Universidad, Ciencia y Tecnología
versión impresa ISSN 1316-4821versión On-line ISSN 2542-3401
uct v.12 n.48 Puerto Ordaz jul. 2008
APLICACIÓN DE NUEVOS MÉTODOS DE ANÁLISIS DE LA VARIABILIDAD DE LA FRECUENCIA CARDIACA EN PACIENTES CHAGÁSICOS CRÓNICOS
Jugo, Diego; Medina, Rubén; Rojas, Rubén; Schlegel, Tood; Arenare, Brian
El Dr. Diego Jugo González es Profesor Titular en la Universidad de los Andes, Mérida, Venezuela, desempeñando sus actividades en el Laboratorio del GIBULA, Dpto. de Electrónica y Comunicaciones, Facultad de Ingeniería, teléfono oficina 0274-2402891, celular 0416-2754405, correo electrónico djugo@ula.ve y djugo@ing.ula.ve. Los Dres Rubén Medina Molina y Rubén Rojas Sulbarán son también Profesores Titulares en el mismo Departamento, mismo teléfono de oficina, teléfonos celulares y correos electrónicos 0416-8781744 y rmedina@ula.ve y 0414-9721300 y rdrojas@ula.ve respectivamente. El MD en Medicina Tood Schleger es Investigador en el Neuroautonomic and Human Test Subject Facility, NASA, Johnson Space Center, Houston, Texas 77058, telef. 1 (281) 483-4111, correo electrónico tood.t.schlegel@nasa.gov El MD, MPH en Medicina Brian Arenare es Investigador en el Cardiopulmonary Lab, Kelsey-Seybold Clinic, Nasa Johnson Space Center, Houston, Texas 77058 misma dirección y teléfono.
Resumen:
Este trabajo describe dos nuevos métodos de análisis de la Variabilidad de la Frecuencia Cardiaca (VFC) que están siendo implementados en equipos de electrocardiografía de alta resolución de última generación. Uno de los métodos, el Periodograma de Lomb, resuelve los problemas asociados con el muestreo irregular y produce una robusta estimación de la Densidad de Potencia Espectral (DPE) en presencia de ruido y complejos ectópicos. El segundo método realiza un Análisis de Variaciones de Tendencias (AVT) que cuantifica la dinámica no lineal involucrada en la serie de tiempo formada por los intervalos inter-complejos (RR) de la señal electrocardiográfica. Para corroborar la efectividad de ambos métodos, se presentan los resultados obtenidos sobre grupo de pacientes chagásicos crónicos. Por el método de Lomb los resultados indican una alteración del balance simpático-vagal en los pacientes chagásicos. El método de Análisis de Variaciones de Tendencias permitió discriminar entre los pacientes chagásicos y el grupo de control seleccionado.
Palabras clave: Variabilidad de la Frecuencia Cardiaca/ Sistema Nervioso Autónomo/ Periodograma de Lomb/ Análisis de Variaciones de Tendencias/ Enfermedad de Chagas.
APPLICATION OF NEW METHODS FOR THE ANALYSIS OF HEART RATE VARIABILITY INCHRONIC CHAGASIC PATIENTS
Abstract:
This work describes two new methods for the analysis of Heart Rate Variability (HRV) that are being implemented in last generation high resolution electrocardiography equipments. One of the methods, the Lomb periodogram, avoids the problems associated with the irregular sampling and it produces a robust Power Spectral Density (PSD) estimation in presence of noise and ectopy beats. The second method performs a Detrended Fluctuation Analysis (DFA) that tries to quantify the non lineal dynamics involved in the time series of intercomplex intervals (RR) obtained from the electrocardiographic signal. This work reports results obtained when applying both methods to a group of chronic chagasic patients. Results obtained when applying the Lomb method for estimating the Power Spectral Density indicate an alteration of simpatho-vagal balance in chagasic patients. Similarly, the DFA method enables discrimination between the chagasic patients and control subjects
Keywords: Heart Rate Variability/ Autonomous Nervous System/ Lomb Periodogram/ Detrended Fluctuation Analysis/ Chagas Disease.
