Services on Demand
Journal
Article
Indicators
-
Cited by SciELO -
Access statistics
Related links
-
Similars in
SciELO
Share
Bioagro
Print version ISSN 1316-3361
Bioagro vol.25 no.2 Barquisimeto Aug. 2013
Respuestas a la aplicación de carbamatos en dos aislados rizobianos provenientes de mucuchíes, estado Mérida, Venezuela
Lorena Blanco1, María E. Marquina1 y Yulimar Castro1
1 Dpto. de Biología, Facultad de Ciencias, Universidad de Los Andes. Apdo. 5101. Mérida. Venezuela. e-mail: lorenablanco2009@hotmail.com, mariaeugeniam79@gmail.com; yulimarcastromolina@gmail.com
RESUMEN
Los carbamatos son sustancias orgánicas utilizadas mayormente como fungicidas, que contaminan y tienen efecto principalmente neurotóxico sobre el hombre. El objetivo de este trabajo fue evidenciar el grado de resistencia de dos aislados rizobianos a varios carbamatos. Los rizobios se capturaron, aislaron, purificaron, caracterizaron y autenticaron en Phaseolus vulgaris (huésped no selectivo para la nodulación) Una de las bacterias rizobianas (ES1) fue aislada a partir del suelo tratado con carbamatos y la otra (EV1) del suelo no tratado químicamente, ambas provenientes de la población de Mucuchíes-estado Mérida, Venezuela. Los carbamatos usados fueron Carbodan, Dithane, Previcur, Vondozeb y Zineb con cuatro concentraciones menores a la aplicada en campo. Se evaluó su capacidad de metabolizar los carbamatos como única fuente carbonada y nitrogenada con resultados negativos. Se hicieron pruebas cualitativas y cuantitativas para determinar el crecimiento de los aislados en medio YMm (extracto de levadura-manitol-sacarosa) en presencia de carbamatos en las que ES1 mostró mayor resistencia a Carbodan y Previcur. Se determinó la DL50 para Carbodan y Previcur verificando una mayor resistencia de ES1, en comparación con EV1. Se evidenció que los dos aislados rizobianos son capaces de cometabolizar el Previcur y Carbodan en presencia de fuentes carbonadas, pero luego se originó la muerte progresiva del aislado EV1.
Palabras clave adicionales: Fungicidas, rizobios, cometabolismo, DL50, leguminosas
Responses to applications of carbamates in two isolates of rhizobial from Mucuchies, Merida State, Venezuela
ABSTRACT
The carbamates are organic substances used mostly like fungicides, which contaminate and have primarily neurotoxic effect on man. The objective of this work was to demonstrate the degree of resistance of two rhizobial isolates to several carbamates. The rhizobia were captured, isolated, purified, characterized and authenticated in Phaseolus vulgaris (plant with wide host rank). One of the rhizobial bacteria (ES1) was isolated from soil treated with carbamates, and the other (EV1) from soil not treated chemically, both coming from Mucuchíes, Merida State, Venezuela. The carbamates were Carbodan, Dithane, Previcur, Vondozeb and Zineb with four concentrations, lower to the applied on field. The capacity of both isolates to metabolize the carbamatos as the only carbon and nitrogen source was evaluated, with negative results. Tests were performed to determine qualitative and quantitative growth of isolates in YMm (yeast extract-mannitol-sucrose) medium in the presence of carbamates, in which ES1 showed greater resistance to Carbodan and Previcur. LD50 for Carbodan and Previcur showed a greater resistance of ES1 as compared to EV1. It was showed that the two rhizobial isolates are capable of cometabolize Previcur and Carbodan in presence of carbon sources, but later a progressive death of EV1 occurred.
Additional key words: Fungicides, rhizobia, cometabolism, LD50, legumes
Recibido: Octubre 29, 2012 Aceptado: Junio 10, 2013
INTRODUCCIÓN
La utilización de agroquímicos para la obtención de cultivos más productivos es una práctica muy común en Venezuela, especialmente en la región andina, donde los cultivos de hortalizas se realizan de manera intensiva. Pero la aplicación de estos fertilizantes y pesticidas generalmente se efectúa de forma indiscriminada, sin las medidas mínimas de seguridad. Gran parte de la composición de estos químicos es a base de carbamatos, razón por la cual se usaron como objeto de estudio en este trabajo.
Los carbamatos son ésteres derivados de los ácidos N-metil o dimetilcarbámico, tienen propiedades oxido reductoras e incluyen insecticidas, nematicidas, herbicidas y fungicidas (Díaz y De La Sovera, 2009). Pueden formar compuestos mutágenos potentes, como los N-nitrosocarbamatos (Hashimoto et al., 2001). Se caracterizan por ser productos liposolubles, de toxicidad variable en humanos, que ingresan al organismo principalmente por vía respiratoria y digestiva, otras veces por vía cutánea. Inhiben la acetilcolinesterasa, enzima que degrada la acetilcolina, la cual actúa como neurotransmisor en mamíferos e insectos. Sin embargo, no se acumulan en el organismo por poseer una vida media corta (Bataller, 2004).
En el suelo, su estabilidad depende del pH (Larkin y Day, 1985) y su degradación es más lenta en suelos ácidos que en condiciones alcalinas. También se ha observado que altos contenidos de carbono orgánico incrementan la persistencia del carbamato en el suelo, tal como ha sido demostrado en una cámara de flujo en agitación que el carbono orgánico del suelo juega un papel importante en la adsorción irreversible del carbofuran y la desorción aumenta rápidamente a contenidos de carbono orgánico por debajo de 4 % (Bermudez-Couso et al., 2011). En suelos previamente tratados con carbofuran se encontró una disipación de la vida media de 43 días en un campo que contenía 2,2% de carbono orgánico y de 58 días en otro con un contenido de 2,4 % (Nicosia et al., 1991).
Además, se ha demostrado el efecto de la temperatura sobre la persistencia del carbofuran en el suelo, ya que tuvo una vida media de 105 días a 15 °C, mientras que fue de sólo 35 días a 35 °C (Yen et al., 1997). Por otra parte, en un suelo con una larga historia de contaminación por pesticidas, se encontró que el carbaryl (1-naphthylmethyl carbamate) a pesar de ser débilmente adsorbido y fácilmente degradable, fue aparentemente secuestrado en los nanoporos del suelo y en las matrices de la materia orgánica con el transcurrir del tiempo, siendo parcialmente inaccesible a los microorganismos y afectando la biodisponibilidad del compuesto (Ahmad et al., 2004).
