Services on Demand
Journal
Article
Indicators
-
Cited by SciELO -
Access statistics
Related links
-
Similars in
SciELO
Share
Bioagro
Print version ISSN 1316-3361
Bioagro vol.22 no.1 Barquisimeto Apr. 2010
Desarrollo y evaluación de un modelo para predecir sequías meteorológicas en los Llanos de Venezuela
Franklin Paredes1 y Edilberto Guevara2
1 Centro de Investigaciones Hidrológicas y Ambientales (CIHA), Universidad de Carabobo. Programa Ingeniería. UNELLEZ-VIPI. Valencia. Venezuela. e-mail: franklinparedes75@gmail.com
2 CIHA, Escuela de Ingeniería Civil, Universidad de Carabobo. Valencia. Venezuela. e-mail: eguevara@uc.edu.ve
RESUMEN
En los llanos venezolanos se encuentran las principales unidades de producción de cereales del país pero la ocurrencia de sequías meteorológicas severas ocasiona fallas en los sistemas de abastecimiento de agua y pérdidas económicas importantes en el mercado de los cereales. En esta investigación se desarrolla y evalúa un modelo para la predicción temprana de sequías meteorológicas en los llanos, basado en ciertas variables macroclimáticas (VM) oceánicas y atmosféricas como variables predictoras. Se emplean los registros de 50 estaciones pluviométricas para identificar 13 regiones homogéneas según la severidad del período seco anual. El modelo estima el índice de sequía SPI3 en cada región, y lo categoriza en uno de tres grupos: Normal, Seco o Muy Seco. Se evaluó cada VM y se seleccionó la que producía la mejor diferenciación intergrupal como variable predictora. La calidad predictiva de la VM seleccionada se evalúa en base a la probabilidad de detección, la probabilidad de falsa alarma, la precisión, la razón de probabilidades y el sesgo. Cinco de las VM demostraron ser las más adecuadas para predecir el índice SPI3. Se recomienda extender esta investigación a otras regiones fisiográficas del país.
Palabras clave adicionales: Regionalización climática, modelos de predicción, predicción estacional
Development and evaluation of a model for predicting meteorological drought in The Plains of Venezuela
ABSTRACT
The Plains of Venezuela are the main units of the country's cereal production, but the drought occurrences cause severe problems in the water supply systems and generate significant economic losses in the cereal market. This research develops and evaluates a model for early prediction of meteorological droughts in Los Llanos region based on oceanic and atmospheric macroclimatic variables (MV), as predicting variables. The precipitation records of 50 rain gauges were used to identify 13 homogeneous regions according to the severity of the annual dry period. The model estimates the SPI3 drought index in each region, and categorizes it in one of three groups: Normal, Dry or Very Dry. Each MV was evaluated, and the one that produced the best differentiation as predictor was selected. The quality of prediction of the MV is evaluated through the probability of detection, false alarm probability, precision, odds ratio, and bias. Five MV were the most suitable for predicting the SPI3. It is recommended to extend this research to other regions of the country.
Additional key words: Climatic regionalization, prediction models, seasonal prediction
Recibido: Octubre 19, 2008 Aceptado: Septiembre 18, 2009
INTRODUCCIÓN
Los llanos venezolanos abarcan unos 250.000 km2 distribuidos entre los estados Apure, Barinas, Guárico, Portuguesa, Cojedes y Anzoátegui. Esta unidad fisiográfica posee un clima tropical lluvioso (Aw) con una estrecha franja semiárida (BS) al noroeste del estado Anzoátegui, y concentra más del 90 % de la producción de cereales del país. Tiene varios embalses que surten los acueductos más importantes de la zona costera y algunos sistemas de riego. Cuando en los llanos las lluvias disminuyen o cesan durante cierto tiempo el circuito agroalimentario de los cereales se ve afectado seriamente. La prolongación temporal de estas condiciones obliga a racionalizar el abastecimiento del agua a los centros poblados más importantes del país, ocasionando conflictos sociales.
