Services on Demand
Journal
Article
Indicators
-
Cited by SciELO -
Access statistics
Related links
-
Similars in
SciELO
uBio
Share
Universidad, Ciencia y Tecnología
Print version ISSN 1316-4821On-line version ISSN 2542-3401
uct vol.9 no.34 Puerto Ordaz June 2005
INFLUENCIA DEL BALANCE DE LOS CÓDIGOS DE GOLD Y MLS EN LA CALIDAD DE LA RECEPCIÓN EN SISTEMAS DS-CDMA
Alí Agib, Bashar; García Simón, Amado Ignacio ; Cabarrouy Fernández-Fontecha, Sergio Lázaro
Ing. Bashar Alí Ajib: Aspirante al Doctorado en Telecomunicaciones en el ISPJAE, LA Habana, Cuba, Telef. (53) 72091300.
Dr. Amado Ignacio García Simón: Jefe del Dpto. de Telecomunicaciones del mismo Instituto, Telef. (53) 72607814, correo electrónico amado@electrica.ispjae.edu.cu.
Ing. Sergio Lázaro Cabarrouy Fernández- Fontecha: Especialista en Diseño y Construcción de Equipos Electrónicos, en la universidad de Pinar del Río, Cuba, Telef. (53) 82-779372, correo electrónico sergio@urect.upr.edu.cu.
Resumen: En este trabajo se realiza el estudio del comportamiento del balance parcial normalizado de los códigos de Gold y de Longitud Máxima en sistemas de comunicaciones con espectro dispersado por una secuencia PA directa. Primeramente se abordan los procedimientos de obtención de dichos códigos, y luego se estudia el comportamiento del balance parcial normalizado de éstos en sistemas de espectro dispersado con ganancia de procesamiento menor que la longitud del código PA para dispersión. Como resultado se obtiene la relación empírica entre el balance parcial normalizado y la probabilidad de error, así como los criterios prácticos para escoger la relación entre la ganancia de procesamiento y la longitud del código, con el fin de evitar el deterioro de la señal recibida.
Palabras-Clave: Balance del código pseudoaleatorio/ Códigos Pseudoaleatorios de Gold/ Códigos Pseudoaleatorios de Longitud Máxima (MLS)/ Espectro Dispersado/ Secuencia Directa (DS).
INFLUENCE OF GOLD AND MLS CODES BALANCE IN THE RECEPTION QUALITY ON DS- CDMA SYSTEMS
Abstract: In this paper the behavior of normalized partial balance of Gold and Maximum Lengths Codes is studied, in direct sequence spread spectrum systems. First the procedures to obtain those pseudo-random codes are approached. Then, the formalized partial balance behavior of the codes studied. As a result an empirical dependence between that parameter and the error rate is obtained, as well as practical criteria to choose the relationship between the process gain and thecode length.
Key words: Balance of a Pseudo-Random Code/ Direct Sequence (DS)/ Pseudo-Random Gold Codes/ Pseudo-Random MLS Codes/ Spread Spectrum.
Finalizado el 2004/07/08 Recibido el 2004/07/29 Aceptado el 2004/10/06.
I. Introducción
La dispersión espectral por Secuencia Directa (DS) consiste en multiplicar una secuencia de bits por un código pseudoaleatorio al que se le deben exigir determinadas características para asegurar las bondades del espectro dispersado resultante y garantizar la calidad de la señal recibida. En ocasiones el diseño del sistema es tal que cada bit de información es multiplicado por una porción del código de dispersión. En este caso, la secuencia de chips que interviene en la multiplicación no es necesariamente balanceada, y al mismo tiempo la diferencia entre el número de chips con valor -1 y 1, cambia para distintos bits de información. Esto conlleva que unos bits sean recibidos en condiciones diferentes a otros. Un código o segmento de código pseudoaleatorio se considera balanceado si la diferencia entre el número de sus símbolos alternativos (1 y 1 en la mayoría de los casos) no es mayor que 1. El desbalance parcial no existe si se escogen códigos de dispersión cuyas longitudes sean iguales a la ganancia de procesamiento deseada. Sin embargo esto no es siempre posible. El diseñador tendrá que procurar que el desbalance parcial no afecte la calidad del sistema. Establecer criterios en este sentido, es el principal objetivo de este trabajo.