Los microorganismos del suelo juegan un papel importante en la reducción de los niveles de pesticidas aplicados para el control de las plagas (Hashimoto et al., 2001), pero también según Banerjee y Banerjee (1987), el uso de estos agroquímicos puede afectar negativamente, reduciendo el tamaño poblacional especialmente de los rizobios, es decir al grupo de bacterias que inducen en las raíces (o tallos) de las leguminosas la formación de nódulos, donde el nitrógeno gaseoso es reducido a NH3 (Wang et al., 2001). Por ello, es necesario hacer estudios sobre la incidencia que tienen los carbamatos sobre los rizobios, los cuales juegan un papel importante en la incorporación de nitrógeno a la biosfera.
En vista de los efectos perjudiciales causados por los carbamatos en el hombre y el medio ambiente, es importante lograr el aislamiento y selección de bacterias rizobianas capaces de metabolizar estos compuestos, proyectando la idea de utilizarlas como bioinoculantes promisorios, que reduzcan el daño que estos productos ocasionan en el ambiente y en aquellos organismos para los cuales no son aplicados. Por lo tanto el objetivo de este trabajo fue evidenciar el grado de resistencia de dos aislados rizobianos a varios tipos de carbamatos.
MATERIALES Y MÉTODOS
El estudio fue realizado en dos fincas ubicadas en Mucuchíes, Municipio Rangel, estado Mérida, Venezuela. En cada una de ellas se seleccionó una parcela: una cultivada con Solanum tuberosum L. tratada con carbamatos (Cuadro 1), ubicada en el Caserío Misteque a 3.150 msnm. Esta parcela ha sido cultivada por más de 30 años, empleando el sistema de rotación de cultivos con abundantes aplicaciones de pesticidas y abono orgánico. La segunda parcela no tratada con carbamatos, está ubicada en el Caserío Mucumpate a 2.937 msnm, en donde se encontraron plantas noduladas de Vicia faba L. Este cultivo también se ha mantenido durante 30 años con la modalidad de cultivos rotativos, pero sin aplicaciones de agroquímicos.
Cuadro 1. Características de los carbamatos usados en los ensayos y concentraciones aplicadas
| Nombre comercial del carbamato y función | Fórmula química e ingrediente activo (% p/p) | Concentración aplicada en campo | Concentración Solución original de carbamato (µL ó g·100 mL-1) | Diluciones de la solución original de carbamato | ||||
| ½ | ¼ | 1/6 | ||||||
| Concentración (µL ó g·100 mL-1) | ||||||||
| Carbodan Insecticida y/o nematicida | C12H15NO3 Carbofuran 41 % | 333 mL·200 L-1 | 165 µL | 83 µL | 41 µL | 27,5 µL | ||
| Dithane (Fungicida) | C4H6N2S4 Mancozeb 80 % | 500 g·200 L-1 | 0,25 g | 0,125 g | 0,063 g | 0,041 g | ||
| Previcur (Fungicida) | C9H20N2O2 x HCl Propamocarb 70 % | 250 mL·200 L-1 | 125 µL | 62,5 µL | 31,3 µL | 20,8 µL | ||
| Vondozeb (Fungicida) | C4H6N2S4 Mancozeb 80% | 500 g·200 L-1 | 0,25 g | 0,125 g | 0,063 g | 0,041 g | ||
| Zineb (Fungicida) | C4H8N2S4Mn x Zn Zineb 75 % | 500 g·200 L-1 | 0,25 g | 0,125 g | 0,063 g | 0,041 g | ||
| Control | - | - | H2O | H2O | H2O | H2O | ||
Se emplearon plantas con nódulos de color rojo de Vicia faba L. (haba) para aislar las bacterias rizobianas. En la parcela cultivada con S. tuberosum se tomaron al azar cinco submuestras de suelo rizosférico (entre los 10 y 15 cm de profundidad), y se preparó una muestra compuesta, la cual fue llevada al laboratorio y conservada a 6 ºC, hasta su uso.
Captura de bacterias rizobianas a partir de suelo: En la parcela cultivada con S. tuberosum no se hallaron leguminosas noduladas, por lo que se capturaron las bacterias rizobianas a partir de las muestras de suelo, empleando como cultivo trampa plantas de Phaseolus vulgaris L.
considerado como un hospedador promiscuo no selectivo (Michiels et al., 1998). Las semillas de esta leguminosa fueron previamente esterilizadas superficialmente. Para ello, se colocaron las semillas en agua jabonosa, se imbibieron en agua corriente (30 min) y desinfectaron con hipoclorito de sodio al 1 % durante 7 min, lavando 5-7 veces con agua destilada estéril y sembradas en cajas de Petri con medio triptona-extracto de levadura (TY) agarizado (0,8 %), con 5 g·L-1 bacto-triptona, 3 g·L-1 extracto de levadura y 0,87 g·L-1 CaCl2·2H2O; pH 6,7 (Beringer, 1974) y se incubaron a 25 ºC en oscuridad por 3 días. Seguidamente se transfirió una semilla germinada en cada recipiente de plástico de 1 L que contenía el suelo muestreado (cinco repeticiones). Luego se llevaron al invernadero (18-28 ºC) y las plantas fueron regadas cada 3 días con agua destilada estéril, durante 30 días, tiempo suficiente para obtener nodulación.
Aislamiento y purificación de los aislados: Tanto los nódulos obtenidos mediante la captura en P. vulgaris y los colectados de V. faba, se desinfectaron superficialmente con etanol 95 % e hipoclorito de sodio 1,5 %, ambos durante 1 min siguiendo la metodología descrita en CIAT (1988). Luego se sembraron cada una de las muestras nodulares maceradas en medio agarizado extracto de levadura-manitol YMA modificado (YMAm), con 0,5 g·L-1 K2HPO4, 0,2 g·L-1 MgSO4.·7H2O, 0,1 g·L-1 NaCl, 0,5 g·L-1 extracto de levadura, 2,5 g·L-1 manitol, 7,5 g·L-1 sacarosa y 25 mg·mL-1 rojo congo pH 6,7-6,8 (Vincent, 1975), incubando las cajas de Petri en una estufa a 30 ºC y continuando el subcultivo hasta obtener el aislado puro, verificándolo mediante tinción de Gram y crecimiento en medio agarizado glucosa-peptona (GPA) con 10 g·L-1 glucosa, 5 g·L-1 peptona de carne, 10 mL púrpura de bromocresol ( sol. 0,1% p/v) (Ferrera et al., 1993).