La sequía es un fenómeno natural que ocurre cuando la magnitud de las lluvias es considerablemente menor a los valores normales registrados. La sequía meteorológica se presenta cuando el déficit pluviométrico produce un incremento de la temperatura, reducción de la humedad atmosférica, aumento de la insolación, disminución de la nubosidad, incremento de la evapotranspiración y recarga insuficiente de los acuíferos (Keyantash y Dracup, 2002). El criterio para definir una sequía meteorológica varía en función de las características del clima regional; por ejemplo, en Venezuela un mes se considera seco si la precipitación acumulada es inferior a 25 mm (Carrillo, 1999). Las sequías meteorológicas se caracterizan a través de siete parámetros: magnitud, duración, frecuencia, velocidad de implantación, espaciamiento temporal, extensión y dispersión espacial (Burton et al., 1978). Aunque existe una amplia variedad de índices para monitorear los eventos secos la mayoría se fundamenta en su magnitud y duración. Entre éstos se encuentra el índice estandarizado de precipitación (SPI, por sus siglas en inglés) desarrollado por McKee et al. (1993).
La temporada seca en Venezuela es condicionada por el movimiento de la alta presión del Atlántico Norte (APAN), la cual inhibe la formación de nubes de gran desarrollo vertical entre mediados de noviembre y finales de marzo. A partir de abril, la formación de la Zona de Convergencia Intertropical trae consigo el inicio de la temporada de lluvias (Grodsky y Carton, 2003). Investigaciones recientes indican que las sequías meteorológicas en Venezuela se relacionan con algunos fenómenos climáticos a escala sinóptica (Giannini et al., 2000; Paegle y Mo, 2002; Marengo et al., 2008). Por ejemplo, un Océano Pacífico Meridional (OPM) muy caliente o un Océano Atlántico tropical norte muy frío coincide con la aparición de temporadas secas y muy secas (Martelo, 2002; Neelin y Su, 2005). Frecuentemente, un aumento en la intensidad de los eventos El Niño/Oscilación Sur (ENOS) en el OPM incrementa las áreas con déficit de lluvia; en líneas generales El Niño (fase cálida) provoca déficit en los totales mensuales de lluvia, y La Niña (fase fría) provoca excesos (Misra, 2009). Factores como la orografía, la orientación con respecto a los vientos Alisios y la cercanía de las grandes masas de agua afectan la distribución de las lluvias en el país. En el campo de las ciencias atmosféricas se aprovechan estas teleconexiones para desarrollar modelos conjuntos de predicción estacional; siendo los fenómenos sinópticos más estudiados la Oscilación del Atlántico Norte y el ENOS en el Océano Pacífico (Ruíz-Barradas et al., 2000). La probable teleconexión entre algunas variables macroclimáticas y las sequías meteorológicas en los llanos venezolanos, sugiere que es posible empleársele como parte de un sistema de alerta temprana.
El fenómeno de las sequías en los llanos ha sido escasamente estudiado, debido en parte, a las pocas estaciones pluviométricas disponibles y su gran dispersión espacial (Ovalles et al., 2008); sin embargo, la regionalización climática proporciona una solución a este problema, pues permite transferir la información de unas pocas estaciones con registros pluviométricos largos y confiables a una zona de mayor tamaño. Las técnicas estadísticas de agrupación de datos resultan ser muy eficientes en establecimiento de regiones homogéneas desde una perspectiva pluviométrica (Anderson y Roads, 2002); entre ellas, el análisis factorial de componentes principales (AFCP) ha demostrado ser la mejor herramienta para identificar regiones homogéneas según la severidad de la temporada seca anual (Paredes et al., 2008).
Este trabajo propone el uso de un innovador sistema de bandas para estimar la ocurrencia de sequías meteorológicas en los llanos, situación que muy probablemente habrá que enfrentar en el futuro, según las proyecciones actuales.