Manuscrito finalizado en Mérida, Venezuela, el 2008/01/10, recibido el 2008/02/06, en su forma final (aceptado) el 2008/04/27
I. INTRODUCCIÓN
La primera vez que la Variabilidad de la Frecuencia Cardíaca (VFC) tuvo relevancia clínica fue en 1965 cuando unos investigadores notaron que el fallecimiento fetal era precedido por alteraciones en los intervalos inter-complejos QRS antes que ocurriera un apreciable cambio en la misma frecuencia cardiaca [1]. El término de Variabilidad fisiológica comenzó a divulgarse en la década de los años 70, cuando se observó que algunas anormalidades en los mecanismos de regulación del sistema cardiovascular podían ser evaluadas mediante el cálculo de la potencia espectral de la VFC [2]. En esta misma época surgieron los primeros dispositivos para medir y evaluar la VFC [3]. Entre las primeras aplicacionesclínicas se encuentra el hallazgo que una disminución de la VFC puede estar asociado con un incremento de la mortalidad en pacientes con reciente infarto agudo al miocardio [4]. Algunos investigadores han utilizado la VFC para estudiar la actividad del sistema nervioso autónomo [5]. Se han realizado estudios sobre la relación entre los cambios de la amplitud del pulso fotopletismográfico y la frecuencia cardíaca [6]. La utilización de la VFC para la estimación de la sensibilidad barorefleja también ha sido reportada [7].
Múltiples patologías han sido estudiadas mediante la VFC [8]. En la década de los 90 fueron publicados los primeros trabajos sobre la VFC en pacientes chagásicos [9]. Para la adquisición de los datos se han utilizado dos tipos de registros: de larga duración de 24 horas, y registros de corta duración que normalmente duran 5 minutos. Las condiciones de registro varían de acuerdo a la aplicación: con respiración controlada, en reposo o ejercicio, acostado o inclinado, y con medicación o sin ella. Cuando se habla de VFC se asume que el análisis se realiza sobre los intervalos RR, sin embargo últimamente se ha comenzado a investigar sobre la variabilidad de otros intervalos como el QT [10]. En cuanto a la estimación de la DPE los primeros algoritmos estaban basados en métodos paramétricos [11,12]. Luego, con el advenimiento de la Transformada Rápida de Fourier su utilización se hizo muy popular debido a su fácil implementación computacional [13].
El objetivo principal de este trabajo es describir dos nuevos métodos de análisis de la VFC que están siendo implementados en un equipo de electrocardiografía de alta resolución desarrollado por la Nacional Aeronautics and Space Administration (NASA) [14], y presentar los resultados obtenidos al aplicar ambos métodos sobre un grupo de pacientes chagásicos crónicos. Este equipo ha sido evaluado en el diagnóstico de diversas patologías, sin embargo, su efectividad no ha sido comprobada en enfermedades tropicales como es el caso del mal de Chagas. Este trabajo comienza haciendo una breve reseña de métodos tradicionales de análisis de la Variabilidad de la Frecuencia Cardiaca, continúa con una descripción detallada de los métodos de Lomb y AVT, y finaliza con una presentación de los resultados de la aplicación de ambos métodos sobre un grupo de pacientes chagásicos crónicos. I
I. DESARROLLO
1. Bases teóricas 1.1.
Descripción de Variabilidad de la frecuencia cardiaca
En un registro electrocardiográfico como el que se muestra en la Figura 1, se observan varias deflexiones, llamadas en electrocardiografía ondas y Complejos. Einthoven llamó a estas ondas P, Q, R, S y T, según su orden en el ciclo cardíaco. La onda P corresponde a la despolarización auricular; las deflexiones Q, R, y S, llamado complejo QRS, representa la propagación de la despolarización ventricular; y la onda T la repolarización ventricular.