En todos los ensayos donde se emplearon cultivos rizobianos YMm líquidos (YM modificado), se partió de preinóculos densos, crecidos en el mismo medio de cultivo durante 2-3 días a 30 °C y agitación continua 115 rpm.
Prueba de infectividad de los rizobios en Phaseolus vulgaris L. y caracterización fenotípica de los aislados rizobianos: Una vez obtenidos los aislados purificados se autenticaron en P. vulgaris (cinco repeticiones) esterilizando las semillas mediante el procedimiento antes señalado. Para ello se utilizaron recipientes plásticos de 1 L de capacidad que contenían arena desinfectada con hipoclorito de sodio comercial (3,5 %) por 12 h, lavada, secada y esterilizada (120 ºC, 100 kPa) por 1 h en 3 días consecutivos. Una vez germinadas las semillas se transfirieron a los recipientes impregnados con solución Hoagland (Taiz y Zeiger, 2010) y el nitrógeno diluido a ¼ (N de arranque) y se llevaron al invernadero (20-30 ºC). Al emerger las plántulas se eliminaron los cotiledones y se inocularon con 5 mL (aproximadamente 108 UFC·mL-1) de cultivos de cada aislado por separado y a los 8 días se reinocularon con 5 mL de los respectivos cultivos frescos. Las plantas se regaron con agua destilada estéril y fertilizaron semanalmente con solución Hoagland sin N a los tratamientos inoculados y con Hoagland original a las plantas no inoculadas. Al cabo de 30 días se verificó la nodulación y a partir de estos nódulos se reaislaron las cepas (CIAT, 1988).
Los aislados fueron caracterizados fenotípicamente. Para ello se tomaron 500 µL de un preinóculo de aproximadamente 108 UFC·mL-1, y se sembraron en fiolas de 125 mL con 25 mL de medio YMm a 30 °C y 115 rpm durante 2 días. Todos los ensayos de caracterización se realizaron por triplicado, sembrando por agotamiento en cajas con medio YMAm y rojo congo e incubados a 30°C, observándose el crecimiento dos días después. Se determinó la tolerancia a la salinidad adicionando al medio YMAm 0,1; 1,0; 1,5; 2,0 y 2,5 % de NaCl. También se probó la tolerancia a varias temperaturas (4, 12, 16, 20, 26, 30 y 34 ºC (Wang et al., 1998), y la resistencia intrínseca a los siguientes antibióticos esterilizados por filtración adicionados al medio YMAm con rojo congo: cloranfenicol (5, 100, 200 y 300 µg·mL-1), Amikacina (5, 25, 50 y 100 µg·mL-1), Estreptomicina (5, 25, 50 y 200 µg·mL-1), Doxiciclina y Ampicilina (5, 25, 50, 100 y 200 µg·mL-1) y Kanamicina (5, 10, 25, 50 y 80 µg·mL-1, comparando con el control sin antibióticos (Wang et al., 1998). Además se evaluó el crecimiento en medio líquido Luria Bertani (LB) con 5 g·L-1 NaCl, 5 g·L-1 extracto de levadura y 10 g·L-1 triptona; pH 7 (Green y Sambrook, 2012) y la producción de ácido o base (Ferrera et al., 1993) a 30 °C por 3 días.
Prueba cualitativa de viabilidad de los aislados rizobianos en presencia de carbamatos: Para la prueba cualitativa de viabilidad en presencia de carbamatos se empleó un palillo con punta de algodón estéril impregnado en cada cultivo rizobiano (108 UFC·mL-1), el cual había crecido según las condiciones señaladas en la prueba de infectividad de los rizobios, para cubrir toda la superficie del medio agarizado (YMAm) sin rojo congo y generar posteriormente un césped bacteriano. Inmediatamente y siguiendo el método de Ferrera et al. (1993), antes de crecer las bacterias se colocaron discos de papel filtro estériles (1 cm de diámetro), impregnados con las soluciones de carbamatos señalados en la Cuadro 1. Los aislados que no presentaron halo de inhibición se consideraron resistentes a ese carbamato (Ferrera et al., 1993). Se registró el crecimiento bacteriano de manera cualitativa indicando crecimiento abundante, menor crecimiento o ausencia de crecimiento alrededor y sobre el disco de papel filtro. En aquellos donde no hubo crecimiento se midió el diámetro del halo de inhibición a los 2 días de incubación a 30 ºC.
Prueba de utilización de carbamatos como única fuente carbonada y nitrogenada: En base a los resultados del ensayo con los discos de papel filtro, se seleccionaron tres de los carbamatos que arrojaron las mejores respuestas de crecimiento para comprobar si los aislados lograban metabolizar estos pesticidas como única fuente carbonada (FC) o nitrogenada (FN). Para ello, se prepararon cultivos de los aislados en medio YMm según condiciones señaladas en la prueba de infectividad de los rizobios. Luego de eliminar este medio y lavar las células con NaCl (0,8 %) se permitió el crecimiento de las bacterias en un medio salino 5,8 g·L-1 Na2HPO4, 3 g·L-1 KH2PO4, 0,5 g·L-1 NaCl y 1 g·L-1 NH4Cl 1; pH 6,7-6,8 (Miller, 1972) sin FC ni FN durante 16 h ó 21 h (dependiendo de la velocidad de crecimiento de los aislados) a 30 ºC y 115 rpm (Marquina et al., 2011). Después se tomaron alícuotas entre 200 µL y 400 µL de estos cultivos carenciados y se agregaron a fiolas (por duplicado) con 15 mL de medio YMm carentes de FC o FN que contenían 0,1 % de los carbamatos, manteniéndolos en las mismas condiciones anteriores. Para determinar el crecimiento se registró la absorbancia a 600 nm en cada uno de los cultivos bacterianos preparados como se señalan a continuación: A) Cultivos carenciados por FC: 1) medio YMm -manitol -sacarosa -extracto de levadura +NH4NO3 +carbamato (FC). 2) control positivo (medio YMm +NH4NO3. 3) control negativo (medio YMm -manitol, -sacarosa -extracto de levadura +NH4NO3. B) Cultivos carenciados por FN: 1) medio YMm -extracto de levadura -NH4NO3 + carbamato (FN). 2) control positivo (medio YMm +NH4NO3. 3) control negativo (medio YMm - extracto de levadura -NH4NO3.
