Universidad, Ciencia y Tecnología
versión impresa ISSN 1316-4821versión On-line ISSN 2542-3401
uct v.12 n.49 Puerto Ordaz oct. 2008
LA INDIZACIÓN DE PATRONES DE DIFRACCIÓN DE ELECTRONES AL ALCANCE DE TODOS Y SUS APLICACIONES: SISTEMAS ORTOGONALES. PARTE I
González, Leonardo
El Dr. Leonardo González es Profesor Asociado Jubilado del Dpto. de Metalurgia de la UNEXPO. Vicerrectorado Puerto Ordaz, Actualmente es Consultor Técnico, con oficina en Av. Las Américas, Torre Loreto II. Piso 3, of. 3-02, telef. 0286-9230296, correo electrónico davinci@mipunto.com .
Resumen: Cuando se hace investigación y desarrollo en el campo de la ciencia de materiales, en ocasiones se hace microscopía electrónica de transmisión (MET). Puede ocurrir que el investigador haga alguna difracción de electrones y no tenga la suficiente experiencia y conocimiento para indizar el patrón de difracción o bien pueda indizarlo y con eso da por terminado el trabajo en este campo, desaprovechando así una maravillosa oportunidad para identificar plenamente las fases presentes, e inclusive descubrir nuevas. El método para indizar aquí propuesto consiste en construir la celda recíproca de los sistemas cristalinos ortogonales y del hexagonal compacto, por ser en los que cristalizan los metales y aleaciones, y luego hacer coincidir con la pantalla del microscopio algunos planos recíprocos particulares. La comparación de la singonía y de la sinaxia del patrón teórico con el experimental permitirá hacer la indización. Esto, unido a un análisis químico elemental por análisis de energía dispersiva y/o longitud de onda, permitirá identificar plenamente las fases y así poder inferir en los procesos de producción. Varios ejemplos ilustrarán el método. El presente trabajo será dividido en dos partes: la primera estará dedicada a los sistemas ortogonales (cúbico, tetragonal y ortorrómbico) y la segunda al sistema hexagonal. El método usado para la difracción es el de difracción por área selecta, aunque desde los 80 se ha estado desarrollado el método de la micro-difracción.
Palabras Clave: Patrones de Difracción/ Difracción de Electrones/ Microscopía Electrónica de Transmisión (MET)/Constante de Cámara/ Red Recíproca/Sistemas Cristalinos/ Índices de Miller.
ELECTRON DIFFRACTION PATTERNS INDEXATION WITH REACH OF EVERYONE AND ITS APPLICATIONS: ORTHOGONAL SYSTEMS. PART I
Summary: Some times when researching in material science an electron diffraction pattern is obtained. Most researchers with out enough proficiency in such task could find difficult to index such pattern, or if it is not so, then simple do it and the work in this area is considered finished. Researcher could be losing an excellent opportunity to find out new phases. The method employed in this paper consists in setting the reciprocal lattice of orthogonal unit cells and closed packed cell, because in such crystal systems most metals and metal alloys are crystallized. After that, a match between some reciprocal particular planes with the microscope screen is considered. When comparing singonía and sinaxia of the theoretical and experimental pattern the indices of the electron diffraction pattern is obtained. If we know the elementary chemical composition and the lattice parameter of the phase which is being studied then it is completely identified and some particular inference could take place in the industrial processes. Several examples are depicted to illustrate the method. This work has been divided into two parts: the first is devoted to orthogonal systems (cubic, tetragonal and orthorhombic) and the second to the hexagonal close packed. The method used for diffracting is the selected area diffraction, even though since 80s the micro-diffraction method has been developing.
Keywords: Diffraction Patterns/ Electron Diffraction/ Transmission Electron Microscope/ Camera Constant/ Reciprocal Lattice/ Crystalline Systems/ Miller Indixes.
Manuscrito finalizado en Ciudad Guayana, Venezuela, el 2008/02/16, recibido el 2008/03/13, en su forma final (aceptado) el 2008/07/15.
I. INTRODUCCIÓN
Generalmente, cuando se trabaja en el campo de la ciencia de los materiales, se hace necesario realizar trabajos en microscopía electrónica de transmisión (MET). Estos trabajos se inician con la preparación de láminas finas (thin foil) o réplicas de extracción, lo cual está bien documentado en la bibliografía [1]. Posteriormente se inicia el trabajo de identificación de las fases presentes. Cuando se trata de estudiar precipitados lo natural es trabajar con réplicas de extracción. Para identificar completamente los precipitados por MET se debe empezar por conocer su composición química, para lo cual se debe tener incorporado un analizador de energía dispersiva y de ser posible un analizador de longitud de onda para los elementos livianos (C, N, O, H, Li, Be, B), aunque hoy día hay analizador de energía dispersiva que detectan algunos elementos livianos. El análisis químico elemental generalmente se obtiene en porcentaje en peso y se hace necesario pasarlo a porcentaje atómico para tener una idea aproximada de la constitución de la celda unitaria. Posteriormente se debe determinar la constante de cámara del MET, lo cual unido a una apropiada indización del patrón de difracción de electrones permite calcular los parámetros de red. Esto es fundamental en la identificación de las fases. Algunos microscopistas electrónicos e investigadores al encontrar una red recíproca ortorrómbica en aceros microaleados no vacilan en calificarla, a priori, como cementita, o una cúbica como carbonitruro. Un análisis más detallado podría revelar que son fases cuyos parámetros de red no corresponde ni a uno ni a otro. Otros, trabajando con aceros de mediana aleación laminados en frío, al encontrar una red recíproca perteneciente a una fase tetragonal, la clasifican como martensita, cuando podrían estar en presencia de una fase completamente nueva no acicular. El objetivo fundamental del presente trabajo es ayudar a aquéllos noveles investigadores, en el campo de la metalurgia física y de la ciencia de los materiales, a sacar el máximo provecho del MET en la identificación de fases mediante el uso de la difracción de electrones. Para esto último se hará una brevísima discusión de los elementos fundamentales de la difracción de electrones y de la red recíproca. Para facilitar la escritura de las magnitudes, se usarán las flechas para denotar vectores en las ecuaciones y negritas en la parte literaria. El valor absoluto de los vectores se indicará con letra normal.
II. DESARROLLO
1. Conceptos Fundamentales
1.1 Base en el Espacio Recíproco
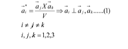
Las figuras que origina la difracción pertenecen a lo que se denomina espacio recíproco porque sus dimensiones se expresan como inversas del espacio directo. En este espacio se puede definir una base vectorial que relacione los vectores del espacio recíproco, señalados con asterisco, y los vectores del espacio directo, señalados sin asterisco, como se especifica en ec. (1), donde V es el volumen del paralelepípedo que define la celda unitaria en el espacio directo.

