Servicios Personalizados
Revista
Articulo
Indicadores
-
Citado por SciELO -
Accesos
Links relacionados
-
Similares en
SciELO
Compartir
Bioagro
versión impresa ISSN 1316-3361
Bioagro v.18 n.1 Barquisimeto 2006
Hongos asociados a la caida prematura de frutos en LIMA PERSA (Citrus latifolia Tan.) y evaluación de su control quimico.
Berto Arias Rivas1, Víctor Yánez2, Luis Carrizales1 y María C. Sánchez2
1 Instituto Nacional de Investigaciones Agrícolas (INIA). Centro de Investigaciones Agropecuarias del estado Monagas. Apdo. 184. Maturín, Venezuela. e-mail: bariasr@inia.gov.ve.
2 Universidad de Oriente, Núcleo Monagas, Escuela de Agronomía. Maturín, Venezuela
RESUMEN
La lima Persa es un cítrico con alto potencial de desarrollo en el estado Monagas, Venezuela. La incidencia de enfermedades afecta negativamente sus rendimientos, causando, entre otros síntomas, la caída prematura de frutos. En el año 2003 se estableció un ensayo en una finca productora y se seleccionaron cuatro lotes de plantas en diferentes períodos del año. En cada lote se tomaron al azar ocho plantas y en cada una de ellas se marcaron cuatro ramas en prefloración las cuales fueron confinadas en bolsas perforadas. Semanalmente se contó el número de flores y frutos presentes durante cuatro semanas continuas hasta la formación de frutos consistentes. En el año 2004 se repitió la experiencia mediante la selección de diez plantas y sólo se escogió una rama por planta. Muestras de flores y de frutos desprendidos y colectados en las bolsas fueron analizadas para detectar, mediante aislamientos en medios de cultivo, los microorganismos presentes. Se realizó el análisis del porcentaje de frutos cuajados y de frutos caídos por planta. Adicionalmente, se realizó una prueba de control in vitro para determinar el efecto de tres dosis de los fungicidas Captan, Benlate, Funcloraz y Curacarb sobre el crecimiento radial diario del principal hongo detectado. De los componentes florales y de los frutos afectados se aislaron e identificaron dos cepas del hongo C. gloesporioides y una de Rhizopus sp., considerándose no patogénico a este último. En el año 2003 la frecuencia de aparición de C. gloeosporioides alcanzó valores aproximados de 40, 50 y 70 % en los meses de junio, julio y agosto, respectivamente; por su parte, Rhizopus sp alcanzó máximos superiores a 80 % en los mismos períodos. En el 2004 se aisló con mayor frecuencia C. gloeosporioides, particularmente en el mes de julio. Se concluye que C. gloeosporioides se encuentra establecido en la plantación y es un factor relacionado con la caída prematura de los frutos. Los fungicidas Funcloraz, Curacarb y Benlate mostraron los mejores resultados sobre el control in vitro de C. gloeosporioides mientras que Captan mostró ser poco efectivo.