MATERIALES Y MÉTODOS
La unidad de estudio abarcó los Llanos Centrales, Occidentales y Orientales de Venezuela, englobando gran parte de los estados Cojedes, Apure, Guárico, Barinas, Portuguesa y Anzoátegui. La investigación fue dividida en las siguientes seis fases:
Fase I (selección de estaciones): Se eligieron 50 estaciones pluviométricas, ubicadas en los llanos de Venezuela, que cumplían con criterios de más de 30 años de registros continuos, no más de 2 % de datos mensuales faltantes, no más de 10 % de registros anuales incompletos, y series anuales homogéneas según la prueba de Easterling et al. (1996). De ese modo, la muestra quedó conformada por 1 estación en el estado Apure, 10 en Anzoátegui, 6 en Cojedes, 15 en Portuguesa, 7 en Barinas y 11 en Guárico. El alcance temporal se extendió desde 1961 hasta 1996 (36 años continuos) por ser el lapso común en la muestra.
Fase II (estimación de la severidad del período seco anual): Para cada mes se determinó el valor acumulado trimestral de precipitación, incluyendo los registros mensuales de los dos meses anteriores, obteniéndose así 12 subseries en cada estación. Se estimaron los parámetros α y β de la distribución de probabilidad teórica gamma (DPTG) asociada a cada una de las 12 subseries de precipitación acumulada. La función de densidad de probabilidad de la DPTG está dada por la siguiente expresión

donde x es el registro acumulado trimestral expresado en mm, α y β son los parámetros característicos de la distribución, G(α) función gamma del valor numérico de alfa.
La probabilidad de que el acumulado trimestral en un mes cualquiera, en una subserie, sea menor o igual al registro existente, se representa como F(x) y se estimó como
![]()
Para estimar los parámetros α y β de las ecuaciones anteriores se utilizó la metodología propuesta por Campos (2005), en la que se calculó para cada subserie mensual una variable auxiliar, A, definida como

donde A es una variable auxiliar adimensional, ln(xi) es el logaritmo neperiano del registro acumulado trimestral, n´ representa el número de registros no nulos,
es la media aritmética de la subserie mensual expresada en mm.
Del paso anterior se obtuvieron 12 variables auxiliares, A. Para estimar los parámetros α y β de cada subserie se emplearon las ecuaciones siguientes:

Dado que los registros nulos en las subseries mensuales imposibilitan calcular la variable auxiliar A (el logaritmo neperiano de cero tiende a infinito), se empleó la función gamma mixta (FGM) propuesta por Thom (1971), según H(x) = q + p.F(x) , donde q es la probabilidad de que se presente un valor nulo en la subserie, p es la probabilidad de que no se presente un valor nulo en la subserie [p = 1 q], y H(x) es la probabilidad de no excedencia del registro.
Una vez determinado H(x) para cada registro, en cada subserie mensual, se estimó el valor Z que le correspondía, considerando que la probabilidad de no excedencia de H(x), proviene de una distribución normal con media cero y desviación estándar igual a 1. El valor Z así estimado constituyó el SPI3, es decir, el índice SPI en agrupación trimestral.
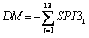
Para calcular la magnitud del período seco durante un año cualquiera en una estación determinada se utilizó una variante del método original propuesto por Edwards y McKee (1997). Para esto, se acumularon los SPI3 mensuales cuya magnitud eran iguales o inferiores a -1; los meses donde el SPI3 era mayor a -1 se sustituyó por un cero. Bajo este enfoque, un valor de SPI > -1 indicó una condición normal o húmeda.
![]()
Si y sólo si SPI3i ≤ -1 , donde DM representó la magnitud de la sequía durante el periodo seco del año evaluado.
Fase III (conformación de regiones homogéneas): Se aplicó un análisis factorial por componentes principales a las series DM obtenidas en la fase precedente. Para optimizar la identificación de las regiones homogéneas se usó una rotación ortogonal Varimax normalizada y sólo se escogieron aquellos factores cuyo autovalor fuese mayor o igual a 1,00. De cada región homogénea se seleccionó la estación con la serie pluviométrica más larga y se le denominó estación de referencia (ER).
