Universidad, Ciencia y Tecnología
versión impresa ISSN 1316-4821versión On-line ISSN 2542-3401
uct v.12 n.47 Puerto Ordaz abr. 2008
Una nueva aplicación de la teoría de la información
Zubillaga Berazaín, Ramón B.
El MSc. Ramón B. Zabillaga Berazaín es Investigador Titular en el Instituto Central de Investigación Digital, 222 Nº 1704, Siboney, 11600, La Habana Cuba,correo electronico zubi@icid.cu .
Resumen: Se presentan los elementos fundamentales asociados con la definición de medida de la información dada por Shannon y su aplicación a cierto tipo de juegos matemáticos. Se muestra como Caso de Estudio el juego de Toros y Vacas brindándose un algoritmo para su solución. Se exponen los fundamentos de este algoritmo mostrándose y discutiéndose los resultados de su aplicación.
Palabras clave: Entropía / Teoría de la información / Teoría de juegos
A NEW APLICATION OF INFORMATION THEORY
Summary: This paper presents the fundamental elements associated with de Shannons definition of information measure and their application to certain type of mathematical games. It is shown the game of Bulls and Cows like a Study Case being offered an algorithm for their solution. The foundation of this algorithm is exposed being shown the results of its application.
Keywords: Entropy / Information theory/ Games theory.
Manuscrito finalizado en la Habana, Cuba, el 2007/10/31, recibido el 2007/11/22, en su forma final ( aceptado) el 2008/04/23.
I. INTRODUCCIÓN
Uno de los artículos de mayor relevancia en la informática y las comunicaciones fue escrito en 1948 por C. E. Shannon: A Mathematical Theory of Communications [1]. En este artículo Shannon introdujo el concepto de medida de la información asociada a un mensaje como:

donde p es la probabilidad de que este mensaje se produzca. El hecho de que la ocurrencia de un suceso poco probable ofrece más información que uno cotidiano es relativamente fácil de asimilar, de ahí que utilizar el inverso de la probabilidad como parte de la fórmula resulte bastante convincente. Pero, ¿cuál es la razón del uso del logaritmo?
Shannon expresa que la medida logarítmica de la información es más conveniente por varias razones:
- Es prácticamente más útil.
- Es más cercana a la concepción en cuanto a la propia medida.
- Es matemáticamente más apropiada.
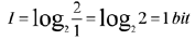
La base del logaritmo determinará una unidad de medida particular. Si se toma 2 como la base del logaritmo, entonces la medida de la información asociada se denominará bit. Tirar una moneda no truqueada al aire y, por tanto, con igual probabilidad para cara o cruz (1/2), proporciona para cualquiera de los mensajes Cayó cara o Cayó cruz una información igual a un bit:
![]()
Antes de continuar debe aclararse que la norma ISO-2382/XVI establece el Shannon en vez del bit como medida de la información para evitar el doble uso del término bit como digito binario y como unidad de medida de la información. De escoger a 10 como base del logaritmo la unidad de medida que se obtiene se denomina Hartley [2]. El hecho de tomar una base en particular para medir la información no es un elemento de preocupación. En efecto, la siguiente propiedad de los logaritmos:

permite concluir que para convertir la medida de la información de una unidad a otra, basta multiplicar por una constante.
Shannon continúa su exposición utilizando el concepto de medida de la información para desarrollar una teoría matemática de la comunicación que, aplicada inicialmente al tráfico telegráfico, mantiene totalmente su validez hasta nuestros días pues su desarrollo ha sido fundamental para lograr la telefonía móvil. La Teoría de la Información ha sido aplicada a diferentes ramas del saber como por ejemplo la criptografía [3] y la biología [4]. Este trabajo propone mostrar su aplicabilidad a la búsqueda de algoritmos que permitan que las computadoras jueguen adecuadamente cierto tipo de juegos matemáticos.
II. DESARROLLO 1.
Materiales y Métodos
1.1 Descripción de un juego matemático
Considérese un juego cuyo objetivo principal sea descubrir uno de los n elementos posibles de un universo U. Para descubrir este elemento (al que se llamará elemento incógnito) uno de los jugadores formulará preguntas con cuyas respuestas el otro jugador pueda acotar el conjunto de elementos posibles hasta que, finalmente, pueda llegar a descubrir el elemento incógnito.
Considerando que la selección del elemento incógnito tiene igual probabilidad que los restantes (1/n), la información que se requiere para, finalmente, descubrirlo será:

De inicio, la información que el jugador posee es 0:
![]()
Tomar n como la base de los logaritmos a utilizar, permitirá acotar la información entre 0 (al inicio) y 1 (al final): Ifinal = logn n = 1 Con poca dificultad puede probarse la siguiente propiedad:
![]()
Dado un juego matemático como el descrito arriba, la información que un jugador posee es, en todo momento, igual a la información que poseía más la información obtenida de su última jugada.
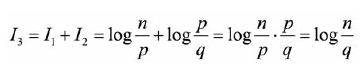
Supóngase que la información que el jugador posee es I1 , que se caracteriza por tener acotado el elemento incógnito a p elementos dentro de un universo U de n elementos (izquierda en Figura 1):

La información que recibe, y que permite acotar a q elementos el conjunto de p elementos dentro de un universo U (centro en figura 1), se denominará I2 y será:

Dado que tras recibir I2 , la información debe restringir a q los elementos del universo U de n elementos original
(derecha en Figura 1), debe probarse que la suma de ambas informaciones es igual a
, lo que resulta trivial:

Como puede apreciarse, la definición de medida de la información dada por C. E. Shannon se aplica de forma armoniosa al tipo de juegos matemáticos descrito arriba. Esta característica nos motivó a profundizar un poco más en este tipo de juegos e intentar la búsqueda de un algoritmo para solucionarlos.
1.2 Caso de estudio: El juego de Toros y Vacas
El juego de Toros y Vacas tuvo mucha popularidad en la década del 70 del pasado siglo. Este juego se juega entre 2 personas y consiste en lo siguiente:
Cada adversario selecciona un número de 4 dígitos decimales no repetidos (incluyendo al cero), al que se denominará número incógnito. Supóngase, por ejemplo, que el primer adversario selecciona el número 5904. El otro adversario, para averiguar el número, debe realizar una sucesión de disparos que son a su vez también números de 4 dígitos decimales no repetidos.
Cada jugador debe informar, una vez efectuado el disparo, cuántos dígitos se encuentran en el número seleccionado y si están o no en la posición correcta. De estar en la posición correcta, estos dígitos se denominan Toros o Bien (B). Por lo contrario, si están en el número pero fuera de posición, se les denomina Vacas o Regular (R). Supóngase que, por ejemplo, el segundo adversario, dispara el 3970. La Figura 2 muestra qué ocurre en el ejemplo.

Así, continuando con el ejemplo, la información que se proporciona tras el disparo 3970 debe ser: 1 Bien (el 9 está en su posición) y 1 Regular (el 0 está, pero no en la posición correcta). Los dígitos que no están no hay necesidad de informarlos, sin embargo se acostumbra denominarlos Mal (M) y en ocasiones decirlos, aunque sea una información redundante. Cuando ninguno de los dígitos se encuentra en el número incógnito es típico decir que están los 4 Mal en vez de 0 Bien y 0 Regular.
El segundo adversario, a su vez, selecciona también un número incógnito para que el primero lo descubra con igual procedimiento. Gana, desde luego, el que descubra el número de su oponente con la menor cantidad de disparos. El total de posibles números a seleccionar es 5040, ya que hay 10 posibles elecciones para el primer dígito, 9 para el segundo, 8 para el tercero y 7 para el cuarto (5040 = 10 x 9 x 8 x 7). La Figura 3 muestra las 14 posibles respuestas, la cantidad de elementos que las satisfacen inicialmente y una representación grafica de la información aportada por cada una. En lo adelante, todos los logaritmos se considerarán con base 5040.
Considérese el ejemplo resumido del juego de Toros y Vacas que se muestra en la Tabla I donde el número incógnito es 6958.

![]()
Verifíquese el cumplimiento de la propiedad aditiva de la información. Para ello, compruébese que la suma de las 4 informaciones obtenidas es 1 (lo que, dada la base del logaritmo escogida, implica que ya se conoce el número).
![]()


1.3 Búsqueda de un algoritmo para ganar este tipo de juegos
Hasta el momento se ha podido comprobar, como la definición de información permite conocer en todo momento, qué información se posee en cierto tipo de juegos, pero ¿permitirá también encontrar un algoritmo para jugarlos? La respuesta es sí, como se verá a continuación.
La Figura 4 muestra el escenario, mediante un diagrama de Venn, que se tiene en el juego ejemplificado en la Tabla I con posterioridad al primer disparo (los 24 elementos que satisfacen el primer disparo) y las posibles respuestas ante los disparos 1052 y 0158.