Sí se toma el módulo en la ec. (1) y se desarrolla de modo que aj y ak formen la base del paralelepípedo y aii es el coseno director entre el vector recíproco ai * y el vector directo ai se obtiene la siguiente expresión, útil para dibujar la red recíproca:

Para celdas unitarias ortogonales, que son las que se analizan en el presente trabajo, aii =1, con lo cual ai *.ai = 1. Adicionalmente, de la ec. (1), en este tipo de celda los vectores base de la celda unitaria directa coinciden con los vectores base de la celda recíproca.
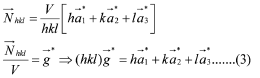
Sí en el espacio directo se toma una base ortogonal y se selecciona un plano cristalográfico con índices de Miller hkl, de modo que las coordenadas de corte en los ejes son (a1/h, 0, 0), (0, a2/k, 0) y (0, 0, a3/l) y luego se toman dos vectores del plano y se realiza el producto vectorial, el resultado es un vector normal al plano designado por Nhkl que tiene la siguiente forma:

Conviene recordar que, para simplificar la escritura de las ecuaciones, se representarán los vectores con negrita en la parte literaria y con flecha en las ecuaciones. En ec.(3), g* es el vector recíproco. Se puede escoger una terna de vectores unitarios i, j, k, de modo que a1*=a1*i, a2*=a2*j, a3*=a3 *k. Cristalográficamente (hkl)g = ghkl, por tanto se puede escribir g* en término de sus componentes rectangulares:

Los valores a1*, a2* y a3* son las constantes reticulares de la red recíproca. De ec. (4), para celdas unitarias ortogonales genérica ortorrómbica se tiene:
![]()
Para una celda unitaria cúbica, a1* = a2* = a3* = a*, con lo cual se tiene:
![]()
La distancia interplanar dhkl se puede determinar proyectando un vector de corte, ej. [a1/h, 0, 0] sobre el vector recíproco ghkl como se muestra en la ec. (7):

