Universidad, Ciencia y Tecnología
versión impresa ISSN 1316-4821versión On-line ISSN 2542-3401
uct v.12 n.47 Puerto Ordaz abr. 2008
Segmentación de imágenes de endoscopia y ultrasonido con modelos deformables
Herold García, Silena Escobedo Nicot, Miriela
La MSc. Silena Herold García es Profesor Instructor, Jefe del Dpto. de Computación, Universidad de Oriente, Facultad de Matemática y Computación, Patricio Lumumba s/n, Santiago de Cuba, CP 90500, Cuba, telf. (53) 22-635346, correo electrónico silena@csd.uo.edu.cu .
La Lic. Miriela Escobedo es Profesor Adiestrado en la misma Facultad, misma dirección y teléfono, correo electrónico miriela@csd.uo.edu.cu
Resumen: Las imágenes de endoscopia y ultrasonido se han convertido en uno de los métodos diagnósticos no invasivos más importantes en la medicina, porque permiten el estudio de áreas de menor tamaño y difícil acceso. La segmentación en estas imágenes es un problema parcialmente resuelto, dada la necesidad de crear nuevos métodos y optimizar los existentes para lograr una mejor automatización, debido a la repercusión diagnóstica que se deriva de este proceso. Se presenta un prototipo que permite aplicar las técnicas de segmentación con modelos deformables a imágenes de endoscopia y ultrasonido de tumores cerebrales, para lograr la detección de la zona del tumor. El procesamiento se realiza con snakes paramétricos de dos formas, empleando el gradiente de la imagen y el Flujo Vectorial Gradiente (GVF), este último debido a que permite una inicialización del snake menos exigente y mayor precisión en la detección de los contornos deseados. Esto permite resolver un porcentaje considerable de problemas prácticos relacionados con el análisis de imágenes. Durante la validación del prototipo obtenido se comprobó la eficacia del método implementado aplicándolo a varias imágenes de las modalidades referidas, y se determinó que es más eficiente y tiene mejores resultados en imágenes de endoscopia.
Palabras clave: Segmentación de Imágenes Médicas. / Modelos Deformables. / Endoscopia/. Ultrasonido.
MEDICAL IMAGE SEGMENTATION APPLYING DEFORMABLE MODELS TO ENDOSCOPY AND ULTRASOUND
Summary: Endoscope and ultrasound images have become in one of the most important not invasive diagnostic methods in medicine, because they allow the study of areas of smaller size and difficult access. Segmentation in these images is a partially resolved problem, given the necessity to create new methods and to optimize the existent ones to achieve a better automation, due to the diagnostic repercussion that is derived of this process. A prototype that allows applying the snakes segmentation techniques to endoscope and ultrasound images of cerebral tumours is presented, to achieve the detection of the tumours area. The process is carried out with parametric snakes in two ways, using the gradient of the image and the Gradient Vector Flow (GVF), this last one because it allows a less demanding initialization of the snake and bigger precision in the detection of the wanted contours. This allows solving a considerable percentage of practical problems related with the analysis of images. During the validation of the obtained prototype it was proven the effectiveness of the implemented method applying it to several images of the referred modalities and it was determined that it is more efficient and has better results in endoscope images.
Keywords: Medical Images Segmentation/. Deformable Models/ Endoscopy/ Ultrasound/ Parametric Snake.
Manuscrito finalizado en Santiago de Cuba, el 2007/10/31, recibido el 2007/11/21, en su forma final (aceptado)el 2008/01/31.
I. INTRODUCCIÓN
La diversidad de principios de obtención de las imágenes médicas hace que existan varias modalidades, entre las que aparecen las de resonancia magnética (MRI) [1], tomografía axial computarizada (TAC o CT) [1], ultrasonido (US) [2], endoscopia [3], entre otras. Las dos últimas se han convertido en uno de los métodos diagnósticos no invasivos más importantes en la medicina, porque permiten el estudio de áreas de menor tamaño y difícil acceso. Para emitir el diagnóstico el especialista debe detectar la posición exacta de los objetos de interés para él en la imagen, por lo que la segmentación de estructuras en imágenes médicas forma parte de los exámenes de rutina. Como parte de este proceso de segmentación se emplean, por lo general, técnicas de procesamiento digital que permiten el preprocesamiento de la imagen para su mejor visualización.