Antes de proseguir es conveniente aclarar que se propone realizar un análisis del escenario posterior a los posibles disparos (lo que sería en Ajedrez ver un movimiento al frente) con vistas a decidir una buena opción de juego.
Como se observa en la Figura 4 (arriba), el disparo 1052 puede originar 7 posibles resultados (1B 1R, 1B 2R, 1B, 2R, 2B 1R, 2B y 1R) asociados a igual número de subconjuntos, mientras que el disparo 0158 (Figura 4, abajo) sólo lo fracciona en 4 subconjuntos. Dado que la próxima pregunta (o disparo) tomará como base de partida el subconjunto asociado con la respuesta que se obtenga del disparo actual, se inclina, intuitivamente, a considerar como superior el disparo 1052 al 0158 por realizar un fraccionamiento mayor. O sea, el hecho de poder recibir una mayor diversidad de respuestas, satisfactorias a su vez para un número más reducido de elementos, resulta cualitativamente superior.
La respuesta 1B 1R aportará como información:
![]()
Y similarmente ocurrirá con las otras 6 posibles respuestas. Estas informaciones están, sin embargo, condicionadas por la probabilidad de que ellas ocurran, por ejemplo: 9/24 para el caso de 1B 1R; lo que puede expresarse como:
![]()
Si se suman las informaciones condicionadas por sus probabilidades se obtiene una ponderación general de la información asociada al disparo como un todo:

Puede calcularse, de forma similar, la información asociada al disparo 0158 que es igual a 0,118813 y que, como era esperado, es menor que 0,199047. Nótese que se ha calculado la información asociada al conjunto de mensajes posibles de originarse por un disparo a partir de la fórmula:

que resulta igual a la propuesta por C. E. Shannon [1], para medir
En este caso, dado que cualquiera sea la pregunta el conjunto de 10 elementos queda dividido en 2 partes (con x y 10-x elementos cada una, y por tanto con probabilidades p y 1-p), se puede identificar la entropía mediante la función:
![]()
La Figura 5 muestra el gráfico de esta función utilizando logaritmos en 3 diferentes bases. Obsérvese que el máximo de ella se tiene exactamente en 0,5. O sea, cuando la división del conjunto se ha realizado de forma que queden 2 subconjuntos con 5 elementos cada uno.

Este ejemplo ratifica, indudablemente, la utilización de la entropía como elemento definitorio en la búsqueda de la pregunta (o disparo) que brinde la mayor información posible. Por todo lo anterior, el algoritmo que se propone para encontrar el disparo con la máxima información consiste, de forma general, en proponer el disparo con mayor entropía.
En la implementación de un programa que juegue Toros y Vacas se propone como primer disparo al resultante de un generador de números aleatorios que proponga un disparo válido (o sea, un número con 4 dígitos decimales no repetidos). Inicialmente, los 5040 posibles disparos tienen igual entropía.
A continuación y como ciclo repetitivo, del segundo disparo en adelante se proponen los siguientes pasos:
1) Eliminar del conjunto de posibles valores (inicialmente 5040 elementos) aquellos que no satisfagan la respuesta anterior.
2) De quedar un solo elemento, utilizar éste como próximo disparo (de hecho, este sería el elemento incógnito). De no haber ningún elemento emitir mensaje de que hubo error en algún disparo anterior. Si no, continuar.
3) Calcular la entropía de los posibles 5040 disparos tomando como base el conjunto de valores resultantes del paso 1. Elegir como próximo disparo el que posea mayor entropía. En caso que se tengan 2 disparos con igual entropía máxima, aplicar algún criterio adicional que permita seleccionar cuál de ellos resulta más conveniente para lograr el objetivo propuesto.
A manera de ejemplo de criterio adicional podría seleccionarse entre ambos disparos, de existir, el que tenga a 4 Bien en el conjunto de sus posibles respuestas.
En la implementación del algoritmo es recomendable calcular la entropía utilizando el logaritmo neperiano con vistas a optimizar el tiempo de ejecución.
Resulta interesante analizar la respuesta asociada a la primera jugada, esto es, qué genera el algoritmo como segundo disparo. La Tabla II resume este hecho.
![]()

Es fácil ver que el comportamiento del algoritmo en la segunda jugada es, a todas luces, bastante lógico. A continuación se describe un segundo ejemplo de juego donde se muestran las jugadas (o disparos) generadas por el algoritmo propuesto.
Primer disparo (aleatorio): 6014. Obtiene como respuesta 4R
Los 9 posibles elementos que la satisfacen son: 1640 1406 1460 4106 4160 4601 0461 0641 0146.
Análisis de 1640 como próximo disparo (el de mayor entropía):