Prueba cuantitativa de viabilidad de los aislados rizobianos en presencia de carbamatos: Se elaboraron las curvas de crecimiento para los aislados rizobianos en 15 mL de YMm más la concentración del carbamato que arrojó mejor resultado en el ensayo cualitativo. Los controles contenían 15 mL de YMm sin carbamatos, más alícuotas de 200 ó 400 µL de los preinóculos de los aislados, incubados a 30 ºC y 115 rpm. Se registró la absorbancia a 600 nm, efectuando las diluciones (1/10) y plaqueos correspondientes en medio TY en cada intervalo. Para analizar los resultados de la absorbancia como del conteo viable se aplicó la prueba estadística de medidas repetidas con el programa SPSS para establecer las diferencias significativas.
Determinación de la Dosis Letal media DL50: Se calculó la dosis de carbamato que eliminaba el 50 % de la población rizobiana, para lo cual se realizó una gráfica de la concentración del producto vs. el conteo viable (UFC·mL-1) y se determinó la regresión polinómica, utilizando los programas Maple 11 y Matlab R2007a.
Para la determinación sólo se tomaron en cuenta los dos carbamatos (Carbodan y Previcur) ensayados en la prueba cuantitativa de viabilidad de los rizobios. Para ello, se cultivaron los aislados hasta alcanzar el orden de 108 UFC·mL-1 (absorbancia 600nm~0,95 a 1,0). Luego se le eliminó la fuente carbonada a los aislados y se permitió el crecimiento en el medio salino antes mencionado durante 16 h ó 21 h, con la finalidad de agotar o disminuir las reservas carbonadas endógenas o acumuladas previamente en las células que pudieran originar crecimiento celular que no fuese producido por las condiciones nutricionales establecidas en el ensayo para determinar la DL50.
Tomando en cuenta los resultados que se obtuvieron en el tratamiento control de la prueba cuantitativa de viabilidad de los rizobios y partiendo del cultivo carenciado se prepararon diluciones seriadas para cada aislado, seleccionando la que permitiera obtener colonias contables.
Luego se colocaron 100 µL en cajas de Petri con medio YMAm sin rojo congo con las concentraciones de los carbamatos esterilizados por filtración (por triplicado) señaladas en el Cuadro 2. En esta prueba se tomó como 100 % de la población rizobiana el número mayor de UFC·mL-1 y de allí que el 50 % sería esa cantidad dividida entre dos.
Cuadro 2. Concentraciones de los carbamatos empleados para determinar la DL50
| Aislado rizobiano | Origen | Concentraciones de carbamatos (µL·100 mL-1 de medio YMAm sin Rojo Congo) | ||
| Carbodan | Previcur | Control | ||
| ES1 | Suelo cultivado con S. tuberosum L., tratado con carbamatos | ½- = 83 Original = 165 ¼+ = 206 ½+ = 248 | ½- = 62,5 Original = 125 ¼+ = 156,3 ½+ = 187,5 Doble = 250 | Medio YM modificado sin Rojo Congo |
| EV1 | Suelo cultivado con V. faba L., no tratado con carbamatos | 1/6- = 27,5 ¼- = 41 ½- = 83 Original = 165 | 1/6- = 20,8 ¼- = 31,3 ½- = 62,5 Original = 125 | Medio YM modificado sin Rojo Congo |
Los símbolos + y - significan la concentración por encima o por debajo de la original, respectivamente. Doble significa el doble de la concentración original
RESULTADOS Y DISCUSIÓN
Captura de rizobios: Se observó al cabo de 30 días, la formación de 10 nódulos de color blanco en 2 de las 5 plantas de P. vulgaris L., indicando una distribución heterogénea y muy baja de la población rizobiana nodulante en las muestras de suelo. Probablemente se deba en parte, a la ausencia durante largo tiempo de leguminosas hospedadoras en esas parcelas, que han sido dedicadas exclusivamente a la siembra de cultivos hortícolas, mediante sistemas rotativos, pudiendo las bacterias rizobianas haber perdido el plásmido que portan los genes simbióticos (Laguerre et al., 1993), sugiriendo la existencia de un grupo de rizobios no simbióticos (Sullivan et al., 1996). Por otra parte, las aplicaciones excesivas de agroquímicos pudieron haber logrado reducir la población de rizobios (Banerjee y Banerjee, 1987).
Se ha señalado que P. vulgaris es un hospedador promiscuo que puede ser nodulado por varios géneros rizobianos (Michiels et al., 1998), aunque no siempre son nódulos efectivos, y muestra un grado de preferencia por ciertos rizobios (Aguilar et al., 2001), especialmente los de crecimiento rápido (Odee et al., 1996).
Prueba de infectividad de los rizobios en Phaseolus vulgaris L. y caracterización fenotípica de los aislados: A los 30 días las plantas de P. vulgaris fueron noduladas por ambos aislados rizobianos. El aislado ES1 formó nódulos de color blanco y marrón rojizo en todo el sistema radical, y EV1 originó nódulos blancos en la misma posición radical.
En cuanto a la caracterización fenotípica de los aislados, se observó que la colonia de ES1 presentó abundante crecimiento en el medio YMAm, forma irregular, color blanco lechoso, aspecto opaco-brillante borde liso, textura mucoide, elevación convexa y diámetro de 3 mm a las 48 h. La colonia del aislado EV1 también presentó abundante crecimiento en el medio YMAm, forma irregular, color transparente, borde liso, aspecto brillante-translúcido, textura mucoide, elevación convexa y diámetro de 4 mm a las 48 h.
El aislado ES1 no creció en medio LB y toleró apenas 0,1 % de concentración salina (Cuadro 3). Presentó sensibilidad a la amikacina, doxiciclina y kanamicina (Cuadro 4), a diferencia del aislado EV1 que toleró niveles de salinidad más elevados (hasta 1,5 % NaCl), creció en LB (Cuadro 3) y sólo fue sensible a la amikacina (Cuadro 4). Ambos aislados fueron productores de ácido y soportaron el mismo rango de temperatura (16-30 °C) que favoreció el crecimiento (Cuadro 3).