Palabras clave adicionales: Cítricas, Colletotrichum gloesporioides, fungicidas
ABSTRACT
Fungi associated to postbloom fruit drop of Tahiti lime (Citrus latifolia Tan.) and evaluation of their chemical control
Tahiti lime is an important crop with high economic potential in Monagas State, Venezuela. The incidence of diseases negatively affects crop yields, causing among other symptoms, postbloom fruit drop. In 2003 a trial was conducted in a commercial citrus orchard and four plant lots were selected in different periods of the year. In each lot four preblooming branches were enclosed in perforated bags on each of eight randomly selected plants. Weekly, the number of flowers and fruits were counted during four consecutive weeks until the fruit reached persistent set. In 2004 the trial was repeated using one branch on each of ten selected trees. Samples of dropped flowers and fruits collected from the enclosing bags were analyzed for isolation of microorganisms, and the percentage of fruit set and fruit drop was determined. An in vitro study was also conducted to determine the efficiency of the fungicides Captan, Benlate, Funcloraz and Curacarb to control the daily radial growth of the main fungus detected. From flowers and fruits affected, two strains of Colletotrichum gloesporioides and one of Rhizopus sp. were isolated, the latter being considered non pathogenic. In 2003 the average of isolation of C. gloesporioides reached approximated values of 40, 50, and 70 % in June, July, and August, respectively; on the other hand, Rhizopus sp. reached maximum values higher than 80 % in the same periods. In 2004 C. gloesporioides was consistently isolated, particularly in the month of July. It is concluded that C. gloesporioides is established in the orchard and is an important factor related to the postbloom fruit drop. The fungicides Funcloraz, Curacarb, and Benlate showed the best in vitro control of C. gloesporioides, while Captan showed low effectiveness
Additional key words: Citrus, Colletotrichum gloesporioides, fungicides
Recibido: Noviembre 15, 2005 Aceptado: Abril 28, 2006
INTRODUCCIÓN
Las cítricas constituyen uno de los renglones más destacados de la producción frutícola de Venezuela. La alta demanda, tanto para el consumo fresco como para su procesamiento industrial, ha incentivado a los productores del país y en especial a los del oriente venezolano, a incrementar el área bajo siembra. En el estado Monagas la actividad frutícola tiene amplias posibilidades de convertirse en generadora de empleo y de divisas, ya que cuenta con áreas agroecológicas adecuadas para la producción de frutales; igualmente, se tiene infraestructura adecuada para el procesamiento de frutales y existe la posibilidad de exportación de frutas frescas.
Leal y Avilán (1991) señalan varios cultivos de frutales con alto potencial de desarrollo en el estado, entre los que se encuentra el citro Persa; también indican que el escaso control de plagas y enfermedades constituye la principal causa de los rendimientos extremadamente bajos que se obtienen, lo cual representa una limitante para el adecuado establecimiento de este frutal. Los cítricos son afectados por un gran número de enfermedades que pueden afectar los órganos, particularmente los frutos desde el inicio de su formación hasta después de haber sido cosechados; constituyendo un factor limitante en la explotación comercial de este rubro.
En una plantación de citro Persa ubicada al oeste del estado Monagas se ha observado caída excesiva de flores y de frutos aún sin cuajar. Los síntomas principales de la anomalía son necrosis en los pétalos seguida por la caída de los frutos jóvenes, quedando persistentes el cáliz y el pedúnculo, en contraste con la caída normal fisiológica de los frutos, la cual implica la abscisión de la base del pedúnculo, dejando sólo una cicatriz (Denham y Waller, 1981). Dado que existe la necesidad de estudiar las posibles causas fitopatológicas que originan dicha anomalía, se trazaron los objetivos de evaluar la caída de frutos jóvenes de citro Persa en lotes comerciales de plantas, identificar y determinar la frecuencia de aparición de los hongos presentes en componentes florales y frutos caídos y evaluar el control químico in vitro de los hongos asociados a la enfermedad.
MATERIALES Y MÉTODOS
El estudio se realizó en la finca Agropecuaria La Gloria, ubicada en la localidad de Tarragona, estado Monagas, en cuatro lotes de diferentes edades de citro Persa en etapa de floración. Las fechas de evaluación y la edad de los lotes se muestran en el Cuadro 1. En cada período de tiempo se llevaron registros diarios de la precipitación ocurrida, medida con un pluviómetro ubicado en las instalaciones de la finca.
En el año 2003 se eligieron ocho plantas al azar de cada lote, las cuales se dividieron en cuatro cuadrantes. En cada cuadrante se escogió una rama en proceso de prefloración, la cual fue cubierta con una bolsa de papel de 2 L de capacidad; con aberturas en la parte superior para facilitar la entrada de aire y luz. La bolsa se fijó a la rama con hilo de nylon. Para el año 2004 las bolsas de papel fueron sustituidas por bolsas tipo malla plástica y se eligieron al azar diez plantas por lote y sólo se evaluó una rama en cada planta.