Fase IV (análisis correlacional retardado): Se calcularon las series mensuales SPI3 de las ER de acuerdo al procedimiento descrito en la Fase II. A partir del Nacional Weather Service (NWS, 2009) se obtuvieron los registros mensuales de diferentes variables macroclimáticas (VM) y se generaron las series mensuales de anomalías de las referidas VM durante el período común, usando la expresión:
, donde Aij representa la anomalía estandarizada de la VM, xij es el registro mensual de la VM,
es el valor medio mensual de la VM y s es la desviación estándar mensual de la VM. Las series de anomalías generadas fueron la anomalía del Índice de Oscilación del Sur (SOI), anomalías en la temperatura superficial de los Océanos Atlántico Norte (ATLN) y Sur (ATLS), anomalías en la temperatura superficial del Océano Pacífico en las regiones Niño 1+2 (NINO12), Niño 3 (NINO3), Niño 3.4 (NINO34) y Niño 4 (NINO4), y anomalía en el número de manchas solares (SUNSPOT).
Se aplicó un análisis de correlación retardado mensual entre las series SPI3 en cada ER y las anomalías VM; éstas se desfasaron 0 a 24 meses con respecto a la serie SPI3. Se identificó el retardo para el cual el valor absoluto del coeficiente de Pearson era máximo y se determinó su significancia estadística.
Fase V (selección de umbrales de predicción): Tomando como referencia todas las series SPI3 de las ER mencionadas en la Fase IV se desarrolló la siguiente categorización:
SPI3 > -1 Mes sin condición seca (Normal)
-1≤ SPI3 ≤ -1,67 Mes con una condición seca (Seco)
SPI3 < -1,67 Mes con una condición muy seca (muy seco)
Las series SPI3 en cada ER se categorizaron en función de la condición observada (normal, seco o muy seco); así la serie SPI3, se transformó en una serie nominal.
Se elaboró una matriz de registro donde la serie de anomalías mensuales de las VM se desfasaron con respecto a las series nominales de SPI3, un número de meses igual al retardo de mayor valor absoluto identificado en la Fase IV. Para cada VM y ER se elaboró un gráfico de caja y bigote categorizado en función de la condición observada (normal, seco o muy seco). La VM más adecuada para predecir el SPI3 en una región homogénea fue aquella que presentó los grupos mejor diferenciados. Los umbrales de predicción de las VM se definieron en base al error estándar de la media (SE), como sigue:
Condición normal o muy seco
Condición seca
Condición normal o muy seco
donde LS, LM y LI representan los límites que adquiere la anomalía de la VM para una condición observada,
es la media aritmética de la serie de anomalías de la VM, s2 es la varianza de la serie de anomalías de la VM, n es el número de meses que contiene la serie.
Si la VM tiene una correlación positiva con el SPI3, los umbrales LS y LI corresponden a una condición normal y muy seco, respectivamente; si la VM tiene una correlación negativa con el SPI3, los umbrales LS y LI corresponden a una condición muy seco y normal, respectivamente.
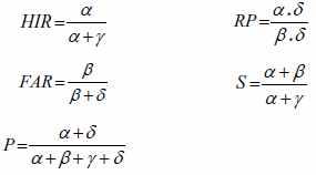
Fase VI (evaluación de los modelos): La calidad predictiva de los modelos se evaluó empleando los indicadores propuestos por Gutiérrez et al. (2004), es decir, probabilidad de detección (HIR), probabilidad de falsa alarma (FAR), precisión (P), razón de probabilidades (RP) y sesgo (S). El uso de estos índices requirió la determinación de las probabilidades a (probabilidad de que un evento observado sea previsto por el modelo), β (probabilidad de que un evento no observado sea previsto por el modelo), g (probabilidad de que un evento observado no sea previsto por el modelo) y d (probabilidad de que un evento no observado no sea previsto por el modelo).
Luego:

RESULTADOS Y DISCUSIÓN
En la unidad de estudio se identificaron 13 regiones homogéneas que explican 84,6 % de la variabilidad de la magnitud de la sequía anual en el período 1961-1996 (Figura 1). Las unidades homogéneas (UH) identificadas como UH1, UH2 y UH3 fueron las mejor definidas desde el punto de vista espacial. En cuanto al número de estaciones incluidas en la región, UH1, UH2, UH3 y UH6 concentran cerca del 56 % de las estaciones evaluadas (Cuadro 1).