Cuadro 3. Tolerancia a salinidad, temperatura y crecimiento en medio LB de los aislados ES1 y EV1
| Aislado | NaCl (%) | Temperatura (°C) | Crecimiento en LB | Producción ácido-base | ||||||||||
| 0,1 | 1,0 | 1,5 | 2,0 | 2,5 | 4 | 12 | 16 | 20 | 26 | 30 | 34 | |||
| ES1 | + | - | - | - | - | - | - | + | + | + | + | - | - | ácido |
| EV1 | + | + | + | - | - | - | - | + | + | + | + | - | + | ácido |
+: Con crecimiento -: Sin crecimiento
Cuadro 4. Niveles de resistencia intrínseca a varios antibióticos de los aislados ES1 y EV1
| Aislado | Rango de resistencia intrínseca a antibióticos (µg·mL-1) | |||||
| Cam | Amkc | Str | Doxi | Kan | Amp | |
| ES1 | 5-300 | o | 5 | o | o | 5-200 |
| EV1 | 5-300 | o | 5-50 | 5-50 | 5 | 5 |
o: Cepa sensible. Cam: cloranfenicol; Amkc: Amikacina; Str: estreptomicina; Doxi: doxiciclina; Amp: Ampicilina; Kan: kanamicina
Prueba cualitativa de viabilidad de los aislados rizobianos en presencia de carbamatos: En los Cuadros 5 y 6 se observa que los tratamientos con carbamatos, en los cuales los aislados rizobianos presentaron abundante crecimiento fueron Carbodan ½ y Previcur ½, además del control.
Cuadro 5. Prueba de viabilidad cualitativa, según el tamaño del halo de inhibición en presencia de carbamatos, del aislado ES1 proveniente del suelo cultivado con S. tuberosum L. tratado con carbamatos
| Pesticida | Crecimiento cualitativo/Diámetro del halo de inhibición (cm) | |||
| Diluciones del pesticida carbamato | ||||
| Original | 1/2 | 1/4 | 1/6 | |
| Carbodan | + / 0 | ++ / 0 | + / 0 | + / 0 |
| Dithane | - / 6 | - / 4 | - / 3 | - / 3 |
| Previcur | + / 0 | ++ / 0 | + / 0 | + / 0 |
| Vondozeb | - / 5,4 | - / 3,4 | - / 3,2 | - / 2,6 |
| Zineb | + / 0 | + / 0 | + / 0 | + / 0 |
| Control | ++ / 0 |
|
|
|
++: Abundante crecimiento; +: Menor crecimiento; -: Ausencia de crecimiento. Concentración original de los carbamatos: Carbodan (165 μL·100 mL-1); Dithane (0,25 g·100 mL-1); Previcur (125 μL·100 mL-1); Vondozeb (0,25 g·100 mL-1); Zineb (0,25 g·100 mL-1); Control (100 mL)
Cuadro 6. Prueba de viabilidad cualitativa, según el tamaño del halo de inhibición en presencia de carbamatos, del aislado EV1 proveniente de nódulos de V. faba L. de una parcela cultivada en suelos sin tratamientos de agroquímicos.
| Pesticida | Crecimiento cualitativo/Diámetro del halo de inhibición (cm) | |||
| Diluciones del pesticida carbamato | ||||
| Original | 1/2 | 1/4 | 1/6 | |
| Carbodan | + / 0 | ++ / 0 | + / 0 | + / 0 |
| Dithane | - / 6,4 | - / 6,4 | - / 5 | - / 4,4 |
| Previcur | + / 0 | ++ / 0 | + / 0 | + / 0 |
| Vondozeb | - / 6,4 | - / 6,4 | - / 6,4 | - / 6,4 |
| Zineb | + / 1 | + / 0,5 | + / 0,5 | + / 0,5 |
| Control | ++ / 0 |
|
|
|
++: Abundante crecimiento; +: Menor crecimiento; -: Ausencia de crecimiento. Concentración original de los carbamatos: Carbodan (165 μL·100 mL-1); Dithane (0,25 g·100 mL-1); Previcur (125 μL·100 mL-1); Vondozeb (0,25 g·100 mL-1); Zineb (0,25 g·100 mL-1); Control (100 mL)
En vista de que con los dos aislados EV1 y ES1, la respuesta de crecimiento fue similar, esta apariencia fue discernida en las curvas de crecimiento y el conteo viable (dilución y plaqueo). El aislado EV1 presentó crecimiento en el tratamiento con Zineb en todas sus concentraciones, formando halos de inhibición de menor diámetro (Cuadro 6); sin embargo, no fue tomado en cuenta este carbamato para elaborar la prueba cuantitativa de las curvas de crecimiento, ya que en términos comparativos, el resultado no era similar al del aislado ES1 (Cuadro 5), pero sí se consideró para la prueba de uso de fuentes carbonadas y nitrogenadas.
Prueba de utilización de carbamatos como única fuente carbonada y nitrogenada: Con base en la prueba de viabilidad cualitativa, se seleccionaron los carbamatos Previcur, Carbodan y Zineb, por permitir el crecimiento de estos aislados bacterianos en presencia del medio YMAm. Sin embargo, en este ensayo donde sólo se les proporcionaron los carbamatos como únicas FC y FN, se demostró que los microsimbiontes ES1 y EV1 son incapaces de metabolizarlos y utilizarlos directamente, y sólo hubo crecimiento en el control positivo de ambos aislados que contenía manitol y NH4NO3 como FC y FN, respectivamente.
Existen evidencias de que varios géneros bacterianos degradan otros tipos de carbamatos de manera directa metabolizándolos y utilizándolos como FC o FN (Larkin et al., 1986; Charalampos et al., 2012). Específicamente la cepa AC100 del género Rhizobium sp. aislada de suelos tratados con carbaryl, fue capaz de degradar este compuesto y usarlo como FC (Hashimoto et al., 2001).
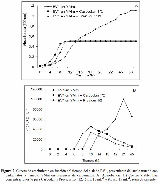
Prueba cuantitativa de viabilidad de los aislados rizobianos en presencia de carbamatos En las Figuras 1A, 1B y 2A, 2B se observa la estimulación del crecimiento de los dos aislados ES1 y EV1, como un incremento de la absorbancia del cultivo y del conteo viable, al ser cultivados en el medio YMm y en presencia de los carbamatos Previcur y Carbodan, superando al crecimiento rizobiano del tratamiento control, donde los aislados crecen sólo en el medio YMm, pero sin estos carbamatos.