II. DESARROLLO
1. Fundamentos Teóricos
1.1. La dispersión espectral por Secuencia Directa
Si el código de dispersión espectral se obtiene generando cada chip aleatoriamente, uno tras otro en forma independiente, estos chips se podrán modelar como variables aleatorias idénticas e independientes con valores {+1,-1}. En principio, esto no es posible por la exigencia de generar códigos idénticos tanto en el sitio transmisor como en el receptor. De este modo los chips de un código de dispersión siempre son generados a partir de una determinada función booleana y por lo tanto no son aleatorios. Es necesario diseñar códigos para DS que conserven un alto parecido con lo que sería una secuencia perfectamente aleatoria. Estos son los llamados códigos pseudoaleatorios, ya que aunque proceden de una función booleana determinística, la probabilidad de ocurrencia de cualquiera de los dos símbolos sigue una ley de distribución Gaussiana.
Dos de los códigos pseudoaleatorios más populares utilizados en DS son los códigos lineales de longitud máxima (MLS) y los códigos de Gold. Ambos tipos de secuencias se generan usando registros de corrimiento realimentados. (Shift Register Generator o SRG )
1.2. Características de los códigos lineales de longitud máxima (MLS)
Para los códigos MLS se pueden definir las siguientes propiedades [1]:
En un período del código la cantidad de +1s difiere siempre de la cantidad de 1s en una unidad, es decir, siempre habrá un y solo un 1 de más. Esta propiedad garantiza que un código lineal sea prácticamente balanceado: una diferencia de un chip es despreciable, aún más cuando mayor sea la longitud de la secuencia.
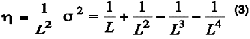
En un código lineal, la mitad de todos los +1s que lo componen están agrupados en secuencias de longitud 1, la cuarta parte están agrupados en secuencias de longitud 2, la octava parte, en grupos de 3 y así sucesivamente. Lo mismo ocurre con los 1. Esta propiedad garantiza que haya un límite en la cantidad de chips iguales consecutivos que tendrá el código, lo que proporciona buenas características de balanceo también a nivel parcial. La autocorrelación global normalizada de una secuencia de código lineal de período L está acotada:

Donde k es el desplazamiento relativo del código y L su longitud. En cuanto a la autocorrelación parcial normalizada de fragmentos de W chips para desplazamientos no nulos, se puede modelar como una variable aleatoria de distribución hipergeométrica cuyas media y varianza están definidas respectivamente por:
![]()
Donde k vuelve a ser el desplazamiento relativo para el que se evalúa la autocorrelación parcial, L es el período de la secuencia y R(k) la autocorrelación global de la secuencia para el desplazamiento relativo de k chips.
La correlación cruzada global normalizada, promediada sobre k, de dos códigos MLS distintos {a} y {b} de igual período, se puede modelar como una variable aleatoria con una media y una varianza dadas por

Donde, si 1<<L, entonces s2@1/L y h@0. Además la correlación cruzada cumple la siguiente desigualdad:
![]()
Es decir, que a pesar de que los estadísticos son buenos, está garantizado que la correlación va a alcanzar para algún k determinado un valor máximo que va a superar un determinado valor conocido.
1.3. Características de los Códigos de Gold
Por su parte, los códigos de Gold tienen las siguientes propiedades: A diferencia de los códigos lineales, en los que un generador sólo es capaz de generar una única secuencia, el generador Gold es capaz de producir distintos códigos, dependiendo de las condiciones iniciales del generador. Todas las secuencias generables por una misma estructura se denominarán familia de códigos de Gold.
Todas las secuencias generadas a partir de un mismo generador de Gold poseen el mismo período y tienen idénticas propiedades de correlación. La multiplicación de cualesquiera de dos secuencias {a} y {b} de una determinada familia de códigos Gold, resulta en otra secuencia perteneciente a la misma familia.
La correlación cruzada entre dos secuencias cualesquiera {a} y {b} de la familia de Gold (y por tanto también la autocorrelación) cumple con la siguiente desigualdad:

La correlación cruzada parcial de fragmentos de W chips se puede considerar como una variable aleatoria cuyas media y varianza cumplen las siguientes desigualdades:

Por último, cuando se refiere a la característica del balance, no todas las secuencias de una familia de Gold están balanceadas. En efecto, sólo aproximadamente la mitad de ellas cumple con esta propiedad.