Una de las ramas de la medicina que utiliza estas modalidades de imágenes médicas es la cirugía. En esta especialidad se le realizan al paciente varios estudios preoperatorios con el empleo de MRI o CT, a partir de los cuales se obtiene un modelo virtual donde se identifican las principales estructuras existentes y que constituye un medio de apoyo al trabajo del cirujano. Durante la operación estas estructuras cambian de lugar y experimentan un corrimiento en las posiciones que fueron modeladas con anterioridad, por lo que este modelo no representa una situación real en el salón de operaciones. Se hace necesario entonces su actualización para garantizar una información lo más exacta posible al cirujano y favorecer así la toma de decisiones. Pero los equipos más comunes de MRI y CT son costosos para un salón de operaciones por su gran tamaño y la dificultad que implica colocar a un paciente en estos equipos para efectuar de manera intra-operatoria un estudio que permita lograr una actualización del modelo preoperatorio en tiempo real. En cambio los equipos de ultrasonido y endoscopia son pequeños y de fácil manejo para el personal médico, además que permiten obtener un flujo de imágenes continuo que puede emplearse para lograr la actualización en tiempo real del modelo preoperatorio. A partir del procesamiento de este flujo de imágenes es posible reconstruir el modelo existente con la posición actual de las principales estructuras anatómicas. De esta forma el cirujano cuenta con una herramienta actualizada para su trabajo. Este procesamiento consta de varias etapas, como son la segmentación de imágenes, su registro y seguimiento de trayectorias.
Este trabajo se enmarca dentro de la etapa de segmentación de imágenes. El objetivo general consiste en el desarrollo de un prototipo de software que aplique un método de segmentación basado en los modelos deformables a imágenes médicas de endoscopia y ultrasonido de tumores cerebrales, para lograr la detección de los bordes del tumor. Está basado en el método denominado snake paramétrico [4], que no es más que una curva que se mueve siguiendo la acción de fuerzas internas y externas de la imagen hasta lograr la detección del contorno deseado. Se pretende determinar la validez de la aplicación de este método a imágenes de las modalidades referidas.
En el artículo se describen las características fundamentales de la herramienta implementada para obtener la segmentación de imágenes, que se realizó de dos formas diferentes. La primera consiste en aplicar un gradiente a la imagen, método tradicional que presenta algunas desventajas referidas a la detección de concavidades y la inicialización del snake [4]. La segunda forma se implementó aplicando el Flujo Vectorial Gradiente GVF (Gradient Vector Flow), que permite una inicialización menos exigente y detecta con mayor precisión los contornos que presentan concavidades y convexidades [4]. El resto del trabajo está estructurado de la siguiente manera: inicialmente se detallan las características del método aplicado, especificándolo de forma analítica y numérica, además de otras técnicas necesarias para el preprocesamiento de las imágenes. Seguidamente se definen las particularidades de la herramienta implementada y por último se realiza una discusión de los resultados que se obtuvieron con la aplicación de la misma. En la última sección se presentan las conclusiones del trabajo y finalmente se muestran las referencias bibliográficas utilizadas.
II. DESARROLLO
1. Materiales y métodos
La segmentación es el proceso que subdivide una imagen en sus partes constituyentes u objetos [1]; es en esta etapa donde se extraen los objetos de interés para un procesamiento posterior, como son la descripción y el reconocimiento. La detección de fronteras [4] es una de las técnicas más utilizadas en la segmentación de imágenes, dentro de ella se encuentran las técnicas basadas en los modelos deformables, conocidos como snakes, contornos activos, contornos deformables, etc. Los modelos deformables fueron propuestos con efectividad por primera vez por Kass y Terzopoulos [5]. El concepto de modelo deformable se genera a partir de la idea de adaptar dinámicamente contornos o superficies siguiendo propiedades físicas como la elasticidad, suavidad, dureza y otras.
Los modelos deformables tienden a parecer un método aplicable en la totalidad de los casos, por su gran robustez y eficiencia, sin embargo, presentan grandes limitaciones en la inicialización y en imágenes donde la forma de los contornos de los objetos de interés presenta concavidades pronunciadas, características presentes en las imágenes médicas. El GVFSnake propuesto por Xu y Prince [6] resuelve estos dos problemas, pues al extender el valor del gradiente de la imagen como un campo vectorial sobre ella, permite el movimiento del snake aunque se haya inicializado lejos de la frontera real, o existan concavidades en el borde al cual debe llegar.
Snakes paramétricos
La superficie potencial H de una imagen dada consta de mínimos o valles relevantes que se corresponden con bordes significativos de los objetos a segmentar. En dicha superficie las coordenadas x,y coinciden con el sistema cartesiano de la imagen y la coordenada z coincide con el valor de la intensidad en el punto (x,y). Esta superficie H cuenta con una energía potencial gravitatoria en función de z, que bajo el efecto de un campo gravitatorio virtual g permite referirse al término de energía potencial del snake.
Un snake se define como una curva spline (cerrada) que minimiza su energía, guiada por fuerzas internas y externas provenientes de la imagen. Es, por tanto, un contorno activo que evoluciona en forma dinámica hacia los contornos relevantes de la imagen. El snake es elástico y está formado por dos tipos de materiales: cuerdas (snaxels), que hacen al modelo resistente ante estiramientos y varas, que lo hacen resistente ante dobleces [7].