En la curva de crecimiento del aislado ES1 (Figura 1A), y su correspondiente conteo viable (Figura 1B), se observó un incremento de la población bacteriana mayor en los tratamientos con carbamatos que en el control. Este aislado, en presencia de Previcur, produjo un mayor número de unidades formadoras de colonias por mililitro (UFC.mL-1). Los valores máximos alcanzados fueron 1,4 x 109 a las 16,5 h en el tratamiento con Previcur, 1,1 x 109 a las 27 h con Carbodan y 7,6 x 108 a las 29 h con el control (YMm). Así como el Previcur promovió el incremento de la población bacteriana hasta aumentar incluso de orden (de 108 a 109), en un corto tiempo a las 13,5 h aproximadamente, también disminuyó de forma brusca y registró valores más bajos (2,5 x 108 UFC·mL-1) que el control a las 29 h, justamente cuando este tratamiento alcanzó su máximo conteo. En las Figuras 1A y 2A se observan las fases clásicas de las curvas de crecimiento que corresponden a la fase de reposo, exponencial y fase estacionaria, donde es apreciable la muerte bacteriana que se produce por el agotamiento de nutrientes (Figura 1B y 2B).
En la Figura 2B se muestra la curva de crecimiento para el aislado EV1, observándose al final de la fase exponencial de los tratamientos con carbamatos que el crecimiento celular se detiene y comienza a disminuir rápidamente (a las 10 h), tanto para los tratamientos con Carbodan ½ como con Previcur ½, mientras que en el medio YMm sin carbamato las bacterias continúan creciendo hasta las 21 h y luego comienza a decrecer su división celular. Los máximos valores obtenidos fueron 3,3 x 108 UFC·mL-1 para Previcur, 4,5 x 108 para Carbodan y 1 x 109 para el control. De tal manera que se observó un decrecimiento del conteo viable al final de la fase exponencial para los tratamientos con carbamatos, acorde con la curva de absorbancia vs. tiempo (Figura 2A). Para la absorbancia no se obtuvieron diferencias significativas entre los tratamientos con carbamatos (Figura 2A), pero sí las hubo entre todos los tratamientos para el conteo viable (Figura 2B).
Estos resultados contrastan con los obtenidos en el ensayo donde se adicionaron al medio de cultivo sólo los carbamatos como únicas FC o FN que no generaron crecimiento bacteriano, indicando que estos sustratos no pueden ser metabolizados directamente por los aislados ES1 y EV1 como fuentes carbonadas o nitrogenadas. Sin embargo, al suplementar el cultivo con el medio YMm, usualmente utilizado para el crecimiento de los rizobios y los carbamatos Previcur o Carbodan fue notoria la aceleración y la estimulación del crecimiento bacteriano que supera a la del medio de cultivo que contiene sólo YMm, lo que permite sugerir que los aislados EV1 y ES1, en presencia de FC y FN, manitol, sacarosa y extracto de levadura contenidas en el medio YMm serían capaces de transformar el Previcur y el Carbodan en diferente medida, bajo un proceso denominado cometabolismo, que se define como la transformación de un compuesto (cosustrato), en presencia obligada de un sustrato, durante el crecimiento o por células en reposo en ausencia del sustrato de crecimiento (Perry, 1979). El cosustrato o cometabolito no aporta energía, carbono o algún otro nutriente y en consecuencia es incapaz de soportar la replicación celular. El sustrato de crecimiento proporciona poder reductor y energía para el crecimiento y el mantenimiento celular (Criddle, 1993). La presencia del cosustrato no induce la actividad de las enzimas involucradas en su transformación, ya que se trata de una transformación colateral a la degradación del sustrato, el cual si induce la actividad enzimática (García-Rivero y Peralta-Pérez, 2008).
Se observó que el aislado ES1 presenta una resistencia a los agroquímicos Carbodan y Previcur en una dilución correspondiente a ½ de la concentración empleada en el campo (12,45 μL·15 mL-1 YMm y 9,3 μL·15 mL-1 YMm, respectivamente). El aislado EV1 se considera como la bacteria rizobiana con mayor sensibilidad a las mismas concentraciones de estos carbamatos, pese a tener un crecimiento inicial más acelerado en presencia de ellos (Figura 2A). Allí se observa un punto de inflexión aproximadamente a las 8 h para el cultivo que contiene Carbodan y a las 10 h para las bacterias tratadas con Previcur correspondiente a una absorbancia de 0,52; manteniéndose constante esta lectura hasta las 55 h, en ambos casos, indicando que el pesticida transformado o cometabolizado estaría tornándose tóxico, causando la muerte celular de este aislado rizobiano, tal como se puede evidenciar en el conteo viable (Figura 2B).
Resultados similares se han encontrado en investigaciones realizadas por Luo et al. (2008), quienes detectaron el cometabolismo del Bensulfuron-methyl en presencia de varias fuentes de carbono nitrógeno y fósforo, y se logró la mejor respuesta cuando se usó el lactato de sodio como fuente de carbono. De igual manera, Castro (2008) sugiere que procesos como el cometabolismo tienen lugar en los aislados de suelos sometidos a tratamiento agroquímico, los cuales no fueron capaces de utilizar el Acarin (organoclorado) como fuente carbonada, pero sí lo degradaron al estar presente el glicerol como fuente de carbono.
El análisis estadístico de comparación de medidas repetidas del ensayo de crecimiento cuantitativo (absorbancia vs. tiempo y conteo viable vs. tiempo) para el aislado ES1 arrojó diferencias estadísticas entre todos los tratamientos señalados en las Cuadros 7A y 7B. Para el aislado EV1 no se observaron diferencias en absorbancia entre Carbodan y Previcur, pero sí para sus comparaciones con el control (Cuadro 8A), y también para los conteos viables entre todos los tratamientos de esta cepa (Cuadro 8B).