Para el diagnóstico clínico, tiene mucha importancia los intervalos temporales entre las distintas ondas de cada latido. El intervalo PR es la distancia desde el inicio de la onda P hasta el inicio del complejo QRS. El segmento ST comprende desde el final del complejo QRS al inicio de la onda T. El intervalo QT indica la duración total de la sístole ventricular, finalmente el intervalo RR (o NN) existente entre dos complejos consecutivos, es usado para cuantificar la frecuencia cardíaca. La representación del valor de los intervalos RR consecutivos de manera secuencial en un gráfico, se denomina tacograma. La VFC es el término convencionalmente aceptado para describir las variaciones tanto de la frecuencia cardiaca instantánea como de los intervalos RR. En la Figura 2 se muestra un tacograma de un sujeto sano que representa las variaciones de los intervalos RR en función del número de intervalos considerado.

1.2. Métodos tradicionales de análisis de la VFC
La clasificación más empleada los divide de la siguiente manera: Métodos en el dominio del tiempo y la frecuencia, y métodos de dinámica no lineal.
Métodos de análisis en el dominio del tiempo
En este método son determinados los intervalos (NN) entre complejos QRS normales sucesivos, así como la frecuencia cardíaca. Normalmente se utilizan registros de 24 horas de duración. Los parámetros derivados de cálculo estadístico son: a) promedio de la frecuencia cardíaca, promedio del intervalo NN, desviación estándar de los intervalos NN (SDNN), porcentaje de intervalos NN consecutivos mayores a 50 mseg. (pNN50), desviación estándar entre diferencias consecutivas de los intervalos RR (SDSD), valor rms de las diferencias consecutivas de los intervalos RR (rMSSD). Otros parámetros son obtenidos por métodos geométricos a partir de histogramas de los intervalos NN (D, TINN).
Métodos de análisis en el dominio de la frecuencia
Los métodos se diferencian por el algoritmo matemático empleado para estimar la Densidad de Potencia Espectral (DPE), y se clasifican en paramétricos y no paramétricos. Entre las transformadas más empleadas se encuentran la transformada rápida de Fourier (FFT), autoregresiva (AR), y la entropía aproximada (EAp). El espectro es calculado a partir del tacograma de los intervalos RR. En registros de corta duración se distinguen tres componentes principales VLF, LF, y HF. La asociación fisiológica de la componente de muy baja frecuencia (VLF: 0.0 0.04 Hz) sigue controversial, la componente de baja frecuencia (LF: 0.04 0.15 Hz) se asocia con el simpático, y la componente de alta frecuencia (HF: 0.15 0.4 Hz) con el parasimpático. Los registros de larga duración introducen una componente adicional que se denomina ultra baja frecuencia (ULF: < 0.003 Hz). La Figura Nº 3 corresponde a la DPE, en la que se aprecian las diferentes componentes frecuenciales.

Métodos de dinámica no lineal
Para cuantificar las propiedades no lineales de la VFC se han empleado las siguientes técnicas: Dimensión de correlación (D), Exponentes de Lyapunov, Entropía de Kolmogorof, Análisis espectral de grano grueso (CGSA), exponentes H escalados. Para la representación de los datos se han utilizado: gráficos de Poincaré, atractores de baja dimensión, y descomposición en valores singulares [15].
1.3. Nuevos métodos de análisis de la VFC
Se pueden resumir los nuevos métodos de análisis en las siguientes tendencias: a) Surgimiento de nuevos algoritmos que poseen ventajas comparativas respecto a los anteriores métodos, b) Nuevos métodos basados en dinámica no lineal.
Método de Lomb
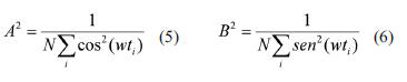
La serie de tiempo que es utilizada para calcular la frecuencia cardiaca instantánea es muestreada a intervalos irregulares, lo cual no favorece la utilización de métodos estándar como la FFT para la estimación de la DPE. El método de periodograma de Lomb evita los problemas asociados con un muestreo irregular, y produce una robusta estimación de la DPE en presencia de ruido y complejos ectópicos [16]. Experimentos realizados con series de tiempo artificiales de la frecuencia cardíaca con ruido adicionado, muestran que el método de Lomb provee una mejor estimación espectral que los métodos estándar [17]. El periodograma de Lomb puede ser estimado a partir de una generalización de la Transformada Discreta de Fourier (TDF) si se examina que posee una distribución exponencial [18]. Si se considera una variable h medida en tiempos iguales ti , y una serie de tiempo con N puntos
, la TDF de N puntos puede expresarse como:

y el periodograma (potencia espectral) a partir de la ecuación de la TDF,

Si se desarrolla la exponencial
en función de senos y cosenos queda,

Donde A y B son funciones no especificadas que dependen de la frecuencia angular w.
Simplificando, la ecuación 3 toma la forma

Si se considera el caso donde h posee ruido con distribución normal, con media cero, y varianza constante igual ha
se puede deducir que las funciones A y B pueden ser expresadas por las siguientes ecuaciones: [19]

Sustituyendo en la ecuación 4,

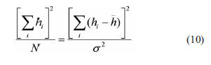
Si se examina que la media y la varianza pueden ser estimadas mediante las formulas,