Cuadro 1. Estaciones de referencia seleccionadas para cada región homogénea, ubicación y período de tiempo considerado, en los llanos de Venezuela
| Estación referencial | Región homogénea | Longitud | Latitud | Serie | Estaciones agrupadas |
| Quebrada Seca | UH1 | -70,32 | 8,71 | 1960/1997 | 7 |
| Guatopo | UH2 | -66,43 | 10,05 | 1950/1998 | 8 |
| San Rafael de Onoto | UH3 | -68,97 | 9,68 | 1952/2002 | 8 |
| Santa Lucía | UH4 | -69,78 | 8,11 | 1960/1997 | 2 |
| Pao Planta | UH5 | -68,11 | 9,76 | 1951/1999 | 3 |
| Los Naranjos | UH6 | -67,51 | 8,88 | 1952/1998 | 5 |
| Torunos | UH7 | -70,09 | 8,50 | 1960/1997 | 3 |
| Altamira-Barinas | UH8 | -70,50 | 8,83 | 1960/1994 | 2 |
| Clarines | UH9 | -65,16 | 9,96 | 1960/1994 | 3 |
| Corozo Pando | UH10 | -67,58 | 8,51 | 1953/2002 | 1 |
| El Carito | UH11 | -64,74 | 9,79 | 1950/1997 | 2 |
| Onoto | UH12 | -65,20 | 9,60 | 1950/1997 | 2 |
| Agua Blanca | UH13 | -69,10 | 9,67 | 1952/1997 | 4 |
En el análisis de correlación retardado entre el SPI3 en cada ER y las series de anomalías se encontraron los siguientes puntos relevantes:
- SOI tiene su máxima influencia en la región UH2.
- ATLN es la VM con mayor fuerza correlacional en los llanos, pero es débil en las regiones UH3, UH13 y UH11.
- NINO 12 tiene un efecto inverso sobre el SPI3 en gran parte de la Unidad de Estudio; anomalías negativas ocurren al momento que el SPI3 es positivo; en la región UH2 se observa la mayor fuerza correlacional.
- NINO 3 tiene un efecto dual en los llanos; en UH2 los valores positivos de NINO3 se dan en presencia de SPI3 negativos, pero en UH3 y UH13 ocurre coincidencia de signos. Su correlación más fuerte esta en UH2.
- NINO 4 al igual que NINO 3, tiene un efecto dual; su mayor fuerza correlacional se da en UH11 y UH13.
- NINO 34 presenta su máxima respuesta en los altiplanos de UH13.
- SUNSPOT muestra gran variabilidad espacial, no obstante UH12 y UH13 son las mejores correlacionadas.
- ATLS es muy fuerte en las regiones donde ATLN es débil.
Estos hallazgos indican que los llanos son afectados simultáneamente por las VM en diferentes grados de intensidad, comportamiento que fue reportado por Martelo (2002). En general, una determinada condición atmosférica en una región homogénea no es atribuible a una sola VM. A juzgar por la magnitud de las correlaciones, muy probablemente ATLN sea el que más interviene en el establecimiento de condiciones atmosféricas atípicas en los llanos, pues tiene la mayor frecuencia de correlaciones altas en las UH. Este mecanismo fue planteado por Paredes et al. (2008) y a escala sinóptica, sugerida por Misra (2009) y Paegle y Mo (2002).
La distribución geoespacial del coeficiente r de Pearson del ATLN revela que esta VM posee un efecto notable en el eje Biscucuy-Ospino en Portuguesa, Barinitas-Barinas en Barinas, Calabozo-Los Bancos de San Miguel en Guárico y el arco San Mateo-Puerto La Cruz-Puerto Píritu-Clarines en Anzoátegui; así, valores extremos en ATLN pueden producir en estas zonas cambios en las condiciones atmosféricas de superficie.