Se contó el número inicial de flores por rama y se hizo seguimiento semanal de las flores y/o frutos retenidos en la rama hasta que los frutos, de 5 mm de diámetro ecuatorial, quedaron adheridos consistentemente y se calificaron como frutos cuajados. Esto permitió determinar el total de frutos caídos y el porcentaje de caída por lote. El número total de ramas contadas se duplicó en los meses de agosto de 2003 y julio de 2004 debido a que se colectó información simultáneamente en dos lotes de plantas (Cuadro 1). De igual manera, se hizo la recolección del material caído y se determinó el porcentaje de aislamiento de hongos presentes en pétalos, estigmas y partes del androceo durante las dos primeras fechas de evaluación. Posteriormente, las muestras consistieron de frutos caídos prematuramente, los cuales se cortaron en pequeños trozos con un bisturí y se desinfectaron superficialmente, para eliminar hongos saprófitos o parásitos secundarios, en solución de hipoclorito de sodio (NaOCl) al 2,5% por tres minutos; luego se pasaron a agua estéril para eliminar el exceso de hipoclorito, se sacaron del agua y se colocaron sobre papel absorbente para eliminar el exceso de humedad. A continuación, estos trozos de material vegetal fueron colocados en placas Petri contentivas de 15 mL de agar agua (AA) y se incubaron por cuatro días a 28º C de temperatura y a 74% de humedad relativa. En esta etapa se hizo una identificación preliminar de los hongos que desarrollaron colonias que posteriormente fueron transferidas a placas de Petri contentivas de papa-dextrosa-agar (PDA) para estudiar las esporas o estructuras reproductivas e identificar en forma definitiva los géneros de hongos asociados a las muestras evaluadas. Esto permitió determinar la frecuencia de aparición de los hongos. La identificación se logró usando la clave ilustrada de Barnett y Hunter (1972) para lo cual los hongos aislados fueron llevados a cultivos puros.
Cuadro 1. Fecha de siembra, edad y fechas de evaluación de cuatro lotes comerciales de citro Persa ubicados en la localidad de Tarragona, estado Monaga

La caída de flores y frutos fue interpretada en forma gráfica al representarla conjuntamente con la frecuencia de aparición de los hongos en función del tiempo durante los períodos de evaluación (años 2003 y 2004). Adicionalmente, se incluyó la precipitación ocurrida en ambos períodos.
Por otra parte, se realizaron pruebas de control químico in vitro se usó un aislamiento puro de Colletotrichum gloeosporioides dado que fue el hongo patogénico mayormente aislado de los frutos desprendidos; el mismo se obtuvo de los aislamientos realizados en la primera fase de esta investigación y fue preservado en tubos de ensayo con medio PDA inclinado; luego fue transferido a placas Petri e incubado por 10 días a 28º C de temperatura y a 74% de humedad relativa para obtener discos de 5 mm de diámetro con crecimiento micelial del hongo para ser usados en esta prueba. Los tratamientos y las dosis comerciales equivalentes usadas incluyeron a Captan 50 PM a 1,7; 3,4 y 5,1 mg de ingrediente activo por mL de agua; Curacarb 50 WP a 6,3; 12,6 y 18,9 mg de ingrediente activo por mL de agua; Benlate WP a 6,0; 12,0 y 18,0 mg de ingrediente activo por mL de agua; Funcloraz 40 CE a 1,9; 3,8 y 5,7 mg de ingrediente activo por mL de agua.
Los tratamientos fueron organizados en un diseño estadístico completamente aleatorizado con cuatro repeticiones. La unidad experimental estuvo compuesta por cinco placas Petri de cada tratamiento para un total de 20 placas por tratamiento, con 15 mL de medio PDA más el fungicida. Los productos fueron incorporados al medio de cultivo en condiciones asépticas y con las dosis ajustadas a la cantidad de medio a utilizar para lo cual se dividieron los 300 mL de agua necesarios para preparar 20 placas en dos partes. El fungicida se disolvió en 100 mL de agua y en los 200 mL de agua restantes se agregaron 6 g de medio de cultivo PDA, luego se mezclaron mediante agitación en la plancha térmica, y posteriormente se llevó al autoclave para su esterilización. Para preparar la mezcla de PDA más el fungicida Captan 50 PM fue necesario agregar el doble de la cantidad del medio de cultivo ya que la naturaleza ácida del fungicida dificultó la solidificación de éste. El tratamiento testigo consistió en placas Petri con medio de cultivo PDA sin la incorporación de fungicidas.