Combinando ambas ecuaciones se obtiene que,

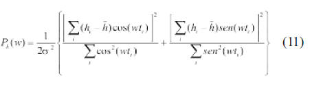
Sustituyendo en la ecuación 7 el periodograma normalizado de Lomb queda,

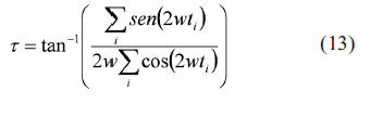
Para que el sistema sea invariante en el tiempo (Propiedad de traslación), se incluye un retardo
, por lo que queda finalmente el periodograma normalizado de Lomb como:



Si se compara el método de Lomb con otros métodos de estimación de la DPE como el autorregresivo (AR) o la FFT con re-muestreo del tacograma de los intervalos RR, se encuentra que provee una mejor estimación espectral cuando se manipulan señales con ruido y muestreo irregular.
Método de Análisis de Variaciones de Tendencias (AVT)
Este método fue propuesto inicialmente por Peng y colaboradores en 1994 [20], pero no fue sino hasta el año 2000 cuando comienza a ser utilizado en señales fisiológicas [21]. Fundamentalmente es un análisis fractal aplicado a series de tiempo fisiológicas. Este método es apropiado para el análisis de series de tiempo no estacionarias de baja frecuencia como es el caso del tacograma formado por los intervalos RR consecutivos de la VFC. Para aplicaciones clínicas es preferible la utilización de registros cortos (300-500 complejos). El algoritmo de AVT comprende los siguientes pasos:
1) Integración de la serie de tiempo original
Si se denota la serie de tiempo como x(i) , donde i = 1, N, y se integra x(i),

Donde M es el valor promedio de la serie x(i), y el índice k varía entre 1 y N. Esta integración de la serie x (i) es equivalente a conseguir la envolvente superior de la señal original expresada en el tacograma.
2) División por tramos de la serie integrada
La serie de tiempo integrada y(k) es dividida por tramos de longitud igual a n. Por cada tramo de longitud n se traza la línea cuadrática media mediante el método de los mínimos cuadrados, que representa la tendencia local de cada tramo. En la figura Nº 4 se puede apreciar la función y (k) donde se visualizan tramos con n = 100, y se muestran las líneas cuadráticas medias por cada tramo.

3) Cálculo de la función que mide las variaciones: F(n)
La coordenada y de la tendencia local de cada tramo se denota como yn(k) . Para una determinada longitud n, la función que mide las variaciones se calcula mediante la fórmula,

4) Cálculo de las pendientes alfa1 y alfa2
Se realiza un gráfico del log F(n) versus log n, para diferentes valores de n. Se observa la gráfica resultante (ver Figura 5), se concluye que la relación entre log F(n) y log n es lineal, lo cual indica la presencia de una ley de potencia escalar (fractal). La pendiente de la recta generada se denomina alfa, que es conocida como dimensión fractal o parámetro de autosimilaridad. Sin embargo en el caso que se está tratando se consideran dos regiones que dan origen a dos pendientes diferentes, alfa1 que representa el tiempo de correlación corto, y alfa2 que representa el tiempo de correlación largo. La frontera entre las dos zonas se ha escogido empíricamente igual a 11 (log n = 1.1) [22].