1.4. Balance parcial de los códigos pseudoaleatorios
El balance B de un código pseudoaleatorio puede escribirse como:
![]()
Donde 1N y -1N son respectivamente el número de bits que valen 1 y 1 en el código. Un código se considera balanceado cuando |B| ≤ 1.
El balance parcial BN de un segmento de código se define de la misma manera que en (7), sólo que 1NN y -1NN son respectivamente los números de bits que valen sólo 1 y 1 en el segmento de código. En este trabajo se utiliza el balance parcial normalizado Bn que se escribe como:

Donde n es el número de chips del código de dispersión espectral por cada bit de información, es decir, la ganancia de procesamiento del sistema DS es |Bn| ≤ 1 en todos los casos y el segmento de código se considera balanceado si
para n impar o B = 0 para n par.
2. Metodología
Se diseñó un experimento en el que se evalúa el balance de todos los segmentos de código de longitud N variable desde 1 hasta L, donde L es la longitud total del código. En cada caso se evaluó el valor máximo del balance. Esto se hizo para todos los códigos de Gold y MLS de longitud 511, buscando el comportamiento del valor máximo del balance parcial normalizado al aumentar paulatinamente el valor de N chips por bit. Los resultados se muestran a continuación. El experimento se desarrolló en un programa de Matlab 5.5, al que se agregaron módulos Borlan C++ 5.0.
2.1. Obtención de la familia de códigos MLS y de Gold de longitud L
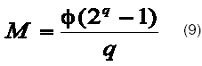
Primeramente se calcula la cantidad M de configuraciones MLS distintas en función del número de etapas del registro, q:

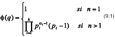
donde f(·) es la denominada función de Euler, definida como:

siendo los números pi la familia de los factores primos de q, k la cantidad de éstos y ai el número de veces en que aparece el factor i en la familia.
Seguidamente se buscan todos los polinomios irreductibles de orden q, y por último cuáles de éstos son primitivos. Un polinomio es irreductible cuando el resto de la división entera de cualquier polinomio de menor grado es cero, excepto el polinomio de grado 0. Por su parte un polinomio irreducible de grado n se llama primitivo si y solo sí divide a un polinomio xm-1 con m ³ 2n-1. Para buscar dichos polinomios, es necesario encontrar primero las raíces de todos los polinomios de orden n, en el sistema numérico binario. Luego los polinomios que resultaron irreductibles se usaron como divisores de los polinomios xr-1 para 102r ³ r ³ 2q-1, comenzando por el de menor orden, hasta encontrar el número M de polinomios que fue encontrado antes. Para obtener luego la familia de códigos de Gold hay que buscar entre los códigos obtenidos, cuáles son pares preferentes. Dos polinomios f(x) y g(x) irreductibles y primitivos son un par preferente cuando su grado q no es múltiplo de 4, y existe una raíz a de f(x) que además cumple que:

2.2. Evaluación del balance parcial normalizado de un código para n chips por bit
Cuando se dispersa con códigos para en DS con n<L los bits de información son multiplicados en general por cualquier segmento del código. Por lo tanto, para evaluar el balance parcial Bn es necesario comparar el número de 1 y -1 utilizando la expresión (8) en todos los segmentos de longitud n del código. Ver la Figura 1.
2.3. Estimación empírica de la relación entre el balance parcial normalizado y la probabilidad de error
Para estimar empíricamente la relación entre la probabilidad de error y el balance parcial normalizado Bn, se utilizó Matlab® 5.5 para simular un canal multitrayecto ruidoso con el perfil de demora de potencia para GSM en entornos suburbanos[3]. El ruido inducido en el canal es blanco y Gaussiano, y fue generado utilizando un módulo escrito en Borlan® C++ 5.0. como una secuencia aleatoria de media Z=0 y de desviación típica s=1, con distribución normal. La amplitud deseada del ruido se logra luego multiplicando la secuencia aleatoria por una constante convenientemente escogida. La Figura 2 muestra el diagrama en bloques del sistema simulador.