Cuadro 7. Comparación entre el control y los carbamatos Carbodan y Previcur en el ensayo de crecimiento cuantitativo del aislado ES1. Prueba de medidas repetidas: A) Absorbancia vs. tiempo; B) Conteo viable vs. tiempo
| A) Absorbancia vs. Tiempo | ||||
| Comparación | Diferencia | P | Intervalo de confianza (95 %) | |
| Límite inferior | Límite superior | |||
| Control vs. Previcur | 0,2289 | 0,002 | 0,1555 | 0,3023 |
| Control vs. Carbodan | 0,0998 | 0,023 | 0,0264 | 0,1732 |
| Carbodan vs. Previcur | 0,1291 | 0,011 | 0,0557 | 0,2025 |
|
| ||||
| B) Conteo viable (UFC·mL-1) vs. Tiempo | ||||
| Comparación | Diferencia | P | Intervalo de confianza (95 %) | |
| Límite inferior | Límite superior | |||
| Control vs. Previcur | 38054,67 | 0,000 | 33355,51 | 42753,84 |
| Control vs. Carbodan | 17916,38 | 0,000 | 13217,21 | 22615,55 |
| Carbodan vs.Previcur | 20138,29 | 0,000 | 15439,12 | 24837,46 |
Cuadro 8. Comparación entre el control y los carbamatos Carbodan y Previcur en el ensayo de crecimiento cuantitativo del aislado EV1. Prueba de medidas repetidas: A) Absorbancia vs. tiempo; B) Conteo viable vs. tiempo
| A) Absorbancia vs. Tiempo | ||||
| Comparación | Diferencia | P | Intervalo de confianza (95 %) | |
| Límite inferior | Límite superior | |||
| Control vs. Previcur | 0,1750 | 0,001 | 0,1312 | 0,2188 |
| Control vs. Carbodan | 0,1647 | 0,001 | 0.1210 | 0,2085 |
| Carbodan vs. Previcur | 0,0103 | 0,510 | -0,0335 | 0,0540 |
|
| ||||
| B) Conteo viable (UFC·mL-1) vs. Tiempo | ||||
| Comparación | Diferencia | P | Intervalo de confianza (95 %) | |
| Límite inferior | Límite superior | |||
| Control vs. Previcur | 17541,94 | 0,000 | 15804,58 | 19279,31 |
| Control vs. Carbodan | 10399,87 | 0,000 | 8662,51 | 12137,24 |
| Carbodan vs. Previcur | 7142,06 | 0,000 | 5404,70 | 8879,43 |
Determinación de la DL50 de los carbamatos: En la Figura 3A se observa que el 50 % de la población fue 4350 x 104 UFC·mL-1 y la DL50 de Carbodan hallada para ocasionar la muerte de esta población fue 200,81 μL·100 mL-1, mientras que en la Figura 3B el 50 % de la población corresponde a 6550 x 104 UFC·mL-1 y la DL50 de Previcur que la eliminó fue 214,14 μL·100 mL-1.
En la Figura 4A se observa que el 50 % de la población fue 7,3 x 104 UFC.mL-1 y la DL50 de Carbodan fue 123,35 μL·100 mL-1, mientras que en la Figura 4B el 50 % de la población fue 8,55 x 104 UFC·mL-1 y la DL50 de Previcur fue 108,06 μL.100 mL-1. En estos resultados se observa que las DL50 halladas para el aislado ES1 tienen un valor mayor en ambos carbamatos que las DL50 calculadas para el aislado EV1 en presencia de los mismos carbamatos, lo que indica que la bacteria ES1, que estuvo bajo presiones selectivas por el tratamiento químico de ese suelo, ha desarrollado una mayor resistencia ante estos compuestos que el aislado EV1 que no ha estado sometido a tratamientos con pesticidas, al menos durante los 12 años precedentes al aislamiento.
CONCLUSIONES
Las cepas rizobianas nodulantes ES1 y EV1 aisladas de suelos tratados con y sin carbamatos mostraron ser más resistentes a los carbamatos Carbodan y Previcur, pero fueron sensibles a Dithane, Vondozeb y Zineb. Estos aislados no metabolizaron los carbamatos Carbodan, Previcur y Zineb, es decir, no los utilizaron ni como fuente carbonada ni como fuente nitrogenada. Sin embargo, se observó un incremento en la velocidad de crecimiento y un aumento del tamaño poblacional, en presencia del Previcur o Carbodan más las fuentes carbonadas y nitrogenadas del medio de cultivo YMm. Esto sugiere un proceso de cometabolismo para ambas bacterias, que favoreció el crecimiento del rizobio ES1, por prolongarse en el tiempo e incrementar la población 10 veces más respecto al control, alcanzando su máximo a las 16,5 h para Previcur y 27 h para Carbodan, a diferencia del aislado EV1, en las mismas condiciones de cultivo, donde
probablemente se habría generado un producto tóxico que redujo en corto tiempo la población (10 h). Es notable el hecho que la resistencia de las dos cepas bacterianas fue diferencial. El aislado ES1 proveniente de suelos donde se aplicaban frecuentemente agroquímicos, mostró mayor resistencia a los carbamatos Carbodan y Previcur, tomando en cuenta el análisis de crecimiento cualitativo y cuantitativo, además de los valores de la DL50 para cada carbamato, los cuales resultaron ser mayores para Carbodan y Previcur que en el aislado EV1, que proviene de un suelo no sometido a tratamientos con pesticidas como presión selectiva. Por otra parte, los aislados ES1 y EV1 también se diferenciaron por sus características fenotípicas, en cuanto a la morfología de las colonias, tolerancia a la salinidad y sensibilidad a los antibióticos. En el caso del aislado ES1, a pesar de ser una bacteria más resistente al Previcur y Carbodan no toleró alta salinidad (1,0-2,5 % NaCl), y mostró sensibilidad a tres de los seis antibióticos probados, comparado con el aislado EV1 que fue más sensible a los dos carbamatos ensayados, pero toleró niveles de salinidad más elevados (hasta 1,5 % NaCl), creció en LB y sólo fue sensible a la amikacina. Ambos coinciden en su capacidad de tolerar temperaturas más bajas (16 °C) de las que usualmente suelen soportar los rizobios, indicando una adaptación a las condiciones del páramo.
AGRADECIMIENTO
Al Consejo de Desarrollo Científico, Humanístico y Tecnológico (CDCHT) de la Universidad de Los Andes-Mérida por el financiamiento del Proyecto C-1612-08-01-F. A Alexandro Barbosa (UNET) por el asesoramiento estadístico. A Raúl Rojas y Marco García (ULA) por su ayuda en la determinación de la DL50. A Jesús Parra, Rafael Romero y Miguel Pabón, por permitir la recolección de las muestras en sus fincas. A Alejandro Blanco Carrero y Ronald Rendón.
