las actividades productivas y el empleo además de apoyo a las actividades productivas, es algo crucial, indispensable.
El crecimiento económico es indispensable pero no suficiente para alcanzar el desarrollo humano. El crecimiento económico, además, no se traduce de manera inmediata o automática en desarrollo. Para ello se requieren de otras consideraciones, políticas, mecanismos y procesos sociales. En ellos es imperativo la participación de las personas y grupos sociales, y el hecho de que se asuma la responsabilidad en cuanto a alcanzar niveles sostenibles (en lo económico) y sustentables (en lo ecológico) respecto a mejores niveles de vida. En esto se incluye el nivel de eficaz funcionamiento de las instituciones, de la estabilidad política, de independencia de poderes y de preeminencia del estado de derecho.
Los tres nexos fundamentales entre crecimiento y desarrollo (asistencia directa del Estado, empleo y seguridad social) se relacionan también con otras modalidades que la población emplea para la satisfacción de sus necesidades. Entre estas se incluyen los circuitos de la economía marginal o informal, el trabajo no remunerado del hogar, el trabajo voluntario, y los procesos y mecanismos de la economía campesina.
El nivel de desarrollo de una sociedad está asociado a la participación de sus integrantes, al respeto y tolerancia que se tengan, así como al grado de efectiva institucionalidad con que se cuente. El desarrollo no sólo es un conjunto de condiciones, sino también un conjunto de procesos sociales que se apoyan en la convivencia social, en la inclusión de los diferentes grupos, y en la promoción de la asistencia social como una vía para dicha inclusión social, y la efectiva participación responsable de los individuos y los sectores de una sociedad en lo que debe ser su dinámico bienestar colectivo.
Notas
1. Existen varias fuentes de información y análisis general sobre el tema de inclusión / exclusión social, por ejemplo Centre for Economic and Social Inclusion, London (www.cesi.org.uk); Social Exclusion Unit, Office of the Deputy Prime Minister, London (www.socialexclusion.gob.uk); el Departamento de Desarrollo Sostenible del Banco Interamericano de Desarrollo (www.iadb.org); y un instituto especializado del Banco Mundial, el World Bank Institutes Community Empowerment & Social Inclusion (CESI) (www.worldbank.org).
2. En el documento mencionado de la ONU, Human Development Report 1990, se amplían las explicaciones hasta incluir temas como valoraciones económicas del desarrollo humano, evidencias sobre el producto nacional per capita en ciertos países, y las relaciones entre crecimiento económico y desarrollo humano. Ver United Nations Organization. Human Development Report 1990. op. cit. pp. 12-14.
3. Para una discusión más amplia sobre definiciones de desarrollo y sus implicaciones en las esferas económicas, políticas, sociales y culturales: Chirot, D. (1999) Social Change in a Peripheral Society: The creation of a Balkan Colony. (New York: Academic Press), Comision Económica para América Latina y el Caribe (1991) Transformación Productiva con Equidad (Santiago, Chile: CEPAL), y Etzioni. E. (2000) Social Change. (New York: Basic Books). En el sentido del respeto a las culturas se entenderá que éstas últimas no niegan, limitan o reprimen los derechos humanos. Ver también Baptista, A. (ed.) (2002) El Pensamiento Económico y su Relevancia en el Mundo de Hoy. (Caracas, Venezuela: Banco Central de Venezuela).
4. Véase Velásquez, Efraín; y Gutiérrez, Alejandro (2006) Crecimiento Económico y Desarrollo Humano en Venezuela: Una Evaluación de su Posible Doble Causalidad, Caracas, Venezuela: Consejo de Economía Nacional y Programa de Naciones Unidas para el Desarrollo; en especial Anexo 2: pp. 74-94.
5. Este punto en particular, al igual que otros relacionados con la política fiscal y las políticas macroeconómicas en un sentido más amplio, requieren de estudios de situación y prospectiva política-social. Uno de los métodos útiles al respecto es el análisis de escenarios, actores, sujetos y recipiendarios de la política pública. Las categorías de escenarios, actores y sujetos de la política pública se utilizarían de conformidad con la teoría de los escenarios. La misma es aplicada en casos de análisis que corresponden a un conjunto de variables complejas en la política pública y que además presentan un previsto desarrollo de manera muy dinámica. Los escenarios serían las previsiones de grandes agregados en el comportamiento secuencial de un conjunto de resultantes; actores serían quienes básicamente formulan y/o aprueban la política, y sujetos quienes se encargan de las medidas fundamentales y complementarias para la puesta en marcha de las decisiones. Para una ampliación de conceptos y aplicaciones, además de procesos de operativización en el análisis social y de políticas públicas, véase Diesing, Paul (2003) How does Social Science Work? Reflections on Practice. (Pittsburgh, Pennsylvania: University of Pittsburgh Press), especialmente en p. 149-151, 181-193; asi como en Myrdal, Gunnar.(1969) Objectivity in Social Research. (Nueva York, USA: Phantheon Books), p. 14-17, 50, 63-65; y Giere, Richard. (2002) Understanding Scientific Reasoning (Chicago, USA: Holt, Rinehart and Winston), p. 23-26, 111-113, 280-285.