El contador de errores se programó de tal manera que arrojara el número de errores cometido en cada bit de información, sobre el cual se conoce también el valor de Bn, de manera que se pudiese encontrar la correlación estadística entre ambas variables. El simulador corrió sobre un grupo de 10 códigos MLS, de la familia de 48 que corresponde a q=9, y también sobre 10 códigos de Gold generados por el par preferente y(x)=1 0 0 0 1 0 0 0 0 1 y g(x)= 1 0 0 0 1 1 0 0 1 1. La velocidad de transmisión fue de 1Mbps y la ganancia de proceso de 13dB, de manera que por cada ocurrencia del código se multiplican 25 bits de información. La relación señal a ruido a la salida del sumador es -12dB, de modo que a la salida del filtro pasa éste llegará a 1dB aproximadamente. Así se generó un número grande de errores. Para cada código la prueba se corrió durante 5 minutos para asegurar un número suficientemente alto de errores. Las mismas pruebas se realizaron sin introducir el efecto del multitrayecto.
3. Resultados
La Figura 3 muestra la curva de balance máximo normalizado para el número de chips por bit (n) de varios códigos MLS. Para n pequeño el balance máximo es grande lo cual quiere decir que la diferencia de las condiciones de recepción de unos bits de información y otros es muy grande. En aquellos bits cuyos espectros fueron dispersados con segmentos del código no balanceados, el rechazo a la interferencia es menor, y por tanto la probabilidad de error es mayor. Si se observa una curva equivalente (Figura 4), pero para tres secuencias de una familia de códigos Gold, se aprecia un comportamiento muy similar al ya descrito.
Es imprescindible para el diseñador asegurarse cuál es la cota máxima del balance de los códigos de la familia que se va a usar en el sistema CDMA La forma empírica más sencilla es representar la función de balance normalizado para todos los códigos que se usarán en el sistema. Al evaluar el balance parcial para todos los códigos MLS y todos los de Gold útiles, de la familia de orden 9, se obtuvo la siguiente tabla de valores de dicho balance normalizado con respecto a los valores de N.
La Figura 5 muestra la dependencia entre la probabilidad de error y el balance parcial normalizado en códigos MLS y de Gold, encontrados en la familia de L=511. Se puede notar que la probabilidad de error es mayor en aquellos bits que fueron multiplicados por segmentos del código con valores de Bn mayores. Esto se debe, entre otros, al hecho de que el desbalance del código se traduce en la aparición de una componente DC a la salida del correlador. Si dicha componente coincide en fase con el aporte resultante del ruido sobre el bit, es más probable que exista un error. La probabilidad de error resultó de 6.7X10-4 como promedio en las pruebas.
Las pruebas realizadas sin tener en cuenta el multitrayecto arrojaron probabilidades de error aproximadamente iguales, así como prácticamente los mismos valores de correlación estadística entre éstas y Bn.
4. Discusión de resultados
Los resultados mostrados en la Tabla I constituyen criterios útiles para los diseñadores de sistemas DS, aunque no son en general aplicables para otros valores de L, y se espera que para fracciones de L más pequeñas, se obtengan mejores balances en la medida en que L crece. No obstante, la influencia del balance parcial normalizado en la calidad de la recepción en estos sistemas ha sido suficientemente demostrada.
La correlación entre la probabilidad de error en el bit y el valor de Bn resultó de 0.73, teniendo en cuenta todas las pruebas con ambos tipos de código, y de forma individual 0.69 para códigos MLS y 0.77 para códigos de Gold, lo cual demuestra la gran influencia del balance parcial normalizado en la probabilidad de error. La cercanía de los números no permite aventurar una conclusión sobre la diferencia de la dependencia de Bn y la probabilidad de error. Esto requiere una investigación más profunda. También lo requiere la obtención de una expresión matemática que relacione Bn y la probabilidad de error.
Por otra parte, se observó que la existencia del multitrayecto con las características del modelo GSM para entornos suburbanos, no es un factor determinante en la relación que existe en la probabilidad de error y el balance parcial normalizado de los códigos de Gold y MLS. Esto se debe, entre otros factores, al hecho de que los sistemas DS son prácticamente inmunes a la interferencia multitrayectoria[4], a menos que los tiempos de demora relativa de los rayos sea menor que el tiempo de chip, cosa que no sucede en los experimentos aquí descritos, ya que el tiempo de chip Tchip = 50 nS, mientras que la demora relativa más pequeña en el modelo utilizado es Td = 0.2 mS.