ATLN es la VM que con mayor frecuencia se presenta como variable predictiva en la unidad de estudio, seguida en magnitud por ATLS (Cuadro 2). Esta situación guarda correspondencia con la capacidad que tienen ambas de generar grupos diferenciados. Aunque una región puede presentar varias VM fuertes correlacionadas con el SPI3, no significa que éstas generen respuestas diferenciales; por ello, en algunas regiones la VM mejor correlacionada (Cuadro 3) no fue la VM predictora (Cuadro 4). A manera de ejemplo, en la UH6, la ATLN permite diferenciar bastante bien, las condiciones atmosféricas normales de las secas o muy secas (Figura 2). Si la VM evaluada generase un gráfico de caja y bigote, donde los bloques estuviesen alineados (media ± SE), implicaría que ésta VM no logra diferenciar una condición de otra, lo que elevaría notablemente la probabilidad de falsas alarmas.
Cuadro 2. Umbrales de predicción de las VM más influyentes en cada región homogénea en los llanos de Venezuela
| Región | VM predictora | LS (Normal) | LI (Muy seco) | Retardo predictivo* |
| UH1 | ATLN | -0,335 | -0,564 | 2 |
| UH2 | ATLN | -0,253 | -0,486 | 3 |
| UH3 | ATLN | -0,067 | -0,350 | 3 |
| UH4 | ATLS | 0,451 | 0,105 | 19 |
| UH5 | SOI | 0,110 | -0,251 | 23 |
| UH6 | ATLN | -0,344 | -0,585 | 3 |
| UH7 | NINO4 | -0,254 | -0,550 | 1 |
| UH8 | ATLN | 0,037 | -0,261 | 2 |
| UH9 | ATLS | 0,484 | 0,207 | 3 |
| UH10 | ATLN | -0,229 | -0,529 | 2 |
| UH11 | ATLS | 0,319 | -0,047 | 2 |
| UH12 | SUNSPOT | -0,323 | -0,625 | 17 |
| UH13 | ATLS | 0,438 | 0,133 | 2 |
Si VM>LS se predice una condición de Muy Seco y si VM<LI se predice condición normal. *: Número de meses trascurridos entre la ocurrencia de la anomalía y el evento predicho
Cuadro 3. Coeficiente de correlación de Pearson máximo (rm) entre las series SPI3 en cada ER y las anomalías VM en los llanos de Venezuela (el denominador en cada celda expresa el retardo en meses en que ocurre el rm)
| Región | SOI | ATLN | NINO12 | NINO3 | NINO4 | NINO34 | SUNSPOT | ATLS |
| UH1 | -0,07*/1 | 0,21/2 | -0,12/14 | -0,14/14 | 0,19/0 | 0,10/0 | 0,22/3 | -0,21/15 |
| UH2 | 0,23/0 | 0,20/3 | -0,25/2 | -0,24/1 | -0,17/4 | -0,20/0 | -0,10*/12 | -0,11/2 |
| UH3 | -0,19/4 | 0,12/3 | 0,17/0 | 0,15/0 | 0,19/1 | 0,16/1 | 0,21/18 | -0,21/2 |
| UH4 | -0,14/12 | 0,14/21 | -0,11/20 | 0,11/9 | 0,17/12 | 0,14/10 | 0,15/6 | -0,14/19 |
| UH5 | 0,13/23 | 0,18/2 | -0,14/24 | -0,16/24 | 0,15/9 | -0,14/24 | 0,12/16 | -0,13/2 |
| UH6 | -0,13/4 | 0,37/2 | -0,12/24 | -0,15/24 | 0,19/4 | 0,17/2 | 0,17/2 | -0,12/24 |
| UH7 | -0,09*/12 | 0,20/2 | 0,23/0 | 0,22/0 | 0,18/1 | 0,16/0 | 0,14/0 | -0,09/3 |
| UH8 | -0,11/8 | 0,22/2 | -0,10/19 | -0,10/20 | 0,12/0 | 0,07/9 | 0,17/3 | -0,15/2 |
| UH9 | 0,12/0 | 0,32/3 | -0,10*/24 | -0,08*/24 | 0,11/10 | 0,10/13 | 0,14/0 | -0,22/3 |
| UH10 | 0,05/2 | 0,23/2 | -0,18/7 | -0,10/24 | -0,09/24 | -0,10/24 | 0,05/0 | 0,07/13 |
| UH11 | -0,17/13 | 0,15/3 | -0,12/3 | 0,15/17 | 0,22/12 | 0,17/15 | 0,18/18 | -0,17/2 |