2. Materiales y métodos
2.1. Descripción del equipo de adquisición
Los resultados presentados en este trabajo fueron obtenidos utilizando un equipo de electrocardiografía de 12 derivaciones de nueva generación que posee tres componentes fundamentales: a) Un módulo hardware, donde se realiza adquisición, amplificación, y conversión A/D de la señal ECG (Cardiax, IMED Co Ltd, Budapest, Hungary), acompañado con un software básico (CardioSoft, Houston, Texas), b) El software desarrollado por la NASA para análisis de la señal ECG, y c) Un computador personal que tiene instalado windows XP, velocidad de 1 GHz y 1GB de RAM. La conexión del módulo hardware se realiza por el puerto paralelo o por el puerto USB del computador. El equipo emplea una frecuencia de muestreo de 1000 muestras/segundo, y las series de intervalos RR son deducidas a partir del registro electrocardiográfico general haciendo detecciones de los complejos QRS, y luego contabilizando el tiempo transcurrido entre dos complejos consecutivos. Para el análisis en el dominio de la frecuencia se escogieron las siguientes bandas: VLF: (0.0 0.04 Hz), LF: (0.04 0.15 Hz), HF: (0.15 0.4 Hz). El sistema incluye nuevas capacidades con importantes ventajas respecto a los electrocardiógrafos convencionales. Igualmente, contiene módulos de procesamiento de señales que representan el estado del arte en Cardiología. Dentro de las características principales del software desarrollado se encuentran el análisis en tiempo real, y la visualización de las componentes de alta frecuencia (HF QRS) presentes dentro de la porción central del complejo QRS, considerando el intervalo de frecuencias entre 150 y 250 Hz [23]. El equipo tiene la posibilidad de realizar análisis en el dominio del tiempo, de la frecuencia, análisis de dinámica no lineal, y detección potenciales tardíos.
2.2. Protocolo empleado
Participaron en el protocolo un total de 34 pacientes chagásicos que fueron estudiados en la Universidad de Los Andes, de los cuales 10 fueron excluidos por diferentes criterios (bloqueo de rama derecha, síndromes de preexcitación, arritmias ventriculares o supraventriculares, enfermedades de las arterias coronarias, infartos al miocardio previos, hipertrofia ventricular, obesidad, o desviaciones del eje derecho). Se incluyeron aquellos pacientes chagásicos > 15 años, con status serológico positivo por infección de Tripanosoma Cruzi. De los 24 pacientes incluidos, 20 son del sexo masculino y 4 del sexo femenino con edad promedio de 24 años. Los registros electrocardiográficos de los pacientes chagásicos fueron realizados a pacientes rutinarios que acuden a consulta al Centro Cardiovascular del Hospital Universitario de la Universidad de Los Andes, Mérida Venezuela. Los datos fueron analizados en la NASA, y retornados por la WEB a Mérida. Adicionalmente se consideró un grupo de control pareado por edad y sexo respecto al grupo de pacientes chagásicos. El grupo de control fue estudiado en el Centro Espacial Johnson de la NASA (Houston USA). Para efectos del análisis de la VFC se realizan dos registros: un primer registro durante 10 minutos a respiración controlada (15 respiraciones/minuto), y un segundo registro durante 4 minutos a respiración controlada (6 respiraciones/minuto). El primer registro es utilizado para la estimación y cálculo de la mayoría de los parámetros involucrados en la VFC, mientras que el segundo se emplea exclusivamente para el cálculo de la sensibilidad Baro-refleja [24]. Jugo, D. et al. Aplicación de nuevos métodos de análisis de la variabilidad de la frecuencia cardíaca en pacientes chagásicos 134
2.3. Análisis estadístico empleado
Pruebas de chi-cuadrado y regresión logística nominal (con transformación a logaritmo natural para datos con distribución anormal) fueron utilizadas para determinar las diferencias estadísticamente significativas entre las variables para un valor de p < 0.05. 3.
Resultados
Los resultados que se muestran en la Tabla I, corresponden para el método de Lomb a registros realizados a respiración controlada de 15 respiraciones/minuto. Para el método de análisis de variaciones de tendencias los valores de alfa1, corresponden a n:[4,11], y de alfa2 a n:[11,64].
4. Discusión de los resultados
Método de Lomb:
Este método permite obtener la curva que representa densidad de potencia espectral de la cual se pueden derivar los siguientes componentes: VLF cuya interpretación fisiológica no ha sido aún determinada, LF que se asocia a la actividad simpática, HF ligada a la actividad vagal, y el cociente LF/HF que da una idea sobre el estado del balance simpático-vagal [25]. Los resultados obtenidos en este trabajo indican una reducción significativa de la componente de baja frecuencia LF (5.6 ± 1.4, p = 0.0251), lo cual coincide con otros trabajos publicados. Guzzetti et al [26] observaron que el balance simpático-vagal determinado mediante la VFC es anormal en pacientes chagásicos crónicos sin insuficiencia cardíaca, describiendo ausencia de incrementos de la componente de baja frecuencia (simpático), particularmente al adoptar la posición de pie y durante ejercicio isométrico. Carrasco et al. [27] encontraron una reducción progresiva y significativa de la componente simpática en pacientes chagásicos crónicos a medida que avanza el grado de daño miocárdico. Este hecho conlleva a una reducción del número de receptores
miocárdicos, así como la presencia de anticuerpos antirreceptores. Los
adrenérgicos circulantes en la miocardiopatía chagásica crónica [28], sugieren que la reducción del pico simpático podría explicarse por menor respuesta (down-regulation) de los receptores del
nodo sinusal. Este trabajo aporta el hecho de utilizar un algoritmo robusto para el cálculo de la DPE, y el empleo de un protocolo de adquisición que reduce los efectos producidos por la respiración del paciente.
Método AVT:
El parámetro alfa ha sido utilizado con propósitos de diagnóstico considerando que en sujetos sanos su valor debe estar cerca de 1, mientras que en sujetos con patologías diversas su valor se aleja de la unidad. Este razonamiento es válido sólo cuando se considera una sola pendiente. En este trabajo, se considera que la recta del gráfico log F(n) versus log n posee dos pendientes, alfa1 y alfa2 (ver Figura 5), con un punto de quiebre donde ocurre el cambio de pendiente. Ambas pendientes son afectadas por la selección del punto de quiebre (valor considerado en este trabajo, n = 11). Aunque el valor de n es arbitrario y la literatura sugiere algunos valores, es posible que sea necesario hacer un estudio para seleccionar el punto de quiebre más adecuado para cada patología. Si se escoge indebidamente el punto de quiebre, lo más probable es que la pendiente se aproxime al valor pronosticado para sujetos sanos [29]. Analizando los resultados obtenidos, se observa que el parámetro alfa2 dio estadísticamente significativo (0.93 ± 0.29, p =0.0403). Si se examina este resultado, este método puede ser utilizado para discriminar los pacientes chagásicos, sin embargo es aconsejable primero su estratificación de acuerdo al grado de avance de la enfermedad con ayuda de otros métodos como son los estudios de ecocardiografía. Finalmente, se recomienda hacer un estudio de la selección del punto de quiebre, ya que es posible que se mejoren los resultados obtenidos en este trabajo.
Reconocimientos
Los resultados presentados en este trabajo forman parte de un proyecto (I-947-06-07-A) financiado por el Consejo de Desarrollo Científico y Humanístico (CDCHT) de la Universidad de Los Andes-Venezuela.
III. CONCLUSIONES
1) La utilización de la VFC como herramienta para el estudio del sistema nervioso autónomo y su relación con otros sistemas fisiológicos sigue vigente dada la característica no invasiva del método de adquisición y la posibilidad de emplear gran cantidad de nuevos algoritmos en su procesamiento.
2) Los resultados obtenidos al aplicar el método de Lomb para la estimación de la DPE indica una alteración del balance simpato-vagal en los pacientes chagásicos. 3) El método de AVT permitió discriminar entre el grupo de pacientes chagásicos y el grupo control seleccionado.
IV. REFERENCIAS
1. Hon, E. y Lee, S., Electronic evaluations of the fetal heart rate patterns preceding fetal death: further observations, Am J Obstet Gynecol, Vol. 87, 1965, pp. 814-826. [ Links ]
2. Sayers, B., Analysis of heart rate variability, Ergonomics, Vol. 16, 1973, pp. 17-32. [ Links ]
3. Coenen, A., et al, Measurement of heart rate variability: Part 2-Hardware digital device for the assessment of heart rate variability, Med Biol Eng Comp, Vol. 15, 1975, pp. 423-430. [ Links ]
4. Kleiger, R., et al, Decreased Heart Rate Variability and its Association with Increased Mortality After Acute Myocardial Infarction, Am J Cardiol, Vol. 59, 1987, pp. 256-262. [ Links ]
5. Lombardi, F., et al, Heart Rate Variability as an index of sympathovagal interaction after acute myocardial infarction, Am J Cardiol, Vol. 60, 1987, pp. 1239-45. [ Links ]