Segundo disparo: 1640. Obtiene como respuesta 2B 2R
Los 2 posibles elementos que la satisfacen son: 1460 0641.
Análisis de 1460 como próximo disparo (el de mayor entropía):

Nótese que existen otros disparos posibles, como el 2341, con igual entropía (2 conjuntos de un elemento). Este disparo, aunque no tiene posibilidad de acertar en ninguno de los casos, proporciona, sin embargo, la misma información que 1460.
Tercer disparo: 1460. Obtiene como respuesta 2B 2R
El único elemento que la satisface es el 0641 {4B} de ahí que sea el único a proponer.
Cuarto disparo (único posible): 0641. Obtiene como respuesta 4B, con lo que finaliza el juego.
Un simple análisis del juego anterior permite notar que al obtenerse la respuesta al tercer disparo ya se dispone, sin ambigüedad, de toda la información necesaria (o sea, ya se conoce el número). Esto puede comprobarse fácilmente sumando la información obtenida en los 3 primeros disparos:
![]()
Dado que el juego termina cuando se descubre el número incógnito, fue necesario realizar un cuarto disparo aunque no aportara información alguna:
![]()
2. Discusión de los resultados
El hecho de poseer la entropía como herramienta matemática que permita evaluar de qué información se podría disponer para cierto tipo de juegos matemáticos, facilita su implementación como juegos de computadora.
El autor escribió un programa que juega Toros y Vacas, en base al algoritmo propuesto, alcanzando excelentes resultados. En una simulación con los 5040 posibles números incógnitos (y generando cualquier número aleatorio como primera jugada), se obtuvieron los siguientes resultados: 1 juego se completó en una jugada, 6 juegos se completaron en 2 jugadas, 68 en 3, 587 en 4, 2436 en 5, 1825 en 6 y 117 en 7.
El promedio total obtenido es de 5,2607 jugadas por juego. Y. E. Guik expresa que el número de jugadas promedio es un valor algo mayor que 5 [6]. Esta afirmación, poco precisa, no permite evaluar el resultado totalmente como satisfactorio, pero al menos permite asegurar que se aproxima a esta calificación por ser este promedio inferior a las 5,3 jugadas por juego.
Con respecto al peor caso que Y. E. Guik reporta como 7 jugadas, puede observarse que sólo en un 2,32 % de los casos se llega hasta este número máximo de jugadas.
III. CONCLUSIONES
1. La demostración de esta nueva aplicación de la Teoría de la Información nos demuestra la extraordinaria visión del ingeniero electrónico y matemático estadounidense Claude Elwood Shannon, autor principal de la demostración.
2. El caso de estudio presentado, de relativa facilidad, puede ser utilizado desde el punto de vista docente para consolidar los conceptos de medida de la información y entropía.
3. Los Diagramas de Venn utilizados en la representación de todos los posibles resultados de un disparo permiten asociar una nueva visualización gráfica al concepto de entropía.
4. Otro elemento que puede resultar importante desde el punto de vista pedagógico es la elección natural de 5040 como base de los logaritmos a utilizar para el caso del análisis del juego de Toros y Vacas.
5. Entender como usar centímetros o pulgadas para medir cierta longitud es relativamente fácil, lo que no resulta así cuando se intenta usar una base u otra para medir la información.
IV. REFERENCIAS
1) Shannon, C. E. A Mathematical Theory of Communications, Bell System Technical Journal, Vol 27 pp 379-423 & 623-656, July & October, 1948. [ Links ]
2) Mejías, E. Transmisión de Datos, Teleprocesamiento y Redes de Computadoras, Editorial Pueblo y Educación, 1987. [ Links ]
3) Lucena, M. J.: Criptografía y Seguridad en Computadores, 4ª edición, versión 0.7.5., Julio de 2006, En página Web: http://wwwdi.ujaen.es/mlucena/wiki/pmwiki.php?n=Main.LCripto [ Links ]
4) Schneider, T. D.: Claude Shannon: Biologist, IEEE Engineering in Medicine and Biology Magazine, vol. 25, no. 1, pp. 30-33, 2006. [ Links ]
5) Knuth, D. E.: The Art of Computer Programming Vol. 3 Sorting and Searching, Editorial Addison-Wesley, 1973. [ Links ]
6) Guik, Ya. E.: Juegos matemáticos recreativos, Editorial MIR, 1987. [ Links ]
Todo el contenido de esta revista, excepto dónde está identificado, está bajo una Licencia Creative Commons











uBio 