1.2 Factor de Estructura y Celda Unitaria Recíproca
Cuando una partícula eléctricamente cargada es acelerada o desacelerada se convierte en un emisor de ondas electromagnética, de acuerdo con los conceptos generales de la teoría electromagnética de James Clerk Maxwell. Esto es lo que ocurre cuando el electrón choca con la muestra y se desacelera [2]. El campo eléctrico de la onda electromagnética así generada interacciona con los electrones que conforman los átomos produciendo el efecto denominado dispersión (scattering). La dispersión producida por un átomo es la suma de las dispersiones de todos sus electrones y la dispersión de una celda es la dispersión producida por los átomos de la celda [2]. En particular la dispersión producida por la celda unitaria recibe el nombre de factor de estructura F. El factor de estructura se puede calcular mediante la siguiente ecuación:

Donde i es el símbolo de los números imaginarios; fi es el factor de dispersión para cada átomo de la celda; (hkl) son los índices del plano difractante y [uvw] los índices de dirección de los átomos que conforman el motivo en la celda unitaria. El motivo es aquel grupo de átomos que conforma un patrón de tal modo que trasladado a todos los puntos reticulares reproduce todas las posiciones. Es algo parecido al motivo que se puede encontrar en un papel tapiz o en un mosaico. La Fig.1 contiene el motivo para las celdas I (centrada en el cuerpo), F (centrada en las caras) y C (centrada en las bases). Como el análisis se está haciendo de manera general en sistemas ortogonales, se tomará como referencia el sistema ortorrómbico que tiene celdas I, F y C [3].

Al reemplazar en la ec. (8) los índices de posición uvw para las diferentes celdas, se obtienen las condiciones que deben cumplir los índices hkl para que exista difracción, que se resume en la Tabla I. En la Fig.2 se tiene las respectivas celdas recíprocas. Las celdas recíprocas se denotarán con un asterisco, como I*, F*. Como se puede ver la celda recíproca de I es F* y recíprocamente, la celda recíproca de la celda C no es una celda unitaria Bravais y se denotará como G*.


1.3 Planos Recíprocos estándar (002)*, (020)*, (220)* y (222)*
A continuación se van a trazar los planos recíprocos (002)*(basal), (020)*(prismático) (220)*(diagonal) y (222)*(octaédrico) que resultan de la intersección de la pantalla del microscopio con el sistema puntual recíproco cristalográfico (Fig.3a y 3b). Esto es importante, porque intuitivamente se podría pensar que se trata de una proyección cilíndrica, y no es así. Se debe tener en mente que, físicamente, en todo el espacio alrededor del microscopio se forma la esfera de Ewald con centro en la muestra y con radio igual a 1.
, donde
es la longitud de onda del haz electromagnético difractado. El origen 000 inicial siempre estará en el plano recíproco que coincida con la pantalla del microscopio. Cuando se haga un cambio de origen, los nuevos puntos coordenados se referirán a este nuevo origen, para lo cual se hará una diferencia vectorial. El origen 000 siempre será el punto donde el haz transmitido B* toca la pantalla del MET.
1.3.1 Difracciones Estándar
En las Figuras 3a y 3b se tienen las representaciones esquemáticas de los planos estándar señalados en 1.3.