Después del vaciado de las placas se tomó un disco del medio de cultivo contiendo micelio del hongo y se depositó en el centro de las placas que contenían los tratamientos y se pusieron a incubar a una temperatura de 28 ºC con 12 horas de luz y 12 horas de oscuridad. Se hicieron mediciones diarias para determinar el efecto de los tratamientos sobre el crecimiento de Colletotrichum gloeosporioides. Este crecimiento radial diario fue expresado en centímetros en cada cuadrante de las placas; las observaciones fueron tomadas hasta que el micelio del hongo llegó al borde de la placa en el tratamiento testigo.
Con los datos obtenidos se calculó la tasa de crecimiento diario para cada fungicida y dosis. Se realizó análisis de varianza convencional y las diferencias entre tratamientos se determinaron a través de la prueba de mínima diferencia significativa usando el programa estadístico Statistix 7.0.
RESULTADOS Y DISCUSIÓN
Año 2003
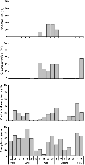
En las Figura 1 aparecen los géneros de hongos aislados de los componentes florales y frutos caídos prematuramente en el cultivo de citro Persa y la frecuencia de aislamiento de los mismos por lote. Se observa que Rhizopus sp. se aisló con mayor frecuencia que C. gloeosporioides en todos los lotes, mientras que C. gloeosporioides apareció en menor frecuencia. De C. gloeosporioides se diferenciaron dos cepas por el color del micelio (Figura 2), una cepa gris denominada Cepa A y otra de color anaranjado denominada Cepa B indicando ésto la presencia en el campo de más de una forma genética del hongo y que probablemente estén asociadas al problema de caída prematura de los frutos, en concordancia con lo referido en la literatura para este microorganismo. Se descarta al hongo Rhizopus sp., como causante del problema ya que, por su naturaleza saprofítica, por lo general aparece en tejidos afectados por otros hongos y el daño que causa está referido a frutos y a granos en postcosecha.
Fagan (1979) aisló consistentemente los hongos C. gloeosporioides y Fusarium spp., de yemas florales infectadas y de frutos jóvenes, determinando a través de pruebas de patogenecidad que la enfermedad era inducida por una forma especializada de C. gloeosporioides, y encontró a Fusarium spp., probablemente como un colonizador secundario de tejido fisiológicamente debilitado por ataques de C. gloeosporioides. Agostini y Timmer (1992), en un trabajo para caracterizar y diferenciar razas de C. gloeosporioides provenientes de cultivos de cítricos, identificaron varias razas de este hongo y demostraron la presencia de éstas en campos sembrados por cultivos de cítricos. Al realizar las respectivas pruebas de patogenicidad, llegaron a la conclusión que una cepa de color gris se comportó como saprófita dado que no afectó flores ni tejido vivo, mientras que otra cepa, de color anaranjado, fue patogénica en flores y provocó los síntomas de la caída prematura de flores y frutos.
Figura 1. Caída de flores y frutos de lima Persa, aislamiento de los hongos Colletotrichum gloeosporioides y Rhizopus sp., y precipitación durante el período mayo-septiembre de 2003 en la localidad de Tarragona, estado Monagas

Figura 2. Cepas del hongo Colletotrichum gloeosporioides aisladas de flores y frutos caídos prematuramente en cuatro lotes comerciales de lima Persa, en la localidad de Tarragona, estado Monagas. Cepa A: micelio color gris. Cepa B: micelio color anaranjado

Basados en los resultados anteriores, se puede inferir que probablemente las cepas gris y anaranjada encontradas en este estudio, podrían estar vinculadas a la caída prematura de frutos del citro Persa, particularmente la cepa anaranjada, ya que en el campo se encontraron algunos de los síntomas descritos por Fagan (1979) como la presencia de botones o cálices persistentes en los árboles. Por tal razón, esta cepa fue seleccionada para realizar las siguientes pruebas de control químico in vitro en este estudio.