El snake de forma natural varía su posición buscando un estado energético menor, en este caso una menor energía potencial gravitacional, la cual se calcula mediante la suma de las energías potenciales gravitatorias en cada snaxel y de la energía potencial obtenida de las restricciones internas y externas, detalladas más adelante.
Interpretación analítica del snake paramétrico.
Se tiene una curva deformable V(s,t) con parámetros s y t, donde s es el indexado espacial y t el tiempo definido en un intervalo cerrado de Ω y T respectivamente. Esta curva deformable se considera como una función de dos variables x, y (coordenadas espaciales) con la misma parametrización de V [7]:
![]()
La función de energía potencial del snake, E Snake (v) está definida por:
![]()
Los distintos tipos de energías relacionados en esta fórmula se explican a continuación:
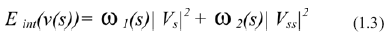
Eint : Representa la energía potencial interna del snake, este término es una función que describe el comportamiento de las fuerzas que ofrece el snake contra estiramientos y dobleces. Define tanto la relación espacial entre los snaxels como las restricciones de forma de contorno. Esta energia se define como:
![]()

Hace que el snake se comporte como un resorte oponiéndose a los estiramientos.
Hace que el snake se comporte como una vara negándose a doblarse.
Eext: Está relacionada con el peso que se le asigna a las fuerzas de las restricciones externas. Esta energía, de signo contrario a la energía de curvatura y denominada energía externa, se define en función de las características hacia las que se pretende atraer el snake (contornos, puntos de intensidad elevada, transformada de distancia, entre otros). Se deriva de dos tipos de fuerzas complementarias: las fuerzas atractivas (springs forces) y las fuerzas repulsivas (volcanos forces).
Las fuerzas de elasticidad o atracción, basadas en la analogía de su comportamiento respecto a un resorte, son creadas entre dos snaxels P1(x1, y1) y P2(x2, y2) respectivamente mediante el término de energía:

Las fuerzas repulsivas (volcanos forces), son utilizadas para impedir que el snake se detenga ante algún mínimo local del campo potencial, ruidos o alguna estructura irrelevante. Se calcula mediante la ecuación de energía:

Donde r representa el radio de la base de dicha fuerza. Efield : Incide sobre el peso que se le asigna a la fuerza del campo gravitacional de la imagen en la ecuación del snake, y se deriva de la ecuación de la energía potencial gravitatoria clásica [8] como se observa:
![]()
Donde:
Es la densidad de masa constante del snake.
Es la magnitud de aceleración gravitatoria.
Es la altura o el valor potencial de un determinado snaxel en un intervalo de tiempo t en la superficie potencial H.
Interpretación numérica del snake paramétrico.
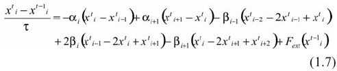
Aproximando por diferencias finitas podemos rescribir la ecuación (1.1) como sigue: [4]