1.4 Procedimiento de Medición
De las Figs. 3a y 3b se puede ver que siempre es posible trazar dos tipos de celda unitaria bidimensional: una con punto central y otra sin punto central. Por ello es necesario establecer una metodología para la indización, habida cuenta de que el investigador lo que observa es un conjunto de puntos brillantes.
Se debe tener a mano un escalímetro, un transportador y papel transparente. La fotografía de la difracción se coloca debajo del papel transparente y se fija con dos clips, luego se marcan los centros de todos los puntos y se unen mediante líneas rectas. El origen 000 se determina por la intersección de dos líneas y debe coincidir con el centro del haz transmitido. Los puntos que se encuentran en los bordes de la fotografía del patrón de difracción se tomarán como guía para determinar sí la celda tiene o no punto central procurando, en primera instancia, obtener la celda ortogonal binaria más pequeña.
Sí se está en presencia de los planos (002)*(basal), (220)*(diagonal), o (020)*(prismático) las líneas de los bordes siempre forman un ángulo recto, en cualquiera de los sistemas cúbico, tetragonal u ortorrómbico. A partir del origen se seleccionan los puntos A y B" más cercanos a éste y se dibuja una celda unitaria bidimensional. A partir del origen 000, se mide OA = r1 y OB = r2, siendo siempre r2 ≥ r1. El ángulo entre estas direcciones se denota como
. El vector recíproco g1 se hace corresponder con r1 y el g2 con r2.
Cuando se está en presencia del plano (222)*(octaédrico) las líneas de los bordes forman un ángulo de 120º en la celda cúbica F* y 60º en la celda cúbica I*. En las celdas tetragonales y ortorrómbicas el ángulo es diferente a estos valores. En cualquier caso se dibuja el paralelogramo más pequeño y se selecciona r2 > r1.
Los puntos de la fotografía de la red recíproca, además de mostrar semejanza con alguna de las distribuciones mostradas en las Figs. 3a y 3b, deben conservar relaciones paramétricas que se aproximen a valores teóricos predeterminados.
1.5 Relaciones Paramétricas
De las Figs. 3a y 3b se pueden construir las Tablas II, III y IV que contienen un resumen de las características de las celdas recíprocas bidimensionales y de las relaciones paramétricas entre los valores medidos.



En metalurgia, generalmente, las celdas tetragonales se forman por distorsión de celdas cúbicas. Así, la absorción de átomos intersticiales en la ferrita, que es BCC, la convierte en tetragonal I y la transformación martensítica convierte la austenita, que es FCC, en tetragonal I, cuya relación paramétrica depende del contenido de carbono disuelto en la austenita [4]. La celda tetragonal I es una celda Bravais y su recíproca es F*. Sin embargo, la tetragonal F y su recíproca I* es una celda no-Bravais. Sin embargo, conviene señalar que hay compuestos como el CaC2 que son tetragonal F [5].
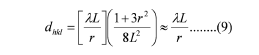
1.6 Constante de Cámara.
El análisis de la difracción de Bragg en el MET también se puede hacer considerando la longitud del haz transmitido y la separación del haz difractado en una especie de cono de difracción. Este análisis conduce a la siguiente expresión [6]:

Donde L es la distancia de la muestra a la placa fotográfica;
es la longitud de onda de De Broglie del haz de electrones incidente y r la distancia del punto difractado al haz transmitido en la placa fotográfica.
El valor
recibe el nombre de constante de cámara, CC. El valor de la constante de cámara se puede obtener a partir de sustancias con parámetro reticular conocido, tal como oro o aluminio evaporado, que cristalizan en el sistema FCC y producen patrones de anillos. A partir de las ecs. (6) y (7), la constante de cámara se puede escribir de la siguiente manera:
![]()
Sí el patrón es de anillos, a partir de la ec. (10) se pueden escribir relaciones paramétricas con respecto al primer anillo, lo que conduce a la ec. (11). Los índices seleccionados deben respetar las condiciones de la Tabla I.

Sí el patrón es de puntos, los planos se indizan a partir de la celda unitaria de la Fig.3a y se aplica ec. (10). En cualquier caso se obtienen varios valores y luego se saca el promedio.
La constante de cámara que aquí, en esta discusión teórica, ha sido tratada de último, es lo primero que debe determinar el investigador. Cada vez que se calibre el MET se debe determinar la constante de cámara y debe de hacerse para los diferentes aumentos a los que se va hacer la difracción [7].
Algunos microscopistas electrónicos opinan que sin la constante de cámara no se puede indizar un patrón de difracción de electrones, sin embargo no es así. No obstante conocerla es fundamental para caracterizar completamente las fases investigadas.
2. Resultados
2.1. Cálculo de Constante de Cámara
La Fig.4 es el patrón de anillos de oro vaporizado sobre una lámina de nica obtenido en el MET marca Phillips de 100 kV del Instituto de Ingeniería [8]. Los valores de los radios de los anillos se muestran en la Tabla V. La constante de cámara se va a determinar a 660X.



El oro tiene un parámetro reticular de 4,0783 Å [9]. La Tabla VI contiene los cálculos empleando la ec. (10).