| UH12 | -0,12/12 | 0,21/12 | -0,06*/3 | -0,07*/6 | 0,17/11 | 0,11/12 | 0,26/17 | -0,11/2 |
| UH13 | -0,14/0 | 0,14/2 | 0,15/0 | 0,21/0 | 0,24/0 | 0,21/0 | 0,26/19 | -0,21/2 |
* Indica correlación no significativa para P > 0,05
Cuadro 4. Indicadores de la calidad de predicción de los modelos en las regiones homogéneas en los llanos de Venezuela
| Región | Probabilidad de detección (HIR) | Probabilidad de falsa alarma (FAR) | Precisión (P) | Razón de probabilidades (RP) | Sesgo (S) |
| UH1 | 0,546 | 0,227 | 0,697 | 0,612 | 1,000 |
| UH2 | 0,515 | 0,243 | 0,677 | 0,520 | 1,000 |
| UH3 | 0,528 | 0,236 | 0,685 | 0,557 | 1,000 |
| UH4 | 0,549 | 0,225 | 0,699 | 0,622 | 1,000 |
| UH5 | 0,459 | 0,270 | 0,640 | 0,361 | 1,000 |
| UH6 | 0,571 | 0,214 | 0,714 | 0,688 | 1,000 |
| UH7 | 0,596 | 0,202 | 0,731 | 0,766 | 1,000 |
| UH8 | 0,452 | 0,274 | 0,635 | 0,340 | 1,000 |
| UH9 | 0,533 | 0,234 | 0,689 | 0,574 | 1,000 |
| UH10 | 0,543 | 0,228 | 0,695 | 0,604 | 1,000 |
| UH11 | 0,475 | 0,263 | 0,650 | 0,405 | 1,000 |
| UH12 | 0,571 | 0,214 | 0,714 | 0,688 | 1,000 |
| UH13 | 0,546 | 0,227 | 0,698 | 0,613 | 1,000 |
El modelo de predicción desarrollado puede pronosticar la ocurrencia de una determinada condición atmosférica en una región con 1 a 23 meses de antelación (retardo predictivo), indicando que posee una altísima potencialidad como herramienta de alerta temprana en los llanos (Cuadro 3), más aun si se considera que la probabilidad de detección varía entre 0,452 y 0,596 (es decir, para un trimestre en particular la probabilidad es de al menos 45 %), mientras que la probabilidad de falsa alarma en ningún caso supera el 30 % (Cuadro 4).
Desde el punto espacial, las zonas donde se pueden hacer pronósticos con mayor anticipación son el eje Santa Rosa-Anaco-Santa Bárbara de Ipire en los estados Anzoátegui y Guárico, y El Pao en Cojedes; sin embargo, estas localidades presentan la más baja probabilidad de aciertos dentro de la unidad de estudio. Las predicciones más confiables se esperarían en Puerto La Cruz-Barcelona, Onoto-Aragua de Barcelona, El Sombrero, Calabozo, San Fernando de Apure, Ospino, Biscucuy y Barinas-Santa Lucía.
CONCLUSIONES Y RECOMENDACIONES
Las anomalías mensuales ATLN, ATLS, SOI, NINO4 y SUNSPOT son las mejores variables predictoras del índice SPI3 en los llanos, y por ende, de la ocurrencia de condiciones atmosféricas secas o muy secas. Esta peculiaridad, posibilita la emisión de alertas tempranas de sequías meteorológicas para un trimestre en particular con una probabilidad de detección, de al menos 45 %.
Se recomienda extender esta investigación a otras regiones fisiográficas del país y evaluar el efecto que tendrá el calentamiento de los océanos Atlántico y Pacifico sobre la ocurrencia de sequías meteorológicas en los llanos.
AGRADECIMIENTO
Al CDCH de la Universidad de Carabobo y la Coordinación de Investigación del VIPI de la Universidad Nacional Experimental de los Llanos Ezequiel Zamora. por el financiamiento al proyecto código 31108101.