Donde:
Tamaño del paso en el tiempo.
Haciendo una interpretación del miembro izquierdo en la ecuación del snake se puede concluir que para cada punto se debe calcular la primera y la segunda derivada en el tiempo t y la Fext en el tiempo t-1; el valor de esta última en cualquier punto xi puede ser obtenido a través de una interpolación lineal de los valores de la fuerza externa en los puntos vecinos de xi.
La ecuación (1.7) puede ser escrita en forma matricial como sigue:

Donde A es la matriz de rigidez que es pentadiagonal.
Procesamiento de bajo nivel.
En los procesamientos donde se involucran los snakes se realiza un acondicionamiento previo de la imagen debido a sus insuficiencias frente a imágenes ruidosas. Este procesamiento consiste en la aplicación de técnicas clásicas para obtener una superficie potencial H, en la que existen mínimos o valles relevantes que se corresponden con bordes significativos de los objetos a segmentar y un mapa de bordes que facilite el trabajo del snake en un número de iteraciones mínimas. En dicha superficie las coordenadas x,y coinciden con el sistema cartesiano de la imagen y la coordenada z coincide con el valor en el punto (x,y), en este caso la intensidad.
Entre las técnicas que se aplican se hallan los filtros de alisamiento, filtros detectores de bordes y umbralización. La aplicación de los filtros de alisamiento tiene el objetivo de atenuar las componentes de alta frecuencia que no pertenecen a los contornos y que podrían causar problemas de detección. Para realizar una detección más confiable de los contornos, luego de suavizar se realiza la umbralización, método mediante el cual es posible segmentar imágenes, agrupando todos los píxeles con mayor intensidad al umbral en una clase y todos los otros píxeles en otra. Posteriormente se aplican filtros detectores de bordes, que tienen como idea básica la definición de un operador de derivada dado que la magnitud de la primera derivada puede usarse para detectar la existencia de un borde. Para la investigación se aplicaron los filtros de suavizado relativos al Promedio, Mediana y el Gaussiano. Los filtros implementados para detectar bordes en este trabajo fueron los de Sobel, Prewitt y Canny [9].
Flujo Vectorial Gradiente (GVF).
El Flujo Vectorial Gradiente se calcula como una difusión espacial del gradiente, en un mapa de bordes derivado de la imagen, lo que provoca fuerzas difusas que obligan al snake a alejarse del objeto y vectores de fuerza que lo atraen cerca de los bordes. La combinación de estas fuerzas es el objetivo de la aplicación del GVF al snake. Su definición está dada como el campo del vector:
![]()
que minimiza la energía funcional:
![]()
Usando el cálculo variacional, el campo del GVF puede ser encontrado dándole solución a la siguiente ecuación de Euler:

Estas ecuaciones son conocidas como las ecuaciones de difusión del gradiente.
Implementación de la herramienta.
La herramienta implementada permite obtener la segmentación de imágenes de dos formas diferentes. La primera consiste en aplicar el snake tradicional basado en el gradiente de la imagen, método tradicional que presenta algunas desventajas referidas a la detección de concavidades y la inicialización del snake. La segunda forma se implementó aplicando el Flujo Vectorial Gradiente (GVF), que permite una inicialización menos exigente y detecta con mayor precisión los contornos que presentan concavidades y convexidades.
En el desarrollo del prototipo se tomaron en cuenta las funcionalidades brindadas por la biblioteca OpenCV, debido a que es una herramienta que proporciona comodidad en la implementación y portabilidad y se encuentra en lenguaje C++. En el trabajo se utilizó específicamente el algoritmo que utiliza la OpenCV para la segmentación de imágenes usando snakes tradicionales. Este algoritmo se utilizó también como base para la implementación del GVF-snake.
Para la validación se efectuaron pruebas de segmentación de imágenes con el prototipo obtenido y con una herramienta demostrativa (SnakeDemo) implementada por los autores del modelo (Xu, Prince y Tomazevic) [10], existente en Internet y facilitada por ellos. Se emplearon imágenes con figuras representativas usadas en la literatura y que presentaban concavidades, así como imágenes de endoscopia y ultrasonido tomadas de un phantom de cerebro fabricado con material Polyvinil Alcohol Criogel (PVA-C) [11]. Las imágenes de endoscopía fueron obtenidas empleando un endoscopio de la firma Karl Storz Endoscope, que consiste de una cámara TeleCam SL II y un endoscopio con ángulo de vista en 0 grados. Para la obtención de las imágenes de ultrasonido se empleó una 91 Herold, S., Escobedo, M. Segmentación de imágenes de endoscopia y ultrasonido. sonda de neuroultrasonido transendoscópico S5500. En ambos casos los movimientos para obtener estas imágenes se efectuaron a mano, en posiciones arbitrarias en el espacio.
Cada una de las imágenes fue procesada inicialmente aplicando los filtros descritos anteriormente, para lograr la mayor eliminación de ruido posible y mejorar las condiciones para la aplicación del método. En el caso de las imágenes de ultrasonido el suavizado tuvo que ser mayor. Estas imágenes tienen mucho ruido, generado por el propio principio de su obtención. La parte central de la imagen corresponde al centro de la sonda y no tiene información válida para el observador.
Como primera parte de los experimentos se realizaron pruebas aplicando el snake tradicional, que utiliza solamente el gradiente de la imagen para su movimiento. El snake se inicializó cercano a los bordes a detectar para garantizar la convergencia del modelo. Posteriormente se efectuaron pruebas aplicando el GVF-snake, que emplea el Flujo Vectorial Gradiente. En esta parte de los experimentos la inicialización se efectuó más alejada de los bordes a detectar, para comprobar la validez de su detección bajo estas condiciones. Debe señalarse que las características de rigidez y elasticidad del snake se variaron a conveniencia en cada prueba y se emplearon juegos de parámetros distintos para cada una.
2. Resultados y discusión.
A continuación se muestran los resultados obtenidos para la segmentación aplicando snake tradicional y GVF-snake con el prototipo de software implementado y con el SnakeDemo sobre un juego de imágenes con las características descritas anteriormente.
Como resultado de la ejecución de la primera parte de los experimentos se obtuvieron las imágenes mostradas en las Figuras 2, 3 y 4.
En la Figura 2 se muestran los resultados obtenidos al aplicar el método de snake tradicional a una imagen representativa utilizada en la literatura, compuesta de una figura en forma de U. Se puede observar la cercanía de la posición inicial del snake al borde de la figura. La deformación del snake no logró detectar correctamente el borde en la zona de la concavidad. Estas son las dos deficiencias principales que presenta este método, y en la imagen se observan resultados similares obtenidos aplicando ambas herramientas, de lo cual se infiere la corrección del algoritmo implementado en el prototipo.

En la Figura 3 se muestran los resultados obtenidos al aplicar el método de snake tradicional a una imagen de endoscopia. Se observan resultados similares obtenidos aplicando ambas herramientas. La inicialización del snake se realizó cercana a los bordes del tumor, y la pequeña concavidad que muestra la imagen no fue detectada correctamente. En este caso se observa un mejor desempeño del prototipo implementado.

En la Figura 4 se muestran los resultados de la aplicación del método de snake tradicional a una imagen de neuroultrasonido, que no presenta concavidades. Se observa la inicialización del snake cercana al borde del tumor para lograr la convergencia. En este caso se obtuvieron resultados similares entre ambas herramientas, que mostraron un nivel de convergencia aceptable pero menor al observado en las imágenes de endoscopia. Esto se debe a que el preprocesamiento fue mayor por la gran cantidad de ruido existente en las imágenes de ultrasonido, lo que genera pérdida de información en cuanto a los bordes a detectar e influye en el menor desempeño del método frente a las imágenes de esta modalidad. No obstante el borde del tumor fue obtenido con relativa precisión, debido a que en este caso el snake se inicializa cercano a él.

Durante la segunda parte de los experimentos realizados se alcanzaron los resultados mostrados en las Figuras 5 y 6.
En la Figura 5 se exponen los resultados obtenidos de la aplicación del método de snake empleando el Flujo Vectorial Gradiente (GVF) a una imagen de endoscopia. Se puede observar la inicialización del snake, que se realizó más alejada del borde del tumor. La convergencia del modelo hacia el borde no se afectó, con lo que se demostró la flexibilidad que tiene esta variante respecto a la inicialización del snake. En la zona de la concavidad el borde se detectó con mayor precisión 92 Volumen 12, Nº 47, junio 2008. pp 87-92 en comparación con el método tradicional. Se observan resultados similares obtenidos aplicando ambas herramientas.