2.2. Patrones de Difracción
La Fig. 5a es un patrón de difracción de la matriz de un acero inoxidable 25-20 deformado a 77 K [10]. En la Fig. 5b se tiene una representación esquemática. Se trata de una celda con punto central, r2
r1,
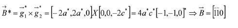
= 90°, con los valores: r2 = 19,0 mm, r1 = 10,0 y (r2/r1)2 = 3,61. De las Figs. 3a y 3b, la distribución puede ser F1*, F2*, I3* o G3*. De acuerdo a la Tabla II, no puede ser cúbico porque no cumple con la relación paramétrica. Tampoco puede ser ortorrómbica porque en los aceros la matriz es cúbica o tetragonal. Se trata pues del plano (220)* de una celda tetragonal I*, cuya directa es una celda tetragonal F. Los autores indizaron el patrón sin hacer un cambio de origen, esto es consideraron el plano (2 2 0). Haciendo el cambio se puede colocar los índices en la Fig. 5b como se indica en la Fig. I3 *. Sea a1 * = a2 * = a*, a3 * = c*


De la Tabla III, r2>r1, de modo que, g2* = [0, 0, -2c*]; g1* = [-2a*, 2a*, 0] y sus módulos: g2* = 2c*; g1* =2a*√2. De la ecs. (9) y (7) se puede escribir: g1*/g2* = r1/r2, lo cual conduce a: a*√2/c* = 19,0/10,0 = 1,90. Para bases ortogonales de la ec. (2), c/a =1,90/√2= 1,34. Para determinar los parámetros de red se necesita conocer la constante de cámara, lo que Voyer et. al. han debido de obtener previamente, con lo cual determinan que c = 4,38 Å y a = 3,28 Å. Como ambas redes coinciden, el haz transmitido tiene la misma dirección, de modo que:

Obsérvese el avance del vector, como corresponde a un haz trasmitido. La Fig. 6a es el patrón de difracción de una partícula en un acero microaleado Mn-V-Nb-Ni-Mo [8]. Un análisis cualitativo con energía dispersiva revela que la partícula contiene Fe, Mn, Ni y Mo. En la Fig. 6b se tiene una representación esquemática del patrón de difracción. Se trata de una celda sin punto central con
con los valores de r2 = 10,0 mm, r1 = 4,4 mm, de modo que (r2/r1)2 = (10,0/4,4)2 = 6,25. De acuerdo a las Figs. 3a y 3b puede ser F3*, I1*, I2*, G2* o G3*.En aceros de baja aleación los precipitados suelen ser cúbicos u ortorrómbicos. No es cúbico porque no cumple con las relaciones paramétricas de la Tabla II. En consecuencia es ortorrómbico. Dada la cantidad de elementos disueltos que contiene se considera que es un I*, cuya red directa es F, que posee gran capacidad de disolución de elementos químicos. Se indiza de acuerdo con el patrón estándar I1* de la Fig.3a. Sea a1* = a*, a2* = b*, a3* = c*. g2* = [0,2b*,0], g1* = [2a*, 0, 0]. Sus módulos: g2* = 2b*, g1* = 2a*. La constante de cámara corresponde a la determinada en III.1. Aplicando la ec. (9), se tiene que gi = ri/CC, lo cual conduce a 2b* = 11,0/27,51 b* = >0,20Å-1 y b = >5,0 Å. También, 2a* = 4,4/27,51 a* =0,08Å-1 y a = 12,5 Å.
La dirección del haz de electrones transmitido es:

Obsérvese que el vector avanza penetrando en el plano, como corresponde a un haz transmitido.


La Fig. 7a es el patrón de difracción de un precipitado de un acero mcroaleado Mn-V-Nb-Ni-Cr [8]. Un análisis cualitativo indica que contiene los elementos metálicos Fe, Mn, Ni y Cr. La Fig. 7b. es una representación esquemática del patrón de difracción. Se trata de un patrón sin punto central con
y con r1 = r2 = 6,0 mm. Siendo que los precipitados en los aceros de mediana aleación normalmente son cúbicos u ortorrómbicos, se deduce de las relaciones paramétricas de la Tabla II y de la distribución estándar de la Fig. 3a que se trata del plano I1* cúbico. Siendo cúbico se tiene a* = b* = c*. La constante de cámara es la calculada en III.1, de modo que g1*= [2a*, 0, 0], g2* = [0, 2a*, 0] y g1* =g2* = 2a. De la ec. (9), g = r/CC a* = r/2CC = 6,0/(2x27,51) = 0,11 Å-1 y a = b = c = 9,1 Å.