Los hongos fueron aislados tanto en componentes florales y en frutos. Los mayores valores de aislamiento ocurrieron en flores y disminuyeron a medida que se avanzó en las evaluaciones, probablemente porque el tejido de las flores de citro Persa favorece el crecimiento y desarrollo de hongos y al haber más flores invadidas ocasionan su caída e inciden en la cantidad de frutos que alcanzan el cuajado. Esto se notó con mayor claridad en los lotes III y IV donde ocurrieron las mayores frecuencias de aislamientos de hongos durante la floración y donde el desprendimiento de las flores fue mayor, probablemente por la acción de C. gloeosporioides sobre las flores. No se descarta la acción de otros factores ambientales como la precipitación y el viento de ser causantes de la caída brusca de flores en esta época.
Las evaluaciones de la caída de flores y de frutos se realizaron durante la época lluviosa del año (meses de mayo a septiembre). En el año 2003 la mayor precipitación ocurrió entre la segunda semana de junio y todo el mes de julio. Durante este período se realizaron las evaluaciones de mayo-junio y julio presentándose una caída de flores y frutos superior al 20%. Este resultado pudiera estar asociado a la presencia del hongo C. gloeosporioides cuya frecuencia de aislamiento presentó valores superiores al 40% en el mes de junio y cercanos al 50 % en julio (Figura 1), así como también a un probable efecto del impacto de las gotas de lluvia sobre las flores y frutos. En el mes de agosto hubo un notable aumento en la caída de flores y frutos (Figura 1) y simultáneamente se obtuvo la mayor frecuencia de aislamiento del hongo C. gloeosporioides.
C. gloeosporioides fue aislado con mayor frecuencia cuando los árboles presentaron mayor floración y hubo mayor precipitación en la zona, lo cual pudo estimular su actividad patogénica. Estos resultados pueden compararse con los presentados por Denham y Waller (1981) en su estudio sobre la epidemiología de C. gloeosporioides en cítricos, quienes sostienen que la caída prematura de los frutos se presenta en mayor cantidad cuando ocurren lluvias durante los picos de floración.
Timmer y Zitko (1993) sostienen que la disponibilidad del inóculo es un factor importante en el desarrollo de la enfermedad y que la precipitación juega un papel muy importante en la severidad de la enfermedad ya que dispersa las esporas y proporciona la humedad necesaria para que éstas germinen. Esto sugiere que durante el mes de mayo en este estudio la disponibilidad de inóculo habría sido baja y al comenzar las lluvias se habría incentivado la reproducción y diseminación del hongo.
Año 2004
La frecuencia de aislamiento de C. gloeosporioides presentó una tendencia similar al año 2003 (Figura 3), lo que indica que el hongo se encontraba establecido en la plantación manteniendo cierta tendencia estacional. Esta situación fue más clara en el mes de julio dado que al momento de realizar la recolección del material en junio y agosto, éste se encontraba en avanzado estado de descomposición, dificultando la identificación de los microorganismos presentes en las muestras. Se observó que en las floraciones ocurridas a partir del mes de julio la caída de flores y de frutos estuvo en aumento a medida que se avanzó en las evaluaciones. La frecuencia de aislamiento de C. gloeosporioides en el mes de julio alcanzó valores puntuales de hasta 80%. La cantidad de frutos caídos tendió a aumentar en la medida en que hubo mayor frecuencia de aislamiento del hongo. Al final del mes de agosto e inicios de septiembre la frecuencia de aislamiento presentó valores elevados.