LITERATURA CITADA
1. Anderson, B. y J. Roads. 2002. Regional Simulation of Summertime Precipitation over the Southwestern United States. Journal of Climate 15(23): 3321-3342. [ Links ]
2. Burton, I., R. Kates y G. White. 1978. The Environment as Hazard. Oxford University Press, NY. [ Links ]
3. Campos, D. 2005. Agroclimatología Cuantitativa de Cultivos. Trillas, México. [ Links ]
4. Carrillo, J. 1999. Agroclimatología. Edit. Innovación Tecnológica. Universidad Central de Venezuela, Caracas. 213-246 pp. [ Links ]
5. Easterling, R., C. Peterson y T. Karl. 1996. On the development and use of homogenized climate data sets. Journal of Climate (9): 1429-1434. [ Links ]
6. Edwards, D. y T. McKee. 1997. Characteristics of 20th century drought in the United States at multiple time scales. Climatology Report 97-2. Colorado State University. Fort Collins, Colorado. [ Links ]
7. Giannini, A., Y. Kushnir y M.A. Cane. 2000. Interannual variability of Caribbean rainfall, ENSO, and the Atlantic Ocean. Journal of Climate 13(2): 297-311. [ Links ]
8. Grodsky, S. y J. Carton. 2003. The Intertropical Convergence Zone in the South Atlantic and the equatorial cold tongue. Journal of Climate 16(4): 723-733. [ Links ]
9. Gutiérrez, J., R. Cano, A. Cofiño y C. Sordo. 2004. Redes probabilísticas y neurales en las ciencias atmosféricas. Universidad de Cantabria. Cantabria, España. 276 p. [ Links ]
10. Keyantash, J. y J. Dracup. 2002. The quantification of drought: an evaluation of drought indices. Bulletin of the American Meteorological Society (83)8: 1167-1180. [ Links ]
11. Marengo, J.A., C.A. Nobre, J. Tomasella, M.D. Oyama, G.S. de Oliveira, R. de Oliveira, H. Camargo, L.M. Alves y F. Brown. 2008. The drought of Amazonia in 2005. Journal of Climate 21(3): 495-516. [ Links ]
12. Martelo, M. 2002. Influencia de las variables macroclimáticas en el clima de Venezuela. Universidad Central de Venezuela, Facultad de Agronomía. Maracay. 170 p. [ Links ]
13. McKee, T., N. Doesken y J. Kleist. 1993. The relationship of drought frequency and duration to time scales. Eighth Conference on Applied Climatology. January 17-22. Anaheim, California. [ Links ]
14. Misra, V. 2009. The amplification of the ENSO forcing over equatorial Amazon. Journal of Hydrometeorology 10(6): 1561-1568. [ Links ]
15. Neelin, J.D. y H. Su. 2005. Moist teleconnection mechanisms for the tropical South American and Atlantic sector. Journal of Climate 18(18): 392-395. [ Links ]
16. NWS (National Weather Service). 2009. Monthly Atmospheric & SST Indices. Climate Prediction Center. http://www.cpc.ncep.noaa.gov/data/indices (consulta del 12/01/09). [ Links ]
17. Ovalles, F., A. Cortez, M. Rodríguez, J. Rey y E. Cabrera-Bisbal. 2008. Variación geográfica del impacto del cambio climático en el sector agrícola en Venezuela. Agronomía Tropical 58(1): 37-40. [ Links ]
18. Paegle, J.N. y K.C. Mo. 2002. Linkages between summer rainfall variability over South America and sea surface temperature anomalies. Journal of Climate 15(12): 1389-1407. [ Links ]
19. Paredes, F., J. Millano y E. Guevara. 2008. Análisis espacial de las sequías meteorológicas en la región de Los Llanos de Venezuela durante el período 1961-1996. Revista Climatología 8: 15-27. [ Links ]
20. Ruiz-Barradas, A., J. Carton y S. Nigam. 2000. Structure of interannual-to-decadal climate variability in the tropical Atlantic sector. Journal of Climate 13: 3285-3297. [ Links ]
21. Thom, H. 1971. Some methods of climatological analysis. Nota Técnica Nº 81. Organización Meteorológica Mundial. Ginebra. 1-11 pp. [ Links ]