Como antes la dirección del haz transmitido B es:
![]()
En la Fig. 8a se tiene un patrón de difracción de un precipitado de un acero microaleado Mn-Nb-V-Ni-Mo [8]. El análisis semicuantitativo usando energía dispersiva revela que contiene 70%at Nb, 20%atV y 10%atNi. La Fig. 8b es una representación esquemática del patrón de la Fig. 8a. Se trata de un patrón sin punto central con
y con r1 = r2 = 13,5 mm. Se trata del plano I1* cúbico. La constante de cámara es la calculada en III.1, de modo que g1*= [2a*, 0, 0], g2* = [0, 2a*, 0] y g1* =g2* = 2a. De la ec. (9), g = r/CC =>a* = r/2CC = 13,5/(2x27,51) = 0,245 Å-1 y a = b = c = 4,08 Å.
Como antes:
![]()


3. Discusión de resultados
La Fig. 5a es una celda tetragonal F, no es una celda Bravais y por tanto es una nueva fase en los aceros, como afirma Voyer y colaboradores [10]. Sí se considera que originalmente la celda era cúbica (austenita), la deformación que se dió al material fue de 34% en la dirección [001].
La Fig. 6a es una celda ortorrómbica. Un microscopista electrónico, acostumbrado a trabajar con aceros, diría que este precipitado es cementita. Pero la cementita tiene los siguientes parámetros [11]: a = 4,51Å, b = 5,08Å y c = 6,73Å. En consecuencia no es cementita. Aun cuando la cementita puede disolver cantidades apreciables de Mn, Cr, V y Ni, manteniendo la misma estructura, los cambios no son tan grandes [12]. Se trata de un nuevo precipitado ortorrómbico. Para determinar el parámetro c sería necesario tener otro patrón estándar de difracción. Un valor estimado para c es c = (12,52-5,02)½ = 11,5Å.
La Fig. 7a es una estructura FCC cuya celda unitaria es de gran tamaño. El tamaño de esta celda es comparable con las celdas tipo M23C6, que contienen 92 átomos, formando lo que se llama cúbico complejo [13], y su tamaño es tres veces el de la austenita, es decir
10,5 Å [14]. Pero el caso es que tales precipitados se forman en aceros de media y alta aleación [12], no en aceros microaleados. Su presencia modifica la morfología de la perlita, dando lugar a perlita granular [15, 16]. Se trata pues de una fase nueva en aceros microaleados. La Fig. 8a es una celda del tipo cloruro de sodio [5] en donde cuatro posiciones reticulares, vértices y centro de las caras, son ocupadas por metales y cuatro posiciones octaédricas, centro de la red y centro de las aristas, ocupadas por no metales. De modo que se tiene 0,70 x4 = 2,8 at.Nb; 0,20x4 = 0,8 at.V; 0,10x4= 0,4at.Ni. Un vértice coopera con 1/8at. (0,125 at.) y un centro de cara coopera con 1/2at.(0,50). En función de esto se puede hacer la siguiente distribución:
Nb: 5 átomos en 5 caras y 2 en dos vértices: 5x0,500 + 2x0,125 = 2,75
V: 1 átomo en 1 cara y 2 átomos en dos vértices: 0,500 + 2x0,125 = 0,75
Ni: 3 átomos en 3 vértices: 3x0,125 = 0,375 0,38
Vacante en vértice: 0,12
Los radios atómicos de los elementos son los siguientes [17]: Nb = 1,429 Å, V= 1,316 Å, Ni = 1,245 Å, C = 0,77 Å, N = 0,71 Å. Las aristas V-C-Ni, V-N-Ni, Nb-N-Ni, Ni-C-Ni, Ni-NNi son aceptables por ser ligeramente menores o iguales a 4,10 Å, que difiere poco del experimental 4,08 Å. Las aristas Nb- C-Ni, Nb-N-V, Nb-C-V, son inaceptables por ser mayores al valor experimental. Los átomos de Nb y V deben colocarse en las diagonales del cubo. Las aristas Nb-V contienen una vacante octaédrica. Esto conduce a un carbonitruro cuya fórmula no-estequiométrica es Nb2.75V0,75Ni0,38