Lo anterior sugiere que la precipitación incide negativamente en la cantidad de frutos cuajados al crear las condiciones de humedad necesaria para el desarrollo del hongo C. gloeosporioides sobre todo en las flores; en consecuencia, las flores infectadas por el hongo caen y los frutos que logran formarse, al venir de flores infectadas, son frutos débiles que pueden caer fácilmente ante cualquier estímulo externo como el viento y las gotas de lluvia.
Los resultados obtenidos en los años 2003 y 2004 indican que la enfermedad pudiera tener efectos importantes en los rendimientos, especialmente porque en las siembras comerciales ubicadas al oeste del estado Monagas la floración puede ocurrir en cualquier época del año, por lo que se requiere un monitoreo constante de las plantaciones. En estas condiciones el patógeno siempre tiene un hospedero seguro, lo cuales un factor importante al momento de aplicar medidas de control.
Figura 3. Caída de flores y frutos de lima Persa, aislamiento de los hongos Colletotrichum gloeosporioides y Rhizopus sp., y precipitación durante el período mayoseptiembre de 2004 en la localidad de Tarragona, estado Monagas.

Control químico in vitro del hongo Colletotrichum gloeosporioides
Todos los tratamientos probados redujeron el crecimiento in vitro de C. gloeosporioides. El fungicida Funcloraz, en las tres dosis evaluadas, inhibió fuertemente el crecimiento del hongo, sólo con la dosis baja se observó un pequeño crecimiento a los tres días después de haberse iniciado la prueba. Por su parte, los fungicidas Benlate y Curacarb, inhibieron el crecimiento del hongo cuando se emplearon en la dosis comercial y en la dosis alta (Figura 4).
Figura 4. Crecimiento radial in vitro del hongo Colletotrichum gloeosporioides, aislado de frutos caídos prematuramente en el cultivo lima Persa, bajo el efecto de cuatro fungicidas más un tratamiento testigo. A: Testigo vs. Funcloraz (1,9 mg·mL-1 i.a.); B: Testigo vs. Curacarb (6,3 mg·mL-1 i.a.); C: Testigo vs. Benlate (6,0 mg·mL-1 i.a.); D: Testigo vs. Captan (dosis de 1,7 mg, 3,4 mg y 5,1 mg·mL-1 i.a.).

La dosis baja de Curacarb redujo la tasa de crecimiento del hongo con respecto al testigo; mientras que Benlate, en la dosis baja, permitió el crecimiento del hongo después de cinco días de haberse iniciado el período de evaluación. C. gloeosporioides mantuvo un crecimiento constante hasta el final de la misma, pero reducido en comparación con el testigo. Benlate en la dosis baja, retardó el crecimiento del hongo e incluso inhibió la formación de esporas, ya que no se observaron las masas de micelio de color anaranjado donde se desarrollan comúnmente las esporas y al realizar el análisis microscópico sólo se notó la formación de micelio.
Peres et al. (2002) señalaron que Benlate no previene la germinación de las conidias pero reduce el alargamiento del tubo germinativo de C. gloeosporioides en citro Persa. Lo anterior concuerda con los resultados obtenidos en este ensayo donde los tratamientos con Benlate, en las dosis comercial y alta, inhibieron el crecimiento micelial de C. gloeosporioides y de hecho la formación de esporas fue nula, mientras que la dosis baja sólo disminuyó el crecimiento micelial. Aguiar et al. (1982) mencionan que el Benlate tuvo efecto negativo sobre la germinación de los conidios de Fusarium moliniforme var. subglutinans; mientras que Rojas y Rondón (1995) indican que la inhibición del crecimiento micelial, por parte del Benlate se debe a que actúa a nivel de las tubulinas de las células o sea que afecta las proteínas ubicadas en el citoplasma e impide la realización de la mitosis. De acuerdo a los resultados expuestos, los fungicidas Benlate, Curacarb y Funcloraz pueden ser alternativas para el control químico de la caída prematura de frutos en el campo.