6. Infante, O., et al, Coherencia entre los cambios de la amplitud del pulso fotopletismográfico y de la frecuencia cardíaca, III Congreso Latinoamericano de Ingeniería Biomédica, Joao Pessoa, Brasil, 2004, Pág. 96. [ Links ]
7. Davies, C., et al, A non-invasive measure of baroreflex sensitivity without blood pressure measurement, Am Heart Journal, Vol. 143, N° 3, 2002, pp. 441-447. [ Links ]
8. Inoue, K., et al, Power spectral analysis of heart rate variability in traumatic quadriplegic humans, Am J Physiol, Vol. 258, 1990, pp. 1722-1726. [ Links ]
9. Jugo, D., et al, Usefulness of High Resolution Electrocardiogram and Heart Rate Variability in Chronic Chagas Disease, Proceedings of the 17th Annual International Conference of the IEEE Engineering in Medicine and Biology Society, París, 1995, Vol. 1, pp. 175-176. [ Links ]
10. Vito, S., et al, Real-time multichannel system for beat-tobeat QT interval variability, Journal of electrocardiology, Vol. 39, 2006, pp.358-367. [ Links ]
11. Myers, G., et al, Power spectral analysis of heart rate variability in sudden cardiac death: comparison to other methods, IEEE Transactions on biomedical engineering, Vol. 33, 1986, pp. 1149-56. [ Links ]
12. Arai, Y., et al, Modulation of cardiac autonomic activity during and immediately after exercise, The American Physiological Society, 1989, pp. 132-140. [ Links ]
13. Bigger, J., et al, Correlations among time and frequency domain measures of heart period variability two weeks after acute myocardial infarction, Am J Cardiol, Vol. 69, 1992, pp. 891-898. [ Links ]
14. Schlegel, T., et al, Real-time 12 lead high frequency QRS electrocardiography for enhance detection of myocardial ischemia and coronary artery disease, Mayo Clin Proc, Vol. 79, 2004, pp. 339-350. [ Links ]
15. Task Force of the European Society of Cardiology, HRV Standard of Measurement, Physiological Interpretation, and Clinical Use, Circulation, Vol. 93, 1996, pp. 1043- 1065. [ Links ]
16. Laguna, P., et al, Power spectral density of unevenly sampled data by least-square analysis: performance and application to heart rate signals, IEEE Trans Biomed Eng, Vol. 45, 1998, pp. 698-715. [ Links ]
17. Moody, G., Spectral Analysis of Heart Rate without Resampling, Computers in Cardiology, IEEE Comp. Soc. Press, 1993, pp.715-718. [ Links ]
18. Clifford, G., Signal Processing Methods for Heart Rate Variability, Tésis Doctoral, Universidad de Oxford, 2002. [ Links ]
19. Scargle, J., Studies in astronomical time series analysis. II. Statistical aspects of spectral analysis of unevenly spaced data, Astrophysical Journal, Vol. 263, 1982, pp. 835-853. [ Links ]
20. Peng, C., et al, Mosaic organization of DNA nucleotides, Phys Rev E, Vol. 49, 1994, pp. 1685-1689. [ Links ]
21. Goldberger, A., et al, Components of a New Research Resource for Complex Physiologic signals, Circulation, Vol. 101, N° 23, 2000, pp. 215-220. [ Links ]
22. Makikallio, T., et al, Analysis of Heart Rate may Predict Subsequent Ventricular Tachycardia after Myocardial Infarction, American J Cardiol, Vol. 780, 1997, pp. 783- 790. [ Links ]
23. Jugo, D., et al, Electrocardiografía de alta resolución y su utilidad en la enfermedad de Chagas, Revista CLON, Vol. 2, 2004, pp. 49-60. [ Links ]
24. Davies, L., et al, A noninvasive measure of baroreflex sensitivity without blood pressure measurement, Am Heart J, Vol. 143, 2002, pp. 441-447. [ Links ]
25. Malliani, A., et al, Power spectrum analysis of Heart Rate Variability: a tool to explore neural regulatory mechanisms, British Heart Journal, Vol. 71, 1994, pp. 1-2. [ Links ]
26. Guzzetti, S., et al, Impaired heart rate variability in patients with chronic Chagas disease, American Heart Journal, Vol. 121, Nº 6, 1991, pp 1727-1734. [ Links ]
27. Carrasco, H., et al, Electrocardiograma de alta resolución y el análisis de la variabilidad de la frecuencia cardiaca en pacientes chagásicos crónicos, Revista Archivos del Instituto de Cardiología de México, Vol. 67, 1997, pp. 277-285. [ Links ]
28. Rosenbaum, M., et al, Antibodies to β adrenergic receptors disclosing agonist-like properties in idiopathic dilated cardiomyopathy and Chagas Herat disease, J Cardiovasc Electrophysiol, Vol. 5, 1994, pp. 367-375. [ Links ]
29. Perfetto, J., et al, Detrended Fluctuation Analysis (DFA) and R.R interval Variability: a new Linear Segmentation Algorithm, Computers in Cardiology, Vol. 33, 2006, pp. 629-632 [ Links ]











uBio 