6. Con fines de una visión comparativa acerca de los fundamentos conceptuales sobre el desarrollo véase So, A. (1999) Social Change and Development (Newbury Park, California: SAGE). Para una categorización política y social sobre el desarrollo especialmente en países subdesarrollados, véase Hirst, P. (1998) Social Evolution and Sociological Categories. (London: Allen Pubis.), y Moore, M. (2001) Globalization and Social Change. (New York: Elseiver), Baptista, A. (ed.) (2002) El Pensamiento Económico y su Relevancia en el Mundo de Hoy. (Caracas, Venezuela: Banco Central de Venezuela), y Hoekman, B., y Kostecki, M. (2001) The Political Economy of the World Trading System. (Oxford: Oxford University Press).
7. Estos desajustes en el ingreso de divisas, y las correspondientes medidas de política económica que implican, pueden provocar serios problemas en las condiciones sociales de una nación. Véanse dos ejemplos. El primero en la propia Venezuela, cuando al tratar de realizar un ajuste macroeconómico para enfrentar el descenso de precios de petróleo y de haber aplicado una política expansiva en lo fiscal y monetario con anterioridad, surgió el problema social de el caracazo en febrero de 1989. Segunda ilustración, el descenso de los precios internacionales de petróleo estuvo asociado a los intensos problemas políticos de 1999 y 2000 en Ecuador, en donde fue destituido el Presidente Jamil Mahuad Witt; mayor discusión en: United Nations Development Program/World Bank Energy Sector (2005) The Impact of Higher Oil Price on Low Income Countries and the Poor (Washington, D.C.: The World Bank).
8. Estas expectativas e incertidumbres pueden ser factores importantes en la creación de un escenario que combina inflación con alto nivel de desempleo. Esto fue uno de los desafíos más importantes en Latinoamérica especialmente durante la década de los ochenta. Medidas para afrontar la estanflación (paro con inflación) incluyen: (i) coordinación en la aplicación de política fiscal y monetaria, en función de considerar factores de sostebilidad de la política, aliento a la productividad, y efectos colaterales o repercusiones; (ii) política de rentas complementarias diferenciadas, especialmente si se está aplicando una política que redundará en baja en los salarios reales; (iii) fomento decidido y sostenido a la productividad, incluyendo en ello apoyo a pequeñas y medianas empresas, a empresas grandes, vía la innovación productiva, y mayor dotación de valor agregado en las exportaciones; y (iv) gestionar las políticas proteccionistas que pueden repercutir más acentuadamente con altos costos en sectores asalariados. Al respecto véase: Fernández, Andrés (1985) El Papel del Sector Público en una Economía en Crisis. París: Editions Hispaniques; Genre, Vicente (2002) Labor Force Developments in the Euro Area since 1980s. (Frankfurt: Banco Central Europeo).
Bibliografía citada
1. Baptista, A. (ed.) (2002). El Pensamiento Económico y su Relevancia en el Mundo de Hoy. Caracas, Venezuela: Banco Central de Venezuela. [ Links ]
2. Centre for Economic and Social Inclusion, London (www.cesi.org.uk). [ Links ]
3. Chirot, D. (1999). Social Change in a Peripheral Society: The creation of a Balkan Colony. New York: Academic Press. [ Links ]
4. Comision Económica para América Latina y el Caribe (1991). Transformación Productiva con Equidad. Santiago, Chile: CEPAL. [ Links ]
5. Diesing, Paul. (2003). How does Social Science Work? Reflections on Practice. Pittsburgh, Pennsylvania: University of Pittsburgh Press. [ Links ]
6. Etzioni, E. (2000). Social Change. New York: Basic Books. [ Links ]
7. Fernández, Andrés. (1985). El Papel del Sector Público en una Economía en Crisis. París: Editions Hispaniques. [ Links ]
8. Genre, Vicente. (2002). Labor Force Developments in the Euro Area since 1980s. Frankfurt: Banco Central Europeo. [ Links ]
10. Giere, Richard. (2002). Understanding Scientific Reasoning. Chicago, USA: Holt, Rinehart and Winston. [ Links ]
11. Hirst, P. (1998). Social Evolution and Sociological Categories. London: Allen Pubis. [ Links ]
12. Hoekman, B. y Kostecki, M. (2001). The Political Economy of the World Trading System. Oxford: Oxford University Press. [ Links ]
13. Moore, M. (2001). Globalization and Social Change. New York: Elseiver. [ Links ]
14. Myrdal, Gunnar. (1969). Objectivity in Social Research. Nueva York, USA: Phantheon Books. [ Links ]
15. So, A. (1999). Social Change and Development. Newbury Park, California: SAGE. [ Links ]
16. Social Exclusion Unit, Office of the Deputy Prime Minister, London (www.socialexclusion.gob.uk).
17. United Nations Organization (1990). Human Development Report 1990. Nueva York, ONU. [ Links ]
18. Velásquez, Efraín; y Gutiérrez, Alejandro. (2006). Crecimiento Económico y Desarrollo Humano en Venezuela: Una Evaluación de su Posible Doble Causalidad. Caracas, Venezuela: Consejo de Economía Nacional y Programa de Naciones Unidas para el Desarrollo. [ Links ]
19. World Bank Institutes Community Empowerment & Social Inclusion (CESI). www.worldbank.org. [ Links ]
