El fungicida Captan, en las tres dosis probadas, sólo logró disminuir el crecimiento radial de C. gloeosporioides con respecto al crecimiento en el tratamiento testigo, pero fue menos efectivo que Benlate, Curacarb y Funcloraz.
De acuerdo con Richmond (1977) el Captan es un fungicida protector que actúa inhibiendo la germinación de las esporas o cuando éstas germinan producen tubos germinativos más cortos.
Es posible que en el presente estudio Captan, a pesar de que redujo el crecimiento micelial, no limitó la producción de esporas, dado que su modo de acción es mayor sobre la germinación de éstas.
El análisis de varianza de los datos de crecimiento radial diario del hongo C. gloeosporioides determinó que existieron diferencias entre los tratamientos. En el Cuadro 2 se muestra la prueba MDS (P≤0,05) donde se observa que los fungicidas Funcloraz, Benlate y Curacarb, en todas las dosis empleadas, con excepción de las dosis bajas para los dos últimos, conformaron un grupo altamente efectivo en el control del crecimiento in vitro de C. gloeosporioides, logrando inhibir totalmente el crecimiento micelial de éste. Las dosis baja e intermedia del fungicida Captan no mostraron diferencias significativas entre ellas y la dosis baja aunque tuvo una tasa de crecimiento menor a la del testigo, fue estadísticamente igual a ésta. Por su parte la dosis alta de Captan no mostró diferencias significativas con las dosis bajas de los fungicidas Curacarb y Benlate.
Los resultados demuestran que Benlate, Curacarb y Funcloraz inhiben el crecimiento micelial del C. gloeosporioides, tanto en la dosis comercial como en dosis más altas, mientras que Captan no inhibió el crecimiento micelial de C. gloeosporioides en ninguna de las dosis probadas, logrando sólo disminuir el crecimiento con respecto al tratamiento testigo. Estos resultados coinciden con los alcanzados por Peres (2002) en Brasil, quien señala que Funcloraz y Curacarb, redujeron la caída prematura de frutos en naranja con respecto al tratamiento testigo. Igualmente, Nascimento et al. (2000) quienes condujeron pruebas de control in vitro con Funcloraz, lograron inhibir en un 100% en el crecimiento de una cepa de C. gloeosporioides aislada de frutos de mango. Por su parte, Zitko y Timmer (1992) y Peres et al. (2004) indican que los fungicidas a base de benzimidazoles inhibieron el crecimiento de C. gloeosporioides en condiciones de laboratorio y controlaron la caída prematura de cítricos en el campo.
En este estudio Funcloraz, Benlate y Curacarb representaron alternativas de control de la enfermedad a nivel de campo tomando en cuenta las condiciones de clima que prevalecen en la zona y sabiendo que la caída prematura de flores y de frutos es alta en la época de mayor precipitación. Pero debido a la formación de razas resistentes a estos fungicidas (Whiteside, 1980), se debe tener mucho cuidado al momento de ser utilizados en forma prolongada
Cuadro 2. Tasa de crecimiento radial del hongo Colletotrichum gloesporioides, bajo el efecto de cuatro fungicidas y tres dosis de aplicación por fungicida después de nueve días de iniciada la prueba
| Tratamiento | Crecimiento radial (cm) |
| Testigo | 0,30 d |
| Captan-D1 | 0,27 dc |
| Captan-D2 | 0,21 c |
| Captan-D3 | 0,10 b |
| Benlate-D1 | 0,11 b |
| Benlate-D2 | 0,00 a |
| Benlate-D3 | 0,00 a |
| Curacarb-D1 | 0,10 b |
| Curacarb-D2 | 0,00 a |
| Curacarb-D3 | 0,00 a |
| Funcloraz-D1 | 0,00 a |
| Funcloraz-D2 | 0,00 a |
| Funcloraz-D3 | 0,00 a |
D1: Dosis baja; D2: Dosis Comercial; D3: Dosis Alta
Promedios seguidos de la misma letra no presentan diferencias significativas según la prueba de MDS (p≤ 0,05). Datos transformados según Log (x+2) para eliminar los valores de cero.