En la Figura 6 se muestran los resultados obtenidos de la aplicación del método de snake empleando el Flujo Vectorial Gradiente (GVF) a una imagen de neuroultrasonido. La inicialización del GVF-snake se realizó más alejada del borde del tumor. Los resultados observados no fueron satisfactorios a pesar que las imágenes no presentaban concavidades, como se muestra en la figura. Esto se debe a que el ruido existente en estas imágenes, que no es posible eliminar completamente con el preprocesamiento, provoca que la creación del campo vectorial se vea afectada por fuerzas determinadas por estos niveles de grises que actúan como mínimos locales. Estos mínimos locales no permiten que el GVF-snake converja definitivamente en el borde del tumor y afecta la precisión de la detección final en gran medida. Esto no sucedía en el caso de los snakes convencionales ya que al ser inicializados en una posición más cercana al borde a detectar, no se ven tan afectados por la gran cantidad de ruido de la imagen. No obstante, se comprobó que siempre existe un menor nivel de eficiencia en la detección de bordes para las imágenes de ultrasonido que para las imágenes de endoscopia cuando se aplica este método. Los resultados fueron semejantes aplicando ambas herramientas.

III. CONCLUSIONES
1. Se implementó un prototipo de software que permite obtener la segmentación de imágenes médicas de la modalidad de endoscopia y ultrasonido, aplicando snakes, tanto los basados en el gradiente de la imagen como los que aplican el Flujo Vectorial Gradiente.
2. A partir de las pruebas realizadas se comprobó que la herramienta es válida y eficiente, se realizaron comparaciones con la herramienta base brindada por los autores del modelo y en todas se obtuvieron resultados satisfactorios.
3. El método empleado es más eficiente y aporta mejores resultados en imágenes de endoscopia.
4. Las imágenes de ultrasonido necesitan un preprocesamiento mayor por la gran cantidad de ruido que tienen, que no permite la convergencia eficaz del snake.
IV. REFERENCIAS
1. Yoo,. T. Insight into Images. Principles and Practice for Segmentation Registration and Image Analysis. A K Peters Ltd. Canada. 2004. pp 10-15, 121 pp. [ Links ]
2. Kremkau,. F. 2002. Diagnostic Ultrasound. Principles and Instruments. 6ta Edición. USA. Saunders Editorial. pp 1-14 . [ Links ]
3. Reisch,. K. Transendoscopic Ultrasound for Neurosurgery. Springer Verlag. Germany. 2006. pp 5-7 . [ Links ]
4. Xu, C. Deformable Models with Application to Human Cerebral Cortex Reconstruction from Magnetic Resonance Images. Department of Electrical and Computer Engineering, Johns Hopkins University, Baltimore, Maryland USA. 1999. A dissertation submitted to the Johns Hopkins University in conformity with the requirements for the degree of Doctor of Philosophy. pp. 2 -8, 103-106. [ Links ]
5. Kass, M. et al. Snakes: Active contours models. International Journal of Computer Vision. Vol. 1. Número 4. 1987. pp: 321-331. [ Links ]
6. Xu, C. et al. Gradient Vector Flow: A New External Force for Snakes. Proc Conference on Computer Vision and Pattern Recognition (CVPR '97), IEEE Computer Society, San Juan, Puerto Rico, June 17-19. 1997, pp. 66- 71. [ Links ]
7. Camejo Mariño, J.T. Segmentación de imágenes de resonancia magnética del cerebro humano mediante la aplicación de modelos deformables. Universidad de Ciego de Ávila. Cuba. 2005. Trabajo de diploma presentado en opción al título de Ingeniero Informático. pp: 7-14. [ Links ]
8. Goldstein, H. Classical Mechanics, 2nd edition, USA, Addison-Wesley, Reading, Massachusetts. 1980. pp: 145- 160. [ Links ]
9. González, R. et al. Digital Image Processing. 2nd Edition. Pearson Education. 2002. pp: 136, 578. [ Links ]
10. URL: http://iacl.ece.jhu.edu/projects/gvf/snkedemo . [ Links ]
11. Kathleen J. et al. A PVA-C Brain Phantom Derived from a High Quality 3D MR Data Set. MICCAI 2001, ed. Wiro J. Niessen and Max A. Viergever. Utrecht, The Netherlands, October 14-17, 2001. pp: 1149-1150. [ Links ]











uBio 