0,12(C+N)3,88. Este compuesto tiene una red cuyo tamaño es menor que los carbonitruros reportados por Meyer et. al [18]. En un acero microaleado es un compuesto completamente nuevo.
III. CONCLUSIONES
1) Se ha presentado un método para indizar patrones de difracción de electrones de una manera rápida y sencilla, en sistemas cristalinos ortogonales, dirigido a aquéllos investigadores que se inician en el campo de la MET en el área de la metalurgia y ciencia de materiales.
2) El método consiste en comparar el patrón obtenido con patrones estándar y con relaciones paramétricas.
3) Se han presentado algunos ejemplos ilustrativos que permiten ver la necesidad de determinar la constante de cámara del microscopio y realizar un análisis semicuantitativo por energía dispersiva y/o longitud de onda de la fase analizada.
4) Si no se tiene suficiente información de la fase analizada es conveniente tomar más de un patrón de difracción estándar, o en el lenguaje de la MET tener más de una zona.
5) El fundamento teórico, para un tema tan extenso, ha sido tratado de manera breve, en función del espacio, y algunos conceptos como: juego de planos cristalográficos, zona, eje de zona, vector de onda, zonas de Brillouin, zonas de Laue y otros han sido omitidos, pero se confía en que el investigador sabrá suplirlos.
6) Las principales aplicaciones de la indización correcta de los patrones de difracción de electrones está en la identificación de fases en estado sólido, descubrir nuevas e inferir en los procesos de producción.
IV. REFERENCIAS
1. Phillips, Victor, A., Modern, Metallographic Techniques and their applications, Wiley-Interscience, New York, 1971, pp- 182-192 [ Links ]
2. Cullity, B.D., Elements of X-Ray Diffraction, Addison- Wesley Publishing Company, INC, New York, third printing, 1967, pp. 104-124 [ Links ]
3. Op. cit. ref. [2], p. 31, Table 2-1 [ Links ]
4. Cottrell, A.H., Metalurgia Física, Editorial Reverté, S.A, Bilbao, 1962, pp. 124-126 [ Links ]
5. Hume-Rothery, W., et. al., The Structure of Metals and Alloys, The Institute of Metals, Printed by Richard Clay, London, 1969, p. 262-266. [ Links ]
6. Op. cit. ref. [1], p. 224 [ Links ]
7. Loreto, M. H Smallman, R.E, Defect Análisis in Electrón Microscopy, Chapman and Hall Ltd, London, 1975, p. 19 [ Links ]
8. González, L., Desarrollo de Aceros de Medio Carbono y Alta Tenacidad a base de Mn-Nb-V-Ni (Mo/Cr), Tesis Doctoral, UCV, Caracas, 2005, pp. 172-175 y p. 66. [ Links ]
9. Op. cit. ref. [2], Appendix 13, table A13.1, p. 482 [ Links ]
10. Voyer, R, et. al., The World Through the Electron Microscope, Metallurgy III, sponsored by JEOL, C.A, compile by S. Koda, published by K. Kazato, printed by Tokyo Process Co, ltd, Tokyo, 1965, pp. 54-55 [ Links ]
11. Op. cit. ref. [8], p. 69, table 4.4 [ Links ]
12. Honeycombe, R.W.K., Steels, Microstructure and Properties, Edward Arnold Publishers, London, 1987, pp. 66-67 [ Links ]
13. Op. cit. ref. [5], pp. 275-277 [ Links ]
14. Op. cit. ref. [12], p.80 y p. 217 [ Links ]
15. Op. cit. ref. [8], pp. 158-160. [ Links ]
16. Greaves, R.H. & Wrighton, H., Practical Microscopical Metallography, Chapman & Hall, ltd., London, 1967, pp. 88-90 [ Links ]
17. Van Vlack, L. H., Elements of Material Science, Second Edition, Addison-Wesley Publishing Company, Inc,Tokyo, 1964, appendix d, pp. 412-417 [ Links ]
18. Meyer, L, et. al, Principes Metallurgiques et Technologiques de la Mise au Point et de la Production des Aciers de Construction à Basse Teneur en Perlite, I, C.I.T. #2, Paris, 1972, p.388 [ Links ]











uBio 