CONCLUSIONES
Los hongos Colletotrichum gloeosporioides y Rhizopus sp. fueron consistentemente aislados de flores y de frutos de lima Persa caídos prematuramente.
Dos cepas del hongo C. gloeosporioides fueron identificadas en los aislamientos hechos de frutos pequeños y de componentes florales.
Los fungicidas Funcloraz, Curacarb y Benlate mostraron los mejores resultados sobre el control in vitro del hongo C. gloeosporioides, mientras que Captan mostró ser poco efectivo
LITERATURA CITADA
1. Agostini, J.P. y Timmer, L.W. 1992. Selective isolation procedures for differentiation of two strains of Colletotrichum gloeosporioides from citrus. Plant Dis. 76:1176-1178. [ Links ]
2. Aguiar, N. y H. Bolkan. 1982. Effect of fungicide on the germination of conidia of Fusarium moniliforme var. Subglutinas in vitro. Fitopatología Brasileira 7: 507. [ Links ]
3. Barnett, H.L. y B.B. Hunter. 1972. Illustrated Genera of Imperfect Fungi. Burgess Pub. Minneapolis, Minnesota. [ Links ]
4. Denham, T.G. y J.M. Waller. 1981. Some epidemiological aspects postbloom of fruit drop (Colletotrichum gloeosporioides) in citrus. Ann. Appl. Biol. 98:65-77. [ Links ]
5. Fagan, H.J. 1979. Postbloom fruit drop, a new disease of citrus associated with a form of Colletotrichum gloeosporioides. Ann. Appl. Biol. 91:13-20. [ Links ]
6. Leal, F. y Avilán, L. 1991. Plan de Desarrollo Frutícola para el Estado Monagas. Editorial Fundemos. Maturín. Venezuela. 141 [ Links ]p.
7. Nascimento, S.R.., S.E. Araujo Neto y O.M. Hafle. 2000. Uso de prochloraz, azoxystrobin e bicarbonato de sodio, para o controle pós-colheita de Colletotrichum gloeosporioides, en manga Tommy Atkins. Summa Phytopathologica 26: 379-382. [ Links ]
8. Peres, N.A. 2002. Evaluation of fungicides for control of postbloom fruit drop (PFD) of citrus, caused by Colletotrichum acutatum. http://www.lal.ufl.edu/timmer/PFDfungicide reports.htm (consulta abril 2006). [ Links ]
9. Peres, N.A., N. L. Souza, S. E. Zitko y L. W.
Timmer. 2002. Activity of benomyl for control of postbloom fruit drop of citrus caused by Colletotrichum acutatum. Plant Dis. 86: 620-624.
10. Peres, N.A., N. L. Souza, T. L. Peever y L. W. Timmer. 2004. Benomyl sensitivity of isolates of Colletotrichum gloesporioides from citrus. Plant Dis. 88: 125-130. [ Links ]
11. Richmond, D.V. 1977. Permeation and migration of fungicides in fungal cells. In: M. Siegel y H. Sisler (eds.). Antifungal Compounds. Interactions in Biological and Ecological Systems. Marcel Dekker. New York. Vol. 2. p. 251. [ Links ]
12. Rojas, T. y A. Rondón. 1995. Control químico in vitro de Fusarium decemcellulare Brick aislado de mango. Agronomía Tropical 45(3): 417-428. [ Links ]
13. Timmer, L.W. y S.E. Zitko. 1993. Relationships of environmental factors and inoculum levels to the incidence of fruit drop of citrus. Plant Dis. 77: 501-504. [ Links ]
14. Whiteside, J.O. 1980. Tolerance of Mycosphaerella citri to benomyl in Florida citrus groves. Plant Dis. 64: 300-302. [ Links ]
15. Zitko, S.E. y L.W. Timmer. 1992. Evaluation of fungicide in vitro for control of Colletotrichum gloeosporioides from citrus. Fungic. Nematicide Test 47: 335.