LITERATURA CITADA
1. Aguilar, O.M., M.V. López y P.M. Riccilio. 2001. The diversity of rhizobia nodulating beans in northwest Argentina as a source of more efficient inoculant strain. Biotechnol. 91: 181-188. [ Links ]
2. Ahmad, R., R.S. Kookana, M. Megharaj y A.M. Alston. 2004. Aging reduces the bioavailability of even a weakly sorbed pesticide (carbaryl) in soil. Environ. Toxicol. Chem. 23(9): 2084-2089. [ Links ]
3. Banerjee, A. y A.K. Banerjee. 1987. Influence of Captan on some microorganisms and microbial processes related to the nitrogen cycle. Plant and Soil 102(2): 239-245. [ Links ]
4. Bataller, R. 2004. Toxicología Clínica. Ed. PUV. Valencia, España. 265 p. [ Links ]
5. Beringer, J.E. 1974. R. Factor transfer in Rhizobium leguminosarum. J. Gen. Microbiol. 84: 188-198. [ Links ]
6. Bermúdez-Couso, A., D. Fernández-Calviño, M. Pateiro-Moure, J.C. Nóvoa-Muñoz, J. Simal-Gándara y M. Arias-Estévez. 2011. Adsorption and desorption kinetics of carbofuran in acid soils Journal of Hazardous Materials 190(1-3): 159-167. [ Links ]
7. Castro, D. 2008. Caracterización de cepas bacterianas resistentes al diclorodifeniltricloro etano (DDT) y Paration aisladas de suelos sometidos a manejo agrícola intensivo de diferentes localidades del estado Mérida. Tesis. Facultad de Ciencias. Universidad de Los Andes. Mérida, Venezuela. 69 p. [ Links ]
8. Charalampos, K., Z.V. Myresiotis y E. Papadopoulou. 2012. Biodegradation of soil-applied pesticides by selected strains of plant growth-promoting rhizobacteria (PGPR) and their effects on bacterial growth. Earth and Environmental Science 23(2): 297-310. [ Links ]
9. CIAT (Centro Internacional de Agricultura Tropical). 1988. Simbiosis Leguminosa-Rhizobium. Manual de Métodos de Evaluación, Selección y Manejo Agronómico. CIAT. Cali, Colombia. 97 p. [ Links ]
10. Criddle, C.S. 1993. The kinetics of cometabolism. Biotechnology and Bioengineering. 41: 1048 -1056. [ Links ]
11. Díaz, C. y V. De La Sovera. 2009. Carbamatos. http://mail.fq.edu.uy/ (revisión del 15/02/2009). [ Links ]
12. Ferrera, R., M. González y M. Rodríguez. 1993. Manual de Agromicrobiología. Edit. Trillas. México. 139 p. [ Links ]
13. García-Rivero, M. y M.R. Peralta-Pérez. 2008. Cometabolismo en la Biodegradación de Hidrocarburos. Revista Mexicana de Ingeniería Química 7(1): 1-12. [ Links ]
14. Green, M.R. y J. Sambrook. 2012. Molecular Cloning: A Laboratory Manual. Spring Harbor Laboratory Press. Cold Spring Harbor, New York. [ Links ]
15. Hashimoto, M., M. Fukui, K. Hayano y M. Hayatsu. 2001. Nucleotide sequence and genetic structure of a novel carbaryl hydrolase gene (cehA) from Rhizobium sp. strain AC100. Applied and Environmental Microbiology 68(3): 1220-1227. [ Links ]
16. Laguerre, G., M. Bardin y N. Amarger. 1993. Isolation from soil of symbiotic and nonsymbiotic Rhizobium leguminosarum by DNA hybridization. Canadian Journal of Microbiology 39: 1142-1149. [ Links ]
17. Larkin, M.J. y M.J. Day. 1985. The effect of pH on the selection of carbaryl-degrading bacteria from garden soil. Applied Bacteriology 58(2): 175-185. [ Links ]
18. Larkin, M.J. y M.J. Day. 1986. The metabolism of carbaryl by three bacterial isolates, Pseudomonas spp. (NCIB 12042 & 12043) and Rhodococcus sp. (NCIB 12038) from garden soil. Applied Bacteriology 60(3): 233-242. [ Links ]
19. Luo, W., Y. Zhao, H. Ding, X. Lin, y H. Zheng. 2008. Co-metabolic degradation of bensulfuron-methyl in laboratory conditions. Journal of Hazardous Materials 158: 208-214. [ Links ]
20. Marquina, M.E., N.E. González y Y. Castro. 2011. Caracterización fenotípica y genotípica de doce rizobios aislados de diversas regiones geográficas de Venezuela. Biología Tropical 59(3): 1017-1036. [ Links ]
21. Michiels, J., B. Dombrecht, N. Vermeiren, Ch. Xi, E. Luyten y J. Vanderleyden. 1998. Phaseolus vulgaris is non-selective host for nodulación. FEMS Microbiol. Ecol. 26: 193-205. [ Links ]
22. Miller, J. H. 1972. Experiments in molecular genetics. Cold Spring Harbor Laboratory. Cold Spring Harbor, New York. [ Links ]
23. Nicosia S., C. Carr, D.A. González y M.K. Orr. 1991. Off-field movement and dissipation of soil-incorporated Carbofuran from three commercial rice fields. J. Environ. Qual. 20: 532-539. [ Links ]
24. Odee, D.W., E.T. Sutherland, S.G. McInroy y J.I. Sprent. 1996. Phenotypic characteristics and composition of rhizobia associated with woody legumes growing in diverse Kenyan conditions. Plant and Soil 188: 65-75. [ Links ]
25. Perry, J.J. 1979. Microbial cooxidations involving hydrocarbons. Microbiological Reviews 43(1): 59-72. [ Links ]
26. Sullivan, J.T., B.D. Eardly, P.Van Berkum y C.W. Ronson. 1996. Four unnamed species of non symbiotic rhizobia isolated from the rhizosphere of Lotus corniculatus. Applied and Environmental Microbiology 62: 2818-2825. [ Links ]
27. Taiz, L. y E. Zeiger. 2010. Plant Physiology. Sinauer Pub. Sunderland, MA. [ Links ]
28. Vincent, J. M. 1975. Manual Práctico de Rizobiología. Edit. Hemisferio Sur. Buenos Aires. [ Links ]
29. Wang, E.T., P. Van Berkum, D. Beyene, X.H. Sui, O. Dorado, W.X. Chen y E. Martínez-Romero. 1998. Rhizobium huatlense sp, nov., a symbiont of Sesbania herbacea that has a close phylogenetic relationship with Rhizobium galegae. Int. J. System. Bacteriol. 48: 687-699. [ Links ]
30. Wang, T., J. Romero-Martínez y I. López-Lara. 2001. Rhizobium y su destacada simbiosis con plantas. In: E. Martínez y J. Martínez (eds.). Microbios. Universidad Nacional Autónoma de México, UNAM. México. Cap 8. [ Links ]
31. Yen, J.H., F.L. Hsiao y Y.S. Wang. 1997. Assessment of the insecticide carbofurans potential to contaminate groundwater through soils in the subtropics. Ecotox. Environ. Safety 38: 260-265. [ Links ]
