A la hora de escoger n hay que tener en cuenta en primer lugar que mientras más largo sea el código, mejores características de rechazo a interferencias presentará, pero más compleja es su generación, ya que el registro de desplazamiento necesario se haría muy grande. Si se está limitado en cuanto al tamaño del registro y se quiere grandes ganancias de proceso, tendrá que aceptarse varias repeticiones del código en el bit. Si el código escogido es largo y n < L, es necesario asegurarse que el segmento del código que multiplica a cada bit tiene propiedades de autocorrelación y correlación cruzada tan buenos como tiene el código completo. A la hora de escoger una familia de códigos para una aplicación DS en la que los bits no sean multiplicados por el código completo, debe tenerse en cuenta el balance parcial normalizado máximo para la fracción n, y es recomendable evaluar empíricamente dicho balance, de modo que se asegure que no haya valores demasiado grandes que pongan en peligro la calidad de la recepción en determinados casos.
Con todo lo anterior, se comprueba que los valores de Bn inferiores a 0.1 no influyen significativamente en la calidad de la recepción. De aquí se puede obtener como criterio práctico para elegir n, que su valor no debe ser inferior a 0.56L para códigos de Gold y 0.42L para MLS. L es la longitud del código. Para otras familias de códigos de este tipo las fracciones de L mínimas no tienen por qué ser iguales.
III. CONCLUSIONES
1. El balance parcial normalizado de los códigos MLS y de Gold es un elemento influyente en la calidad de la recepción en sistemas DS, siendo más alta la probabilidad de error en aquellos bits que fueron ensanchados con segmentos del código más desbalanceados.
2. Para evitar esto se han propuesto criterios empíricos que permiten elegir la sección mínima del código que multiplicará a un bit, de modo que el desbalance no sea demasiado grande y afecte dicha calidad de recepción.
IV. BIBLIOGRAFÍA
1) Carlson, Bruce. Introducción a las modulaciones y al ruido en sistemas de telecomunicaciones, La Habana, Editorial del Ministerio de Educación Superior, 1980.pp. 64-72. [ Links ]
2) Baier, Paul W.; Andreas Steil and Peter Jung. Advantages of CDMA and Spread Spectrum Techniques over FDMA and TDMA in Cellular Movile Radio Applications. IEE Transactions Vehicular Technologi, vol 42, No.3, August 1993, pp. 357-363. [ Links ]
3) Levesque, Allen A. and Kaveh Pahlavan. Wireless Informations Networks. New York, John Wiley and Sons, INC. 1995. pp. 285-331. [ Links ]
4) Vento Alvarez, José Raúl. Contribución al estudio de las comunicaciones ópticas en espectro ensanchado. Tesis Doctoral en la Universidad Politécnica de Madrid. 1998. pp. 41-62. [ Links ]
5) Enge, Per K. and Dilip V. Sawate. Spread Spectrum Multiple Access Performance of Orthogonal Codes. IEE Transactions on Communications, vol. com-35, No.12, December 1987., pag. 1309-1318. [ Links ]
6) Hernando Rabanos, José María. Comunicaciones Móviles. Madrid. Centro de estudios Ramón Areces, S.A. 1997, pp. 59-67, 604-609. [ Links ]
7) Hernado Rábanos, José María. Transmisión por Radio. Madrid. Centro de Estudios Ramón Areces, S.A. 1996, pp.240-261. [ Links ]
8) Yañes Castrillón, Pedro José. Diseño de un Sistema Radio de Comunicaciones de Datos con Espectro Ensanchado. Madrid. Universidad Politécnica de Madrid. 1997, pp. 15-122, 213-235. [ Links ]
9) Kim, Hoon; Koo, Jayong; Han, Youngnam. Forward Link Capacity Based on Interference Characteristics in CDMA Systems. IEEE Vehicular Technology Conference. Boston Feb. 2000. 7 pp. [ Links ]
10) BER in CDMA systems. Glisic S., Vucetic B.. Spread Spectrum CDMA System for wireless communications. Artech House Inc. Boston. London. 1997. pp. 211- 240. [ Links ]



















